Novel Chitosan-Based Materials to Promote Water Disinfection and Degradation of Contaminants
Abstract
1. Introduction
2. Materials and Methods
2.1. Chemicals
2.2. Catalyst Synthesis
2.3. Chitosan Film Preparation
2.4. Functionalized Film Preparation
2.5. Materials Characterizations
2.5.1. Infrared Spectra Measurements
2.5.2. UV-Visible Analysis
2.5.3. Chromatographic Analysis
2.5.4. Thermal Stability Analysis
2.5.5. Material Morphology Observation
2.5.6. Mechanical Property Measurements
2.5.7. Water Contact Angle
2.5.8. Filtration Tests
2.6. Oxidation Protocol
2.7. Materials, Bacterial Culture and Suspension
2.8. Disinfection Protocols and Bacterial Counting
- Assessment of the bacteria adsorbed onto the materials: The CS materials were first separated from the bacterial suspension and transferred to an empty Petri dish using a sterile clamp positioned around the sample ends (not to touch the material surface). The soft agar solution was then poured directly into Petri dishes over the tested material to grow the remaining cultivable bacteria adsorbed to its surface. The softer consistency of the soft agar was chosen to allow oxygen diffusion across the agar layer, as oxygen is vital for E. coli to proliferate. This soft agar also allows the remaining cultivable bacteria to migrate through the nutritive gel and reach the surface following the oxygen gradient.
- Enumeration of the bacteria in suspension: Samples of the bacterial suspension incubated at different disinfecting conditions were enumerated according to the conventional plaque assay method [39]. In that frame, samples that were undiluted and diluted by a factor of ten in PBS were spread (400 µL) onto standard LB agar plates (400 µL per sample and LB plate) and incubated at 30 °C for 48 h. Each count was triplicated.
3. Results and Discussion
3.1. Chitosan Films
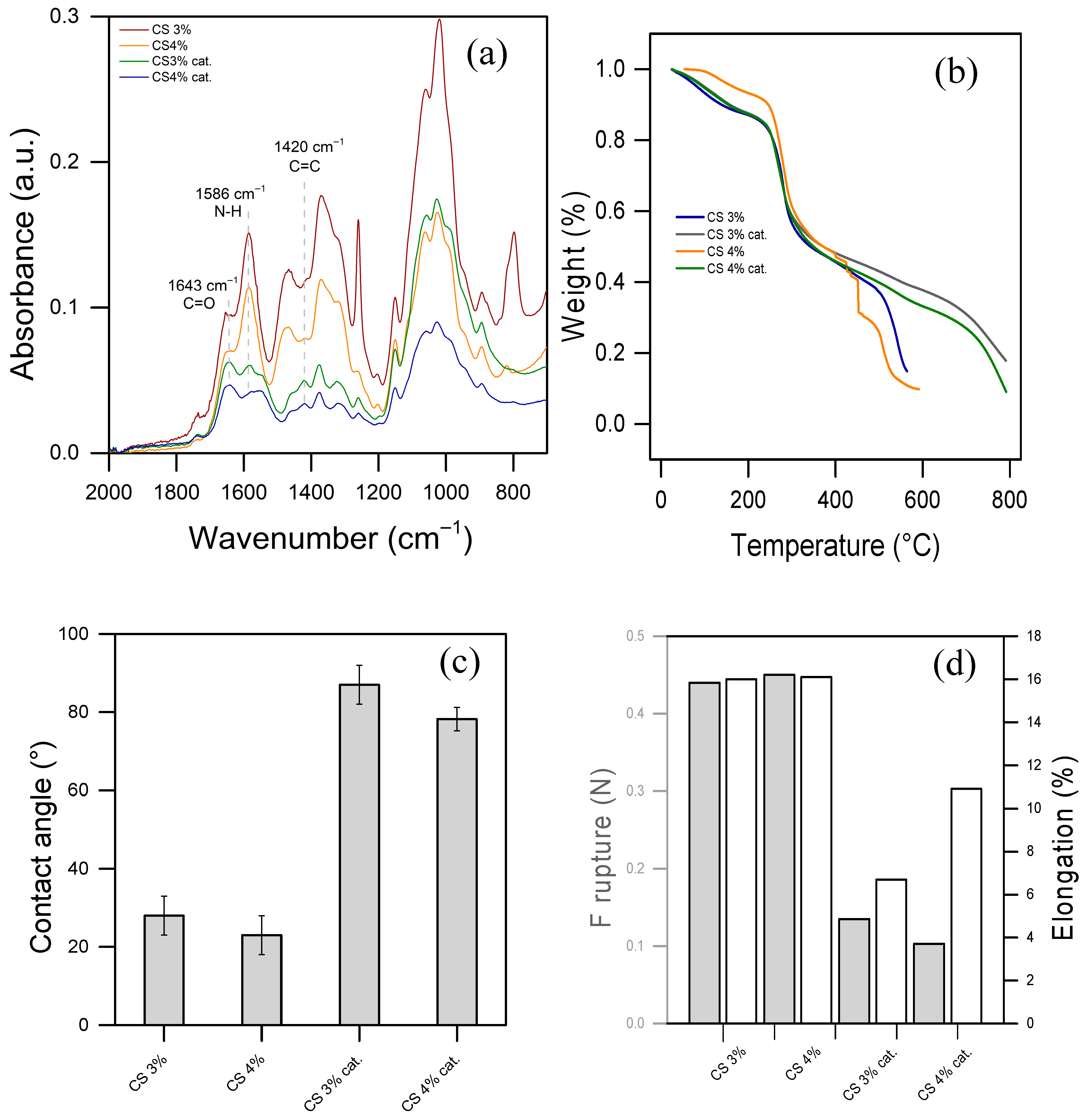
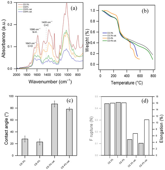
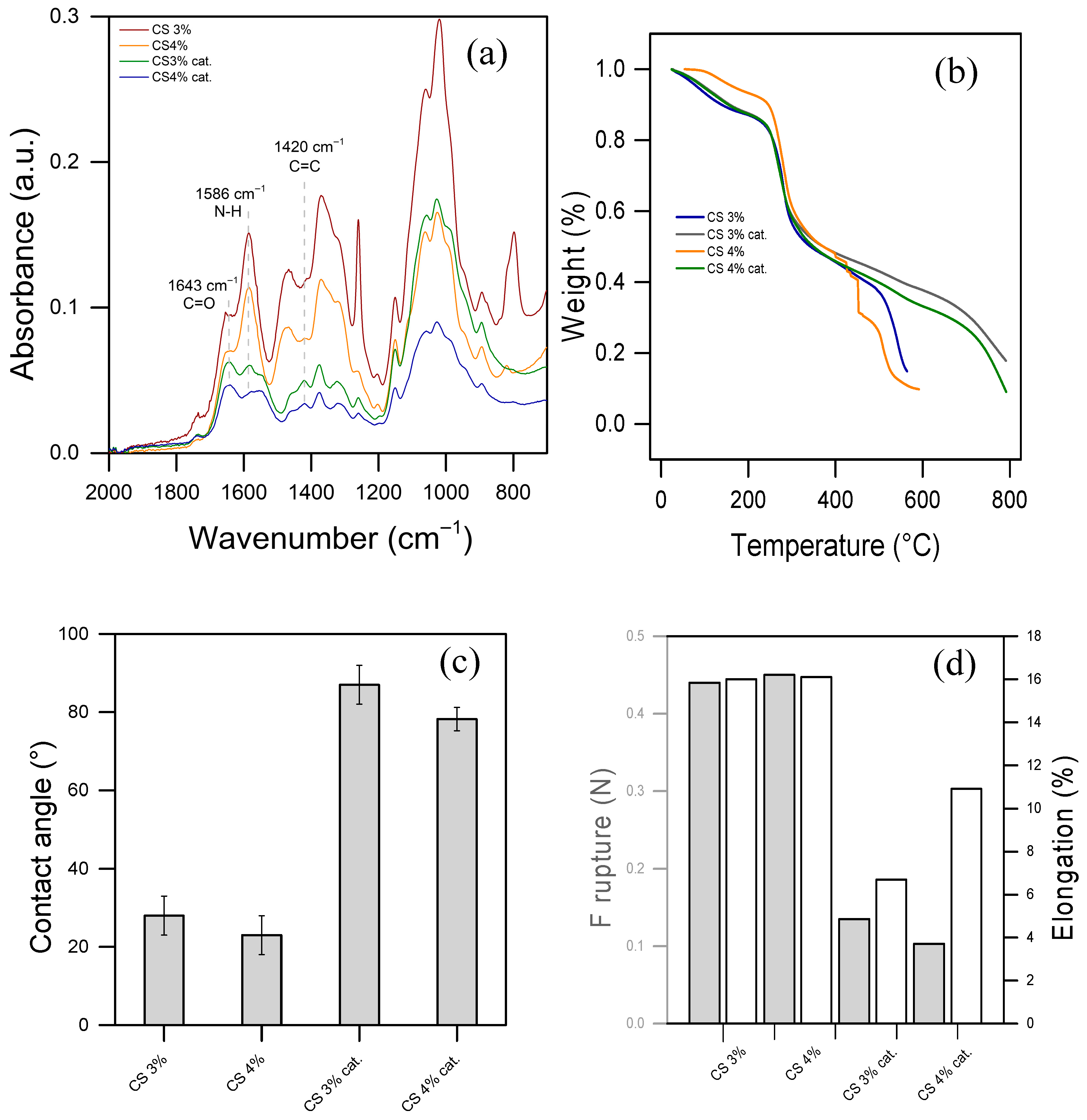
3.2. Materials Characterization
3.3. Morphology and Composition Chitosan Layer
3.4. Stability of Chitosan’s Film
3.5. Activity of the Novel Material Toward Degradation of Contaminants
3.6. Activity of the Novel Material Toward Disinfection
3.7. Discussion About the Mode of Disinfection
4. Conclusions
Supplementary Materials
Author Contributions
Funding
Data Availability Statement
Acknowledgments
Conflicts of Interest
References
- Salehi, M. Global Water Shortage and Potable Water Safety; Today’s Concern and Tomorrow’s Crisis. Environ. Int. 2022, 158, 106936. [Google Scholar] [CrossRef] [PubMed]
- Warren-Vega, W.M.; Campos-Rodríguez, A.; Zárate-Guzmán, A.I.; Romero-Cano, L.A. A Current Review of Water Pollutants in American Continent: Trends and Perspectives in Detection, Health Risks, and Treatment Technologies. Int. J. Environ. Res. Public Health 2023, 20, 4499. [Google Scholar] [CrossRef] [PubMed]
- Khetan, S.K.; Collins, T.J. Human Pharmaceuticals in the Aquatic Environment: A Challenge to Green Chemisty. Chem. Rev. 2007, 107, 2319–2364. [Google Scholar] [CrossRef]
- Vandermeersch, G.; Lourenço, H.M.; Alvarez-Muñoz, D.; Cunha, S.; Diogène, J.; Cano-Sancho, G.; Sloth, J.J.; Kwadijk, C.; Barcelo, D.; Allegaert, W.; et al. Environmental Contaminants of Emerging Concern in Seafood—European Database on Contaminant Levels. Environ. Res. 2015, 143, 29–45. [Google Scholar] [CrossRef]
- Tian, N.; Giannakis, S.; Oji-Okoro, O.C.; Farinelli, G.; Garcia-Muñoz, P.; Pulgarin, C. Photo-Fenton Inactivation of MS2 Bacteriophage at Alkaline PH by Fe Salts or Nm to Μm-Sized Oxides, and the Janus-Faced Effects of Natural Organic Matter in Surface Waters. Catal. Today 2024, 430, 114536. [Google Scholar] [CrossRef]
- Some, S.; Mondal, R.; Mitra, D.; Jain, D.; Verma, D.; Das, S. Microbial Pollution of Water with Special Reference to Coliform Bacteria and Their Nexus with Environment. Energy Nexus 2021, 1, 100008. [Google Scholar] [CrossRef]
- Rizzo, L.; Malato, S.; Antakyali, D.; Beretsou, V.G.; Đolić, M.B.; Gernjak, W.; Heath, E.; Ivancev-Tumbas, I.; Karaolia, P.; Lado Ribeiro, A.R.; et al. Consolidated vs New Advanced Treatment Methods for the Removal of Contaminants of Emerging Concern from Urban Wastewater. Sci. Total Environ. 2019, 655, 986–1008. [Google Scholar] [CrossRef]
- Saravanan, A.; Deivayanai, V.C.; Kumar, P.S.; Rangasamy, G.; Hemavathy, R.V.; Harshana, T.; Gayathri, N.; Alagumalai, K. A Detailed Review on Advanced Oxidation Process in Treatment of Wastewater: Mechanism, Challenges and Future Outlook. Chemosphere 2022, 308, 136524. [Google Scholar] [CrossRef]
- Priyadarshini, M.; Das, I.; Ghangrekar, M.M.; Blaney, L. Advanced Oxidation Processes: Performance, Advantages, and Scale-up of Emerging Technologies. J. Environ. Manag. 2022, 316, 115295. [Google Scholar] [CrossRef]
- Ma, D.; Yi, H.; Lai, C.; Liu, X.; Huo, X.; An, Z.; Li, L.; Fu, Y.; Li, B.; Zhang, M.; et al. Critical Review of Advanced Oxidation Processes in Organic Wastewater Treatment. Chemosphere 2021, 275, 130104. [Google Scholar] [CrossRef] [PubMed]
- Coha, M.; Farinelli, G.; Tiraferri, A.; Minella, M.; Vione, D. Advanced Oxidation Processes in the Removal of Organic Substances from Produced Water: Potential, Configurations, and Research Needs. Chem. Eng. J. 2021, 414, 128668. [Google Scholar] [CrossRef]
- Giwa, A.; Yusuf, A.; Balogun, H.A.; Sambudi, N.S.; Bilad, M.R.; Adeyemi, I.; Chakraborty, S.; Curcio, S. Recent Advances in Advanced Oxidation Processes for Removal of Contaminants from Water: A Comprehensive Review. Process Saf. Environ. Prot. 2021, 146, 220–256. [Google Scholar] [CrossRef]
- Giannakis, S.; Gamarra Vives, F.A.; Grandjean, D.; Magnet, A.; De Alencastro, L.F.; Pulgarin, C. Effect of Advanced Oxidation Processes on the Micropollutants and the Effluent Organic Matter Contained in Municipal Wastewater Previously Treated by Three Different Secondary Methods. Water Res. 2015, 84, 295–306. [Google Scholar] [CrossRef]
- Chen, Y.; Duan, X.; Zhou, X.; Wang, R.; Wang, S.; Ren, N.; Ho, S.-H. Advanced Oxidation Processes for Water Disinfection: Features, Mechanisms and Prospects. Chem. Eng. J. 2021, 409, 128207. [Google Scholar] [CrossRef]
- Merchant, A.I.; Vakili, A.H.; KOCAMAN, A.; Abu Amr, S.S. New Advancement of Advanced Oxidation Processes for the Treatment of Petroleum Wastewater. Desalin. Water Treat. 2024, 319, 100565. [Google Scholar] [CrossRef]
- Arzate, S.; Pfister, S.; Oberschelp, C.; Sánchez-Pérez, J.A. Environmental Impacts of an Advanced Oxidation Process as Tertiary Treatment in a Wastewater Treatment Plant. Sci. Total Environ. 2019, 694, 133572. [Google Scholar] [CrossRef]
- Xu, J.; McCarthy, S.P.; Gross, R.A.; Kaplan, D.L. Chitosan Film Acylation and Effects on Biodegradability. Macromolecules 1996, 29, 3436–3440. [Google Scholar] [CrossRef]
- Bagheri-Khoulenjani, S.; Taghizadeh, S.M.; Mirzadeh, H. An Investigation on the Short-Term Biodegradability of Chitosan with Various Molecular Weights and Degrees of Deacetylation. Carbohydr. Polym. 2009, 78, 773–778. [Google Scholar] [CrossRef]
- Peramune, D.; Manatunga, D.C.; Dassanayake, R.S.; Premalal, V.; Liyanage, R.N.; Gunathilake, C.; Abidi, N. Recent Advances in Biopolymer-Based Advanced Oxidation Processes for Dye Removal Applications: A Review. Environ. Res. 2022, 215, 114242. [Google Scholar] [CrossRef] [PubMed]
- Lin, K.-Y.A.; Lin, J.-T.; Yang, H. Ferrocene-Modified Chitosan as an Efficient and Green Heterogeneous Catalyst for Sulfate-Radical-Based Advanced Oxidation Process. Carbohydr. Polym. 2017, 173, 412–421. [Google Scholar] [CrossRef]
- Yadav, M.; Goswami, P.; Paritosh, K.; Kumar, M.; Pareek, N.; Vivekanand, V. Seafood Waste: A Source for Preparation of Commercially Employable Chitin/Chitosan Materials. Bioresour. Bioprocess. 2019, 6, 8. [Google Scholar] [CrossRef]
- Zuo, Y.; Zhan, J.; Costa, N. Use of Shell Chitin Extracted from Seafood Processing Waste in Recycling of Industrial Wastewater. In Proceedings of the Environmentally Conscious Manufacturing, Boston, MA, USA, 9 February 2001; Volume 4193, pp. 403–412. [Google Scholar]
- Ke, C.-L.; Deng, F.-S.; Chuang, C.-Y.; Lin, C.-H. Antimicrobial Actions and Applications of Chitosan. Polymers 2021, 13, 904. [Google Scholar] [CrossRef]
- Rabea, E.I.; Badawy, M.E.-T.; Stevens, C.V.; Smagghe, G.; Steurbaut, W. Chitosan as Antimicrobial Agent: Applications and Mode of Action. Biomacromolecules 2003, 4, 1457–1465. [Google Scholar] [CrossRef] [PubMed]
- Hussein, M.H.M.; El-Hady, M.F.; Sayed, W.M.; Hefni, H. Preparation of Some Chitosan Heavy Metal Complexes and Study of Its Properties. Polym. Sci. Ser. A 2012, 54, 113–124. [Google Scholar] [CrossRef]
- Guibal, E. Heterogeneous Catalysis on Chitosan-Based Materials: A Review. Prog. Polym. Sci. 2005, 30, 71–109. [Google Scholar] [CrossRef]
- Rashid, S.; Shen, C.; Chen, X.; Li, S.; Chen, Y.; Wen, Y.; Liu, J. Enhanced Catalytic Ability of Chitosan–Cu–Fe Bimetal Complex for the Removal of Dyes in Aqueous Solution. RSC Adv. 2015, 5, 90731–90741. [Google Scholar] [CrossRef]
- Farinelli, G.; Di Luca, A.; Kaila, V.R.I.; MacLachlan, M.J.; Tiraferri, A. Fe-Chitosan Complexes for Oxidative Degradation of Emerging Contaminants in Water: Structure, Activity, and Reaction Mechanism. J. Hazard. Mater. 2021, 408, 124662. [Google Scholar] [CrossRef]
- Lee, M.; Chen, B.-Y.; Den, W. Chitosan as a Natural Polymer for Heterogeneous Catalysts Support: A Short Review on Its Applications. Appl. Sci. 2015, 5, 1272–1283. [Google Scholar] [CrossRef]
- Guibal, E.; Vincent, T.; Navarro, R. Metal Ion Biosorption on Chitosan for the Synthesis of Advanced Materials. J. Mater. Sci. 2014, 49, 5505–5518. [Google Scholar] [CrossRef]
- Al Momani, D.E.; Arshad, F.; Zou, L. Chitosan/MoS2/GO Membrane for Catalytic Degradation of Organic Contaminants. Environ. Technol. Innov. 2023, 32, 103410. [Google Scholar] [CrossRef]
- Gonçalves, J.O.; de Farias, B.S.; Rios, E.C.; Jaeschke, D.P.; Ribeiro, A.C.; da Silva, M.D.; Vieira, M.L.G.; Carvalho, V.V.d.L.; Cadaval, T.R.S.; Pinto, L.A.d.A. Advances in Chitosan-Based Materials for Application in Catalysis and Adsorption of Emerging Contaminants. Sustainability 2024, 16, 8321. [Google Scholar] [CrossRef]
- Ostrowska-Czubenko, J.; Gierszewska-Drużyńska, M. Effect of Ionic Crosslinking on the Water State in Hydrogel Chitosan Membranes. Carbohydr. Polym. 2009, 77, 590–598. [Google Scholar] [CrossRef]
- Ostrowska-Czubenko, J.; Pieróg, M.; Gierszewska-Drużyńska, M. Water State in Chemically and Physically Crosslinked Chitosan Membranes. J. Appl. Polym. Sci. 2013, 130, 1707–1715. [Google Scholar] [CrossRef]
- Farinelli, G.; Minella, M.; Pazzi, M.; Giannakis, S.; Pulgarin, C.; Vione, D.; Tiraferri, A. Natural Iron Ligands Promote a Metal-Based Oxidation Mechanism for the Fenton Reaction in Water Environments. J. Hazard. Mater. 2020, 393, 122413. [Google Scholar] [CrossRef]
- Papoutsakis, S.; Brites-Nóbrega, F.F.; Pulgarin, C.; Malato, S. Benefits and Limitations of Using Fe(III)-EDDS for the Treatment of Highly Contaminated Water at near-Neutral PH. J. Photochem. Photobiol. A Chem. 2015, 303–304, 1–7. [Google Scholar] [CrossRef]
- Pirkin-Benameur, J.; Bouad, V.; Lefèbvre, F.; Bouyer, D.; Sénéchal-David, K.; Rebilly, J.-N.; Banse, F.; Fournier, D.; Woisel, P.; Lyskawa, J.; et al. Revitalizing Inert Materials: Grafting Self-Oscillating, Stimuli-Responsive Organometallic Polymers for Pulsating Systems. Adv. Mater. Interfaces 2023, 10, 2300346. [Google Scholar] [CrossRef]
- Farinelli, G.; Rebilly, J.-N.; Banse, F.; Cretin, M.; Quemener, D. Assessment of New Hydrogen Peroxide Activators in Water and Comparison of Their Active Species toward Contaminants of Emerging Concern. Sci. Rep. 2024, 14, 9301. [Google Scholar] [CrossRef]
- Tartanson, M.A.; Soussan, L.; Rivallin, M.; Chis, C.; Penaranda, D.; Lapergue, R.; Calmels, P.; Faur, C. A New Silver Based Composite Material for SPA Water Disinfection. Water Res. 2014, 63, 135–146. [Google Scholar] [CrossRef]
- Quadrado, R.F.N.; Macagnan, K.L.; Moreira, A.S.; Fajardo, A.R. Chitosan-Based Hydrogel Crosslinked through an Aza-Michael Addition Catalyzed by Boric Acid. Int. J. Biol. Macromol. 2021, 193, 1032–1042. [Google Scholar] [CrossRef]
- Rajabi, M.; Cabral, J.; Saunderson, S.; Ali, M.A. Green Synthesis of Chitooligosaccharide-PEGDA Derivatives through Aza-Michael Reaction for Biomedical Applications. Carbohydr. Polym. 2022, 295, 119884. [Google Scholar] [CrossRef]
- Pawlak, A.; Mucha, M. Thermogravimetric and FTIR Studies of Chitosan Blends. Thermochim. Acta 2003, 396, 153–166. [Google Scholar] [CrossRef]
- Fernandes Queiroz, M.; Melo, K.; Sabry, D.; Sassaki, G.; Rocha, H. Does the Use of Chitosan Contribute to Oxalate Kidney Stone Formation? Mar. Drugs 2014, 13, 141–158. [Google Scholar] [CrossRef]
- Liu, F.; Liu, Y.; Guo, Y.; Liu, J.; Dong, J.; Wang, T.; Hao, D.; Zhang, Y. FTIR Determination of the Degree of Molar Substitution for Hydroxypropyl Chitosan. Carbohydr. Polym. 2024, 339, 122229. [Google Scholar] [CrossRef] [PubMed]
- Farinelli, G.; Minella, M.; Sordello, F.; Vione, D.; Tiraferri, A. Metabisulfite as an Unconventional Reagent for Green Oxidation of Emerging Contaminants Using an Iron-Based Catalyst. ACS Omega 2019, 4, 20732–20741. [Google Scholar] [CrossRef] [PubMed]
- Buettner, G.R. Spin Trapping: ESR Parameters of Spin Adducts 1474 1528V. Free Radic. Biol. Med. 1987, 3, 259–303. [Google Scholar] [CrossRef]
- Zhou, Z.; Zhou, S.; Zhang, X.; Zeng, S.; Xu, Y.; Nie, W.; Zhou, Y.; Xu, T.; Chen, P. Quaternary Ammonium Salts: Insights into Synthesis and New Directions in Antibacterial Applications. Bioconjug. Chem. 2023, 34, 302–325. [Google Scholar] [CrossRef]
- Kwaśniewska, D.; Chen, Y.-L.; Wieczorek, D. Biological Activity of Quaternary Ammonium Salts and Their Derivatives. Pathogens 2020, 9, 459. [Google Scholar] [CrossRef]
- Han, Y.; Zhou, Z.-C.; Zhu, L.; Wei, Y.-Y.; Feng, W.-Q.; Xu, L.; Liu, Y.; Lin, Z.-J.; Shuai, X.-Y.; Zhang, Z.-J.; et al. The Impact and Mechanism of Quaternary Ammonium Compounds on the Transmission of Antibiotic Resistance Genes. Environ. Sci. Pollut. Res. 2019, 26, 28352–28360. [Google Scholar] [CrossRef]
- Giannakis, S.; López, M.I.P.; Spuhler, D.; Pérez, J.A.S.; Ibáñez, P.F.; Pulgarin, C. Solar Disinfection Is an Augmentable, in Situ-Generated Photo-Fenton Reaction—Part 2: A Review of the Applications for Drinking Water and Wastewater Disinfection. Appl. Catal. B Environ. 2016, 198, 431–446. [Google Scholar] [CrossRef]
- Giannakis, S.; Polo López, M.I.; Spuhler, D.; Sánchez Pérez, J.A.; Fernández Ibáñez, P.; Pulgarin, C. Solar Disinfection Is an Augmentable, in Situ -Generated Photo-Fenton Reaction—Part 1: A Review of the Mechanisms and the Fundamental Aspects of the Process. Appl. Catal. B Environ. 2016, 199, 199–223. [Google Scholar] [CrossRef]
- Farinelli, G.; Giagnorio, M.; Ricceri, F.; Giannakis, S.; Tiraferri, A. Evaluation of the Effectiveness, Safety, and Feasibility of 9 Potential Biocides to Disinfect Acidic Landfill Leachate from Algae and Bacteria. Water Res. 2021, 191, 116801. [Google Scholar] [CrossRef] [PubMed]










Disclaimer/Publisher’s Note: The statements, opinions and data contained in all publications are solely those of the individual author(s) and contributor(s) and not of MDPI and/or the editor(s). MDPI and/or the editor(s) disclaim responsibility for any injury to people or property resulting from any ideas, methods, instructions or products referred to in the content. |
© 2025 by the authors. Licensee MDPI, Basel, Switzerland. This article is an open access article distributed under the terms and conditions of the Creative Commons Attribution (CC BY) license (https://creativecommons.org/licenses/by/4.0/).
Share and Cite
Farinelli, G.; Baldo, H.; Soussan, L.; Lefèbvre, F.; Sénéchal-David, K.; Rebilly, J.-N.; Banse, F.; Quemener, D. Novel Chitosan-Based Materials to Promote Water Disinfection and Degradation of Contaminants. Water 2025, 17, 3077. https://doi.org/10.3390/w17213077
Farinelli G, Baldo H, Soussan L, Lefèbvre F, Sénéchal-David K, Rebilly J-N, Banse F, Quemener D. Novel Chitosan-Based Materials to Promote Water Disinfection and Degradation of Contaminants. Water. 2025; 17(21):3077. https://doi.org/10.3390/w17213077
Chicago/Turabian StyleFarinelli, Giulio, Héloïse Baldo, Laurence Soussan, Flora Lefèbvre, Katell Sénéchal-David, Jean-Noël Rebilly, Frédéric Banse, and Damien Quemener. 2025. "Novel Chitosan-Based Materials to Promote Water Disinfection and Degradation of Contaminants" Water 17, no. 21: 3077. https://doi.org/10.3390/w17213077
APA StyleFarinelli, G., Baldo, H., Soussan, L., Lefèbvre, F., Sénéchal-David, K., Rebilly, J.-N., Banse, F., & Quemener, D. (2025). Novel Chitosan-Based Materials to Promote Water Disinfection and Degradation of Contaminants. Water, 17(21), 3077. https://doi.org/10.3390/w17213077

