Abstract
The Huaihe River Basin is particularly vulnerable to climate change. This paper first evaluated interpolation methods for different meteorological elements, followed by an assessment of the simulation performance of various Coupled Model Intercomparison Project 5 (CMIP5) Global Climate Models (GCMs) for these elements. We then applied the Improved Quantile Mapping (IQM) method for bias correction of the GCMs. Finally, we analyzed the characteristics of future climate change in the Huaihe River Basin. The results show the following: (1) The radial basis function interpolation method is the most effective for rainfall, while Kriging performs best for air temperature. (2) The HadGEM2-AO model provides the most accurate rainfall simulations, MIROC-ESM best simulates maximum air temperature, and HadGEM2-ES is most effective for minimum air temperature. (3) The IQM method outperforms other approaches for bias correction of climate variables in the basin. (4) Future projections show an increase in both rainfall and air temperature, with more pronounced rises under the RCP8.5 scenario. Additionally, rainfall and maximum air temperature show considerable spatial variation across emission scenarios, while minimum air temperature consistently exhibits an upward trend.
1. Introduction
Climate change has led to a range of impacts, including global warming and a higher frequency of extreme weather events, which pose new challenges for regional meteorological and hydrological management [1,2,3,4]. In the Huaihe River Basin, global climate change has altered the spatial and temporal dynamics of the hydrological cycle, significantly increasing the risks of both floods and droughts [5]. Accurately predicting future climate change in the Huaihe River Basin is essential to understanding these impacts and developing effective adaptation and mitigation strategies.
Since the 1970s, numerous studies have focused on the impacts of climate change [6,7]. Global Climate Models (GCMs) [8] are widely used tools for predicting climate change, as they mathematically represent the interactions and feedback processes between the different layers of the Earth’s climate system. Many assessments of climate change have relied heavily on GCM simulations of future conditions [9,10,11]. In 1995, the World Climate Research Programme (WCRP) proposed the Coupled Model Intercomparison Project (CMIP) [12], which greatly enhances comparison and collaboration among GCMs. By 2008, more than forty GCMs from twenty research groups had participated in the CMIP5, which is capable of simulating historical climate and projecting future climate change based on the RCP2.6, RCP4.5, RCP6.0, and RCP8.5 scenarios. Notably, CMIP5 features a more robust parametric design and higher resolution than the previous CMIP1~CMIP3 [13]. The IPCC Fifth Assessment Report (AR5) highlighted that the distribution of global temperature and rainfall simulated by the CMIP5 GCMs closely aligns with observed data [14].
Numerous studies have evaluated the performance of CMIP5 GCMs. For instance, Xu [15] analyzed CMIP5 rainfall using ten climate indices. Taylor diagrams are frequently employed to assess CMIP5 GCMs [16,17]. Dong [18] utilized Taylor diagrams to evaluate 22 CMIP5 GCMs, revealing that MPI-ESM-Lr and CanESM2 performed better in simulating air temperature in the study area. Taylor diagrams display the correlation coefficient (R), root mean square error (RMSE), and standard deviation (SD) for multiple GCMs. However, Taylor diagrams cannot directly present the model’s mean bias, potentially obscuring issues related to the model’s performance in terms of mean values. Furthermore, it is challenging to ensure that each metric achieves its optimal value within a particular GCM.
Due to the varying spatial resolutions of GCM simulation results, spatial interpolation is necessary before evaluating GCM performance. For example, Mirza [19] employed a spatial interpolation method to convert coarse-grid raw GCM data into station-scale data. Various spatial interpolation methods can be applied to GCM results, such as the inverse distance weight method [20], the Kriging method [21], and the radial basis function [22]. However, not all spatial interpolation methods are suitable for processing GCM simulation results.
The CMIP5 GCMs offer higher horizontal and vertical resolutions compared to previous CMIP GCMs [12]. However, their outputs remain relatively coarse in terms of their spatial resolutions (>100 km2), which is inadequate for accurately representing hydrologic processes [23]. Consequently, downscaling and bias correction of long-term GCM simulations are essential [24,25,26]. Common bias correction methods include the Delta method [27] and Quantile Mapping (QM) method [28], among others. The Delta method is a mean-based bias correction approach widely used for generating future climate change scenarios. Mperlasoka [29] utilized the Delta method to develop future climate series. Chen [30] highlighted its significance in delineating uncertainty when assessing climate change impacts on hydrology. The QM method is a bias correction method based on probability distribution. Themeßl et al. [31] pointed out that the QM method significantly reduced the bias of temperature, rainfall, and extreme indices. Ngai et al. [32] further demonstrated that the QM method effectively corrects biases in temperature and rainfall. Although the Delta method is simple and feasible, it only addresses variability in the mean value and neglects changes in the standard deviation and the skewness coefficient. While the QM method addresses some limitations of the Delta method, its fundamental assumption of stable statistical relationships may overlook distribution changes, potentially leading to underestimation of future extreme climate events [33].
To more accurately assess future climate change in the Huaihe River Basin, this study utilized twelve CMIP5 GCMs, incorporating bias correction methods that account for climate non-stationarity to simulate rainfall (Pr), maximum air temperature (Tmax), and minimum air temperature (Tmin). We first evaluated five spatial interpolation methods and then applied the optimal methods to the simulation results from twelve GCMs, selecting the best-preforming GCMs for Pr, Tmax, and Tmin. Next, we applied three bias correction methods to the CMIP5 GCMs. Finally, we analyzed the temporal and spatial characteristics of future climate elements. The key innovations of this study include the following: (1) We propose a Comprehensive Index of Spatial Interpolation (CISI) that integrates multiple evaluation metrics (MAE, MRE, and RMSE) to assess the performance of different spatial interpolation methods. (2) In evaluating GCM performance, we introduce a Comprehensive Index of Evaluating model Skill (CIES) to address two challenges: the difficulty of ensuring that R, SD, and RMSE achieve optimal values for a given GCM, and the inability to distinguish between errors arising from bias between variables and differences in their means. (3) Recognizing the non-stationarity of frequency distribution of climate elements in historical and future periods, we propose an Improved Quantile Mapping (IQM) method to overcome the limitations of the Delta and QM methods.
2. Study Area and Data
2.1. Study Area
The Huaihe River Basin (30°55′~36°36′ N, 111°55′~121°25′ E) lies between the Yangtze River Basin and the Yellow River Basin, covering an area of approximately 270,000 km2. While the western, southern, and northeastern regions of the basin are characterized by hilly terrain, the rest consists primarily of plains. The Huaihe River Basin transitions from a subtropical climate in the south to a warm temperate climate in the north. The average annual air temperature of the basin is 14.6 °C. The Tmin gradually decreases from south to north. Due to the influence of the ocean, the Tmax decreases from the southwest to the northeast of the basin. The relative humidity ranges from 66% to 81%. The basin receives an average annual rainfall of 868 mm. Over 60% of the rainfall in the basin occurs from June to September, leading to frequent flooding during this period. The spatial distribution of rainfall is uneven, with annual rainfall generally decreasing from south to north across the basin. The distribution of rivers and stations in the Huaihe River Basin is shown in Figure 1.
Figure 1.
Geographic location of gauged stations and main rivers in the Huaihe River Basin.
2.2. Observed Data
The observed data include daily rainfall and daily maximum/minimum air temperature in the Huaihe River Basin from 1961 to 2020. These data were collected from 61 meteorological stations located around the Huaihe River Basin (Figure 1). Table A1 shows the coordinates of the study stations.
From 1961 to 2020, the Tmax in the Huaihe River Basin ranged from 31.0 °C to 43.7 °C, with the extreme Tmax of 43.70 °C recorded at the Mengjin station in 1966. The annual Tmin ranged from −23.4 °C to −2.9 °C, with the extreme Tmin of −23.40 °C observed at the Tancheng and Yongcheng stations in 1969. Extreme high air temperatures (>20 °C) and extreme low air temperatures (<−15 °C) predominantly occurred between 1962 and 1972. The annual rainfall in the basin ranged from 595.3 mm to 1246.6 mm, with extreme rainfall events mainly recorded at specific stations, such as the Huoshan and Yingshan stations. Inter-annual variations in annual Pr and Tmax in the basin were relatively moderate, whereas Tmin fluctuations were more pronounced, showing a slight warming trend over the study period.
3. Methodology
3.1. Coupled Model Intercomparison Project 5
In this paper, twelve CMIP5 GCMs (Table 1) were selected to assess future climate change in the Huaihe River Basin. All twelve GCMs have completed projection experiments under four forcing scenarios: RCP2.6, RCP4.5, RCP6.0, and RCP8.5, with the simulation period extending beyond 2095. The projection results from twelve GCMs are available at https://aims2.llnl.gov/search/ (accessed on 4 January 2025). The historical period was defined as 1961–2005 (Period I), while two future periods were designated as 2006~2050 (Period II) and 2051–2095 (Period III).
Table 1.
Basic information of 12 CMIP5 GCMs.
3.2. Spatial Interpolation Methods
Based on the observed data, five spatial interpolation methods were used to analyze the spatial distribution of rainfall and air temperature in the Huaihe River Basin. These interpolation methods were implemented using ArcGIS 10.8 software.
3.2.1. Inverse Distance Weighting
Inverse distance weighting (IDW) is classified as a deterministic method. It assumes that everything is related to everything else, but near things are more related than distant things [34]. The formula is given as Equation (1):
where Z(x0) is the estimated value at the interpolation point x0; n is the number of observation points; Z(xi) is the gauged value at the observation point xi; and λi is the weight coefficient. As the distance between the observation point and the interpolation point increases, the value of λ decreases:
where p is the power parameter, p = 2; di0 is the distance between the interpolation point x0 and the observation point xi.
3.2.2. Ordinary Kriging
Ordinary Kriging (OK) [35] is one of the best linear unbiased estimation methods for estimating a specific mean trend value and is also one of the most widely used interpolation methods. Compared to simple and universal ones, Ordinary Kriging does not require the assumption of a known or constant mean, which makes it more flexible. It is a multi-stage method that involves exploratory statistical analysis of the data, variogram modeling, and the construction of response surfaces. The formula for the OK method has the same form as Equation (1), but the weights are determined by a semivariance function:
where r(d) is the semivariance value at the distance interval d; N(d) is the number of sample pairs within the distance interval d; and Z(xi + d) and Z(xi) are values at two locations at a distance d.
Semivariogram parameters are necessary for spatial prediction. The values of these parameters can be estimated by using variogram models (i.e., Gaussian, Spherical, and Exponential). In this study, we selected the commonly used Spherical model:
where C0 is the nugget effect, C1 is the structured variance, C0 + C1 is the sill, and a is the variogram range (C0 ≥ 0, C1 ≥ 0, and a ≥ 0).
3.2.3. Global Polynomial Interpolation
Global polynomial interpolation [36] (GPI) is a fast global interpolator. It fits a smooth surface defined by a mathematical function to the input sample points. The GPI surface changes gradually and captures coarse-scale patterns in the data. GPI estimates the value Z at any location based on the (Xi, Yi) coordinates of that location:
A second-order trend surface was used in this study:
where a1~a5 are the parameters, which are obtained using a regression technique utilizing all of the measured points.
3.2.4. Local Polynomial Interpolation
Local polynomial interpolation [37] (LPI) is a smooth, medium-speed interpolator. This method uses different polynomials according to specified overlapping neighbors and only utilizes the surrounding data points. LPI has the same mathematical representation and fitting procedure as GPI, except LPI fits a local formula by utilizing measured points within a specified area. The curve surface it produces is more dependent on local variation in the data. The polynomial order can be specified (zero, first, second, or other) based on the defined neighbors. LPI is more flexible than GPI and involves more parameters to be set up.
For this study, a polynomial of the second degree was used. LPI fits local polynomials through the weighted least squares method. The local least squares parameters are computed by minimizing the weighted sum of the squared residuals.
3.2.5. Radial Basis Function
The radial basis function [38] (RBF) is a method to construct high-order accurate interpolants in a high-dimensional space and to achieve a global interpolation of response points for discrete data points. In this study, we tested five different basis functions: thin-plate spline, spline with tension, completely regularized spline, the multiquadric function, and the inverse multiquadric function. The spatial distribution of the results from these five basis functions showed minimal differences, with the completely regularized spline yielding the smallest error. Therefore, the completely regularized spline function was utilized to investigate the spatial interpolation accuracy of various meteorological elements across different time scales in the Huaihe River Basin. The formula is as follows:
where Z(x, y) is the estimated value at the interpolation point (x, y); n is the number of observation points; di is the distance between interpolation point (x, y) and observation point (xi, yi); τ is the weight; c = 0.577215; is the modified zero-degree Bessel function; is the primary function; a + bx + cy is the local trend function; and a, b, and c are coefficients obtained by solving linear system of equations.
3.2.6. Comprehensive Index of Spatial Interpolation
The mean absolute error (MAE), mean relative error (MRE), and root mean squared error (RMSE) are used to evaluate the accuracy of five interpolation methods. The smaller the values of the three evaluation metrics, the higher the precision of the model simulation.
It is challenging to ensure that the evaluation metrics of spatial interpolation methods consistently achieve minimum values across different periods for any given method. For example, in 2003, the MAE for the OK method of Pr was the lowest, yet both the MRE and RMSE were higher compared to the LPI method. This discrepancy makes it challenging to determine the most accurate interpolation method based on these three metrics alone. Thus, this paper takes all three metrics into account and proposes the Comprehensive Index of Spatial Interpolation (CISI) to assess the accuracy of various spatial interpolation methods. The CISI is calculated as follows:
where m is the number of interpolation methods; NMAEj, MREj, and NRMSEj are the normalized MAE, MRE, and RMSE of the jth spatial interpolation method, respectively. NMAE0 = 0, MRE0 = 0, and NRMSE0 = 0. Thus,
The geometric meaning of the CISI is the distance from the point (NMAEj, MREj, and NRMSEj) to the origin (NMAE0, MRE0, and NRMSE0). From a spatial perspective, the interpolation method corresponding to a point closer to the origin is considered the most optimal. Thus, a smaller CISI value indicates higher accuracy for the spatial interpolation method.
3.3. GCMs Performance Evaluation Methods
The optimal interpolation methods were used to interpolate the simulated annual Pr, Tmax, and Tmin of different GCMs in the Huaihe River Basin from 1961 to 2005 onto gauged grids. The interpolated results were then compared with the observed data.
3.3.1. Taylor Diagram
A Taylor diagram [39] displays the correlation coefficient (R), standard deviations (SD), and centered-pattern root-mean-square difference (RMSD) between observed and simulated values on the same polar graph to directly reflect the advantages and disadvantages of the simulation results for each GCM. The R, SD of observations (SDobs), SD of simulations (SDsim), and RMSD follow the cosine theorem:
where n is the length of the study series; Obsi and Simi are the observed and simulated values in year i, respectively; and and are the mean observed and simulated values, respectively.
3.3.2. Comprehensive Index of Evaluating Model Skill
Based on the RMSD alone, it is challenging to ascertain the extent to which the error arises from bias between variables versus differences in their means. Additionally, ensuring that the R, SD, and RMSE achieve optimal values for a given GCM is difficult. To address this, we propose a Comprehensive Index of Evaluating model Skill (CIES) to assess the performance of different GCMs in simulating the climate of the Huaihe River Basin. The CIES is calculated as follows:
where Rsim, NSDsim, and NRMSEsim represent the R, normalized SD, and normalized RMSE for the GCM simulated values and observed values, respectively; Robs, NSDobs, and NRMSEobs are the three evaluation metrics of observation to observation, respectively, all of which are constant.
The geometric meaning of the CIES is the distance of a point (Rsim, NSDsim, and NRMSEsim) to the point OBS (NMAEobs, MREobs, and NRMSEobs). Spatially, the point closest to OBS indicates the best GCM simulation results. The larger the R, the smaller the |NSDsim-NSDobs| and NRMSE, and the higher the precision of the GCM simulation. Consequently, the GCM with the minimum CIES value is regarded as having the best simulation accuracy.
3.4. Bias Correction Methods
3.4.1. Delta Method
Based on the climate elements simulated by GCMs, the Delta method (also called the constant scaling method) [40] calculates the characteristics of future climate change and reconstructs future climate elements by applying these changes to the historical climate series. The calculation formula is as follows:
where t is time; POf and TOf are the future rainfall/air temperature series in different periods after the bias correction of the Delta change method; and are the annual mean rainfall/air temperature observed at each station during the historical period; PGf and TGf are the rainfall/air temperature simulated by GCMs for future periods; and and are the annual mean rainfall/air temperature simulated by GCMs in the historical period.
3.4.2. Quantile Mapping
The Quantile Mapping (QM) method [41] reduces bias between the Cumulative Distribution Functions (CDFs) of GCM simulations and observed data by establishing a transfer function. This method ensures that the frequency distributions of observed and simulated climate element values are aligned, maintaining consistency in the frequency distribution of both historical and future climate data.
In the historical period:
The transfer function can be applied to the future period:
where and are the climate elements after the bias correction in the historical and future periods; and are the climate elements simulated by GCMs in the historical and future periods; is the CDF of climate elements simulated by GCMs in the historical period; and is the inverse function of the CDF of observed climate elements in the historical period.
3.4.3. Improved Quantile Mapping
As mentioned before, the frequency distribution of climate elements in the historical and future periods may not be consistent; therefore, we propose an Improved Quantile Mapping (IQM) method.
As shown in Figure 2, the values of climate elements simulated by GCMs in the future period () provide the frequency distribution from the CDF of these elements. Then, we obtain the values of climate elements simulated by GCMs in the historical period () from the CDF of climate elements simulated by GCMs in the historical period, and the values of observed climate data () from the CDF of observed data. Subsequently, we calculate the climate change characteristics based on the simulated and observed values from the historical period. Finally, the future scenarios for the climate elements are reconstructed by overlaying these change characteristics onto the future simulated values.
Figure 2.
The IQM method.
The calculation formula is as follows:
where and are the rainfall and temperature after bias correction in the future period; and are the climate elements simulated by GCMs in the future period; FGh and FGf are the CDFs of climate elements simulated by GCMs in the historical and future periods; is the CDF of observed climate elements in the historical period; and and are inverse functions of the CDFs of observed climate elements and climate elements simulated by GCMs in the historical period.
4. Results and Discussion
4.1. Optimal Spatial Interpolation Method
4.1.1. Rainfall
Table 2 presents the CISI values for five interpolation methods applied to annual (e.g., 2003~2014) and monthly rainfall data. As shown in the table, the RBF method demonstrates the highest overall accuracy for both annual and monthly rainfall interpolation, followed by the LPI method. In contrast, the IDW method exhibits the lowest accuracy.
Table 2.
The CISI values of 5 interpolation methods for annual/monthly Pr.
Taking the 2007 rainfall data as an example, Figure 3 presents the results of the five interpolation methods. The IDW method is notably affected by extreme observed values. The GPI and LPI methods produce relatively smooth results, but their results show obvious homogenization. The interpolation results of the OK and RBF methods not only exhibit a smooth overall trend but also achieve higher interpolation accuracy. Compared to the OK method, the RBF method can predict values greater than the maximum observed value and less than the minimum observed value.
Figure 3.
The spatial interpolation results of 2007 Pr in Huaihe River Basin.
To further evaluate the performance of the RBF method, we compared its interpolation results for 2007 with the observed values (Figure 4). From Figure 4, the RBF method demonstrates high interpolation accuracy, with the results for all stations closely matching the observed rainfall values. Only seven stations exhibited interpolation errors exceeding 20%. Additionally, the RBF method showed the lowest values for all evaluation metrics (MAE = 95.64, MRE = 0.10, and RMSE = 119.70) compared to the other four methods. Therefore, this study employs the RBF method for the spatial interpolation of rainfall in the Huaihe River Basin.
Figure 4.
Comparison of RBF interpolation results and observed rainfall for 2007.
4.1.2. Air Temperature
Table 3 and Table 4 present the CISI values for the five interpolation methods applied to annual (e.g., 2003~2014) and monthly maximum/minimum air temperature (Tmax and Tmin) data.
Table 3.
The CISI values of five interpolation methods for annual/monthly Tmax.
Table 4.
The CISI values of five interpolation methods for annual/monthly Tmin.
As shown in Table 3, the RBF method demonstrates the highest overall accuracy for both annual and monthly Tmax interpolation, followed by the OK method, while the IDW method shows the lowest accuracy. From Table 4, the CISI values for the five interpolation methods are relatively similar, with no single method emerging as the absolute best for spatial interpolation.
Using the 2007 Tmax (Figure 5) and Tmin (Figure 6) as examples, it is evident that both the IDW and RBF methods are influenced by extreme observed values. The GPI and LPI methods produce smooth and similar results, but their maximum values are lower and minimum values are higher compared to other methods. The OK method maintains a generally smooth overall trend while achieving higher interpolation accuracy.
Figure 5.
The spatial interpolation results of 2007 Tmax in Huaihe River Basin.
Figure 6.
The spatial interpolation results of 2007 Tmin in Huaihe River Basin.
Figure 7 presents the interpolation results for Tmax and Tmin at 61 stations in 2007 using the OK method. As shown in the figure, the OK method demonstrates high interpolation accuracy for Tmax, with 80.3% of stations showing errors within 1 °C, and only two stations exhibiting errors greater than 2 °C. The accuracy of Tmin interpolation is slightly lower than that for Tmax. However, 41 stations still show errors within 2 °C. Therefore, the OK method is selected for the spatial interpolation of air temperature in the Huaihe River Basin.
Figure 7.
Comparison of OK interpolation results and observed Tmax/Tmin for 2007.
4.2. GCM Performance Evaluation
The RBF and OK methods were employed to interpolate the GCM simulation results from 1961 to 2005. Figure 8 illustrates the Taylor diagrams for annual Pr, Tmax, and Tmin. Table 5 presents the evaluation metrics of the GCM simulation results.

Figure 8.
Taylor diagrams for Pr (a), Tmax (b), and Tmin (c) simulated by 12 GCMs.
Table 5.
The evaluation metrics for Pr, Tmax, and Tmin simulated by 12 GCMs.
As shown in Figure 8a and Table 5, for the twelve GCMs, the R of Pr ranges from −0.04 to 0.61, with the HadGEM2-AO model achieving the highest R value. The MRI-CGCM3 model has the smallest SD (95.9). The HadGEM2-AO model exhibits the smallest RMSE (194.5). Moreover, HadGEM2-AO also has the lowest CIES (0.45). Thus, the HadGEM2-AO model performs best in simulating Pr for the Huaihe River Basin.
As shown in Figure 8b and Table 5, the MIROC-ESM model achieves the highest R (0.86), while the IPSL-CM5A-LR model exhibits the smallest SD (1.07), and the IPSL-CM5A-MR model shows the lowest RMSE (1.82). Furthermore, the MIROC-ESM model has the lowest CIES (0.17), with its SD closely aligning with the observed values. Therefore, the MIROC-ESM model offers the most accurate simulation of Tmax in the Huaihe River Basin.
According to Figure 8c and Table 5, the HadGEM2-ES model exhibits the highest R (0.90), while the MRI-CGCM3 model shows an SD that closely aligns with observed values. The CSIRO-Mk3-6-0 model records the lowest RMSE (3.58). The HadGEM2-ES model has the lowest CIES (0.34), so it is selected for simulating the Tmin in the Huaihe River Basin.
4.3. Evaluation of GCM Bias Correction Methods
The GCM simulation results for Period I were sorted in descending order, with the lowest 30 years selected to represent the historical period and the highest 30 years selected to represent the future period. The Delta, QM, and IQM methods were used for bias correction of Pr, Tmax, and Tmin for January and July in the future period (Figure 9). The performance of the three methods was evaluated against the observed data corresponding to the future period.
Figure 9.
Comparison of 3 bias correction methods.
As shown in Figure 9, all three bias correction methods successfully adjusted the GCM simulation results. The evaluation metrics and CIES for the Delta, QM, and IQM methods are presented in Table 6. The IQM method achieved the highest R, the lowest RMSE, and the smallest CIES, indicating its superior bias correction performance for the simulated climate variables in the Huaihe River Basin.
Table 6.
Evaluation of bias correction performance of Delta, QM, and IQM methods.
Figure 10 shows the spatial distribution of bias between the simulated and observed values for July Pr, Tmax, and Tmin in the future period. The GCM simulations display considerable spatial bias when compared to the observed values. The bias correction performance of the three methods for July Pr is similar. However, the IQM method shows smaller bias for July Tmax compared to the other two methods, while the Delta method exhibits a larger bias for July Tmin.
Figure 10.
The spatial distribution of bias of Pr, Tmax, and Tmin in July (Left panel: Pr, mm. Middle panel: Tmax, °C. Right panel: Tmin, °C.).
Figure 11 shows the CDFs for observed (Period I) and GCM-simulated (Period I and Period II) Pr, Tmax, and Tmin in January and July. The CDFs of the observed values differ greatly from those of the GCM-simulated values in the historical period, highlighting the inadequacy of relying solely on mean value variability. Furthermore, the CDFs of the GCM simulations for the historical and future periods exhibit notable differences, particularly in terms of mean value variation. Consequently, the IQM method is applied to correct the bias in the GCM simulation results for the future periods.
Figure 11.
The CDFs of Pr, Tmax, and Tmin observed and GCM-simulated in the Huaihe River Basin.
4.4. Future Climate Projections
The projected Pr, Tmax, and Tmin for Period II and Period III are compared with those of Period I. Subsequently, the future climate characteristics of the Huaihe River Basin are analyzed in terms of inter-annual variation, intra-year variation, and spatial distribution.
4.4.1. Inter-Annual Variation
Table 7 presents the projected changes in annual Pr, Tmax, and Tmin for the Huaihe River Basin in future periods. Both Period II and Period III show an increasing trend in annual Pr (Period II: 6.47–17.16%, Period III: 6.87–28.36%). Similarly, Tmax and Tmin are expected to rise, with Tmax showing a more pronounced increase than Tmin. The upward trends in both rainfall and air temperature are more significant in Period III compared to Period II.
Table 7.
The future annual-scale changes in Pr, Tmax, and Tmin in the Huaihe River Basin.
Under the four emission scenarios, Pr, Tmax, and Tmin all exhibit inter-annual variability (Figure 12). The order of increasing trends in Pr, from largest to smallest, is RCP4.5, RCP8.5, RCP2.6, and RCP6.0. For Tmax, the increase follows the order of RCP8.5, RCP4.5, RCP6.0, and RCP2.6, while the Tmin increases rank as RCP8.5, RCP6.0, RCP4.5, and RCP2.6. Observations from 2006 to 2020 indicate that current emissions align most closely with the RCP8.5 scenario.
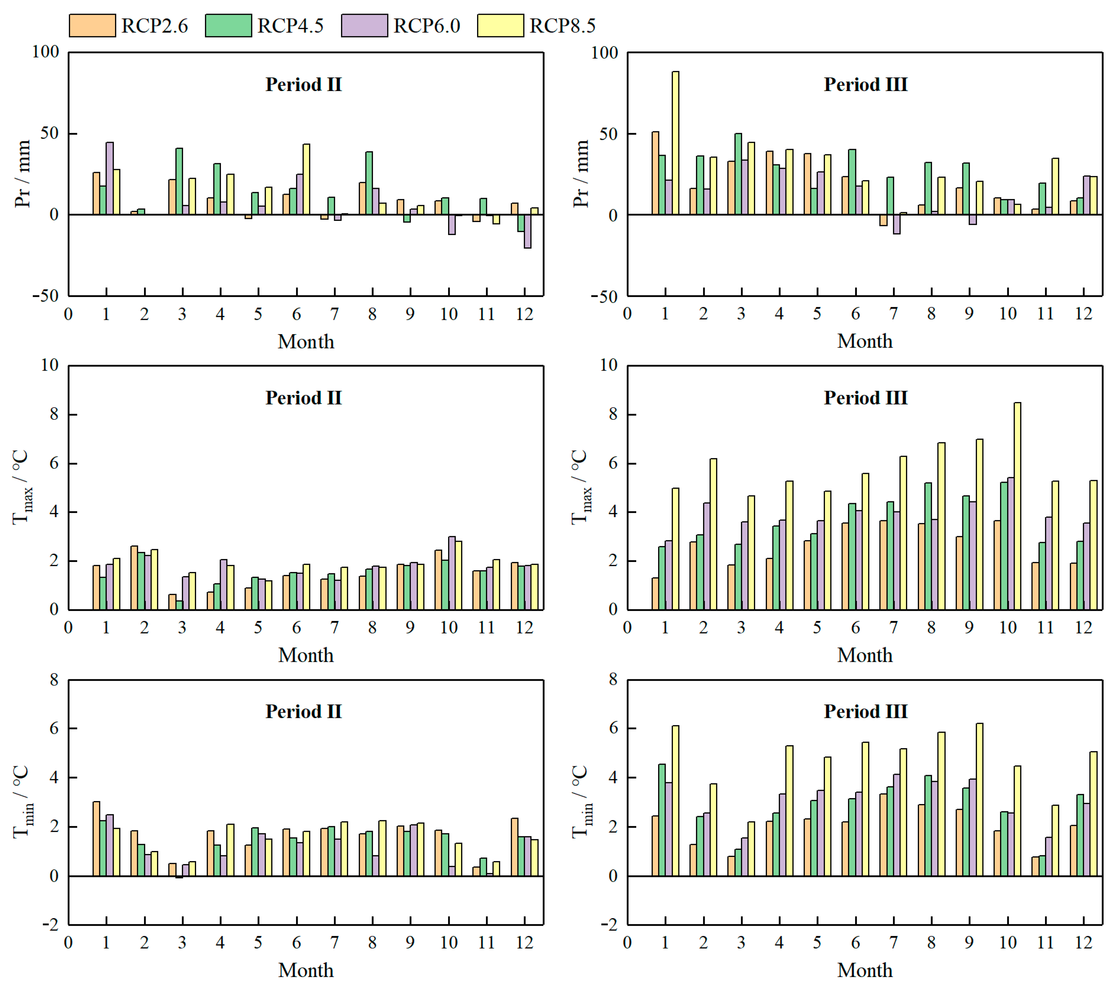
Figure 12.
Inter-annual variation processes of Pr (a), Tmax (b) and Tmin (c).
4.4.2. Intra-Year Variation
Figure 13 illustrates the monthly variations in Pr, Tmax, and Tmin in the Huaihe River Basin for the two future periods. In Period II, Pr shows a slight decreasing trend in May, July, and from September to December under certain emission scenarios, while January, March, April, June, and August show a clear increasing trend. In Period III, Pr in July (RCP2.6 and RCP6.0) and September (RCP6.0) shows a slight decrease, while the other months display an increasing trend, with changes being more significant compared to Period II.
Figure 13.
Monthly scale changes in climate elements under different emission scenarios in different future periods (relative to Period I).
In the two future periods, Tmax in the Huaihe River Basin shows a consistent warming trend across all months (Figure 13). In Period II, Tmax increases by 0.37 °C to 2.98 °C, with more pronounced warming observed in February and October compared to the other months. In Period III, changes are even more significant, with an increase ranging from 1.30 °C to 8.47 °C, and the most notable warming occurs in October. Additionally, Tmax shows a greater increase across all months under the RCP8.5 emission scenario compared to other emission scenarios.
From Figure 13, Tmin also shows a consistent warming trend across all months in the future. In Period II, the change ranges from −0.08 °C to 3.00 °C, while in Period III, it ranges from 0.77 °C to 6.20 °C. For both Period II and Period III, the changes in Tmin for March and November are minimal. Additionally, under the RCP8.5 emission scenario, Tmin shows a more pronounced increase across all months compared to other scenarios.
4.4.3. Spatial Distribution Variation
Figure 14 and Figure 15 illustrate the spatial variation patterns of climate elements relative to the historical period under four emission scenarios across two future periods. The results indicate that changes under the RCP8.5 scenario are more significant compared to other scenarios. Furthermore, variations in Period III are more significant than those in Period II, with average increases of approximately 10% for Pr, 2 °C for Tmax, and 1 °C for Tmin in Period III compared to Period II.
Figure 14.
Spatial distribution of climate elements in Huaihe River Basin in Period II.
Figure 15.
Spatial distribution of climate elements in Huaihe River Basin in Period III.
For Pr, under the RCP2.6 and RCP4.5 scenarios, the northern part of the Huaihe River Basin experiences a more significant increase compared to the southern part. The RCP6.0 scenario shows varying spatial patterns in the two future periods, with a larger increase in Pr observed in the northeast during Period II and in the northwest during Period III. Under the RCP8.5 scenario, rainfall increases are more significant in the northwest. For Tmax, the RCP2.6 scenario shows a more pronounced increase in the central basin, while RCP4.5 and RCP6.0 exhibit smaller increases in the northeast. In contrast, the RCP8.5 scenario reveals more substantial warming in the northwest and southeast regions. In Period III, the RCP2.6, RCP4.5, and RCP6.0 scenarios indicate more significant temperature increases in the northeast, while RCP8.5 shows notable warming in the southern region. For Tmin, the spatial patterns of temperature changes are relatively consistent across all emission scenarios in the two future periods, with nearly the entire basin showing an increasing trend. Only the southeastern and southwestern regions exhibit less significant increases in Tmin.
4.5. Discussion
Although the CMIP is currently in its sixth phase, CMIP5 remains highly precise and continues to be widely utilized in climate forecasting [42]. Different from other research [43], we proposed the CIES to assess CMIP5 GCMs. According to the results (Table 5), the HadGEM2-AO model provides the best simulation for rainfall. Previous studies have also found that the HadGEM2-AO model performs well in simulating rainfall [44]. The optimal GCMs for Tmax and Tmin in Huaihe River Basin are the MIROC-ESM and HadGEM2-ES models, which differs from some other studies [45]. The possible reason for this discrepancy is that the climate and hydrological characteristics of different study areas are inconsistent.
Accurate rainfall and temperature data are of prime importance for meteorological and hydrological applications [46]. Compared to other studies [47,48], we employed multiple evaluation metrics for a comprehensive assessment and proposed the CISI to evaluate the accuracy of different spatial interpolation methods. In addition, appropriate bias correction for different GCMs is essential in climate change research. Unlike previous bias correction approaches [49,50], we introduced an IQM method that addresses the inconsistencies between historical and future climate data. The IQM method significantly reduces the bias in climate variables simulated by GCMs (Table 6, Figure 11). The IQM method may also be applicable to other GCMs (i.e., CMIP6 GCMs).
Numerous studies indicate that Pr, Tmax, and Tmin in the Huaihe River Basin are expected to increase in the future [51,52], which aligns with our research findings. These changes may lead to more extreme flood events in the basin, particularly in the southern region (Figure 14 and Figure 15). Therefore, it is crucial to enhance the capacity for rainfall and flood forecasting and to implement strategies for mitigating greenhouse gas emissions in the basin moving forward.
5. Conclusions
This paper mainly assessed future climate change in the Huaihe River Basin. First, we proposed the CISI to identify the optimal spatial interpolation methods for climate variables. Next, we utilized Taylor diagrams and the CIES to assess the simulation performance of different GCMs. We then introduced an IQM method to correct the bias in the GCM simulation results. Finally, we analyzed future climate change in the basin. The aim of this research is to enhance the prediction of future climate change in the Huaihe River Basin.
Among the five spatial interpolation methods, the RBF demonstrates the highest effectiveness for rainfall interpolation, while OK excels in air temperature interpolation. Both interpolation methods yield high accuracy and smooth results. The results obtained using the RBF and OK methods showed that the HadGEM2-AO model provides the best simulation of Pr, the MIROC-ESM model is most effective for simulating Tmax, and the HadGEM2-ES model is optimal for Tmin.
The IQM method, which addresses inconsistencies between historical and future climate distributions, demonstrates superior bias correction performance compared to both the Delta and QM methods. Its evaluation metrics (R, RMSE, and CIES) significantly outperform those of the Delta and QM methods.
In the future, the Huaihe River Basin is projected to experience an increasing trend in Pr, Tmax, and Tmin. Notably, the upward trend in Period III is more pronounced than in Period II, with Tmax showing a more significant increase than Tmin. Furthermore, the rise under the RCP8.5 scenario is more substantial compared to other emission scenarios. There are significant spatial variations in Pr and Tmax across different emission scenarios. In contrast, the spatial pattern of Tmin changes remains relatively consistent.
6. Study Limitations and Prospects
While this paper evaluates future climate change in the Huaihe River Basin, it does not extend to assessing the impacts of climate change on hydrological processes, particularly extreme flood events. Future research will integrate GCMs with hydrological models (i.e., the SWAT model) to develop more effective flood prevention and disaster mitigation strategies for the Huaihe River Basin.
Author Contributions
Conceptualization, X.F. and P.W.; methodology, X.F., P.W. and L.C.; validation, X.F., P.W. and L.C.; software, P.W. and R.H.; formal analysis, L.C., R.H. and Z.L.; investigation, X.F. and R.H.; resources, X.F., R.H. and Z.D.; data curation, X.F., P.W. and Z.D.; writing—original draft, X.F.; writing—review and editing, X.F.; visualization, P.W. and L.C.; funding acquisition, X.F. All authors have read and agreed to the published version of the manuscript.
Funding
This work was funded by the Natural Science Basic Research Program of Shaanxi (Grant No. 2024JC-YBQN-0336).
Data Availability Statement
Data will be made available upon request.
Acknowledgments
The authors thank Gong Junchao for his guidance on the writing of this paper.
Conflicts of Interest
Authors Xiaohua Fu, Pan Wang, Long Cheng, Rui Han, Zufeng Li were employed by the company PowerChina Northwest Engineering Corporation Limited. The remaining authors declare that the research was conducted in the absence of any commercial or financial relationships that could be construed as a potential conflict of interest.
Appendix A
Table A1.
The coordinates of the study stations in the Huaihe River Basin.
Table A1.
The coordinates of the study stations in the Huaihe River Basin.
| No. | Name | Longitude | Latitude | No. | Name | Longitude | Latitude |
|---|---|---|---|---|---|---|---|
| 1 | Yiyuan | 118°05′ E | 36°06′ N | 32 | Shouxian | 116°28′ E | 32°19′ N |
| 2 | Dingtao | 115°19′ E | 35°03′ N | 33 | Bengbu | 117°13′ E | 32°34′ N |
| 3 | Yanzhou | 116°30′ E | 35°20′ N | 34 | Dingyuan | 117°24′ E | 32°19′ N |
| 4 | Feixian | 117°34′ E | 35°09′ N | 35 | Gaoyou | 119°16′ E | 32°28′ N |
| 5 | Juxian | 118°30′ E | 35°21′ N | 36 | Dongtai | 120°11′ E | 32°31′ N |
| 6 | Zhengzhou | 113°23′ E | 34°25′ N | 37 | Liuan | 116°18′ E | 31°27′ N |
| 7 | Xuchang | 113°31′ E | 34°01′ N | 38 | Huoshan | 116°11′ E | 31°14′ N |
| 8 | Kaifeng | 114°10′ E | 34°28′ N | 39 | Anyang | 114°14′ E | 36°01′ N |
| 9 | Baofeng | 113°01′ E | 33°31′ N | 40 | Xinxiang | 113°31′ E | 35°11′ N |
| 10 | Xihua | 114°18′ E | 33°28′ N | 41 | Shenxian | 115°24′ E | 36°08′ N |
| 11 | Zhuma | 114°00′ E | 33°00′ N | 42 | Jinan | 117°01′ E | 36°21′ N |
| 12 | Xinyang | 114°01′ E | 32°04′ N | 43 | Pingdu | 119°33′ E | 36°27′ N |
| 13 | Shangqiu | 115°24′ E | 34°16′ N | 44 | Weifang | 119°06′ E | 36°27′ N |
| 14 | Tangshan | 116°12′ E | 34°15′ N | 45 | Rizhao | 119°19′ E | 35°15′ N |
| 15 | Pizhou | 117°34′ E | 34°10′ N | 46 | Mengjin | 112°15′ E | 34°29′ N |
| 16 | Xuzhou | 117°05′ E | 34°10′ N | 47 | Xixia | 111°18′ E | 33°10′ N |
| 17 | Tancheng | 118°11′ E | 34°21′ N | 48 | Nanyang | 112°21′ E | 33°01′ N |
| 18 | Shuyang | 118°27′ E | 34°03′ N | 49 | Zaoyang | 112°27′ E | 32°05′ N |
| 19 | Ganyu | 119°04′ E | 34°30′ N | 50 | Tongbai | 113°15′ E | 32°13′ N |
| 20 | Guanyun | 119°08′ E | 34°10′ N | 51 | Suizhou | 113°13′ E | 31°25′ N |
| 21 | Bozhou | 115°27′ E | 33°31′ N | 52 | Dawu | 114°04′ E | 31°20′ N |
| 22 | Yongcheng | 116°16′ E | 33°34′ N | 53 | Macheng | 115°00′ E | 31°06′ N |
| 23 | Mengcheng | 116°19′ E | 33°10′ N | 54 | Xuyi | 118°18′ E | 32°35′ N |
| 24 | Xiuzhou | 116°35′ E | 33°22′ N | 55 | Chuzhou | 118°10′ E | 32°10′ N |
| 25 | Suining | 117°33′ E | 33°31′ N | 56 | Nanjing | 118°28′ E | 32°00′ N |
| 26 | Sihong | 118°07′ E | 33°16′ N | 57 | Rugao | 120°20′ E | 32°13′ N |
| 27 | Funing | 119°30′ E | 33°28′ N | 58 | Lvsi | 121°21′ E | 32°02′ N |
| 28 | Sheyang | 120°09′ E | 33°27′ N | 59 | Tongcheng | 116°34′ E | 31°02′ N |
| 29 | Dafeng | 120°17′ E | 33°07′ N | 60 | Hefei | 117°10′ E | 31°28′ N |
| 30 | Fuyang | 115°26′ E | 32°31′ N | 61 | Yingshan | 115°24′ E | 30°26′ N |
| 31 | Gushi | 115°22′ E | 32°06′ N |
References
- Diabat, M.; Haggerty, R.; Wondzell, S.M. Diurnal timing of warmer air under climate change affects magnitude, timing and duration of stream temperature change. Hydrol. Process. 2013, 27, 2367–2378. [Google Scholar] [CrossRef]
- Taye, M.T.; Ntegeka, V.; Ogiramoi, N.P.; Willems, P. Assessment of climate change impact on hydrological extremes in two source regions of the Nile River Basin. Hydrol. Earth Syst. Sci. 2011, 15, 209–222. [Google Scholar] [CrossRef]
- Eum, H.I.; Simonovic, S.P. Assessment on variability of extreme climate events for the Upper Thames River basin in Canada. Hydrol. Process. 2011, 26, 485–499. [Google Scholar] [CrossRef]
- Dobler, C.; Bürger, G.; Stötter, J. Assessment of climate change impacts on flood hazard potential in the Alpine Lech watershed. J. Hydrol. 2012, 460, 29–39. [Google Scholar] [CrossRef]
- Zhang, W.; Pan, S.M.; Cao, L.G.; Cai, X.; Zhang, K.X.; Xu, Y.H.; Xu, W. Changes in extreme climate events in eastern China during 1960–2013: A case study of the Huaihe River Basin. Quat. Int. 2015, 380, 22–34. [Google Scholar] [CrossRef]
- Zhou, P.P.; Wang, G.C.; Duan, R.Q. Impacts of long-term climate change on the groundwater flow dynamics in a regional groundwater system: Case modeling study in Alashan, China. J. Hydrol. 2020, 590, 125557. [Google Scholar] [CrossRef]
- Moradian, S.; Iglesias, G.; Broderick, C.; Olbert, I.A. Assessing the impacts of climate change on precipitation through a hybrid method of machine learning and discrete wavelet transform techniques, case study: Cork, Ireland. J. Hydrol. Reg. Stud. 2023, 49, 101523. [Google Scholar] [CrossRef]
- Raju, K.S.; Kumar, D.N. Review of approaches for selection and ensembling of GCMs. J. Water Clim. Chang. 2020, 11, 577–599. [Google Scholar] [CrossRef]
- Xue, P.P.; Zhang, C.G.; Wen, Z.; Yu, F.R.; Park, E.; Nourani, V. Climate variability impacts on runoff projection in the 21st century based on the applicability assessment of multiple GCMs: A case study of the Lushi Basin, China. J. Hydrol. 2024, 638, 131383. [Google Scholar] [CrossRef]
- Iqbal, Z.; Shahid, S.; Ahmed, K.; Ismail, T.; Ziarh, G.F.; Chung, E.-S.; Wang, X.J. Evaluation of CMIP6 GCM rainfall in mainland Southeast Asia. Atmos. Res. 2021, 254, 105525. [Google Scholar] [CrossRef]
- Sun, L.; Lan, Y.F.; Jiang, R.S. Using CNN framework to improve multi-GCM ensemble predictions of monthly precipitation at local areas: An application over China and comparison with other methods. J. Hydrol. 2023, 623, 129866. [Google Scholar] [CrossRef]
- Taylor, K.E.; Stouffer, R.J.; Meehl, G.A. An overview of CMIP5 and the experiment design. Bull. Am. Meteorol. Soc. 2012, 93, 485–498. [Google Scholar] [CrossRef]
- De Medeiros, F.J.; De Oliveira, C.P.; Avila-Diaz, A. Evaluation of extreme precipitation climate indices and their projected changes for Brazil: From CMIP3 to CMIP6. Weather Clim. Extrem. 2022, 38, 100511. [Google Scholar] [CrossRef]
- Alves, J.M.B.; Vasconcelo, F.C., Jr.; Chaves, R.R.; Silva, E.M.; Jacques, S.; Costa, A.A.; Sombra, S.S.; Barbosa, A.C.B.; dos Santos, A.C.S. Evaluation of the AR4 CMIP3 and the AR5 CMIP5 model and projections for precipitation in northeast Brazil. Front. Earth Sci. 2016, 4, 44. [Google Scholar] [CrossRef]
- Xu, K.; Xu, B.B.; Ju, J.L.; Wu, C.H.; Dai, H.; Hu, B.X. Projection and uncertainty of precipitation extremes in the CMIP5 multimodel ensembles over nine major basins in China. Atmos. Res. 2019, 226, 122–137. [Google Scholar] [CrossRef]
- Das, L.; Meher, J.K.; Dutta, M. Construction of rainfall change scenarios over the Chilka Lagoon in India. Atmos. Res. 2016, 182, 36–45. [Google Scholar] [CrossRef]
- Gobie, B.G.; Assamnew, A.D.; Habtemicheal, B.A.; Woldegiyorgis, T.A. Comparison of GCMs Under CMIP5 and CMIP6 in Reproducing Observed Precipitation in Ethiopia During Rainy Seasons. Earth Syst. Environ. 2024, 8, 265–279. [Google Scholar] [CrossRef]
- Dong, T.Y.; Dong, W.J.; Guo, Y.; Chou, J.M.; Yang, S.L.; Tian, D.; Yan, D.D. Future temperature changes over the critical Belt and Road region based on CMIP5 models. Adv. Clim. Chang. Res. 2018, 9, 57–65. [Google Scholar] [CrossRef]
- Ahmad, M.J.; Choi, K.S. Spatial-temporal evolution and projection of climate extremes in South Korea based on multi-GCM ensemble data. Atmos. Res. 2023, 289, 106772. [Google Scholar] [CrossRef]
- Tsujimoto, K.; Kuriya, N.; Ohta, T.; Homma, K.; Im, M.S. Quantifying the GCM-related uncertainty for climate change impact assessment of rainfed rice production in Cambodia by a combined hydrologic-rice growth model. Ecol. Model. 2022, 464, 109815. [Google Scholar] [CrossRef]
- Lima, C.H.R.; Kwon, H.H.; Kim, Y.T. A Bayesian Kriging model applied for spatial downscaling of daily rainfall from GCMs. J. Hydrol. 2021, 597, 126095. [Google Scholar] [CrossRef]
- Ghosh, S.; Mujumdar, P.P. Statistical downscaling of GCM simulations to streamflow using relevance vector machine. Adv. Water Resour. 2008, 31, 132–146. [Google Scholar] [CrossRef]
- Cloke, H.L.; Wetterhall, F.; He, Y.; Freer, J.E.; Pappenberger, F. Modelling climate impact on floods with ensemble climate projections. Q. J. R. Meteorol. Soc. 2013, 139, 282–297. [Google Scholar] [CrossRef]
- Song, Y.H.; Chung, E.S.; Shiru, M.S. Uncertainty analysis of monthly precipitation in GCMs using multiple bias correction methods under different RCPs. Sustainability 2020, 12, 7508. [Google Scholar] [CrossRef]
- Zhang, W.Q.; Liu, L.; Li, X.P.; Cheng, L.; Cheng, Y.C.; Li, H. Intensified response of extreme precipitation to rising temperature over the Tibetan Plateau from CMIP6 multi-model ensembles. J. Hydrol. 2024, 637, 131397. [Google Scholar] [CrossRef]
- Schmidli, J.; Frei, C.; Vidale, P.L. Downscaling from GCM precipitation: A benchmark for dynamical and statistical downscaling methods. Int. J. Climatol. 2006, 26, 679–689. [Google Scholar] [CrossRef]
- Maurer, E.P.; Hidalgo, H.G.; Das, T.; Dettinger, M.D.; Cayan, D.R. The utility of daily large-scale climate data in the assessment of climate change impacts on daily streamflow in California. Hydrol. Earth Syst. Sci. 2010, 14, 1125–1138. [Google Scholar] [CrossRef]
- Rohith, A.N.; Cibin, R. An extremes-weighted empirical quantile mapping for global climate model data bias correction for improved emphasis on extremes. Theor. Appl. Clim. 2024, 155, 5515–5523. [Google Scholar] [CrossRef]
- Mpelasoka, F.S.; Chiew, F.H. Influence of rainfall scenario construction methods on runoff projections. J. Hydrometeorol. 2009, 10, 1168–1183. [Google Scholar] [CrossRef]
- Chen, J.; Brissette, F.P.; Chaumont, D.; Braun, M. Performance and uncertainty evaluation of empirical downscaling methods in quantifying the climate change impacts on hydrology over two North American river basins. J. Hydrol. 2013, 479, 200–214. [Google Scholar] [CrossRef]
- Themeßl, M.J.; Gobiet, A.; Heinrich, G. Empirical-statistical downscaling and error correction of regional climate models and its impact on the climate change signal. Clim. Chang. 2012, 112, 449–468. [Google Scholar] [CrossRef]
- Ngai, S.T.; Tangang, F.; Juneng, L. Bias correction of global and regional simulated daily precipitation and surface mean temperature over Southeast Asia using quantile mapping method. Glob. Planet. Chang. 2017, 149, 79–90. [Google Scholar] [CrossRef]
- Li, H.B.; Sheffield, J.; Wood, E.F. Bias correction of monthly precipitation and temperature fields from Intergovernmental Panel on Climate Change AR4 models using equidistant quantile matching. J. Geophys. Res. 2010, 115, D10101. [Google Scholar] [CrossRef]
- Chen, F.W.; Liu, C.W. Estimation of the spatial rainfall distribution using inverse distance weighting (IDW) in the middle of Taiwan. Paddy Water Env. 2012, 10, 209–222. [Google Scholar] [CrossRef]
- Oliver, M.A.; Webster, R. Kriging: A method of interpolation for geographical information systems. Int. J. Geogr. Inf. Syst. 1990, 4, 313–332. [Google Scholar] [CrossRef]
- Miller, R.L. Trend surfaces: Their application to analysis and description of environments of sedimentation. J. Geol. 1956, 64, 425–446. [Google Scholar] [CrossRef]
- Tanjung, M.; Syahreza, S.; Rusdi, M. Comparison of interpolation methods based on Geographic Information System (GIS) in the spatial distribution of seawater intrusion. J. Nat. 2020, 20, 24–30. [Google Scholar] [CrossRef]
- Buhmann, M.D. Multivariate cardinal interpolation with radial-basis functions. Constr. Approx. 1990, 6, 225–255. [Google Scholar] [CrossRef]
- Taylor, K.E. Summarizing multiple aspects of model performance in a single diagram. J. Geophys. Res. Atmos. 2001, 106, 7183–7192. [Google Scholar] [CrossRef]
- Chen, J.; Brissette, F.P.; Leconte, R. Uncertainty of downscaling method in quantifying the impact of climate change on hydrology. J. Hydrol. 2011, 401, 190–202. [Google Scholar] [CrossRef]
- Piani, C.; Haerter, J.O.; Coppola, E. Statistical bias correction for daily precipitation in regional climate models over Europe. Theor. Appl. Clim. 2010, 99, 187–192. [Google Scholar] [CrossRef]
- Aloysius, N.R.; Sheffield, J.; Saiers, J.E.; Li, H.B.; Wood, E.F. Evaluation of historical and future simulations of precipitation and temperature in central Africa from CMIP5 climate models. J. Geophys. Res. Atmos. 2016, 121, 130–152. [Google Scholar] [CrossRef]
- Liu, Z.; Mehran, A.; Phillips, T.J.; AghaKouchak, A. Seasonal and regional biases in CMIP5 precipitation simulations. Clim. Res. 2014, 60, 35–50. [Google Scholar] [CrossRef]
- Mumo, L.; Yu, J.H. Gauging the performance of CMIP5 historical simulation in reproducing observed gauge rainfall over Kenya. Atmos. Res. 2020, 236, 104808. [Google Scholar] [CrossRef]
- Dong, S.; Xu, Y.; Zhou, B.; Shi, Y. Assessment of indices of temperature extremes simulated by multiple CMIP5 models over China. Adv. Atmos. Sci. 2015, 32, 1077–1091. [Google Scholar] [CrossRef]
- Gong, J.C.; Hu, Y.B.; Yao, C.; Ma, Y.N.; Sun, M.K.; Gong, J.F.; Shi, Z.; Li, J.B. The WRF-Driven Grid-Xin’anjiang Model and Its Application in Small and Medium Catchments of China. Water 2024, 16, 103. [Google Scholar] [CrossRef]
- Stahl, K.; Moore, R.D.; Floyer, J.A.; Asplin, M.G.; McKendry, I.G. Comparison of approaches for spatial interpolation of daily air temperature in a large region with complex topography and highly variable station density. Agric. For. Meteorol. 2006, 139, 224–236. [Google Scholar] [CrossRef]
- Wagner, P.D.; Fiener, P.; Wilken, F.; Kumar, S.; Schneider, K. Comparison and evaluation of spatial interpolation schemes for daily rainfall in data scarce regions. J. Hydrol. 2012, 464, 388–400. [Google Scholar] [CrossRef]
- Mohan, S.; Bhaskaran, P.K. Evaluation and bias correction of global climate models in the CMIP5 over the Indian Ocean region. Env. Monit. Assess. 2019, 191, 806. [Google Scholar] [CrossRef]
- Navarro-Racines, C.; Tarapues, J.; Thornton, P.; Jarvis, A.; Ramirez-Villegas, J. High-resolution and bias-corrected CMIP5 projections for climate change impact assessments. Sci. Data 2020, 7, 7. [Google Scholar] [CrossRef] [PubMed]
- Yao, T.; Wu, C.H.; Yeh, P.J.F.; Li, J.Y.; Wang, X.; Cheng, J.H.; Zhou, J.; Hu, B.X. Extreme climate events and future population exposure under climate change in the Huaihe River basin of China based on CMIP6 multimodel ensembles projections. Int. J. Climatol. 2024, 44, 3655–3680. [Google Scholar] [CrossRef]
- Wu, Y.A.; Zhong, P.A.; Xu, B.; Zhu, F.L.; Ma, B. Changing of flood risk due to climate and development in Huaihe River basin, China. Stoch. Env. Res. Risk Assess. 2017, 31, 935–948. [Google Scholar] [CrossRef]
Disclaimer/Publisher’s Note: The statements, opinions and data contained in all publications are solely those of the individual author(s) and contributor(s) and not of MDPI and/or the editor(s). MDPI and/or the editor(s) disclaim responsibility for any injury to people or property resulting from any ideas, methods, instructions or products referred to in the content. |
© 2025 by the authors. Licensee MDPI, Basel, Switzerland. This article is an open access article distributed under the terms and conditions of the Creative Commons Attribution (CC BY) license (https://creativecommons.org/licenses/by/4.0/).















