You are currently viewing a new version of our website. To view the old version click .
Water
  • Article
  • Open Access

14 November 2025

Water Networks Management: Assessment of Heuristic and Exact Approaches for Optimal Valve Location and Operation Settings Schedule

,
and
1
Department of Civil Engineering, CEMMPRE, University of Coimbra, 3030-788 Coimbra, Portugal
2
Dipartimento di Ingegneria Civile e Architettura, Università degli Studi di Pavia, 27100 Pavia, Italy
*
Author to whom correspondence should be addressed.
This article belongs to the Special Issue Advances in Management and Optimization of Urban Water Networks

Abstract

This paper deals with the optimal design-for-control of water distribution networks (WDNs) with the objectives of minimizing pressure-induced background leakage and maximizing resilience. This problem entails defining locations for installing valves and/or pipes and for simultaneously determining valve settings and belongs to the class of non-convex mixed-integer nonlinear problems. Solving highly complex infrastructure problems, such as WDNs, raises a fundamental question about the accuracy of the solutions to be implemented for sound water management. Therefore, two kinds of optimization methods are applied and assessed on two case studies. While the first is an exact global optimization method, the second is the metaheuristic based on the concept of simulated annealing. This paper proposes an innovative methodological analysis to interpret and discuss the results provided by both methods, as well as to identify their impact on the performance of the WDN. This type of analysis may help in highlight how the integration of the best features of both solution methods can promote a step forward in solving WDN problems.

1. Introduction

Water distribution networks (WDNs) are a critical infrastructure for the wellbeing of societies. Therefore, it is very important to accurately design and operate them. The optimization of WDNs has been extensively studied in the water engineering area in recent decades [1]. WDN design was formulated as a single-objective optimization problem, with cost minimization as the objective function to determine the diameters to be assigned to each pipe. In early attempts, many simplifications were used, such as considering the diameters as continuous variables or linearizing objective functions and constraints (see reviews by [2,3,4] for early approaches to solving water distribution systems optimization problems). The limitations of these approaches led to the use of heuristic methods in the 1990s by several authors [4,5,6,7]. Pipe diameters began to be selected from the set of commercial sizes available for networks with a known topology, and suitable formulations of physical laws governing flow and pressure issues began to be applied. Subsequently, the need for considering other types of objectives (mainly related to network performance) gave rise to multi-objective formulations. The multi-objective design of WDNs is a highly complex optimization problem. It is a non-convex mixed integer nonlinear problem (with nonlinear objective functions and constraints) including discrete decision variables and a large solution space of admissible solutions, even for small WDN case studies [8]. Metaheuristic methods have been proposed to solve these problems in several previous studies, including the following: Non-dominated Sorting Genetic Algorithm II (NSGAII) by [9,10,11]; ParEGO and LEMMO hybrid algorithms by [12]; five different evolutionary algorithms (AMALGAM, Borg, ε-NSGA-II, ε-MOEA and NSGA-II) by [13]; the Self-Adaptive Multi-Objective Harmony Search by [14]; the Multi-objective Simulated Annealing by [15], enhanced in [16] with new Generation and Reannealing procedures (MOSA-GR); the Multi-objective Particle Swarm Optimization (MOPSO) by [17]; and the Multi-Objective Self Adaptive Differential Evolution (S-MOSADE) by [8]. These are just a few salient methods, and many others can be found in the literature of WDN multi-objective design (including many objective formulations). Most of the references cited above involve solving a bi-objective problem to minimize cost and maximize resilience, as it will happen in this paper (recent examples are [1,18,19]).
In recent years, exact global optimization methods [20,21] have been proposed to deal with problems in water network management, particularly for leakage control. Some criticisms of the implications of using metaheuristics are part of the reasons for moving on to such applications. Besides being considered very time-consuming, according to [22], heuristic methods such as evolutionary algorithms can be implemented to solve multi-objective problems, though they show some disadvantages: they do not guarantee the optimality of solutions, not even local optimality, and they neither explicitly nor accurately handle nonlinear constraints. More recently, simulated annealing (SA) was also added to the methods that present disadvantages [23]. According to [23], heuristics do not deal with optimal pressure control, and the computation time increases drastically with WDN size. These concerns are explicit in relation to the design-for-control of WDNs. Thus, an exact optimization method is specifically proposed, mainly to resolve the problem of optimal valve placement and operation. The multi-objective problem solved by [22] aims to minimize average zone pressure (AZP), a concept proposed by [24], and pressure variability index. Ulusoy et al. [23] presents a bi-objective global optimization approach to resolve the problem of design-for-control of WDNs (to minimize pressure-induced background leakage, also represented by the average zone pressure, and to maximize the resilience), noting that this is a non-convex bi-objective mixed-integer nonlinear problem (BOMINLP). A spatial branch-and-bound (sBB) algorithm, specially tailored to solve this model, as well as a scalarization technique to implement the ε-constraint method, was proposed. They have developed a novel approach that outperforms other existing well-known mathematical programming algorithms from the literature (see details in [23]). There is much controversy and competition over the use of exact optimization methods and metaheuristics. This has raised a crucial discussion in the engineering field, namely, the meaning of the solutions obtained by various optimization methods—mathematical optimum versus engineering optimum. This is part of a long story that started many years ago when the first attempts were made to find the best decisions for water resources and water infrastructure decision problems through operations research methods. Still today, the question of how accurately real-world problems are represented, including all physical, technological, environmental, and economic aspects that characterize their essence, is of fundamental importance when it comes to engineering problems.
In this paper, the authors aim to participate in the scientific debate about this topic while developing knowledge about the optimized design-for-control of water distribution networks problem. This problem entails defining locations for the installation of valves and/or pipes and simultaneously determining valve operating settings in existing networks that optimize two conflicting objectives—the minimization of pressure-induced background leakage and the maximization of network resilience [23]. It is recognized nowadays as a fundamental problem because utilities must both cope with the management of water losses and prevent the disruption of WDN services [25]. The success of controlling WDN water leakages is an important issue contributing to a more sustainable management of natural resources that impacts on economics and society.
While two kinds of optimization approaches are present in the scientific literature, e.g., metaheuristic and exact approaches, very few papers have so far been dedicated to their comparison and to the identification of pros and cons of either approach in the context of design-for-control of WDNs. To bridge this research gap, a metaheuristic based on the concept of simulated annealing [16] is applied in the present paper to the problems resolved in [23] by means of a deterministic global optimization algorithm. This is instrumental to apply the innovative methodological analysis developed in this paper that will serve to dissect the solutions obtained by both methods in the light of their mathematical structure. Linking these mathematical characteristics to the results in terms of hydraulic functioning of the networks is also a fundamental step in this paper and will allow for an in-depth interpretation of any cross-effects, thus contributing to the flow of knowledge in WDNs. Furthermore, a comprehensive understanding of the underlying mechanics of these methods can promote more promising research directions for accurately solving real-world problems.
This paper is organized as follows. In the Section 2, the problem in question is analyzed, and additional details about the main motivation for this paper are provided. The Section 3, on materials and methods, presents the instrumental part of the methodology developed for the analysis (models and methods are introduced and commented on), as well as some important theoretical concepts to characterize the resolution approaches. Case studies are also described in this section. Then, Section 4 contains a detailed comparison of the solutions provided by the sBB algorithm presented in [23] and the metaheuristic approach based on the concept of simulated annealing, emphasizing the hydraulic impact of their use in terms of pressure and resilience management. This is followed by the Section 5, where the results are thoroughly discussed, further developing on the methodological concepts already introduced in the Section 3. The main takeaways from this work are summarized in the conclusions, highlighting how the integration of the best features of each approach can contribute to promoting a step forward in resolving WDN problems.

2. The Design-for-Control Problem

The subdivision of a WDN into sectors or district metered areas (DMAs) is common practice for pressure control and leakage reduction [24]. DMAs began to be implemented in the nineteen-eighties by water utilities around the world. Lambert [26] argues that high nodal pressure needs to be controlled to reduce water loss through leaks and to reduce burst pipes. Daily pressure control can prevent these problems. To minimize pressure, some utilities have subdivided the WDNs into small DMAs for pressure control and demand metering. The divisions are made by closing boundary valves to form network sections supplied from a single point for flow measurement and downstream pressure control. DMAs have been studied from different perspectives, for example, Ref. [27] to partition real Mexican WDNs; Ref. [28] to detect and remove leakages; Ref. [29] to simultaneously optimize leakage reduction and WDN partitioning; Ref. [30] to quantify leak volumes; Ref. [31] to transform intermittent water supply into a constant supply WDNs; and Ref. [32] for water quality control.
Wright et al. [33] and Wright et al. [34] made progress in this area by proposing DMAs with a dynamic topology. Wright et al. [34] argue that segregating DMAs is very useful for reducing and locating leakages, but it also has a severe impact on reducing the network resilience. The proposed dynamic DMAs combine the benefits of static DMAs for leakage reduction with improvements in the resilience of WDNs. This is achieved by sectoring the network at night (low volume demand conditions) to reduce pressure and decrease leakage, and during the day, some of the DMAs are aggregated to respond to extra demand conditions, which improves the WDN’s resilience by supplying water to consumers at the appropriate pressure. This can be performed in practice by remotely controlling flow and pressure via pressure control valves.
Giudicianni et al. [35] also prefer dynamic DMAs to respond to disruption scenarios such as burst pipes, sudden changes in water demand, or changes in network topology. Another problem is related to water age issues; these can arise in low consumption areas with water stagnation if traditional DMA segregation is used. These problems can be prevented by using dynamic DMAs, where previous small-sized DMAs are aggregated into larger sets.
The single objective problem of optimizing WDN control by pressure control valves to minimize the AZP was solved by [24] with a method based on sequential convex programming. Pecci et al. [36] take it a step further when solving DMA design and operation problems by optimal placement and operation of pressure control valves with the objective of minimizing AZP. For this, they propose a penalty and relaxation method to solve a problem combining binary variables for valve placement with continuous variables for valve control (representing operational settings that define the outlet pressure in valves). The minimization of the average zone pressure (AZP) objective was recently considered by Refs. [37,38] in a single objective problem of minimizing AZP for localizing and operating pressure-reducing valves and chlorine booster stations in WDNs. Heuristic methods have instead been used for valve placement and control by [39], with a multi-objective genetic algorithm designed to minimize the number of valves and reduce the total leakage. Creaco and Pezzinga [40,41] embedded mathematical programming for valve control into genetic algorithm-based optimization aimed at the optimal location of control valves. Furthermore, Ref. [42] also used such methods with a sequential addition algorithm and NSGA-II for maximizing the equity and the impact on the supply at each node of the network.
Recently, the bi-objective problem of controlling water losses by minimizing the pressure-induced background leakage, addressed by [23], has created a new area of research by developing an innovative global optimization tailored method to approximate the Pareto front. Decreasing the background leakage in WDNs is associated with reducing average zone pressure (AZP). A conflicting objective is to maximize the resilience of the network, given by the index proposed by [43]. This index increases with rising nodal pressure. This resilience index has often been used as a measure of reliability in the literature on the optimization of WDNs [1].
It is clear that the literature still lacks the application of metaheuristics methods to solve a multi-objective problem like the one proposed by [23] with AZP and resilience as objectives. As previous comparisons of metaheuristic algorithms and mathematical programming suggested that none of the methods should be discarded, the results obtained by the use of a metaheuristic will allow comparisons to be promoted with regard to the results from [23]. Therefore, the Multi-objective Simulated Annealing with new Generation and Reannealing procedures (MOSA-GR) algorithm proposed by [16] will be updated to deal with the innovative sequence of intertwined calculations developed in this paper to simultaneously address the choice of locations for installing new valves and the definition of their control settings, as well as the locations of new pipes and their sizes. As mentioned above, MOSA-GR will play an instrumental role in performing calculations and determining solutions to the problem at hand. This is fundamental for the implementation of the new methodological approach developed to evaluate the results of the sBB method and of the metaheuristic method.

3. Materials and Methods

3.1. Multi-Objective Model

The problem of the optimal design-for-control takes into account two objectives: one is to minimize the average zone pressure (AZP) as a surrogate measure of pressure-induced background leakage, and the other is to maximize the resilience index (Ir), a surrogate measure for resilience, to maintain proper conditions for delivering customer demand [23]. The average zone pressure [24] minimization is computed by Equations (1)–(3) and the resilience index proposed by Todini [43] is formulated in Equation (4).
min A Z P = 1 W j = 1 N N w j H j E j
w j = m = 1 N P I j L m 2
W = j = 1 N N w j
max I r = j = 1 N N Q C j H j H m i n j r = 1 N R Q r H r j = 0 N N Q C j H m i n j
where AZP—average zone pressure; W—AZP Normalization factor; NN—number of nodes; wj—weight of node j; Hj—head of node j; Ejelevation of node j; NPIj—number of pipes incident to node j; Lm—length of pipe m; Ir—resilience index; QCj—demand at node j; Hminj—minimum head at node j; NR—number of reservoirs; Qr—discharge from reservoir r; Hr—head at reservoir r.
The aim is to simultaneously optimize the design and operating conditions of a WDN by minimizing the AZP and maximizing the resilience index. The AZP is a weighted sum of nodal pressure, with the node weights defined according to the length of pipes connected to each node, and it is used in [23]. AZP reduction is achieved by decreasing network pressure, and these low-pressure values help reduce pipe damage and leaks [44]. The resilience index is an indirect measure of reliability expressing the surplus of power delivered to WDN nodes, compared to the minimum power surplus meeting users’ satisfaction. As the pursued increase in resilience is achieved by increasing service pressure, which is, however, accompanied by the undesirable growth of leakage, the two objectives are clearly conflicting. However, this surplus of pressure can be used in critical operational scenarios such as those related to segment isolations or hydrant activations.
Conversely, the minimization of AZP and leakage causes service pressure reduction and, therefore, the lowering of Ir. Optimization runs aimed at simultaneously maximizing Ir and minimizing AZP will yield Pareto fronts of optimal solutions in the trade-off between these two objectives. In this context, it must be stressed that the use of Equation (4) is motivated by the need to obtain results that can be compared with those of [23]. In fact, as the original resilience in Equation (4) was proposed by [43] for WDNs with demand-driven nodal outflows, with no account of leakage and pressure-driven outflow to users, a generalized resilience failure index was later proposed by [11] to overcome this assumption. This aspect will be analyzed in more detail later.
The optimization model includes sets of constraints (1) to ensure the satisfaction of energy and mass conservation laws for pipe flows and associated head losses’; (2) to ensure minimum and maximum values for node heads and pipe flow rates; (3) to limit the diameters to be chosen from a set of commercially available ones when there is an option to include new pipes; (4) to embody binary variables to model the status of candidate valves and links or to prevent the installation of specific combinations of valves and links (see [23]) for details of the formulation of all the constraints.

3.2. Multi-Objective Optimization Approaches

3.2.1. Multi-Objective Simulated Annealing Algorithm

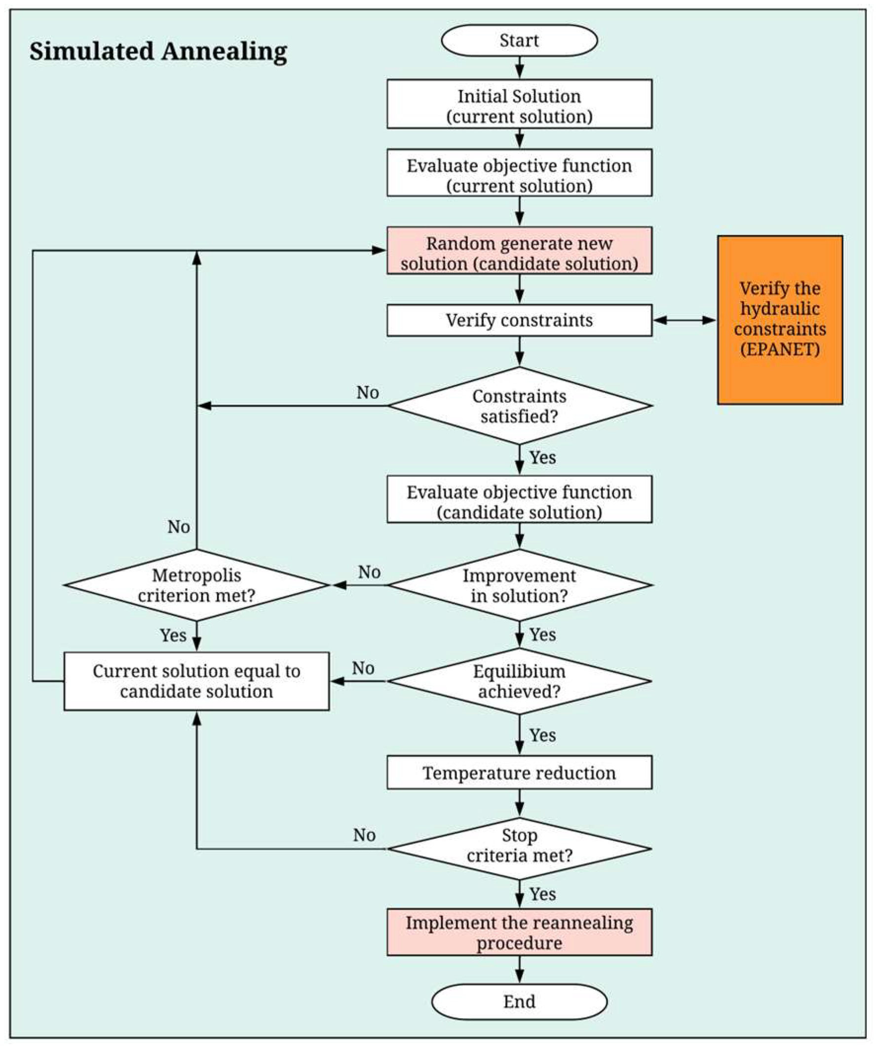
In this paper, the multi-objective simulated annealing with new generation and reannealing procedures, MOSA-GR, developed in [16] is instrumental to solve the bi-objective optimization problem presented above, to produce results to be compared with those of [23]. It is based on the concept of simulated annealing, which was first introduced by [45] and later widely applied to solve single-objective optimization problems. MOSA-GR has been used in the area of WDNs, and in [16] it is compared to other metaheuristics. It was able to handle very difficult problems and find good quality solutions in reasonable computational time, outperforming a large spectrum of metaheuristics and procedures commented on [13]. Additional features were added to MOSA-GR in this paper to deal with design-for-control problems. The various steps followed by the innovative sequence of intertwined calculations developed in this paper to simultaneously embrace the specific choice of locations for installing new valves, new pipes, and their sizing, and the definition of valve control settings are presented in the pseudocode inserted further (pseudocode). After performing an initial group of iterations to generate new solutions based on the classic procedure for SA, the new MOSA-GR procedure to generate candidate solutions (possible valve locations or new pipes or possible settings proposed to be evaluated throughout the iterative optimization procedure) is applied. It explores the neighborhood of other solutions chosen from different areas of the Pareto front (extreme solutions, uncrowded areas, mean value solutions of both objectives, and knee area solutions), as explained in [16]. The generation procedures are cast into the upper red rectangle indicated for the generation of new solutions of the general simulated annealing flowchart of Figure 1. The pseudocode below is used for each specific generation of a candidate solution based on a current solution of the front. Therefore, an inner loop to define the settings of pressure reduction valves (PRVs) and status (open/closed) of boundary valves (BVs) is embedded into an outer loop for the intertwined design (for sizing new pipes and defining the insertion of PRVs and BVs among their possible locations).
Pseudocode: Generation process of new candidate solutions
Input: current solution, counter of inner loop generations
IF counter = number inner loop generations THEN
  Generation of candidate solutions by a design change (Outer loop)
    Choose at random a network link. The link may correspond to a location for a new pipe installation or the location of valve links such as BVs or PRVs
    IF link = new pipe location THEN
      Generate candidate solution by altering the diameter of the new pipe
    ELSE IF link = BV location THEN
    Generate candidate solution by altering the status of the valve (BV):
      IF valve status = Open THEN
        Close valve
      ELSE
        Open valve
      END IF
    ELSE IF link = valve PRV THEN
    Generate candidate solution by altering the status of the valve (PRV):
      IF valve status = Active THEN
        Open valve
      ELSE
        Active valve
      END IF
    END IF
    counter = 0
ELSE
  Generation of candidate solutions by an operation change (inner loop)
    Generate candidate solution by altering the valve settings of BVs or PRVs:
    Choose at random an active BV or PRV
    Choose at random an hour from the operation set
    Change the value of the valve setting between maximum and minimum allowed values
    IF Setting = Max THEN
      Decrease valve setting
    ELSE IFSetting = Min THEN
      Increase valve setting
    ELSE
      Randomly increase or decrease the valve setting
    END IF
    counter = counter + 1
END IF
Output: candidate solution
Figure 1. Simulated annealing flowchart.
Each time a solution is generated, the algorithm calls upon a hydraulic simulator to verify the constraints (orange rectangle on the right in the flowchart in Figure 1). When the stopping criteria are met, a reannealing procedure (lower red rectangle of the flowchart) is accomplished using a local search procedure (see [16]).

3.2.2. Characterization of the Bi-Objective Global Optimization Approach

An overview of the spatial branch-and-bound algorithm, sBB, is briefly described below (see [23] for details) so that its results can be interpreted and compared with those obtained by MOSA-GR. Ulusoy et al. [23] develop a novel tailored method to approximate the Pareto front, i.e., (using quotation marks) “a set of potentially non-dominated solutions as well as global non-dominance bounds, in the form of a superset of the Pareto front”. The “potentially non-dominated solutions with global non-dominance bounds” are determined following an iterative procedure that implements the sBB algorithm. After applying a scalarization method to define a sequence of single-objective mixed-integer nonlinear problems (MINLP) based on an ε-constraint method [46], sBB is applied to compute upper and lower bounds on the optimal values of the MINLP sequence of parametrized single-objective problems. A quadratic version of the Hazen–Williams equation is proposed to evaluate the friction head losses associated with pipe flows [47]. Lower bounds are determined using a mixed-integer linear approach (MILP) after performing a linear outer approximation to relax the non-convex head loss equality constraints (limitations on the application of this method in such circumstances are mentioned in [48]). A polyhedral envelope method is implemented for this purpose. A linear reformulation of the resilience index is also executed. Upper bounds correspond to “locally optimal solutions” determined by the sBB after fixing the values of the binary variables “corresponding to the lower bounding MILP relaxations”. This will allow the use of an NLP solver to conclude the calculations. The iterative process continues until “the relative optimality gap between upper bound and lower bound is smaller than a specified tolerance”. After showing how to combine the results obtained by implementing this procedure and using the Pareto filter algorithm to eliminate the dominated solutions, Ref. [23] define a “tighter superset of the Pareto front” of BOMINLP. This is a novel approach that outperforms other existing well-known mathematical optimization algorithms from the literature, such as SCIP and BARON (see details in [23]).

3.2.3. Synthesis of Solving Approaches

The main limitations specified in [22,23,49] with regard to heuristic methods should be put in the context of the main concerns about finding the best options for solving engineering problems. Real-world engineering problems are complex and challenging operations research problems; they are often nonlinear and include discrete variables [50]. In fact, these are Non-deterministic Polynomial time hard problems with difficult resolution, since algorithms that solve them in polynomial time are not available when large instances of such problems are at stake [51].
The literature shows that after spending a long time on various efforts to solve mixed integer nonlinear engineering problems and understanding the main difficulties that persist in this endeavor, new methods emerged, these being the so-called heuristic and metaheuristic methods. Firstly, they were tailored to tackle specific problems, and later, the so-called “modern heuristics” [52] made an attempt to create general heuristic methods.
The accuracy of the representation of the real-world problem, in terms of incorporating all the crucial aspects to fully characterize the essence of the problem analyzed, is an issue when dealing with engineering problems. This is a complex but worthwhile task, as its potential accomplishment will provide decision makers with powerful tools to be used in real-world engineering problems. A great deal of work has been developed on this topic, and the literature presents systematized ways to categorize types of models by taking into account the level of accuracy accomplished in the representation of a problem [53].
In Table 1, the main characteristics of the metaheuristic algorithm (MOSA-GR) used in this paper are outlined with the sBB approach of [23], in terms of resolution method characteristics and how objective functions and constraints are handled.
Table 1. Characteristics of the approach used by MOSA-GR in this paper and the approach proposed in [23].

3.3. Case Studies

Since the aim of this work is to compare and analyze the performance of the novel global optimization method (software not commercially available) developed by Ref. [23] and the MOSA-GR metaheuristic developed by Ref. [16] and enhanced in this paper by a novel sequence of intertwined calculations, the same case studies must be used by both methods simultaneously. Furthermore, systematizing the information required to implement the methodological analysis proposed in this paper requires a clear protocol to promote a fair comparison of the methods under evaluation. Therefore, the same optimization models (objectives and constraints) and the data used to feed them must be the same. This is the reason to adopt the optimization model (a multiobjective one) presented in [23]. The mass of results provided by the application of such an optimization model is of fundamental importance for the evaluation of the solution methods at stake. The case studies (and corresponding results) used are the Pescara network, a medium-sized real-world case study (from Italy), and Net 25, a small academic case study, included in [23]. The size of the case studies has the advantage of allowing an exhaustive analysis of their hydraulic functioning for a closer and deeper understanding of detailed aspects. This will make it easier to identify cause and effect relationships and interpret any cross-effects that may arise. In the following section, the MOSA-GR algorithm is applied to solve these two case studies. Therefore, the solutions available in [23] will be compared with the results thus obtained. They will serve to deeply explore the features of both methods based on the myriad of results examined using a wide range of analytical perspectives.
The Supplementary material of [23] includes detailed information about these networks. It is directly available in https://link.springer.com/article/10.1007/s11081-021-09598-z#Sec29 (accessed on 17 September 2025).

3.3.1. Pescara Network

The first case study is a modified version of the Pescara WDN (of the medium-sized city in Italy), initially proposed by Ref. [54], and here including the possible location for valve placement and a few additional pipes. This WDN has 3 reservoirs, 71 nodes, and 99 links simulated for a single time step. Hazen–Williams equations are used to compute pipe head losses. The constraints are a minimum pressure head of 10 m required at nodes with water demand and 0 m at nodes without demand, while a maximum speed of 3 m/s is permitted for pipes, and the use of a single pipe diameter per new installation link is required. The Pescara layout is shown in Figure 2, and the data corresponding to this network for implementing the EPANET2.0 hydraulic simulator [55] can be found in [23]. New pipe links (NP) can be installed in 11 predefined possible locations, as shown in Figure 2. Three pipe diameters (100, 150, and 200 mm) can be used in these links when a new pipe is installed. Furthermore, three new PRVs can be installed at the network points marked in the same figure. If they are installed, their settings have to be defined.
Figure 2. Pescara network.

3.3.2. Net 25

The second case study (Figure 3) is the modified Net25 network proposed by [49]. This consists of a WDN with 3 reservoirs, 17 nodes, and 26 links. Of the 26 links, 3 correspond to existing PRVs, 8 to BVs, and 15 to pipes. The network is simulated for 24 h with a one-hour time step. For this problem, the formulation of AZP and Ir objectives and constraints is extended to consider all time steps. Hazen–Williams equations are used to compute the pipe head losses. In terms of constraints, minimum pressure heads of 10 m and 0 m are required at the nine nodes with consumption and at the eight nodes without water consumption, respectively. Other specific constraints are that a maximum velocity of 2 m/s is allowed for pipes and the consideration of the DMAs’ pairing limits according to [49]. Pairing of two DMAs excludes pairing opportunities with other neighboring DMAs. This network characterization for implementing the EPANET hydraulic simulator [55] can also be found in [23], and the layout is in Figure 3. Ulusoy et al. [49] also assume, for this problem, that “all nodes with positive demand represent DMAs”. The boundary valves (possible location of BVs in Figure 3) can be used to open or close links. If these valves are closed, isolated network nodes can be defined (the DMAs), but the redundancy to supply these nodes is reduced. The problem is to define the status of these BVs in 8 possible locations (the same for each valve for 24 h) and to define the control of the existing 3 PRVs for the 24 h of daily operation.
Figure 3. Net 25 network.

4. Results

4.1. Pescara Results

4.1.1. Characterization of the Pescara Pareto Front

The decision variables of the Pescara case study imply the possibility of installing 11 new pipes with three possible diameter sizes, installing three PRVs downstream of the reservoirs, and defining the PRV control settings if these valves are installed.
The MOSA-GR results for four runs are presented in Table 2 in terms of the computation time and the number of (non-dominated) solutions obtained for different numbers of function evaluations (NFEs). This is a parameter normally used to compare the computational effort of different optimization methods [13].
Table 2. Computation time and number of solutions for different NFEs for the Pescara network.
The number of solutions found for four MOSA-GR runs with NFEs varying between 75,493 and 1,553,890 ranges from 3309 to 6420 solutions. The computer used to achieve these results is an Intel Core i-8700k 3.70 GHz, 16.0 GB RAM and with a 64-bit operating system.
It can be stated that a small number of NFEs is enough to determine a large number of solutions (3309). Another conclusion is that, in terms of the number of solutions, it is not necessary to extend the process to too many NFEs. In fact, the number of solutions obtained for 1,553,890 NFEs is just 6% higher than the number of solutions obtained for less than half of these NFEs (769,891). There is no need for such a high number of solutions to draw a Pareto front to understand the trade-off between the two objectives. The computation times range between 287 s and 6406 s for these four MOSA-GR runs.
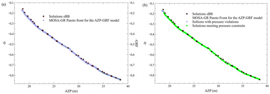
Additional details about MOSA-GR results are given in Figure 4, as well as about solutions defined by sBB [23]. Figure 4a displays the printed solutions corresponding to 769,891 NFEs compared to sBB solutions.
Figure 4. (a) MOSA-GR solutions for Pescara from 769,891 NFEs compared to sBB solutions for the AZP-Ir and Ir-AZP problems; (b) Fronts for different numbers of NFEs.
Supplementary material displays fronts in Figure S1 (available in [56]) for all NFEs (from Table 2) separately used to draw Figure 4b. This figure includes sets of non-dominated solutions obtained by four MOSA-GR runs with different computational efforts that are then compared with the solutions found using the sBB algorithm proposed by [23]. The increase in NFEs tends to densify the Pareto front with more non-dominated sets of solutions. These improvements cannot be observed easily because there are very slight variations in the density and in the values of the front points. The zoomed areas in Figure 4b show the improvement in solutions related to the number of NFES performed, and the overlapping of the fronts obtained with 1,553,890 and 769,891 NFEs. The upper zoomed area shows that there are no sBB solutions included there.
The results of [23] were obtained after using the ε-constraints scalarization method, allowing the Pareto front to be defined by solving single objective problems. They solved a sequence of single objective optimization problems by first minimizing AZP and introducing different ε-constraint levels on the second objective Ir (this is the AZP-Ir problem), and then, a second sequence of single objective optimization problems is solved in order to minimize Ir and introducing different ε-constraint levels on the other objective AZP (this is the Ir-AZP problem). The solutions obtained after converting sBB results using the original Hazen–Williams head loss equation are available in the [23] Supplementary material (in fact, sBB used an approximate formulation for the Hazen–Williams equation to be mentioned and discussed later on in this paper). Twenty solutions were obtained sequentially for each of these scalarized problems. The computational time was 5 min to determine each solution, and as 40 solutions were obtained, this amounted to 12,000 s. Assuming realistically a similar computational performance, the computational time to obtain each of the solutions presented in [23] is approximately the same as the time taken by MOSA-GR to obtain 3309 solutions. This challenges the statements of [22,23,49] about metaheuristics being much more time-consuming than global optimization methods. It is important to note that these assertions were made based on the same or similar case studies.
Supplementary material (Table S1 available in [56]) reports the values of the objectives of the non-dominated solutions from AZP-Ir and Ir-AZP problems (33 of the 40 are non-dominated) from sBB algorithm available at [23], as well as the values obtained by MOSA-GR (for different NFEs) that are closest to the sBB solutions. Regarding objective values, the results of MOSA-GR are quite similar to those of sBB, except for the low AZP area of the front where the MOSA-GR values are above the sBB values, particularly the single minimum AZP extreme solution of the AZP-Ir (see Figure 3). However, even slight differences should be taken into account when comparing the solutions of the two optimization methods. In fact, the values of the objectives are calculated with equations aggregating simultaneously a large spectrum of information. Therefore, the meaning of such solutions should be clarified in terms of the hydraulic functioning of the network. This issue merits a closer analysis later in this paper. Table 3 presents just the extreme values of the Pareto front displayed in Figure 4 that can be found in Table S1 (available in [56]).
Table 3. Comparison of objective values of the two approaches for the Pescara network.

4.1.2. Comparison of Specific Network Designs

The difference in objective values between MOSA-GR and sBB algorithms is first analyzed for a particular pair of design solutions. The maximum value of the resilience index is obtained in the situation of the maximum nodal pressure rates across the whole network. This is achieved for the Pescara case study if no pressure is reduced by PRVs and if the maximum diameter is given to the 11 new pipes. The values of the objectives for this network design are: AZP = 27.809 m and Ir = 0.451 by MOSA-GR (Table 3). This is the extreme point of the MOSA-GR front corresponding to the highest Ir. However, the extreme sBB solution of the front (Figure 4) is a solution defined without PRVs but with 10 new pipes: 2 of 100 mm, 3 of 150 mm and 5 of 200 mm. The objective values for this sBB solution are mentioned in Table 3: AZP = 27.926 m and Ir = 0.452. If the EPANET hydraulic simulator [55] directly determines the values of the objectives for this solution, then AZP = 27.66 m and Ir = 0.449 are obtained (using the original Hazen–Williams head loss equation and not its quadratic approximation). This means that sBB failed to determine the extreme point of the front for the highest Ir. These objective values are functions of the nodal pressure rates (Equations (1) and (4)).

4.1.3. Detailed Comparison of Solutions for Pescara

The values of the objectives of the non-dominated solutions from AZP-Ir and Ir-AZP problems (33 of the 40 are non-dominated) from sBB algorithm, and the values obtained by MOSA-GR that are closest to the sBB solutions are compared with regard to the number of new pipes used to reinforce the Pescara network for a given specific diameter (see Table S2 in Supplementary material available in [56], including diameter sizing, for these comparisons). It can be seen that all 33 pairs of design solutions of sBB are different from those of MOSA-GR. The number of new pipes for sBB tends to be higher than for MOSA-GR (for 21 solutions out of 33), but in terms of diameter size, the trend is for MOSA-GR to use larger pipe diameters than sBB; sBB results show 53 pipes with 100 mm, 40 with 150 mm, and 58 with 200 mm, while MOSA-GR uses 27 with 100 mm, 9 with 150 mm and 100 with 200 mm. Another trend is that MOSA-GR uses more PRVs than sBB; for the 33 solutions, these valves are used 70 times in MOSA-GR and 51 times in sBB (see Table S3a,b available in [56]).
The solutions of the optimization problem with a high Ir value, obtained by means of MOSA-GR, tend to use a large number of new pipes with large diameter sizes and to avoid installing PRVs. These configurations are used to increase the nodal pressure as much as possible throughout the network. The opposite occurs with solutions to minimize AZP values. These tend to use all three PRVs downstream of the reservoirs, and to reduce the network pressure as much as possible and use a few new pipes with small diameters. The solutions from sBB for high Ir value and to minimize AZP values follow the same trend as in MOSA-GR; however, the number of pipes is lower for both extreme solutions as well as diameters assigned to these few pipes (see Table S3a,b).
Additional comparisons of MOSA-GR and sBB solutions are carried out, taking into account four different areas of the Pareto front shown in Figure 5 (6 solutions between AZPs Max–26.0 m; 9 solutions between AZPs 26.0 m–22.1 m; 12 solutions between AZPs 22.1 m–18.2 m; and 6 solutions between AZPs 18.2 m–Min). To promote this analysis, it is important to emphasize that the original Pescara network [54] does not consider the installation of reinforcements involving the 11 new pipes that can be used in the present case study. The hydraulic information characteristics of the original network comprise nodes located in some areas where pressure is lower than in other areas (if the present nodal demands are used to simulate the existing network). These nodes are in the vicinity of some of the possible locations for installing new pipes, NP1, NP2, NP3, NP4, NP7, NP8, and NP9 (Figure 1). These are the areas of the network where it is most difficult to ensure the minimum pressure required. The nodes in these zones are, therefore, regarded as critical nodes for further discussion. It must also be mentioned that [23] do not provide the values of valve settings.
Figure 5. Pescara network Pareto front divided into four parts.
Based again on the information included in the supplementary material (Tables S1, S2 and S3a,b available in [56]) and on Figure 5, the following can be observed:
  • In general, the differences between the designs of the MOSA-GR and sBB tend to increase when we move to solutions with lower AZP. Among AZP Max-26.0 m solutions, two pipes, NP7 and NP11, sized with a diameter of 200 mm, are those that show the greatest differences. In the six solutions for this part of the front, MOSA-GR does it in all of them, and sBB only twice. Between AZPs 26.0 m–22.1 m, additional differences are noticed for these two pipes: the diameter 200 mm appears nine times in MOSA-GR solutions for pipe NP7 and NP11, and only once in SBB for pipe NP7, and it is not used for NP11; the diameter 150 mm is used four times for NP7 for sBB, and it is not used by MOSA-GR. NP10 is also sized differently by both methods: a diameter of 200 mm appears eight times in sBB and zero times in MOSA-GR solutions.
  • For the intervals with low AZP values (22.1 m–18.2 m and 18.2 m–Min), the differences are even higher; there are seven pipes with significant differences: the NP7 200 mm, NP11 200 mm, NP7 150 mm, and NP10 200 mm are joined by NP3, NP5, and NP9 sized with a diameter of 100 mm. In the 18 solutions for these parts of the front, the relation (/) between MOSA-GR and sBB, in terms of number of pipes sized with a given diameter, is as follows: for NP7, 200 mm—18/2; for NP11, 200 mm—17/0; for NP7, 150 mm—0/14; for NP10, 200 mm—0/16; for NP3, 100 mm—3/14; for NP5, 100 mm—2/17; and for NP9, 100 mm—2/6. These low AZP areas of the Pareto font are the ones where we find the largest number of PRVs. In the 18 solutions for these parts of the front, MOSA-GR uses PRVs 49 times and sBB 33 times.
There are two pipes, NP7 and NP11, that deserve further attention:
  • MOSA-GR uses the 200 mm diameter to reinforce the NP7 pipe many times more (33) than sBB (5). NP7 is very important because it allows an additional connection of two parts of the network that in the original network are unconnected. It is through this reinforcement that MOSA-GR solutions make it possible to supply water while complying with minimum pressure levels at critical nodes in the central area close to the NP7 pipe. This reinforcement is used by MOSA-GR in all four parts of the front. The use of a smaller diameter by sBB in solutions with lower AZPs may compromise the compliance with minimum pressure values at the nodes in the vicinity of this reinforcement. sBB also uses a 200 mm diameter in NP10 (30 times), which also allows an additional connection of two parts of the network, but this reinforcement is not so relevant because the nodes in the neighborhood of this pipe are not as critical as those close to the NP7 pipe.
  • In all four parts of the front, MOSA-GR reinforces NP11 with a diameter of 200 mm in almost all solutions (32 out of 33). The NP11 with a 200 mm diameter is used by MOSA-GR because it reinforces an area of the network where there are pipes that have high flow velocities and, therefore, significant pressure losses in the original network. The use of this pipe with the largest possible diameter allows velocities to be reduced in pipes and pressure to increase in critical network nodes close to NP9. The NP11 pipe is essential to prevent pressure violations, especially in solutions in the AZP 18.2 m–Min interval. The sBB only uses this reinforcement twice, in the part of the front with the highest AZPs, but no reinforcements are considered in low AZP solutions, and then the fulfilment of minimum nodal pressure requirements could be hampered.
It is clear that the area corresponding to lower AZP values (where the MOSA-GR values are above the sBB) presents the most divergent results (see Figure 4 and data from Tables S1, S2 and S3a,b in the supplementary material available in [56]). For a full interpretation of these results, the reflection below is necessary.

4.1.4. Comments on the Ir Resilience Index and Solutions with Low AZP Values for Pescara

Resilience, as defined by Ref. [43] to evaluate WDNs, together with maximum pressure constraints, will lead to results ranging from zero to one for this index. Therefore, taking into account Equation (4) (also mentioned in [23]), node pressure should never violate the minimum pressure requirements. The results presented in Table 2, detailed in the Supplementary Materials (Tables S1 and S2 available in [56]) for MOSA-GR, were obtained while ensuring that all the constraints during the iterative procedure are met, and any relaxation or approximation of constraints is not considered in the MOSA-GR algorithm (as is clear in the flowchart in Figure 1 and in Table 1).
As already mentioned, in the front area of low AZP values, the MOSA-GR solutions are above the sBB solution. This is the front area where the network design solution tries to minimize the nodal pressure so as to reduce the AZP objective as much as possible. In Ref. [23], it is stated that “For the AZP minimizing configurations more than 90% of all simulated pressures violate minimum pressure requirements by less than 0.04 m in Net 25, while all simulated pressure violations are below 0.02 m in Pescara”. Therefore, in this area of the front it seems that minimum pressure requirements are not fully satisfied by sBB, and this could be the reason for the difference between solutions in this part of the front (resilience in [23] is actually determined by summing up negative and positive terms, due to the presence of some pressure violations).
In Section 4.1.3., the design differences between MOSA-GR and sBB are clear, particularly for low values of AZPs, which helps to understand why MOSA-GR solutions meet all the minimum pressure requirements, even at the most critical nodes in the network.
Another comment that should be made is that dropping pressure below the threshold value would cause nodal outflow to users to fall below demand, according to the pressure-driven modelling of outflows.
As already mentioned in the methodology section, in the presence of leakage and other pressure-dependent outflows, the generalized resilience failure (GRF) index proposed by [11] should replace Todini’s resilience index [43]. GRF is based on the original resilience index proposed by [43] and presented earlier in Equation (4). The GRF (Equation (5)) is the sum of the resilience (Equation (6)) and the failure index (Equation (7)). The GRF value is a measure of the power surplus/deficit of WDNs and is equal to the resilience index when it is greater than 0, or it is equal to the failure index if it is less than 0. Details about this GRF index can be found in [11].
m a x G R F = I r G R F + I f G R F
I r G R F = m a x ( j = 1 N N C n j H j Q C j H m i n j ) , 0 r = 1 N R Q r H r i = 0 N N Q C j H m i n j  
I f G R F = m i n ( j = 1 N N C n j H j Q C j H m i n j ) , 0 i = 0 N N Q C j H m i n j
where GRF—generalized resilience/failure index; IrGRF—resilience index for GRF; IfGRF—failure index for GRF; Cnj—outflow delivered in node j.
The consideration of this GRF index requires the use of a pressure driven hydraulic simulator as the demand is not fully delivered if pressure values are lower than the minimum required. The pressure-driven simulator used to implement the multiobjective simulated annealing in these new conditions is the EPANETpdd [57], an upgrade of the original EPANET [55]. Resolving the problem of minimizing AZP (Equation (1)) and maximizing the GRF (Equation (5)), the solutions obtained are given in Figure 6. In Figure 6a results from sBB should be read in the left axis (Ir) and results from MOSA-GR are displayed in the right axis (GRF). In Figure 6b, the GRF results are converted into Ir values to clarify the comparisons. In the green part, all the MOSA-GR pressure constraints are met, while the blue part includes solutions that do not meet the pressure constraints (see Table S4 in the Supporting information available in [56]).
Figure 6. (a) MOSA-GR Pescara solutions considering the objective GRF and the sBB solutions obtained from the AZP-Ir and Ir-AZP problems; (b) The same results with GRF solutions converted into Ir solutions.
MOSA-GR solutions considering GRF maximization and AZP minimization are similar to the sBB solutions across the whole front. In the minimum AZP area of the front, the use of GRF enables MOSA-GR solutions to approach the sBB solution if the minimum pressure requirements are not fully met. Solutions with low AZPs are characterized by the use of the three new PRVs installed downstream of the reservoirs that decrease nodal pressure throughout network, and new pipe diameters in more or less half of the possible locations (pipes with diameters of 100 mm, 150 mm, and 200 mm) that are used to try to keep the resilience at a relatively acceptable value and, with that, keep nodal pressure close to the required minimum of 10 m. In all the solutions obtained considering GRF, 98.2% of all simulated pressure values either satisfy minimum pressure limits or violate them by less than 0.02 m.
A Lagrangian relaxation method was also implemented (Figure S2 and Table S5 in the Supplementary material of [56]) and similar results were obtained.

4.1.5. Effects of Compliance or Non-Compliance with Constraints

The results presented in Section 4.1.1., Section 4.1.2., Section 4.1.3. and Section 4.1.4. show some limitations of the sBB optimization method. In fact, there are parts of the front where constraints are not verified, particularly in the low AZPs area, and even the extreme point in the high Ir area is not found. The effects of compliance or non-compliance with the constraints merit further analysis in order to understand the impacts on the hydraulic functioning of the network. There is not enough data from [23] to make comparisons between sBB and MOSA-GR along the entire front. A more in-depth analysis is, therefore, carried out, including 28 MOSA-GR solutions selected for Min AZP-Max Ir compared to 28 MOSA-GR solutions selected for Min AZP-Max GRF, with very similar AZP values and in the low AZP front zone. This means comparing the fronts obtained with the same algorithm, either satisfying all the constraints (Min AZP-Max Ir) or allowing them to be violated (Min AZP-Max GRF). Table S6 in the Supplementary Materials is available in [56] and reports the target values of the objectives for these 28 solutions (for solutions with AZP values greater than 18.174 all minimum pressure requirements are met). Table 4 presents just the extreme values of Table S6 (available in [56]).
Table 4. Comparison of results using resilience index Ir or GRF as objectives.
These solutions are compared in terms of the number of new pipes used to reinforce the Pescara network from a specific diameter and the PRVs installed (see Figure 7):
Figure 7. Characteristics of the hydraulic design for solutions considering or not the violation of constraints.
  • AZP-Ir sizes NP3 with a diameter of 100 mm several times (cast-off in 10 of the 28 solutions). AZP-GRF solutions do not include NP3 with a pipe size of 100 mm. Similar situations occur in NP5-150 mm and 200 mm, NP8-100 and 150 mm, NP10-100 mm, NP11-150 mm, and NP2-200 mm.
  • In some other cases, the AZP-GRF solutions include more pipes in the 28 solutions than AZP-Ir solutions, as is the case with NP7-100 mm, NP7-150 mm, and NP6-200 mm.
  • The number of pipes used in the 28 AZP-Ir solutions is 133, and in the 28 AZP-GRF solutions, it is 94. In terms of PRVs, the AZP-Ir uses almost all three PRVs in the 28 solutions, and in AZP-GRF, PRV2 and PRV3 are used in the 28 solutions, but PRV1 is used in just 10 solutions.
  • For the solutions of the same level, AZP-Ir solutions tend to use more diameters and control the pressure with more PRVs than AZP-GRF solutions do.
The comparison of pressure rates from some solutions of the Table S6 (solutions a–e, available in [56]) in Figure 8a–e demonstrates that complying with constraints (left side of Figure 8) or not complying (right side of Figure 8) impacts the hydraulic characteristics of the network. The orange circles on the right side underline nodal pressure deficits. The objective values analyzed are (grey values of Table S6 available in [56]): AZP(Ir) = 18.1744 m and AZP(GRF) = 18.1698 m (also in Table 4–first row); AZP(Ir) = 17.8583 m and AZP(GRF) = 17.8507 m; AZP(Ir) = 17.5087 m and AZP(GRF) = 17.5041 m; AZP(Ir) = 17.1501 m and AZP(GRF) = 17.1543 m; AZP(Ir) = 16.8275 m and AZP(GRF) = 16.8249 m (also in Table 4–last row).
Figure 8. (ae) Characteristics of solutions determined by resolving the Min AZP-Max Ir and Min AZP-Max GRF problems using MOSA-GR.
The analysis of networks in Figure 8 shows that as we move down in Table S6 (available in [56]) (from higher to lower AZP values), the effect of fulfilling or not fulfilling the constraints becomes evident. When the constraints are not satisfied (right side of Figure 8), lowering the AZP leads to more and more nodes experiencing pressure deficits associated with pipes 3, 7, 8, 9, and 11. Moving to the lower value of AZPs’ additional areas (right and left of those pipes and to NP4) also leads to lower pressure. The orange circles in this figure correspond to the critical nodes identified earlier and show that these are the areas of the network most susceptible to pressure deficit problems.
The reason for the discrepancies between sBB and MOSA-GR results, mainly linked to constraint violations, can result from the stopping criterion used by the two approaches, respectively, computing time (sBB) and solution quality evolution (MOSA-GR) (see Table 1). For MOSA-GR solutions, it can also be seen that if the algorithm is stopped inappropriately, the solutions obtained compared with the optimal solutions confirm some pressure problems corresponding to different pipe reinforcements and valve settings (supplementary material Tables S7 and S8 available in [56]). Taking from these tables, for example, the solutions with AZP = 18.605 m and Ir = 0.245 (satisfying pressure constraints) and the solution with AZP = 18.598 m and Ir = 0.240 (not meeting pressure constraints), node pressures are displayed in Figure 9. New-sized pipes can be noted for both networks, as well as their results in terms of pressure deficits. For AZP = 18.605 m no pressure deficits are observed; for AZP = 18.598 m, the results obtained by early stopping of the running procedure (just 111 s earlier), constraints are not met in some nodes (red nodes flagged in Figure 9). It is important to note that a solution not fulfilling the constraints would never be accepted by MOSA-GR, as confirmed in the flowchart of Figure 1 and in Table 1. For very similar values of the objectives, the differences between the pressure distribution for both situations are also relevant.
Figure 9. Solution with AZP = 18.605 m satisfying pressure constraints (left); Solution with AZP = 18.598 m not meeting pressure constraints (right).

4.2. Net25 Results

4.2.1. Characterization of the Net25 Pareto Front

The Net25 problem is different from the Pescara case study. The decision variables are related to the status of 8 boundary valves (BVs) and the control of the 3 existing pressure reducing valves (PRVs) across the 24 hourly time steps. In this case, comparisons are also made with sBB solutions.
The MOSA-GR results for 4 MOSA-GR runs with different numbers of NFEs are presented in Table 5. It shows the number of solutions obtained and the computation time using an Intel Core i-8700k 3.70 GHz, 16.0 GB RAM, with a 64-bit operating system computer.
Table 5. Computation time and number of solutions for different NFEs for Net25.
As in the previous case study, a small number of NFEs is enough to provide a large number of solutions (2943). The Pareto front obtained for 514,876 NFEs is presented in Figure 10a, and all the fronts corresponding to different numbers of NFEs from Table 5 are displayed in Figure 10b). Supplementary material (Figure S3 available in [56]) includes fronts for all NFEs used separately to draw Figure 10b.
Figure 10. (a) MOSA-GR solutions for Net25 from 514,876 NFEs compared to sBB solutions for the AZP-Ir and Ir-AZP problems; (b) Fronts for different numbers of NFEs.
The MOSA-GR solutions obtained for 514,879 NFEs with a computation time equal to 1.4 h compare well with the [23] solutions (Figure 10a). The number of solutions found is 5973. Net25 has a smaller number of links and nodes than Pescara (PES), but Net25’s resolution takes longer (for a similar number of NFEs) because the network operation has to be optimized for a set of 24 time steps, and PES is optimized just for a single step, 24 h long. Even so, 1.4 h (Table 5) is less than the computational time taken to obtain the 40 solutions by sBB, which is 3.3 h (5 min for each solution).
Supplementary material (Table S9 available in [56]) reports the values of the objectives of the non-dominated solutions from AZP-Ir and Ir-AZP problems (37 of the 40 are non-dominated) from the sBB algorithm and the values obtained by MOSA-GR (for different NFEs) that are closest to the sBB solutions (Table 6 presents just the extreme points of the fronts). From this information, it is also concluded that there is no need to extend the optimization process beyond 1.4 h because the solutions obtained for 1,023,681 NFEs (Figure 10) are similar to those obtained with 514,876 NFEs.
Table 6. Comparison of objective values of the two approaches for the Net25 network.
In general, the results show that for solutions with higher Ir, more BVs are open to define a more redundant network and to reduce pressure loss in the pipes. More open BVs mean more aggregation of DMAs, which leads to increasing the resilience and the capacity of the network to supply consumers, even in pipe failure conditions. AZP also increases with increasing open BVs. MOSA-GR adopts network configurations that open three or four BVs in solutions with higher Ir and one to two open BVs in solutions with lower AZPs to define more sectorized networks and reduce the pressure delivered to consumer nodes.
In the part of the front where the highest values for the resilience index are observed (Figure 10), the sBB solution with the highest Ir considers all BVs closed except for BVs 3, 4, and 8. The corresponding objective values for this solution are AZP = 38.443 m and Ir = 0.843 (solution in the lowest region of the front with a bottom brown cross in Figure 10). The MOSA-GR yields a solution with the same hydraulic characteristics with regard to the status of BVs and PRVs for the entire 24 h of operation. However, the objective values determined by MOSA-GR are slightly different: AZP = 38.499 m and Ir = 0.841. The AZP value is 0.06 m higher, and the Ir is 0.002 lower. Nevertheless, if sBB values are converted using the EPANET hydraulic simulator [55], the same values as those found by MOSA-GR are obtained. At any rate, it is clear that the MOSA-GR results are similar to those of sBB across the entire front, except for the lowest value of AZP (Figure 10). In fact, it is important to note that the solution from the sBB algorithm with the lowest value for AZP (AZP = 18.689 m and Ir = 0.1597), top brown cross of Figure 10, considers only one BV open (BV2, see Figure 3). The MOSA-GR solution is slightly different from these objective values in that the minimum AZP solution yielded by MOSA-GR is AZP = 18.721 m with Ir = 0.1788 and considers two BVs open, BVs 2 and 7 (see Figure 2), a situation that deserves further analysis. The settings for the three PRVs vary between 16 and 40 m. BV status is presented in Table S10 (available in [56]).

4.2.2. Detailed Comparison of Solutions for Net25

The 37 non-dominated sBB solutions obtained for the AZP-Ir and Ir-AZP problems are compared with MOSA-GR solutions with the most similar AZP values for the NET25 case study. Supplementary material Table S9 is available in [56]. In the supplementary material of [23], the designs for these 37 solutions are offered in terms of the status (open or closed) of 8 boundary valves (BVs). The settings of the three existing PRVs are not included. In the 37 pairs of solutions compared, there are many equal solutions in terms of BV status; specifically, there are 19 pairs of solutions with the same BV status. Pairs of solutions with the same BV status are mainly obtained for solutions with high AZP values. In these solutions, BV3, BV4, and BV8 (Figure 3) are open, and the remaining 5 valves are closed. Furthermore, additional assertions can be made: in the 37 pairs of compared solutions, BV1 is always closed; BV2 is only open for a single pair, that is, the one with the lowest value for AZP (solution pair with AZP = 18.689 m from sBB and AZP = 18.721 m from MOSA-GR). In the 37 pairs of solutions compared, the major differences are found in solutions with the low AZP values. In this area of the front, MOSA-GR finds solutions with BV3 and BV7 open, and sBB solutions tend to just open BV3. By opening an extra BV, MOSA-GR provides additional redundancy to the network and makes it possible to supply the demand and simultaneously satisfy the minimum pressure levels in all network nodes. Opening more BVs tends to increase nodal pressure and so makes it easier to verify minimum pressures.

4.2.3. Comments on the Ir Resilience Index and Solutions with Low AZP Values for NET25

The same considerations raised for Pescara about the values expected for the resilience index can be repeated here. Also, in the Net25 case study, pressure requirements are not fully met in [23]. In fact, according to [23], for Net25, “more than 90% of all simulated pressures violate minimum pressure requirements by less than 0.04 m”.
Net25 was also tested with the MOSA-GR using the GRF objective (Equation (5)) to allow nodal pressures smaller than 10 m. As such, the minimum allowable pressures may be lower than the minimum required. The solutions found by the MOSA-GR, using the objective of maximizing GRF and a pressure-driven simulator, are shown in Figure 11. This allows MOSA-GR to extend the front and reach the minimum AZP value of 18.488 m, which is lower than AZP = 18.689 m from sBB. Comparing the lowest AZP hydraulic solution obtained by sBB with the one from MOSA-GR, it is observed that the sBB includes a single open BV (BV2), and the MOSA-GR solution considers two open BVs (BV2 and BV7). The MOSA-GR solution includes a larger value for Ir (0.1719) than the sBB case (0.1597), and this could be a consequence of the additional open BV (see Table S11 available in [56]).
Figure 11. (a) MOSA-GR NET 25 solutions considering the objective GRF and the sBB solutions obtained from the AZP-Ir and Ir-AZP problems; (b) The same results with GRF solutions converted into Ir solutions.
A Lagrangian relaxation method was also implemented (Figure S4 and Table S12 in the Supplementary material of [56]) and similar results were obtained.

4.2.4. Comparison of Specific Network Designs in Terms of Pressure Requirements

By comparing three solutions (with similar values) in the lowest AZP part of the front obtained in different ways (just described) it can be noticed that: the solution found by the MOSA-GR using the Ir as objective (Table 6: AZP = 18.721 m and Ir = 0.1788) fulfills all nodal pressure values during the 24 h of the day; the solution found by the MOSA-GR considering a Lagrangian relaxation of the minimum nodal pressure rates (Table S12 available in [56]: AZP = 18.686 m and Ir = 0.1777), finds that minimum pressure is not fully satisfied at hours 4 and 6 in two different nodes of the network; and for the solution provided by MOSA-GR using as objective GRF (Table S11 available in [56]: AZP = 18.687 m and Ir = 0.1787) pressures are also partially unmet at hours 4, 7, and 23 at three different nodes of the network. This shows that meeting or not the pressure constraints has an impact on the operation of the distribution network.

5. Discussion

Real-world design engineering problems are usually nonlinear and often include discrete variables. These are generally very challenging Non-deterministic Polynomial time hard MINLP operations research problems [51,58]. Mathematical programming techniques were developed to tackle such problems as early as the 1960s and 1970s; however, they could not be successfully applied to real-world problems due to limitations of the computational facilities and optimization algorithms available then. The focus was, therefore, placed on simplified versions or approximations of the real-world problems [59]. In fact, the literature includes works about aquifers, drainage systems at urban or regional level, or water distribution system sizing and operation, where even the representation of the physical systems themselves was simplified so that they could be handled through optimization models (for aquifer management, see [60]; for wastewater drainage and treatment, see [61]; for WDNs, see [62]). The resolution of real-world problems using exact methods at the expense of significant simplifications created many unpleasant situations due to the reluctance of practitioners to accept them [50] and raised the discussion about the meaning of the solutions obtained—mathematical optimum versus engineering optimum. Although decision-making in the area of water use problems has been a concern in the past, even in the most ancient civilizations [63], it was only after the Second World War that decision problems relating to the use of resources were recognized as a “respectable and defined body of knowledge” [53]. Thus, a long path of application and analysis of various possible methods to solve problems with the aforementioned mathematical characteristics was embarked upon. Along this path, the important efforts made to develop trustworthy simulation models deserve to be emphasized [64].
Lately, numerous mathematical programming methods use “a divide and conquer strategy to the partition of the solution space into subproblems and then optimizing individually each subproblem” [65], integrating their solutions in an iterative fashion, such as the approach used by [23]. This type of approach has turned out to be very time-consuming to be functional for large-scale problems or to solve very complex ones [51,66,67]. In fact, theoretically, exact global optimization methods are expected to deliver the optimal solution for real-world engineering problems. However, the literature shows that MINLP formulations can often rely on non-rigorous versions of the problems at stake by implementing linearizations, quadratic forms of highly nonlinear functions, relaxation of constraints, etc. As in the past, when rough representations of the physical aspects of the problem were made, the solutions obtained in this way, although theoretically constituting mathematical optima, might not be useful from a practical point of view [59], particularly for large instances of the problems. More recently, it has been shown that some metaheuristics can deal with problems including all the characteristics of real-world problems; however, with some issues related to convergence requiring careful evaluation. Even today, the detail with which real-world problems are embodied, incorporating all physical, technological, environmental, and economic issues that describe their essence, is of primary importance when it comes to engineering problems.
In this section, the results delivered in the previous section are analyzed, taking into account the mathematical structure of both approaches used to obtain them, highlighting their physical/hydraulic features and several aspects related to the approximations or simplifications introduced into the optimization process. Only the simultaneous analysis of case studies used by both methods allows fair conclusions to be drawn. Issues deserving a closer examination and interpretation will also be addressed in the next paragraphs. For this purpose, in some cases, sentences or paragraphs from [23] will be cited, being referenced using quotation marks. Table 1 is also used to structure the analysis.
  • Running times, constraints, and convergence issues
  • First, Ref. [23] starts by claiming the superiority of global optimization methods based on the difficulties of metaheuristics regarding running times, convergence to optimal solutions, and handling constraints in general, and on the difficulties in dealing with valves for design-for-control problems in particular. In both case studies, the opposite has happened: MOSA-GR (Multi-Objective Simulated Annealing with new Generation and Reannealing procedures) was less time-consuming than sBB (spatial branch-and-bound) and led to a denser Pareto front, including high-quality solutions. It is important to emphasize that Ref. [23] comments were produced based on the results of their case studies that were used for the assessment developed in the present paper.
  • Additionally, the MOSA-GR approach solved the model established to represent the real engineering problem without the approximations or simplifications required by sBB (Table 1) and the Section 4. Constraints were fully met by MOSA-GR, as expected given its mathematical structure, and sBB showed some drawbacks with regard to this issue.
  • The simulated annealing algorithm is based on a solid mathematical background, and its convergence in probability to the global optimum has been proven. The conditions for obtaining a global optimal solution are described in [68]. However, in practical terms, they would imply a very high number of iterations to be carried out. The number of iterations will critically affect the computing time and convergence rate [69,70].
  • The theoretical structure of the global optimization method is expected to provide global optimal solutions. However, the approximations or simplifications introduced into the original problem/model to make it possible to apply it to real-world problems represent a limitation to finding the global optimum.
  • Scalarization issues
  • A scalarization procedure, “together with global optimization methods, to approximate the Pareto front of BOMINLP,” is implemented by [23]. The ε-constraints scalarization allows the “use of a spatial branch-and-bound to compute upper and lower bounds on the optimal values of the resulting sequence of parametrized single-objective problems”, or in other words, “to compute feasible solutions of the single-objective MINLPs with certified global optimality bounds”.
  • It is important to stress the following sentence from [23]: “The approximation of the Pareto front depends on the order of objective functions and choice of scalarization parameters”. With regard to this, the literature mentions that “The disadvantages of ε-constraint method are difficulty in choice of perfect value for epsilon vector, no equality-spaced Pareto solutions and demand of a large number of iterations like weighting method” [71].
  • Lower and upper bounds
  • Following [23], “The use of the ε-constraint scalarization method has two main benefits. First we show … that relaxing the potential-flow coupled constraints in MINLP … produces a problem which can be equivalently reformulated into a mixed-integer linear program (MILP). This provides a convenient mean to compute tight lower bounds throughout the sBB procedure.” (relying also on an “equivalent” linear reformulation of the nonlinear resilience index). The concept of a polyhedral envelope is applied to obtain a linear relaxation of non-convex flow coupling constraints, i.e., the non-convex head loss equality constraints (limitations on the application of this method to non-convex functions is commented in [48]). In fact, the polyhedral envelope of the non-convex head loss equality constraints is computed to relax the MINLP. The potential coupling constraints are replaced by linear constraints after a number of linearizations to find the linear approximation of the convex envelope. This means that lower bounds “are obtained by solving mixed-integer linear relaxations”.
  • The Hazen–Williams head loss equation used by [23] is mentioned “as neither equation is smooth, it is convenient to use a quadratic approximation of the formulae over the operational range of flows in each link.” The cumulative effect of this approximation in large-sized networks can give rise to defining inappropriate node pressures.
  • Upper bounds [23] “are computed throughout the sBB search by fixing the values of the binary variables … to the solution of the corresponding lower bounding MILP relaxations” and “computing a locally optimal solution to the resulting non-convex NLPs. This is performed directly using an NLP solver”. These are local solutions completely dependent on the quality of those already determined by the MILP solver referred to above.
  • With regard to lower and upper bounds, it is important to stress the following statement from [23]: “We show that, using this approach, we can compute a superset of the Pareto front of BOMINLP, i.e., potentially non-dominated solutions as well as guarantees of their global non-dominance”.
  • Gap of optimality
  • After defining the procedure to obtain lower and upper bounds, there is a conclusion in [23] that: “Global optimality is then certifiably reached when the relative optimality gap between upper bound and lower bound is smaller than a specified tolerance”. According to the literature [72], that gap defines “how close from the optimal objective function value a solution can be to stop the optimization process”. The tolerance (δ) is set to 10−2 for the resolution of the case studies used in the paper. However, Algorithm 1 presented in [23] includes an instruction where it is clear that the termination criterion may be the maximum iteration time. Therefore, the gap of optimality found reported in [23] may be due to a premature termination of the algorithm. That is, convergence guarantees are sacrificed to ensure low running times.
  • The early termination of the procedure may be one of the reasons why the solutions presented do not satisfy constraints. One of the criticisms made by [23] when dismissing metaheuristics is that they have difficulties in handling constraints. A question may also be posed for the same work: how much time would be needed to prevent constraints from not being met? The results obtained by MOSA-GR show the differences in the hydraulic characteristics of the solutions when the algorithm is prematurely interrupted.
  • Additionally, it may happen that the premature termination of the algorithm occurs with too many branches still open in the tree of the sBB. The corresponding results can then show unbalanced hydraulic situations characterized by WDN areas that include many pressure binding constraints, while in others, pressure presents low values. WDNs that include many nodes where the pressure values are the minimum possible are much more vulnerable to not being able to cope with changes in demand.
  • Results
After the analysis of the transformations of the original problem mentioned above, and the results commented on in the Section 4, it is clear that there are some drawbacks in the results obtained by [23]. As we mentioned in that section, slight differences in the objective values can correspond to solutions with very different hydraulic characteristics. The results obtained clearly show that the nodal pressure constraints are not fully met. This raises additional comments:
  • The resilience index originally conceived for demand-driven modelling was used in the pressure-driven context as mentioned in Section 4.1.4. Therefore, the generalized resilience/failure index (GRF) should be adopted, and an appropriate hydraulic simulator used (a pressure-driven one). In fact, satisfying the demand in each node is highly dependent on satisfying the pressure requirements.
  • Nodal pressure constraints are not fully met. There could be several reasons for this, such as the application of the concept of a polyhedral envelope to deal with nonlinear non-convex constraints [48], and the early termination of the optimization procedure.
The use of optimization techniques is aimed at finding high-quality hydraulic solutions full of practical meaning (based on truthful simulation models). The issues just commented on raise questions about the accuracy in representing the real engineering problem by the reformulation and optimization approach followed by [23]. The results show the impact on the hydraulic characteristics of the results, whether constraints are fulfilled or not. To confirm this assertion, MOSA-GR determined solutions for both situations (see Section 4). It is important to emphasize that Pescara is a medium-sized network and Net25 is a small network. Therefore, one should reflect on these issues for large real-world problems. The present paper aims to contribute to the debate on “mathematical optimum vs. engineering optimum”. In fact, when any author proposes a formulation of an optimization model, it is to be expected that solution methods will be applied to the proposed optimization model. The issue is that, in the case of the global optimization method used for application in WDNs, the initial problem may be “masked” by different types of approximations. For this reason, a novel methodology has been developed so that these aspects can be analyzed in a fair and structured way. The point is that, in the case of a global optimization-based algorithm, sBB, it is possible to see the wide range of approximations used for the real problem to be solved and their effects on the hydraulic design and management of the network.
Statements from [23] about the application of metaheuristic methods to complex engineering problems can be questioned, and the same applies to comments such as “they sacrifice optimality and accuracy to deliver a solution in a relatively short time”, “no guarantee that the solution will be optimal”, and “it is very difficult to detect infeasibility of optimization problems with a heuristic” [72]. In fact, metaheuristics can play an important role in incorporating all the issues of real-world engineering problems. Ref. [67] recognizes this and proposes decoupling the problem of design for control into two problems solved in sequence: first, the design and valve settings are obtained through the use of a metaheuristic, and then, in a refinement stage, a gradient-based mathematical programming method “is used to solve continuous optimal control problems corresponding to design solutions returned by an initial (metaheuristic) search”.
The results obtained through the two approaches compared in the present paper show the opportunity to solve design-for-control problems using a metaheuristic method. However, we are not claiming that metaheuristics, particularly the one proposed by the authors (MOSA-GR [16]), is the ultimate approach to solving real-world engineering problems. In fact, stimulating controversies around the competition between heuristics and global optimization methods have a negative impact on the advancement of knowledge [73]. At this point, it is important to discuss how to tackle WDN problems in order to confidently provide quality solutions for practical application.
The characterization of the core behavior of metaheuristics and global optimization approaches may contribute to a move towards the coupling of both types of optimization methods [74,75]. In water systems analysis, where complex physical issues give rise to tricky simulation models embedded into optimization models, we believe that analytical investigations to understand the behavior of metaheuristics and global optimization algorithms could help to outline their strengths and weaknesses and promote new frameworks. Both approaches could then play an important role in the progress in this area.
The comprehensive mechanics underlying metaheuristics must be dissected, and this could lead to concentrating on more promising research directions. Part of this can include picking up ideas conventionally used by global optimization to solve subproblems after a smart breakdown of the overall problem. The deep analysis of the combinatorial properties of the problem can help to deconstruct the most complex aspects and focus on those components that truly help to enhance the performance of the algorithms. As mentioned by Ref. [65], “hybrid methods involving heuristic approaches in order to consider cooperative schemes between exact methods and metaheuristics” can be of great interest.

6. Conclusions

Sustainable management of water resources is nowadays of fundamental importance, and, therefore, water utilities must control water losses and meet consumer expectations by avoiding interruption of WDN services. This paper develops an innovative methodology for analyzing the solutions provided by the optimization of a design-for-control of water distribution networks problem using an exact global optimization method and a metaheuristic method. This problem entails identifying locations for the installation of valves and/or pipes and outlining valve operating settings that optimize two conflicting objectives, the minimization of pressure-induced background leakage and the maximization of network resilience. The global optimization method relies on a specially tailored spatial branch and bound algorithm to solve the aforementioned problem. This algorithm is described and applied to two case studies (one based on a real-world case study and the other on an academic study) available in [23]. A metaheuristic based on the concept of simulated annealing (MOSA-GR) is used to resolve the same optimization problem and case studies. This is instrumental for applying the methodological analysis, serving to dissect the solutions obtained by both methods. MOSA-GR has been upgraded with new features to make it possible to simultaneously solve the two intertwined problems of water distribution system—design and operation. To the best of our knowledge, this is the first time a heuristic method has been used to solve the problem at stake.
The assessment of the results provided by both solution methods was made available because a detailed methodology was developed for their analysis. It was quite challenging to build it, as it needs to be comprehensive and, more importantly, link the hydraulic behavior of water distribution networks to the theoretical aspects that characterize each approach used. It addresses a sequence of topics related to their mathematical characteristics, as well as their integration and conclusive discussion. This creates the opportunity to examine the role of metaheuristics and global optimization to solve real-world engineering problems, and further scrutinize their impacts on the solutions achieved (presented in the Section 5). The link between these mathematical characteristics of the solution methods and the results in terms of the hydraulic functioning of the networks is a fundamental component of this work.
The results provided by the sBB algorithm, analyzed in this paper, show that constraints are sometimes not fulfilled. The analysis performed on solutions by MOSA-GR shows that meeting or not meeting the constraints impacts the characteristics of the hydraulic solutions obtained, and this situation becomes important when dealing with low Average Zone Pressure (AZP) values. If properly built, metaheuristics can find solutions of quality in a shorter time (there is no need for simplifications of the optimization model proposed). The comparison of those results with the ones delivered by applying a global optimization method shows how the metaheuristic based on the simulated annealing concept is able to successfully address the challenges posed by real-world engineering problems. A denser Pareto front is obtained in less time, and all the constraints are always met. The methodology of analysis used also reveals the impacts produced on the functioning of the WDNs as a result of the myriad of approximations or simplifications to the representation of real-world engineering problems implemented by the global optimization method. After all the modifications required to make it possible to solve the problem by means of a specially tailored global optimization method, it is necessary to perform a deep analysis of the pros and cons of such an approach. This is a broad subject, which involves many issues, as can be seen from this paper, and which must be approached with care. Convergence issues should be addressed in larger problems. In fact, the Net 25 network, a smaller case study, shows better results when compared to the Pescara case study, a medium-sized case study, using the sBB method. Furthermore, it is important to detect which mechanisms may give rise to inappropriate hydraulic solutions as well as how this situation can be avoided. The accuracy of the solutions to be implemented is key to the successful control of WDN water leakages, making a significant contribution towards sustainable management of natural resources with an impact on the economy and society. We are not claiming that the metaheuristics approach is the ultimate one. Both approaches can contribute to the flow of knowledge in this field. We believe there is a real opportunity to thoughtfully address the challenges posed by complex real-world problems. In fact, the decision on which approach to use (metaheuristics or global optimization) should not be dichotomous. On the contrary, the two approaches should be complementary to create a hybrid approach by leveraging what is most attractive in each of them (see Section 4 and Section 5). Even if there are other issues, such as uncertainty, relating to the efficient management of water distribution networks, the debate on the mathematical optimum versus the engineering optimum raises questions of great interest to professionals and utility companies in general.

Author Contributions

Conceptualization, M.C.; methodology, M.C.; software, J.M.; validation, M.C. and E.C.; formal analysis, M.C. and E.C.; investigation, M.C. and J.M.; resources, M.C. and E.C.; data curation, J.M.; writing—original draft preparation, M.C. and J.M.; writing—review and editing, M.C. and E.C.; visualization, J.M.; supervision, M.C. All authors have read and agreed to the published version of the manuscript.

Funding

This research was funded by the support of national funds through FCT—Fundação para a Ciência e a Tecnologia, under projects UID/00285—Centre for Mechanical Engineering, Materials and Processes and LA/P/0112/2020.

Data Availability Statement

The original data presented in the study are openly available. The hydraulic model of the PES and NET25 networks can be accessed in Ulusoy et al. (2022) [23]: https://doi.org/10.1007/s11081-021-09598-z. Relevant information for the analysis of case studies is openly available in Cunha et al. (2025) [56]: https://doi.org/10.17632/yzcrddzkfn.3.

Conflicts of Interest

The authors declare no conflicts of interest.

References

  1. Boindala, S.P.; Ostfeld, A. Robust Multi-Objective Design Optimization of Water Distribution System under Uncertainty. Water 2022, 14, 2199. [Google Scholar] [CrossRef]
  2. Walski, T.M. State-of-the-Art Pipe Network Optimization. In Proceedings of the Computer Applications in Water Resources, Buffalo, NY, USA, 10–12 June 1985; ASCE: Reston, VA, USA, 1985; pp. 559–568. [Google Scholar]
  3. Lansey, K.E.; Mays, L.W. Optimization Model for Water Distribution System Design. J. Hydraul. Eng. 1989, 115, 1401–1418. [Google Scholar] [CrossRef]
  4. Simpson, A.R.; Dandy, G.C.; Murphy, L.J. Genetic Algorithms Compared to Other Techniques for Pipe Optimization. J. Water Resour. Plan. Manag. 1994, 120, 423–443. [Google Scholar] [CrossRef]
  5. Walski, T.M.; Brill, E.D.; Gessler, J.; Goulter, I.C.; Jeppson, R.M.; Lansey, K.; Lee, H.-L.; Liebman, J.C.; Mays, L.; Morgan, D.R.; et al. Battle of the Network Models: Epilogue. J. Water Resour. Plan. Manag. 1987, 113, 191–203. [Google Scholar] [CrossRef]
  6. Savic, D.A.; Walters, G.A. Genetic Algorithms for Least-Cost Design of Water Distribution Networks. J. Water Resour. Plan. Manag. 1997, 123, 67–77. [Google Scholar] [CrossRef]
  7. Cunha, M.C.; Sousa, J. Water Distribution Network Design Optimization: Simulated Annealing Approach. J. Water Resour. Plan. Manag. 1999, 125, 215–221. [Google Scholar] [CrossRef]
  8. Sirsant, S.; Reddy, M.J. Improved MOSADE Algorithm Incorporating Sobol Sequences for Multi-Objective Design of Water Distribution Networks. Appl. Soft Comput. 2022, 120, 108682. [Google Scholar] [CrossRef]
  9. Farmani, R.; Savic, D.A.; Walters, G.A. Evolutionary Multi-Objective Optimization in Water Distribution Network Design. Eng. Optim. 2005, 37, 167–183. [Google Scholar] [CrossRef]
  10. Creaco, E.; Franchini, M. Fast Network Multi-Objective Design Algorithm Combined with an a Posteriori Procedure for Reliability Evaluation under Various Operational Scenarios. Urban Water J. 2012, 9, 385–399. [Google Scholar] [CrossRef]
  11. Creaco, E.; Franchini, M.; Todini, E. Generalized Resilience and Failure Indices for Use with Pressure-Driven Modeling and Leakage. J. Water Resour. Plan. Manag. 2016, 142, 04016019. [Google Scholar] [CrossRef]
  12. di Pierro, F.; Khu, S.-T.; Savić, D.; Berardi, L.; Dipierro, F.; Khu, S.-T.; Savic, D.; Berardi, L. Efficient Multi-Objective Optimal Design of Water Distribution Networks on a Budget of Simulations Using Hybrid Algorithms. Environ. Model. Softw. 2009, 24, 202–213. [Google Scholar] [CrossRef]
  13. Wang, Q.; Guidolin, M.; Savic, D.; Kapelan, Z. Two-Objective Design of Benchmark Problems of a Water Distribution System via MOEAs: Towards the Best-Known Approximation of the True Pareto Front. J. Water Resour. Plan. Manag. 2015, 141, 04014060. [Google Scholar] [CrossRef]
  14. Choi, Y.H.; Lee, H.M.; Yoo, D.G.; Kim, J.H. Self-Adaptive Multi-Objective Harmony Search for Optimal Design of Water Distribution Networks. Eng. Optim. 2017, 49, 1957–1977. [Google Scholar] [CrossRef]
  15. Marques, J.; Cunha, M.; Savić, D.A. Multi-Objective Optimization of Water Distribution Systems Based on a Real Options Approach. Environ. Model. Softw. 2015, 63, 1–13. [Google Scholar] [CrossRef]
  16. Cunha, M.; Marques, J. A New Multiobjective Simulated Annealing Algorithm—MOSA-GR: Application to the Optimal Design of Water Distribution Networks. Water Resour. Res. 2020, 56, e2019WR025852. [Google Scholar] [CrossRef]
  17. Torkomany, M.R.; Hassan, H.S.; Shoukry, A.; Abdelrazek, A.M.; Elkholy, M. An Enhanced Multi-Objective Particle Swarm Optimization in Water Distribution Systems Design. Water 2021, 13, 1334. [Google Scholar] [CrossRef]
  18. Jain, P.; Khare, R. Multi-Objective Rao Algorithm in Resilience-Based Optimal Design of Water Distribution Networks. Water Supply 2022, 22, 4346–4360. [Google Scholar] [CrossRef]
  19. Kidanu, R.A.; Cunha, M.; Salomons, E.; Ostfeld, A. Improving Multi-Objective Optimization Methods of Water Distribution Networks. Water 2023, 15, 2561. [Google Scholar] [CrossRef]
  20. Locatelli, M.; Schoen, F. (Global) Optimization: Historical Notes and Recent Developments. EURO J. Comput. Optim. 2021, 9, 100012. [Google Scholar] [CrossRef]
  21. Csendes, T.; G.-Tóth, B.; Locatelli, M. Special Issue: Global Optimization. Math. Program. 2025, 211, 1–3. [Google Scholar] [CrossRef]
  22. Pecci, F.; Abraham, E.; Stoianov, I. Scalable Pareto Set Generation for Multiobjective Co-Design Problems in Water Distribution Networks: A Continuous Relaxation Approach. Struct. Multidiscip. Optim. 2017, 55, 857–869. [Google Scholar] [CrossRef]
  23. Ulusoy, A.J.; Pecci, F.; Stoianov, I. Bi-Objective Design-for-Control of Water Distribution Networks with Global Bounds. Optim. Eng. 2022, 23, 527–577. [Google Scholar] [CrossRef]
  24. Wright, R.; Abraham, E.; Parpas, P.; Stoianov, I. Control of Water Distribution Networks with Dynamic DMA Topology Using Strictly Feasible Sequential Convex Programming. Water Resour. Res. 2015, 51, 9925–9941. [Google Scholar] [CrossRef]
  25. Mottahedin, A.; Giudicianni, C.; Di Nunno, F.; Granata, F.; Cunha, M.; Walski, T.; Creaco, E. Analysis, Design, and Maintenance of Isolation Valves in Water Distribution Networks: State of the Art Review, Insights from Field Experiences and Future Directions. Water Res. 2024, 262, 122088. [Google Scholar] [CrossRef]
  26. Lambert, A. What Do We Know About Pressure: Leakage Relationships in Distribution Systems? In Proceedings of the IWA Conference on Systems Approach to Leakage Control and Water Distribution SystemManagement, Brno, Czech Rebublic, 16–18 May 2001; pp. 1–8. [Google Scholar]
  27. di Nardo, A.; di Natale, M.; Giudicianni, C.; Santonastaso, G.F.; Tzatchkov, V.; Varela, J.M.R. Economic and Energy Criteria for District Meter Areas Design of Water Distribution Networks. Water 2017, 9, 463. [Google Scholar] [CrossRef]
  28. Kowalska, B.; Suchorab, P.; Kowalski, D. Division of District Metered Areas (DMAs) in a Part of Water Supply Network Using WaterGEMS (Bentley) Software: A Case Study. Appl. Water Sci. 2022, 12, 166. [Google Scholar] [CrossRef]
  29. Creaco, E.; Haidar, H. Multiobjective Optimization of Control Valve Installation and DMA Creation for Reducing Leakage in Water Distribution Networks. J. Water Resour. Plan. Manag. 2019, 145, 04019046. [Google Scholar] [CrossRef]
  30. van Thienen, P. Direct Assessment of Background Leakage Levels for Individual District Metered Areas (DMAs) Using Correspondence of Demand Characteristics between DMAs. Water Supply 2022, 22, 6370–6388. [Google Scholar] [CrossRef]
  31. Sánchez, D.H.; Navarro-Gómez, C.J.; Rentería, M.; Sánchez-Navarro, J.R. Saving Water by Returning to a Constant Water Supply in Chihuahua. Water Int. 2022, 48, 87–97. [Google Scholar] [CrossRef]
  32. Kim, T.; Oh, Y.; Koo, J.; Yoo, D. Evaluation of Priority Control District Metered Area for Water Distribution Networks Using Water Quality-Related Big Data. Sustainability 2022, 14, 7282. [Google Scholar] [CrossRef]
  33. Wright, R.; Stoianov, I.; Parpas, P. Dynamic Topology in Water Distribution Networks. Procedia Eng. 2014, 70, 1735–1744. [Google Scholar] [CrossRef]
  34. Wright, R.; Stoianov, I.; Parpas, P.; Henderson, K.; King, J. Adaptive Water Distribution Networks with Dynamically Reconfigurable Topology. J. Hydroinform. 2014, 16, 1280–1301. [Google Scholar] [CrossRef]
  35. Giudicianni, C.; Herrera, M.; di Nardo, A.; Adeyeye, K. Automatic Multiscale Approach for Water Networks Partitioning into Dynamic District Metered Areas. Water Resour. Manag. 2020, 34, 835–848. [Google Scholar] [CrossRef]
  36. Pecci, F.; Abraham, E.; Stoianov, I. Penalty and Relaxation Methods for the Optimal Placement and Operation of Control Valves in Water Supply Networks. Comput. Optim. Appl. 2017, 67, 201–223. [Google Scholar] [CrossRef]
  37. Pecci, F.; Stoianov, I.; Ostfeld, A. Relax-Tighten-Round Algorithm for Optimal Placement and Control of Valves and Chlorine Boosters in Water Networks. Eur. J. Oper. Res. 2021, 295, 690–698. [Google Scholar] [CrossRef]
  38. Pecci, F.; Stoianov, I.; Ostfeld, A. Convex Heuristics for Optimal Placement and Operation of Valves and Chlorine Boosters in Water Networks. J. Water Resour. Plan. Manag. 2022, 148, 04021098. [Google Scholar] [CrossRef]
  39. Nicolini, M.; Zovatto, L. Optimal Location and Control of Pressure Reducing Valves in Water Networks. J. Water Resour. Plan. Manag. 2009, 135, 178–187. [Google Scholar] [CrossRef]
  40. Creaco, E.; Pezzinga, G. Multiobjective Optimization of Pipe Replacements and Control Valve Installations for Leakage Attenuation in Water Distribution Networks. J. Water Resour. Plan. Manag. 2015, 141, 04014059. [Google Scholar] [CrossRef]
  41. Creaco, E.; Pezzinga, G. Embedding Linear Programming in Multi Objective Genetic Algorithms for Reducing the Size of the Search Space with Application to Leakage Minimization in Water Distribution Networks. Environ. Model. Softw. 2015, 69, 308–318. [Google Scholar] [CrossRef]
  42. Gullotta, A.; Campisano, A.; Creaco, E.; Modica, C. A Simplified Methodology for Optimal Location and Setting of Valves to Improve Equity in Intermittent Water Distribution Systems. Water Resour. Manag. 2021, 35, 4477–4494. [Google Scholar] [CrossRef]
  43. Todini, E. Looped Water Distribution Networks Design Using a Resilience Index Based Heuristic Approach. Urban Water 2000, 2, 115–122. [Google Scholar] [CrossRef]
  44. Nerantzis, D.; Pecci, F.; Stoianov, I. Optimal Control of Water Distribution Networks without Storage. Eur. J. Oper. Res. 2020, 284, 345–354. [Google Scholar] [CrossRef]
  45. Kirkpatrick, S.; Gelatt, C.D.; Vecchi, M.P. Optimization by Simulated Annealing. Science 1983, 220, 671–680. [Google Scholar] [CrossRef]
  46. Ehrgott, M. A Discussion of Scalarization Techniques for Multiple Objective Integer Programming. Ann. Oper. Res. 2006, 147, 343–360. [Google Scholar] [CrossRef]
  47. Pecci, F.; Abraham, E.; Stoianov, I. Quadratic Head Loss Approximations for Optimisation Problems in Water Supply Networks. J. Hydroinform. 2017, 19, 493–506. [Google Scholar] [CrossRef]
  48. Lundell, A.; Kronqvist, J. Polyhedral Approximation Strategies for Nonconvex Mixed-Integer Nonlinear Programming in SHOT. J. Glob. Optim. 2021, 82, 863–896. [Google Scholar] [CrossRef]
  49. Ulusoy, A.J.; Pecci, F.; Stoianov, I. An MINLP-Based Approach for the Design-for-Control of Resilient Water Supply Systems. IEEE Syst. J. 2020, 14, 4579–4590. [Google Scholar] [CrossRef]
  50. Cunha, M.D.C. Water Systems Planning: The Optimization Perspective. Eng. Optim. 2003, 35, 255–266. [Google Scholar] [CrossRef]
  51. Petropoulos, F.; Laporte, G.; Aktas, E.; Alumur, S.A.; Archetti, C.; Ayhan, H.; Battarra, M.; Bennell, J.A.; Bourjolly, J.-M.; Boylan, J.E.; et al. Operational Research: Methods and Applications. J. Oper. Res. Soc. 2023, 75, 423–617. [Google Scholar] [CrossRef]
  52. Reeves, C. Modern Heuristic Techniques for Combinatorial Problems; John Wiley & Sons: Hoboken, NJ, USA, 1990; ISBN 9780470220795. [Google Scholar]
  53. Bradley, H.; Magnanti. Applied Mathematical Programming; Addison-Wesley: Boston, MA, USA, 1977; Volume 1. [Google Scholar]
  54. Bragalli, C.; D’Ambrosio, C.; Lee, J.; Lodi, A.; Toth, P. Water Network Design by MINLP; IBM: Armonk, NY, USA, 2008. [Google Scholar]
  55. Rossman, L. A EPANET 2: Users Manual; United States Environmental Protection Agency National Risk Management Research Laboratory: Cincinnati, OH, USA, 2000; Volume 38, p. 200.
  56. Cunha, M.; Marques, J.; Creaco, E. Data_Water Networks Management: Assessment of Heuristic and Exact Approaches for Optimal Valve Location and Operation Settings Schedule. Mendeley Data V3. 2025. [CrossRef]
  57. Morley, M.S.; Tricarico, C. Pressure Driven Demand Extension for EPANET (EPANETpdd); Technical Report 2008/02; Centre of Water Systems, University of Exeter: Exeter, UK, 2008. [Google Scholar]
  58. Giovanni, L.D. Methods and Models for Combinatorial Optimization Heuristics for Combinatorial Optimization. Comput. Sci. Math. 2017. [Google Scholar]
  59. Bachelet, B.; Yon, L. Model Enhancement: Improving Theoretical Optimization with Simulation. Simul. Model. Pract. Theory 2007, 15, 703–715. [Google Scholar] [CrossRef][Green Version]
  60. Cunha, M. On Solving Aquifer Management Problems with Simulated Annealing Algorithms. Water Resour. Manag. 1999, 13, 153–170. [Google Scholar] [CrossRef]
  61. Cunha, M.C.; Pinheiro, L.; Zeferino, J.; Antunes, A.; Afonso, P. Optimization Model for Integrated Regional Wastewater Systems Planning. J. Water Resour. Plan. Manag. 2009, 135, 23–33. [Google Scholar] [CrossRef]
  62. Cunha, M.d.C.; Sousa, J. Hydraulic Infrastructures Design Using Simulated Annealing. J. Infrastruct. Syst. 2001, 7, 32–39. [Google Scholar] [CrossRef]
  63. Cunha, M.d.C. Optimization Techniques for Groundwater and Water Distribution Systems. Water Int. 2000, 25, 394–402. [Google Scholar] [CrossRef]
  64. Amaran, S.; Sahinidis, N.V.; Sharda, B.; Bury, S.J. Simulation Optimization: A Review of Algorithms and Applications. Ann. Oper. Res. 2016, 240, 351–380. [Google Scholar] [CrossRef]
  65. Jourdan, L.; Basseur, M.; Talbi, E.G. Hybridizing Exact Methods and Metaheuristics: A Taxonomy. Eur. J. Oper. Res. 2009, 199, 620–629. [Google Scholar] [CrossRef]
  66. Kheiri, A.; Ahmed, L.; Boyacı, B.; Gromicho, J.; Mumford, C.; Özcan, E.; Dirikoç, A.S. Exact and Hyper-Heuristic Solutions for the Distribution-Installation Problem from the VeRoLog 2019 Challenge. Networks 2020, 76, 294–319. [Google Scholar] [CrossRef]
  67. Ulusoy, A.J.; Mahmoud, H.A.; Pecci, F.; Keedwell, E.C.; Stoianov, I. Bi-Objective Design-for-Control for Improving the Pressure Management and Resilience of Water Distribution Networks. Water Res. 2022, 222, 118914. [Google Scholar] [CrossRef]
  68. Aarts, E.H.L.; Van Laarhoven, P.J.M. Statistical Cooling: A General Approach to Combinatorial Optimization Problems. Phillips J. Res. 1985, 40, 193–226. [Google Scholar]
  69. Cunha, M.; Antunes, A. Simulated Annealing Algorithms for Water Systems Optimization. In Hydrology, Hydraulics and Water Resources Management—A Heuristic Optimization Approach; WIT Press: Southampton, UK, 2012; pp. 57–73. [Google Scholar]
  70. Feller, W. An Introduction to Probability Theory and Its Applications; Wiley: Hoboken, NJ, USA, 1968; ISBN 9780471257080. [Google Scholar]
  71. Mesquita-Cunha, M.; Figueira, J.R.; Barbosa-Póvoa, A.P. New Ε−constraint Methods for Multi-Objective Integer Linear Programming: A Pareto Front Representation Approach. Eur. J. Oper. Res. 2023, 306, 286–307. [Google Scholar] [CrossRef]
  72. Gurobi Optimization. Mathematical Optimization Heuristics. Available online: https://cdn.gurobi.com/wp-content/uploads/2022/08/ManagementPaper-4KeyAdvantagesOfMoVsHeuristics.pdf?x17923 (accessed on 17 September 2025).
  73. Liu, M.L.; Sahinidis, N.V. Bridging the Gap between Heuristics and Optimization: Capacity Expansion Case. AIChE J. 1997, 43, 2289–2299. [Google Scholar] [CrossRef]
  74. Sörensen, K. Metaheuristics—The Metaphor Exposed. Int. Trans. Oper. Res. 2015, 22, 3–18. [Google Scholar] [CrossRef]
  75. Hooker, J.N. Toward Unification of Exact and Heuristic Optimization Methods. Int. Trans. Oper. Res. 2015, 22, 19–48. [Google Scholar] [CrossRef]
Disclaimer/Publisher’s Note: The statements, opinions and data contained in all publications are solely those of the individual author(s) and contributor(s) and not of MDPI and/or the editor(s). MDPI and/or the editor(s) disclaim responsibility for any injury to people or property resulting from any ideas, methods, instructions or products referred to in the content.

Article Metrics

Citations

Article Access Statistics

Multiple requests from the same IP address are counted as one view.