Abstract
This study examines the effectiveness of Generalised Additive Models (GAMs) and log-log linear models for estimating the parameters of the generalised extreme value (GEV) distribution, which are then used to estimate flood quantiles in ungauged catchments. This is known as the parameter regression technique (PRT). Using data from 88 gauged catchments in New South Wales, Australia, flood quantiles were estimated for various annual exceedance probabilities (AEPs) of 50%, 20%, 10%, 5%, 2%, and 1%, corresponding to return periods of 2, 5, 10, 20, 50, and 100 years, denoted by Q2, Q5, Q10, Q20, Q50, and Q100, respectively. These flood quantiles were then used as dependent variables, while several catchment characteristics served as independent variables in the regression. GAMs were employed to capture non-linearities in flood generation processes. This study evaluates different GAMs and log-log linear models, identifying the best ones based on significant predictors and various statistical metrics using a leave-one-out (LOO) validation approach. The results indicate that GAMs provide more accurate and reliable predictions of flood quantiles compared to the log-log linear models, demonstrating better performance in capturing observed values across different quantiles. The absolute median relative error percentage (REr%) ranges from 33% to 39% for the GAMs and from 36% to 45% for the log-log models. GAMs demonstrate better performance compared to the log-log linear models for quantiles Q2, Q5, Q10, Q20, and Q50; however, their performances appear to be similar for Q100.
1. Introduction
In recent years, there has been a significant acceleration in climate change, accompanied by a noticeable increase in the frequency of extreme weather events, even in regions that historically experienced lower occurrences [1,2]. While flooding is a natural phenomenon, human involvements, such as the alteration of natural watercourses, changes in land use, and the influence of climate change, can modify how watersheds respond to rainfall, leading to extreme floods [3,4]. To evaluate flood risks, statistical methods are employed to analyse long-term streamflow data and estimate flood magnitudes for specific return periods or annual exceedance probabilities (AEPs). Moreover, more intense rainfall increases the risk of damaging floods, especially in urban areas lacking infrastructure resilience. Recent trends worldwide, including in Australia, Europe, the United States, Canada, and China, clearly show an increasing occurrence of severe floods [5,6]. This highlights the need for accurate flood quantile predictions to design and manage infrastructure such as urban drainage systems, spillways, bridges, and levees to reduce flood damage. Consequently, flood frequency analysis (FFA) is a widely used method for design flood estimation, which depends on sufficient recorded streamflow data at specific locations. However, many stream-gauging sites have limited or short-term flow data, and numerous streams remain ungauged. To address this challenge in ungauged catchments, regional flood frequency analysis (RFFA) is commonly employed to estimate design floods [7,8].
Numerous RFFA methods have been developed, each with specific assumptions and limitations. Traditional methods like the Index Flood Method (IFM) [9,10] and Probabilistic Rational Method (PRM) [11,12] are widely used but have limitations, such as assumptions of regional homogeneity [13] and challenges with variable runoff coefficients. Regression-based approaches, including Quantile Regression Techniques (QRTs) [13,14] and Parameter Regression Techniques (PRTs) [15,16] have gained popularity in Australia, offering advantages like smooth flood quantile predictions and integration of regional and at-site flood data. To address non-linear hydrological processes, modern techniques such as random forest (RF) and gene expression programming (GEP) have been developed, providing flexibility in modelling non-linear relationships [17,18]. Other advanced regression methods like the accelerated decomposition method of Adomian [19] can be adopted.
While log-linear regression models are often used in RFFA, simple log transformations sometimes may not capture the complexities and non-linearities present in flood generation processes [20]. Flood processes often show non-linear behaviour that linear models or simple transformations cannot sufficiently capture, necessitating the use of more complex modelling approaches like Generalised Additive Models (GAMs) to account for these complexities [21].
GAMs have gained popularity in various fields, including hydrology, due to their effectiveness in modelling complex relationships between variables. They offer flexibility in capturing non-linear relationships without requiring restrictive assumptions and have been widely adopted for analysing hydrological data [22,23]. In hydrology, GAMs have shown promise in estimating non-linear trends in water quality, predicting temperature, evaluating air quality pollutants, and more. They outperform multiple linear regression models due to their incorporation of smooth functions, effectively handling complex relationships between predictor and dependent variables [24]. GAMs have been employed in recent studies on RFFA. For instance, Singh et al. [25] used Generalised Additive Models for Location Scale and Shape (GAMLSS) parameters in Canada to capture both linear and non-linear characteristics of flood peak changes. Similarly, Wang et al. [26] examined summer precipitation data from 21 rainfall stations in China using GAMLSS. Additionally, Chen et al. [3] applied GAMLSS to implement time-varying non-stationary FFA and precipitation-informed models across 161 catchments in the UK. Furthermore, Souaissi et al. [7] employed GAMs in regional frequency analysis of stream temperature at 24 stations in Switzerland.
Some studies have recognised the ability of GAMs in RFFA. For example, Noor et al. [27] compared the performance of GAMs in RFFA with a QRT using 114 catchments in Victoria, Australia. The findings suggest that while GAMs demonstrate superior performance for smaller return periods, the QRT outperforms GAMs for higher return periods. Ouarda et al. [28] introduced GAMs for estimating low-flow characteristics in ungauged locations in Quebec, Canada, at a regional scale and compared them to multiple linear regression. The results indicated that GAMs demonstrate superior performance compared to multiple linear regression in estimating low-flow characteristics. Furthermore, Rahman et al. [24] compared various RFFA methods, including GAMs with fixed regions, log-linear models, canonical correlation analysis, and the region-of-influence approach, using data from 85 gauged catchments in New South Wales (NSW), Australia. Through a leave-one-out (LOO) validation approach, GAM methods generally surpassed the others. Chebana et al. [21] evaluated both linear and non-linear approaches, indicating that RFFA models based on GAMs demonstrated better performance compared to linear models, including the commonly used log-linear regression model, using a dataset consisting of 151 stations in Quebec, Canada. Qu et al. [23] compared the analysis of linear and non-linear quantile regression models and demonstrated superior performance of the GAMs for location, scale, and shape parameters particularly in estimating design flood values, suggesting their feasibility for practical applications. Recently, Msilini et al. [29] compared log-linear regression, GAMs, and MARS for estimating flood quantiles in ungauged catchments in Montreal, Canada, finding that MARS combined with canonical correlation analysis outperformed others due to its flexibility and suitability for applications with limited streamflow data. Similarly, Barna et al. [30] explored GAMs for flood quantile estimation in Norway, highlighting the importance of duration-specific adjustments for accurate predictions. These findings highlight the ability of advanced modelling approaches like GAMs in understanding complex hydrological processes, which aligns with the objectives of this study in improving flood quantile predictions using GAMs.
Australian hydrology shows high variability, suggesting that the linearity assumption may not be suitable for developing RFFA models in Australia. In this context, GAMs offer a better means to handle non-linearity in regression models. However, there have been relatively few studies on the application of GAMs in RFFA in Australia. Previous GAM-related RFFA research in Australia primarily focused on QRTs, with limited exploration within the parameter regression technique (PRT) framework. For example, Rahman et al. [24] compared the performance of GAM-based RFFA models with a log-linear model and canonical correlation analysis for estimating two flood quantiles (Q10 and Q50) in Australian conditions. In another study, Noor et al. [27] applied GAMs in RFFA to 114 catchments in Victoria, Australia, and compared their performances with the QRT but did not explore the regionalisation of GEV parameters. In the works of Rahman et al. [24] and Noor et al. [27], log-Pearson Type 3 (LP3) distribution was adopted to estimate at-site flood quantiles, which were used as the dependent variables in their analyses. In contrast, this study applies GAMs in the PRT framework using the Generalised Extreme Value (GEV) distribution (i.e., prediction equations are developed for the three parameters of the GEV distribution) and compares their performance with traditional log-log linear regression models. By focusing on the PRT in RFFA using the GEV distribution, this study fills a knowledge gap in the application of GAMs within RFFA and represents a significant advancement by focusing on distributional parameter-based regionalisation rather than quantile-based models. To the authors’ knowledge, there is no RFFA study where GAMs are applied to regionalise the parameters of the GEV distribution. This approach offers a more flexible method for improving FFA in ungauged catchments as the PRT allows the estimation of flood quantiles that are consistent and do not need smoothing like those of the QRT. These advancements can contribute to enhanced flood risk management and infrastructure planning, particularly in regions with limited streamflow data.
The remainder of this paper is structured as follows: Section 2 introduces the study area and data used in this study; Section 3 outlines the methodology employed in this study, while the results are discussed in Section 4. Following the results, Section 5 provides a discussion, and Section 6 contains the conclusions of this study.
2. Study Area and Data
In this research, 88 gauged catchments were selected from the state of NSW, Australia. These catchments are natural and of smaller to medium sizes, making them well suited for RFFA. The selected catchments vary in size, with areas ranging from 8 to 1010 km2. The average catchment size is 325 km2, with a median size of 260 km2. The record lengths of annual maximum floods (AMFs) vary from 25 to 89 years, with an average record length of 48 years and a median of 44 years. The location of these selected catchments is presented in Figure 1.
Figure 1.
Location of study catchments in NSW, Australia.
Eight catchment characteristics were selected in this study (to be used as dependent variables in regression). Table 1 summarises the catchment characteristics data, presenting the minimum, maximum, mean, and standard deviation values for each of the following characteristics:
Table 1.
Summary of catchment characteristic data for 88 gauged catchments in NSW, Australia.
- Catchment Area (area): This is an important predictor variable in RFFA and the main scaling factor in flood generation. It has been adopted in all the previous RFFA studies.
- Design Rainfall Intensity (I6,2): Rainfall intensity plays a crucial role in flood generation. It is essential for estimating flood magnitudes for specific durations and AEPs. In this study, a duration of six hours and a return period of 2 years are selected as the mean critical duration of the selected catchments is closer to 6 h.
- Mean Annual Rainfall (MAR): Although it does not directly impact flood peak generation, it serves as a proxy for other variables affecting runoff, such as evapotranspiration, catchment wetness, and land use.
- Shape Factor (SF): This parameter assesses the influence of catchment shape on the runoff hydrograph peak.
- Mean Annual Evapotranspiration (MAE): Evapotranspiration, which combines evaporation and transpiration, affects water availability for runoff and recharge processes.
- Stream Density (SDEN): SDEN quantifies the potential for runoff, with higher values indicating efficient drainage mechanisms and a greater potential for runoff peak, which can contribute to flooding.
- Slope Factor (S1085): The S1085 index represents mainstream channel slope, affecting flood speed. High values mean steep slopes, leading to faster floods and riskier floods in flood zones.
- Forest Coverage (FOREST): This parameter can significantly influence hydrological processes by affecting infiltration rates and runoff within catchments.
3. Methodology
For the estimation of flood quantiles corresponding to AEPs of 1 in 2, 1 in 5, 1 in 10, 1 in 20, 1 in 50, and 1 in 100 years (denoted as Q2, Q5, Q10, Q20, Q50, and Q100, respectively), this study used the GEV distribution, with the L-moment fitting method. The GEV parameters including location (represented by the mean), scale (coefficient of variation (LCV) from L-moments), and shape (coefficient of skewness (LSK) from L-moments, equivalent to shape for GEV) were considered as dependent variables. These parameters were estimated by PRT using two statistical methods, GAM and log-log multiple linear regression. Additionally, this study used the eight catchment characteristics described above as predictor variables in modelling.
3.1. Generalised Extreme Value Distribution
This study adopts a GEV distribution coupled with L-moments as suggested by Hosking and Wallis [31]. The L-moments are similar to the conventional moments; however, they have several theoretical advantages, e.g., being able to model a wider range of distributions, and when estimated from a sample, they tend to be more robust to the presence of outliers in the dataset [31].
The GEV distribution, introduced by Jenkinson [32], is given by
where ξ, α, and κ are the location, scale, and shape parameters, respectively. The shape parameter κ defines the tail behaviour of the distribution. If κ < 0 (Frechet), the distribution has a heavy right-hand tail and a lower bound equal to ξ + α/κ; if κ > 0 (Weibull), the distribution has an upper bound of ξ + α/κ; and when κ = 0, the GEV distribution reduces to the Gumbel distribution whose cdf is given by
and has an exponential upper tail.
The T-year event (where T is a surrogate for ARI) can be expressed in terms of the GEV parameters.
The L-moment estimators for the parameters of the GEV distribution are
where the expression for the shape parameter is an approximation provided by Hosking et al. [33] that is accurate for –0.5 < < 0.5. is the LSK estimator, and = b0, = 2b1 − b0, and = 6b2 − 6b1 + b0 are the L-moment estimators of the mean, scale, and skew. Here, br is taken to be the unbiased estimators of the first three probability-weighted moments (PWMs).
Using the mean value, the regional T-year event estimator can be written [34] by
= −ln[−ln(1 − 1/T)] is the Gumbel reduced variate, = regional LCV (estimated as discussed below), and = shape parameter of GEV distribution; to estimate this, (regional LSK) is to be estimated first, as explained below.
3.2. Generalised Additive Model (GAM)
A GAM is a statistical approach that incorporates non-linear functions for each variable while maintaining the model’s additive nature. Mathematically, a GAM can be expressed as follows:
where is the response variable, is a constant term, represents non-linear functions for each predictor variable, and is the error term.
In this equation, g(μi) represents the link function applied to the expected value (mean) of the response variable for the i-th observation, often denoted as E(Yᵢ); Xᵢ is a vector of predictor variables for the i-th observation; b is a vector of coefficients associated with the predictor variables; and ∑ⱼ indicates a summation over the predictor variables, with fj(xᵢⱼ) representing the non-linear functions (often smooth functions) applied to each predictor variable xᵢⱼ for the i-th observation.
3.3. Log-Log Linear
Log-log is a linear relationship between the predictor variables (X) and the response variable (Y). The model can be represented as
where Y is the response variable (e.g., mean, LCV, and LSK); are the predictor variables (e.g., catchment characteristics); are the coefficients to be estimated; and represents the error term.
3.4. Evaluation Statistics
Model validation involves assessing each developed model using a leave-one-out (LOO) validation procedure [35]. To assess the model’s performance, several evaluation statistics are used, including the median ratio of predicted to observed quantiles, the absolute median relative error (median REr) expressed as a percentage, the mean squared error (MSE), the relative root mean square error (rRMSE) expressed as a percentage, the mean bias (BIAS), and the relative mean bias (rBIAS) expressed as a percentage. The equations for these evaluation statistics are as follows:
where Qobs is obtained by at-site FFA fitting a GEV distribution to the AMF data, and Qpred is obtained by the RFFA technique adopted in this study.
4. Results
4.1. Estimation of GEV Distribution Parameters
Table 2 presents the GEV parameters estimated for 88 catchments using the L-moment method with FLIKE software (version 5.0.300.0). The GEV parameters, including mean, LCV, and LSK, are provided along with their minimum, maximum, mean, and standard deviation values. GAMs and log-log linear models were employed to estimate the parameters of the GEV distribution. The analysis was conducted separately for the mean, LCV, and LSK parameters.
Table 2.
Summary of the GEV parameters for 88 catchments using FLIKE software (version 5.0.300.0).
The approach involved extensive exploration of all possible combinations of the eight predictor variables, resulting in a total of 255 models. The evaluation criteria included R2, Generalised Cross-Validation (GCV) score, and model complexity.
Following a comprehensive assessment, a subset of models showing promising performance in explanatory power and simplicity was identified. Subsequent validation through LOO cross-validation confirmed the reliability of selected models and highlighted those with strong predictive variables. Final model selection selected those retaining significant predictors while achieving high R2 values, low GCV scores, low degree of freedom for residuals (df residual), and minimised Akaike Information Criterion (AIC) values and Bayesian Information Criterion (BIC). This approach ensured the selection of models having an effective balance between predictive accuracy and complexity, providing a strong analytical framework.
4.2. Generalised Additive Models (GAMs)
4.2.1. Mean Parameter Estimation
For the estimation of the mean parameter using GAMs, a comprehensive analysis was conducted to evaluate various models. The selection process was based on the highest R2, the lowest GCV scores, and the lowest model complexity ensuring a balance between accuracy and simplicity. Among the 255 models, eight were considered, and after LOO validation was performed, the significant predictor variables for each model were identified based on p-value (0.05 significance level) as shown in Table 3.
Table 3.
Summary of significant predictor variables identified for estimating mean parameter in GAMs after LOO.
Interestingly, Model 3 and Model 6 revealed statistical significance (p-value < 0.05) for all their predictor variables, indicating a strong relationship with the mean parameter. In the case of Model 3, the predictor variables ‘area and I62’ were significant, suggesting that these two variables are sufficient to capture the variability in the mean parameter. Similarly, Model 6 retained significance for ‘area’, ‘I62’ and ‘MAE’, demonstrating a strong relationship between these variables and the mean parameter. For Model 3, the parametric coefficients were estimated, with both ‘area’ and ‘I62’ demonstrating significant effects on the mean. From Table 4, the R2 value was 0.60, indicating that 60% of the variance in the mean was explained. The GCV score was 2,208,814.13. The analysis revealed that both ‘area’ and ‘I62’ had statistically significant relationships with the mean parameter.
Table 4.
Model statistics for eight GAMs estimating mean parameter.
Model 6 indicated that ‘area’, ‘I62’, and ‘MAE’ were all significant predictors of the mean parameter. From Table 4, the R2 value increased to 0.70, indicating that the model explained 70% of the variance in the mean. The GCV score decreased to 483,878.03. The analysis highlighted the combined influence of ‘area’, ‘I62’, and ‘MAE’ in predicting the mean parameter.
Among all the models, Model 6 appears to be the best choice, as it has the highest R2 value, the lowest GCV score, a lower AIC, and a lower value for df residual. However, Model 3 is less complex. Both Model 6 and Model 3 are taken into consideration in building the models.
4.2.2. LCV Parameter Estimation
Similarly, various models were assessed for their ability to estimate LCV while considering less model complexity, goodness-of-fit metrics (such as highest R2, lowest GCV scores), and the significance of predictor variables. The best eight different GAMs were chosen to estimate LCV using various predictor variables. After LOO validation was performed, the significant predictor variables for each model were determined based on p-values (0.05 significance level). The models, along with their significant predictor variables, are summarised in Table 5. Notably, Model 3 and Model 8 revealed significance in all their predictor variables, indicating a strong relationship with the LCV variable.
Table 5.
Summary of significant predictor variables identified for estimating LCV parameter in GAMs after LOO.
To evaluate the performance of these models, several metrics were considered, including AIC and df residual and goodness-of-fit statistics such as R2 and GCV scores (as shown in Table 6). Model 3 appears to be the most suitable choice for estimating LCV, with a good R2 value (0.53), a low GCV score (0.16), a low AIC (−184.08), and a low value for the residual (70.41). This indicates that Model 3 provides the best balance between goodness of fit and model complexity. On the other hand, Model 8 offers a good option due to its simplicity with an R2 of 0.17 and a GCV score of 4.36. Both Models 3 and 8 are taken into consideration in building the models.
Table 6.
Model statistics for eight GAMs estimating LCV parameter.
4.2.3. LSK Parameter Estimation
Likewise, different models were evaluated in terms of their ability to predict LSK, taking into account the same factors such as model complexity, metrics indicating goodness of fit (such as highest R2, lowest GCV scores), and the importance of predictor variables. Eight distinct GAMs were developed to predict LSK, incorporating a variety of predictor variables. The summary in Table 7 outlines the models and highlights their significant predictor variables.
Table 7.
Summary of significant predictor variables identified for estimating LSK parameter in GAMs after LOO.
After LOO validation, the models were compared based on their R2 values, GCV, AIC, and df residual as shown in Table 8.
Table 8.
Model statistics for eight GAMs estimating LSK parameter.
Among the models, Model 7 stands out as the most promising with an R2 value of 0.33, signifying that approximately 33% of the variability in LSK is explained by the model. Moreover, the GCV score for Model 7 was notably lower than that of other alternatives, indicating its effectiveness in minimising overfitting. Additionally, the model had a lower AIC and a reduced df residual. Overall, Model 7 demonstrated a significant impact of I62 and SF on LSK prediction. Both terms are statistically significant based on their p-values. On the other hand, Model 8, while less complex, still explains 17% of the deviance with a focus on I62. Both Models 7 and 8 are taken into consideration in building the models.
4.2.4. Evaluation of GAM Combinations for Quantile Prediction
To explore the effectiveness of GAM analysis in quantile prediction, eight distinct combinations, denoted as GAM (a) through GAM (h), are assessed to determine their predictive capabilities. Each combination comprises specific models for mean, LCV, and LSK. They are as follows:
GAM (a): Mean (Model 3)–LCV (Model 8)–LSK (Model 7);
GAM (b): Mean (Model 3)–LCV (Model 8)–LSK (Model 8);
GAM (c): Mean (Model 3)–LCV (Model 3)–LSK (Model 7);
GAM (d): Mean (Model 3)–LCV (Model 3)–LSK (Model 8);
GAM (e): Mean (Model 6)–LCV (Model 8)–LSK (Model 7);
GAM (f): Mean (Model 6)–LCV (Model 8)–LSK (Model 8);
GAM (g): Mean (Model 6)–LCV (Model 3)–LSK (Model 7);
GAM (h): Mean (Model 6)–LCV (Model 3)–LSK (Model 8).
To determine the best combinations among the GAMs, the median of the ratio of observed to predicted values (Qobs/Qpred) and the median REr% for each combination were compared. As shown in Table 9, for the median ratio, combinations e, f, g, and h demonstrated median ratios close to 1, suggesting a good balance between observed and predicted values. Conversely, combinations a, b, c, and d had median ratios slightly higher than 1, indicating slightly overestimated predictions. Regarding the median REr%, combinations e, f, g, and h exhibited the lowest values across all quantiles, indicating the lowest percentage of relative errors. In contrast, combinations a, b, c, and d had higher median REr% values, indicating higher relative errors in prediction. Overall, combinations e, f, g, and h performed better than combinations a, b, c, and d in terms of both median ratio and median REr%.
Table 9.
Median ratio and median REr% for the selected GAM combinations.
4.3. Log-Log Linear
4.3.1. Mean Parameter Estimation
For the estimation of the mean parameter using log-log linear models, 255 combinations were evaluated, and nine models were selected based on their goodness-of-fit characteristics (such as highest R2, lowest AIC and BIC) and lower model complexity. After LOO validation was conducted, these models (presented in Table 10) were assessed based on their significant predictor variables and overall performance.
Table 10.
Summary of significant predictor variables identified for estimating mean parameter in log-log linear model after LOO.
The best models, based on the significant predictor variables and less complexity, were Models 3 and 4. Model 3 included the predictor variables log(area) and log(I62), while Model 4 incorporated log(area), log(I62), and log(SF) as significant predictors. From Table 11, Model 3 showed an R2 value of 0.75, indicating a good fit and demonstrating that the selected predictor variables explained a significant proportion of the variance in the mean parameter. Model 4 exhibited a slightly higher R2 value of 0.76, suggesting that the addition of log(SF) as a predictor improved the model’s performance. It also had a lower AIC and BIC, indicating strong explanatory power.
Table 11.
Model statistics for nine log-log linear models estimating mean parameter.
Overall, Models 3 and 4 will be taken into consideration in building the log-log models.
4.3.2. LCV Parameter Estimation
In this section, log-log linear models were employed to estimate the LCV parameter. Nine models were selected based on the same metrics and evaluated to determine the best predictor variables for LCV. After LOO validation was conducted, nine models (presented in Table 12) were assessed based on their significant predictor variables and overall performance.
Table 12.
Summary of significant predictor variables identified for estimating LCV parameter in log-log linear after LOO.
From Table 13, Model 8, which used “log(I62)” as the only predictor variable, showed an R2 value of 0.09. While Model 8’s R2 value is relatively low, it was the best-performing model among the options available. This model is characterised by simplicity with a single predictor variable, “log(I62)”, and therefore, it is the most suitable choice for estimating LCV using the log-log linear approach.
Table 13.
Model statistics for nine log-log linear models estimating LCV parameter.
4.3.3. LSK Parameter Estimation
Similarly, log-log linear models were used to estimate the LSK parameter. Nine models were assessed to determine the best predictor variables for LSK. After LOO validation was conducted, these models were evaluated based on their significant predictor variables and overall performance (see Table 14).
Table 14.
Summary of significant predictor variables identified for estimating LSK parameter in log-log linear after LOO.
While Model 8’s adjusted R2 value is relatively low (as shown in Table 15), it was the best-performing model among the available options. As for LCV, Model 8 is the most suitable choice for estimating LSK using a log-log linear model due to its simplicity and relationship.
Table 15.
Model statistics for nine log-log linear models estimating LSK parameter.
4.3.4. Evaluation of Log-Log Model Combinations for Quantile Prediction
To investigate the effectiveness of log-log analysis in quantiles prediction, two specific combinations, denoted as log-log (i) and log-log (j) were examined for estimating quantiles using the mean (from Models 3 and 4), LCV (from Model 8), and LSK (from Model 8) parameters. The combinations are as follows:
Log-log (i): Mean (Model 3)–LCV (Model 8)–LSK (Model 8);
Log-log (j): Mean (Model 4)–LCV (Model 8)–LSK (Model 8).
For log-log (i), the median REr, expressed as a percentage, ranges from 38.92% to 45.19%, and the MSE ranges from 4,493.74 to 259,758.43 across different quantiles. While for log-log (j), the median REr ranges from approximately 36.32% to 38.84% with the MSE ranging from approximately 4,930.74 to 265,092.08 across different quantiles. Figure 2 shows that the median REr and MSE for both models are relatively close to each other across different quantiles. This suggests that both combinations are effective in estimating quantiles using the mean, LCV, and LSK parameters.
Figure 2.
Median REr% and MSE for the selected log-log combinations.
4.4. Comparison Between GAM and Log-Log
In summary, both GAMs and log-log linear models showed promising results for estimating different parameters (mean, LCV, and LSK). The choice between them depends on factors like model complexity, goodness of fit, and specific data characteristics.
Table 16 presents a comparison between GAMs and log-log models, focusing on median REr% across the six quantiles Q2 to Q100. The median REr% ranges from 33% to 39% for GAMs and from 35% to 45% for log-log models. An analysis of the minimum error reveals that, except for Q100, a GAM generally exhibits lower median REr% compared to a log-log model, suggesting a better performance in most cases. Similarly, considering the maximum error, a GAM demonstrates a lower median REr% across all quantiles except for Q100, giving better predictive accuracy. Notably, for quantiles Q2, Q5, Q10, Q20, and Q50, a GAM outperforms a log-log model, while for Q100, their performance is very similar.
Table 16.
Summary of percentage median REr% for GAMs and log-log linear models.
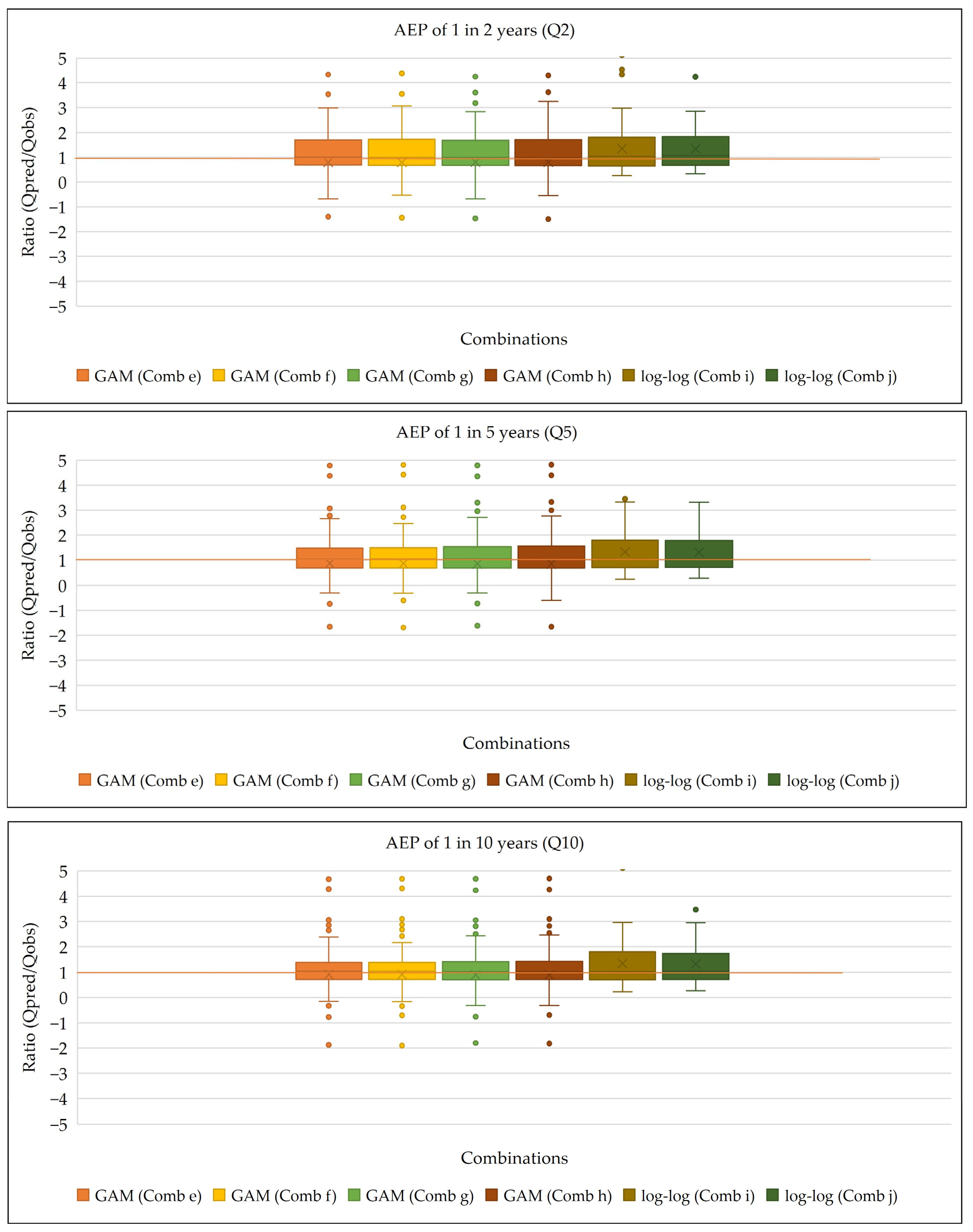
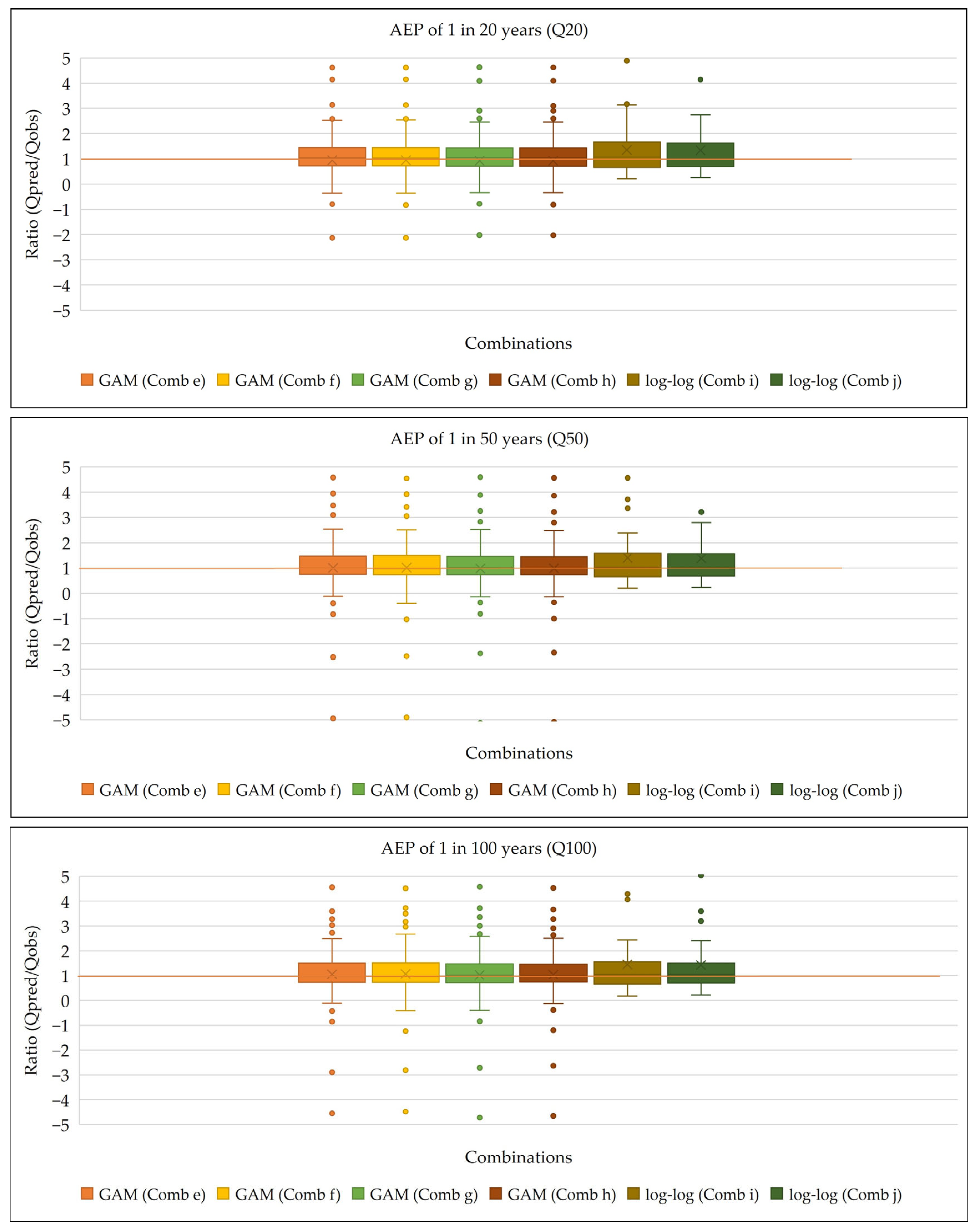
The boxplots, shown in Figure 3 and Figure 4, illustrate the ratio (Qpred/Qobs) for the selected combinations of models. For combinations e, f, g, and h, representing GAMs, the median values for all the AEPs closely align with the 1:1 line, indicating a strong match between predicted and observed flood quantiles. Similarly, for combinations i and j, corresponding to log-log linear models, the median values are slightly above the 1:1 line, suggesting a generally good estimation of flood quantiles compared to observed values. Consistent lower quartile values across all the combinations indicate similar performance in the lower range of the ratio values for both GAMs and log-log linear models. However, the upper quartile values for GAMs are lower than those for the log-log linear models, indicating lower variability in the overestimation of flood quantiles for GAMs. Moreover, except for AEPs of 1 in 2 and 100 years, the upper whisker values for GAMs are smaller than those for log-log linear models, suggesting that while maximum overestimation may be higher for the log-log models, the variability range is wider compared to GAMs. Conversely, the lower whisker values for GAMs are larger than those for log-log linear models, indicating higher minimum overestimation for GAMs but less variability in underestimation for log-log linear models.
Figure 3.
Boxplots of the ratio for the selected combinations for AEPs of 1 in 2, 5, and 10.
Figure 4.
Boxplots of the ratio for the selected combinations for AEPs of 1 in 20, 50, and 100.
In conclusion, the boxplot analysis suggests that GAMs, particularly combinations e, f, g, and h, exhibit slightly better performance in estimating flood quantiles compared to the log-log linear models (combinations i and j). The close alignment of median ratio values with the 1:1 line, coupled with lower variability in overestimation, highlights the effectiveness of GAMs in accurately predicting flood magnitudes across different quantiles.
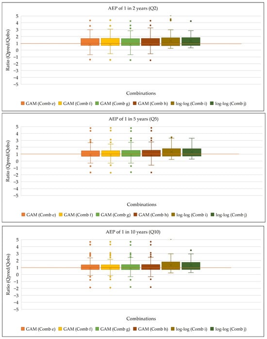
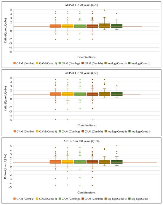
The boxplots, presented in Figure 5 and Figure 6, reveal the distribution of the relative error % across the different combinations of models. For combinations e, f, g, and h, which represent GAMs, the median lines for all AEPs closely track with the 1:1 line, indicating a consistent pattern in error distribution. Similarly, for combinations i and j, corresponding to log-log linear models, the median lines for the relative error % values are near the 1:1 line, suggesting overall accuracy in error estimation. Consistent lower quartile values across all the combinations indicate similar performance in the lower range of relative error % values for both GAMs and log-log linear models. However, the upper quartile values for GAMs are lower than those for log-log linear models, indicating less variability in the overestimation of errors for GAMs. Additionally, except for AEPs of 1 in 2 and 100 years, the upper whisker values for GAMs are smaller than those for log-log linear models, suggesting a thinner range of maximum overestimation for GAMs. Conversely, the lower whisker values for GAMs are larger than those for log-log linear models, indicating higher minimum overestimation for GAMs but less variability in underestimation for log-log linear models. Overall, the analysis of relative error % suggests that GAMs exhibit consistent error patterns across different AEPs, with less variability in overestimation compared to the log-log linear models.
Figure 5.
Boxplots of relative error % for selected combinations for AEPs of 1 in 2, 5, and 10.
Figure 6.
Boxplots of relative error % for selected combinations for AEPs of 1 in 20, 50, and 100.
Figure 7 illustrates the comparison between the median ratio and median REr% for both GAMs and log-log linear models. For the GAMs (e, f, g, h) the median ratio values are generally close to 1 across all the quantiles, except for Q100, indicating a good balance between observed and predicted values. In contrast, the log-log linear models (i, j) show median ratio values slightly above or below 1, suggesting some deviation between observed and predicted values. Therefore, the GAMs provide more accurate and precise predictions compared to the log-log linear models, as indicated by the closer alignment of median ratio values to 1. Moreover, the GAMs demonstrate a better ability to capture the variability in flood magnitudes, as evidenced by their lower median REr% values across most quantiles. Conversely, the log-log linear models generally generate higher median REr% values, indicating relatively larger errors in prediction.
Figure 7.
Median ratio and median REr% values for the selected combinations for AEPs of 1 in 2, 1 in 5, 1 in 10, 1 in 20, 1 in 50, and 1 in 100 years.
Overall, the findings suggest that the GAMs provide more reliable and accurate predictions of flood quantiles compared to the log-log linear models. The closer alignment of median ratio values to 1 for GAMs underscores their superior performance in capturing observed values across the different quantiles, highlighting their potential for enhancing flood prediction accuracy.
By evaluating the variability in the median REr% for both GAMs and log-log linear models, the difference between the smallest and largest values (range) highlights clear differences in predictive consistency. For quantiles Q2 to Q20, GAMs show narrower ranges of REr% (such as 0.73% to 3.60%) compared to log-log linear models, which have larger ranges (such as 1.91% to 6.93%). This smaller range means GAMs are less uncertain and give more reliable predictions.
Additionally, the shorter interquartile ranges and whiskers in Figure 5 and Figure 6 further support that GAMs show lower variability in overestimation compared to log-log linear models. For lower quantiles (Q2 to Q50), GAMs demonstrate smaller minimum and maximum REr% values, proving they perform better for frequent flood events. However, at higher quantiles (Q100), both models have similar variability indicating they are comparable for large flood events. Overall, GAMs outperform log-log linear models in predictive accuracy and uncertainty for most AEPs, especially for lower and more frequent quantiles. It should be noted that formal uncertainty analyses such as Monte Carlo simulation may be conducted, which is left for future research.
Table 17 presents the rBIAS and rRMSE percentages for different quantiles of the GAMs (e–h) and log-log linear models (i, j). For rBIAS (%), negative values indicate a tendency for underestimation, while positive values indicate overestimation. Among the GAMs (e–h), rBIAS values are consistently negative across all the quantiles, indicating a tendency for underestimation. Conversely, rBIAS values for the log-log linear models (i, j) are consistently positive, indicating a tendency for overestimation. Overall, the GAMs exhibit the lowest bias values compared to the log-log linear models.
Table 17.
Quantile evaluation: rBIAS (%) and rRMSE (%) for the selected model combinations.
Regarding rRMSE (%), lower values indicate better model performance. Across all the quantiles, rRMSE values for the GAMs are generally lower compared to the log-log linear models. The rRMSE values range from 56% to 63% for GAMs and from 57% to 65% for log-log models. This suggests that the GAMs have lower relative root mean square errors, indicating better performance in terms of accuracy and precision.
Our results indicate that the GAMs (e, f, g, h) outperform the log-log linear models (i, j) in terms of bias and rRMSE across various quantiles, suggesting better accuracy and precision in predicting flood quantiles. Overall, based on the comparison of median ratio and median REr%, the GAMs (e, f, g, h) appear to outperform the log-log linear models (i, j) in terms of accuracy and precision in predicting flood quantiles.
5. Discussion
Our study reveals that GAMs show better performance compared to the log-log models for quantiles corresponding to return periods of 2 to 50 years, with consistently lower median REr% ranging from 33% to 39%. However, for higher return periods, log-log models sometimes demonstrate similar performance, with median REr% ranging from 36% to 45%. This finding suggests that the choice between GAMs and log-log models may rely on the specific return period of interest, and the selection of the predictor variables, with GAMs being more effective than the log-log models.
In comparison to previous research studies, our results align with Ali and Rahman [36], who reported median REr% values of 28–36% for 2- to 10-year return periods in southeast Australia using kriging-based RFFA techniques. Similarly, Zalnezhad et al. [37] found median REr% values ranging from 38% to 60% in the same region employing an artificial neural network (ANN)-based RFFA technique. Additionally, Noor et al. [27] found that a GAM provides more accurate quantile estimates than the QRT for smaller return periods, while the QRT outperforms a GAM for higher return periods, with median REr% values for 2-, 5-, and 10-year return periods ranging from 16% to 41% in Victoria.
Chebana et al. [21] noted that models using GAM outperformed those using log-linear regression as well as other methods applied to their dataset. Moreover, Ouarda et al. [28] found that the use of GAMs instead of the linear model significantly enhances performance. This study highlights the importance of GAMs in improving flood quantile predictions, particularly in ungauged catchments. Future research could explore alternative approaches, such as Adomian decomposition [19], or focus on integrating advanced techniques such as Bayesian frameworks and machine learning to enhance model robustness and reduce uncertainty in addressing the complexities of flood prediction in ungauged catchments.
6. Conclusions
This study compares the performance of PRTs using GAMs and log-log linear models to predict flood quantiles in ungauged catchments. Using data from 88 gauged catchments in NSW, Australia, an analysis was conducted for estimating parameters of the GEV distribution with the L-moment fitting method, separately for the mean, LCV, and LSK parameters. Flood quantiles corresponding to various AEPs ranging from 1 in 2 to 1 in 100 years were estimated. Eight catchment characteristics, including catchment area, design rainfall intensity, mean annual rainfall, shape factor, mean annual evapotranspiration, stream density, slope factor, and forest coverage, were employed as predictor variables. The analysis involved a careful selection process among 255 models for each prediction technique, considering factors such as R2 values, GCV scores (for GAM modelling), and model complexity. Promising models were identified based on their performance in explanatory power and simplicity, validated through LOO cross-validation.
GAMs, designed to capture non-linearities in flood processes, outperform log-log linear models across most quantiles, exhibiting lower median REr% values and demonstrating a better ability to capture flood magnitude variability. However, their effectiveness appears sometimes to be nearly comparable for Q100.
This outcome underscores the effectiveness of GAMs in predicting flood magnitudes across different quantiles, highlighting their potential for enhancing flood prediction accuracy. Comparing GAMs and log-log models provides valuable insights into the factors affecting the accuracy of flood quantile estimation. This helps in choosing the right modelling techniques for different ranges of return periods, which may vary based on the specific return period and the selection of predictor variables.
Given how important it is to accurately predict floods for managing risks and planning infrastructure, this study suggests using GAMs with PRT in FFA, especially in ungauged catchments where data are limited. However, this recommendation is specific to the studied catchments, and further research and validation studies are needed to explore the robustness and applicability of both modelling approaches across diverse hydrological settings and regions. Future research may include investigating the impacts of climate change on RFFA, exploring uncertainty analysis techniques using Monte Carlo simulation/similar methods, and extending the application of GAM-based approaches to larger geographic regions in Australia to further refine flood quantile estimation models. Also, the Adomian decomposition method [19] can be applied in future RFFA modelling in Australia.
Author Contributions
Data analysis and manuscript drafting: L.R.; conceptualisation, editing, and supervision: A.R., conceptualisation, investigation, editing, and supervision: K.H. All authors have read and agreed to the published version of the manuscript.
Funding
This research received no funding.
Data Availability Statement
The data used in this study can be obtained from Australian Government authorities by paying a prescribed fee.
Acknowledgments
The authors would like to acknowledge the Australian Rainfall and Runoff Revision Project 5 team for providing some of the data. TUFLOW FLIKE was provided freely by the Flike sales team. Streamflow data were obtained from WaterNSW.
Conflicts of Interest
The authors declare no conflicts of interest.
References
- Hartmann, D.L.; Tank, A.M.K.; Rusticucci, M.; Alexander, L.V.; Brönnimann, S.; Charabi, Y.A.R.; Zhai, P. Observations: Atmosphere and surface. In Climate Change 2013 the Physical Science Basis: Working Group I Contribution to the Fifth Assessment Report of the Intergovernmental Panel on Climate Change; Cambridge University Press: Cambridge, UK, 2013; pp. 159–254. [Google Scholar]
- Sheffield, J.; Wood, E.F. Drought: Past Problems and Future Scenarios; Routledge: Abingdon-on-Thames, UK, 2012. [Google Scholar]
- Chen, M.; Papadikis, K.; Jun, C.; Macdonald, N. Linear, nonlinear, parametric and nonparametric regression models for nonstationary flood frequency analysis. J. Hydrol. 2023, 616, 128772. [Google Scholar] [CrossRef]
- Tellman, B.; Sullivan, J.A.; Kuhn, C.; Kettner, A.J.; Doyle, C.S.; Brakenridge, G.R.; Slayback, D.A. Satellite imaging reveals increased proportion of population exposed to floods. Nature 2021, 596, 80–86. [Google Scholar] [CrossRef] [PubMed]
- Buttle, J.M.; Allen, D.M.; Caissie, D.; Davison, B.; Hayashi, M.; Peters, D.L.; Whitfield, P.H. Flood processes in Canada: Regional and special aspects. Can. Water Resour. J. Rev. Can. Ressour. Hydr. 2016, 41, 7–30. [Google Scholar] [CrossRef]
- Villarini, G.; Smith, J.A.; Serinaldi, F.; Bales, J.; Bates, P.D.; Krajewski, W.F. Flood frequency analysis for nonstationary annual peak records in an urban drainage basin. Adv. Water Resour. 2009, 32, 1255–1266. [Google Scholar] [CrossRef]
- Souaissi, Z.; Ouarda, T.B.; St-Hilaire, A.; Ouali, D. Regional frequency analysis of stream temperature at ungauged sites using non-linear canonical correlation analysis and generalized additive models. Environ. Model. Softw. 2023, 163, 105682. [Google Scholar] [CrossRef]
- Mangukiya, N.K.; Sharma, A. Alternate pathway for regional flood frequency analysis in data-sparse region. J. Hydrol. 2024, 629, 130635. [Google Scholar] [CrossRef]
- Maranzoni, A.; D’Oria, M.; Rizzo, C. Quantitative flood hazard assessment methods: A review. J. Flood Risk Manag. 2023, 16, e12855. [Google Scholar] [CrossRef]
- Mosaffaie, J. Comparison of two methods of regional flood frequency analysis by using L-moments. Water Resour. 2015, 42, 313–321. [Google Scholar] [CrossRef]
- Franchini, M.; Galeati, G.; Lolli, M. Analytical derivation of the flood frequency curve through partial duration series analysis and a probabilistic representation of the runoff coefficient. J. Hydrol. 2005, 303, 1–15. [Google Scholar] [CrossRef]
- Gilmore, I.; Stensmyr, P.; Babister, M.; Retallick, M.; Ball, J. Comparison of regional flood methods in New South Wales. In Hydrology and Water Resources Symposium 2014; Engineers Australia: Canberra, Australia, 2014; pp. 836–843. [Google Scholar]
- Ahmed, A.; Khan, Z.; Rahman, A. Searching for homogeneous regions in regional flood frequency analysis for Southeast Australia. J. Hydrol. Reg. Stud. 2024, 53, 101782. [Google Scholar] [CrossRef]
- Palmen, L.B.; Weeks, W.D. Regional flood frequency for Queensland using the quantile regression technique. Australas. J. Water Resour. 2011, 15, 47–57. [Google Scholar] [CrossRef]
- Ahn, K.H.; Palmer, R. Regional flood frequency analysis using spatial proximity and basin characteristics: Quantile regression vs. parameter regression technique. J. Hydrol. 2016, 540, 515–526. [Google Scholar] [CrossRef]
- Mostofi Zadeh, S.; Burn, D.H. A super region approach to improve pooled flood frequency analysis. Can. Water Resour. J. Rev. Can. Ressour. Hydr. 2019, 44, 146–159. [Google Scholar] [CrossRef]
- Esmaeili-Gisavandani, S.; Mohammadi, B.; Salimi, S. Application of M5 model trees, random forests, and Adaptive Neuro-Fuzzy Inference Systems (ANFIS) in ungauged catchments for Regional Flood Frequency Analysis. Appl. Water Sci. 2023, 13, 139. Available online: https://link.springer.com/article/10.1007/s13201-023-01940-3 (accessed on 5 January 2025). [CrossRef]
- Desai, S.; Ouarda, T.B. Regional hydrological frequency analysis at ungauged sites with random forest regression. J. Hydrol. 2021, 594, 125861. [Google Scholar] [CrossRef]
- Turkyilmazoglu, M. Nonlinear problems via a convergence accelerated decomposition method of Adomian. Comput. Model. Eng. Sci. 2021, 127, 1–22. [Google Scholar] [CrossRef]
- Msilini, A.; Masselot, P.; Ouarda, T.B. Regional frequency analysis at ungauged sites with multivariate adaptive regression splines. J. Hydrometeorol. 2020, 21, 2777–2792. [Google Scholar] [CrossRef]
- Chebana, F.; Charron, C.; Ouarda, T.B.; Martel, B. Regional frequency analysis at ungauged sites with the generalized additive model. J. Hydrometeorol. 2014, 15, 2418–2428. [Google Scholar] [CrossRef]
- Li, J.; Lei, Y.; Tan, S.; Bell, C.D.; Engel, B.A.; Wang, Y. Nonstationary flood frequency analysis for annual flood peak and volume series in both univariate and bivariate domain. Water Resour. Manag. 2018, 32, 4239–4252. [Google Scholar] [CrossRef]
- Qu, C.; Li, J.; Yan, L.; Yan, P.; Cheng, F.; Lu, D. Non-stationary flood frequency analysis using cubic B-spline-based GAMLSS model. Water 2020, 12, 1867. [Google Scholar] [CrossRef]
- Rahman, A.; Charron, C.; Ouarda, T.B.; Chebana, F. Development of regional flood frequency analysis techniques using generalized additive models for Australia. Stoch. Environ. Res. Risk Assess. 2018, 32, 123–139. [Google Scholar] [CrossRef]
- Singh, J.; Ghosh, S.; Simonovic, S.P.; Karmakar, S. Identification of flood seasonality and drivers across Canada. Hydrol. Process. 2021, 35, e14398. [Google Scholar] [CrossRef]
- Wang, Y.; Li, J.; Feng, P.; Hu, R. A time-dependent drought index for non-stationary precipitation series. Water Resour. Manag. 2015, 29, 5631–5647. [Google Scholar] [CrossRef]
- Noor, F.; Laz, O.U.; Haddad, K.; Alim, M.A.; Rahman, A. Comparison between Quantile Regression Technique and Generalised Additive Model for Regional Flood Frequency Analysis: A Case Study for Victoria, Australia. Water 2022, 14, 3627. [Google Scholar] [CrossRef]
- Ouarda, T.B.; Charron, C.; Hundecha, Y.; St-Hilaire, A.; Chebana, F. Introduction of the GAM model for regional low-flow frequency analysis at ungauged basins and comparison with commonly used approaches. Environ. Model. Softw. 2018, 109, 256–271. [Google Scholar] [CrossRef]
- Msilini, A.; Charron, C.; Ouarda, T.B.M.J.; Masselot, P. Flood frequency analysis at ungauged catchments with the GAM and MARS approaches in the Montreal region, Canada. Can. Water Resour. J. Rev. Can. Ressour. Hydr. 2022, 47, 111–121. [Google Scholar] [CrossRef]
- Barna, D.M.; Engeland, K.; Kneib, T.; Thorarinsdottir, T.L.; Xu, C.Y. Regional index flood estimation at multiple durations with generalized additive models. EGUsphere 2023, 2023, 1–43. [Google Scholar]
- Hosking, J.R.M.; Wallis, J.R. Regional Frequency Analysis; Cambridge University Press: Cambridge, UK, 1997; p. 240. [Google Scholar]
- Jenkinson, A.F. The frequency distribution of the annual maximum (or minimum) values of meteorological elements. Q. J. R. Meteorol. Soc. 1955, 81, 158–171. [Google Scholar] [CrossRef]
- Hosking, J.R.M.; Wallis, J.R.; Wood, E.F. Estimation of the generalized extreme-value distribution by the method of probability-weighted moments. Technometrics 1985, 27, 251–261. [Google Scholar] [CrossRef]
- Madsen, H.; Pearson, C.P.; Rosbjerg, D. Comparison of annual maximum series and partial duration series methods for modeling extreme hydrologic events: 2. Regional modeling. Water Resour. Res. 1997, 33, 759–769. [Google Scholar] [CrossRef]
- Srinivas, V.V.; Tripathi, S.; Rao, A.R.; Govindaraju, R.S. Regional flood frequency analysis by combining self-organizing feature map and fuzzy clustering. J. Hydrol. 2008, 348, 148–166. [Google Scholar] [CrossRef]
- Ali, S.; Rahman, A. Development of a Kriging Based Regional Flood Frequency Analysis Technique for South-East Australia, Natural Hazards 2022. Available online: https://link.springer.com/article/10.1007/s11069-022-05488-4 (accessed on 6 November 2022).
- Zalnezhad, A.; Rahman, A.; Nasiri, N.; Vafakhah, M.; Samali, B.; Ahamed, F. Comparing performance of ANN and SVM methods for regional flood frequency analysis in South-East Australia. Water 2022, 14, 3323. [Google Scholar] [CrossRef]
Disclaimer/Publisher’s Note: The statements, opinions and data contained in all publications are solely those of the individual author(s) and contributor(s) and not of MDPI and/or the editor(s). MDPI and/or the editor(s) disclaim responsibility for any injury to people or property resulting from any ideas, methods, instructions or products referred to in the content. |
© 2025 by the authors. Licensee MDPI, Basel, Switzerland. This article is an open access article distributed under the terms and conditions of the Creative Commons Attribution (CC BY) license (https://creativecommons.org/licenses/by/4.0/).






