Next Article in Journal
Spatial Structure and Optimal Sampling Intervals of Soil Moisture at Different Depths in a Typical Karst Demonstration Zone
Previous Article in Journal
Complex Effects of Functional Groups on the Cotransport Behavior of Functionalized Fe3O4 Magnetic Nanospheres and Tetracycline in Porous Media
 
 
Font Type:
Arial Georgia Verdana
Font Size:
Aa Aa Aa
Line Spacing:
Column Width:
Background:
Communication

Impact of Channel Confluence Geometry on Water Velocity Distributions in Channel Junctions with Inflows at Angles α = 45° and α = 60°

by
Aleksandra Mokrzycka-Olek
1,
Tomasz Kałuża
2 and
Mateusz Hämmerling
2,*
1
Department of Heating, Ventilation and Heat Engineering, West Pomeranian University of Technology in Szczecin, 17 Piast Avenue, 70-310 Szczecin, Poland
2
Department of Hydraulic and Sanitary Engineering, Poznan University of Life Sciences, 94A Piatkowska Street, 60-649 Poznań, Poland
*
Author to whom correspondence should be addressed.
Water 2025, 17(19), 2890; https://doi.org/10.3390/w17192890
Submission received: 28 August 2025 / Revised: 28 September 2025 / Accepted: 2 October 2025 / Published: 4 October 2025
(This article belongs to the Section Hydraulics and Hydrodynamics)

Abstract

Understanding flow dynamics in open-channel node systems is crucial for designing effective hydraulic engineering solutions and minimizing energy losses. This study investigates how junction geometry—specifically the lateral inflow angle (α = 45° and 60°) and the longitudinal bed slope (I = 0.0011 to 0.0051)—influences the water velocity distribution and hydraulic losses in a rigid-bed Y-shaped open-channel junction. Experiments were performed in a 0.3 m wide and 0.5 m deep rectangular flume, with controlled inflow conditions simulating steady-state discharge scenarios. Flow velocity measurements were obtained using a PEMS 30 electromagnetic velocity probe, which is capable of recording three-dimensional velocity components at a high spatial resolution, and electromagnetic flow meters for discharge control. The results show that a lateral inflow angle of 45° induces stronger flow disturbances and higher local loss coefficients, especially under steeper slope conditions. In contrast, an angle of 60° generates more symmetric velocity fields and reduces energy dissipation at the junction. These findings align with the existing literature and highlight the significance of junction design in hydraulic structures, particularly under high-flow conditions. The experimental data may be used for calibrating one-dimensional hydrodynamic models and optimizing the hydraulic performance of engineered channel outlets, such as those found in hydropower discharge systems or irrigation networks.

1. Introduction

Studying the influence of the inflow angle of a channel connected to a main channel alongside the effects of changes in the longitudinal slope of the channel bed constitutes a significant research focus in hydraulic engineering [1,2]. This area of study includes analyses of water velocity distributions, hydraulic losses, stream mixing, and turbulence effects, as well as dimensional analysis and model scale selection [3,4].
The issue of channel confluence has wide practical relevance in the design and operation of complex hydraulic channel junctions, particularly in cases where a main river channel connects with auxiliary channels serving various technical purposes [5,6]. In hydraulic engineering practice, this issue is especially pertinent in inflow areas near dam structures [7,8], where asymmetric flow conditions and local turbulence can affect the capacity of the structure, the intensity of vortices in adjacent zones, and potential erosion hazards [9,10]. Analysis of local energy losses and mixing characteristics in such channel junctions is, therefore, essential in the design and functional assessment of facilities such as weirs, process channels, fish bypasses, and the discharge channels of hydroelectric power plants [11]. Including these issues in model testing enables one to better evaluate how the geometry of the node and hydraulic conditions affect the performance of the water system [12,13].
Recent research, such as the study conducted by Yan [14], has shown that changes in the inflow angle significantly affect water velocity distribution, particularly near the channel bank where intensive stream mixing occurs. Li [15] confirmed that angles greater than 45 degrees generate complex flow structures, including local vortices. Experiments conducted by Heller and Wang [16,17] also indicated that varying inflow angles influence velocity profiles and distributions in main channels, which is particularly relevant for water resource management in hydraulic systems (e.g., the junction of a hydroelectric channel with a main channel) [4]. Analyzing hydraulic losses in the context of channel capacity also remains critically important [18]. Schindfessel [19] found that inflow angles above 60 degrees increase stream energy losses due to increased turbulence. Khosravinia [20] investigated the impact of longitudinal slopes on hydraulic losses, showing that steeper slopes lead to greater energy losses. Furthermore, Sui and Alizadeh [21,22] demonstrated that optimizing the inflow angle can minimize hydraulic losses, which is crucial in the design of efficient hydraulic systems, such as outlet sections [23].
Mixing and stream turbulence effects are key to understanding flow dynamics in channels [7]. Penna [24] showed that inflow angles above 45 degrees lead to increased turbulence intensity and the effective mixing of streams. Roy and Liu [25,26] confirmed that variations in the longitudinal slope of the channel bed affect the turbulence structure, resulting in differentiated turbulence profiles and mixing intensities.
In the context of dimensional analysis and model scale selection, Biron [27] emphasized the importance of proper scaling in hydraulic models to obtain reliable results. Leite Riberio [28] examined various approaches to laboratory channel modeling, highlighting the importance of maintaining dynamic and kinematic similarities. Behzad [29] noted that incorrect scaling may lead to a misinterpretation of results, particularly in terms of hydraulic losses and turbulence intensity.
Previous studies have shown the complex influence of the inflow angle and channel bed slope on water velocity distribution, hydraulic losses, and both mixing and turbulence effects [30]. Recent studies, such as those conducted by Wei and Penna [31,32], have provided valuable experimental and theoretical data that can be used to calibrate and validate numerical models. Dimensional analysis and model scale selection are key aspects to ensure the reliability and accuracy of hydraulic research results. The research and analysis of local losses suggest that advanced numerical techniques should be integrated with experimental data to obtain more precise and practically useful outcomes [33].
This study presents the preliminary results of water velocity distribution measurements in a designed node system, carried out at the Water Laboratory of the West Pomeranian University of Technology in Szczecin. The constructed water node consisted of a main channel with a right-hand side inflow installed using two angular configurations (α = 45° and α = 60°). The channels had a rectangular cross-section. Analysis of the obtained results indicated the potential of the proposed solutions to be applied in the design of hydraulic structures in river mouth junctions, taking into account local hydraulic losses and changes in water velocity distributions.
The present study is based on the hypothesis that the geometry of channel junctions—specifically the inflow angle and bed slope—plays a key role in shaping local hydraulic conditions, such as energy dissipation and transverse velocity distribution. These factors are particularly relevant in engineered systems, including the junctions between power plant tailraces and main river channels, where effective energy transfer and flow uniformity are crucial to maintaining both hydraulic efficiency and structural or ecological integrity. Although the hydraulics of channel confluences have been widely investigated, most existing studies have focused on natural rivers or relied on numerical simulations with limited calibration against physical models. In particular, there remains a gap in the systematic laboratory validation of local energy losses for moderate inflow angles (α = 45°, α = 60°) and varying slope conditions (I = 0.0011–0.0051). This study addresses that gap by providing detailed experimental data under controlled conditions, using a simplified laboratory setup designed to reflect typical engineered configurations.
This study contributes novel insights by investigating how variations in bed slope interact with the inflow angle to influence local energy losses in controlled laboratory conditions—an area which has been insufficiently explored in experimental settings, especially for man-made channel junctions. The findings aim to support the refinement of energy loss assumptions in engineering tools such as HEC-RAS and to improve the calibration of one- and two-dimensional hydrodynamic models. Moreover, these results are applicable to the optimization of junction design in infrastructure where channels discharge into receiving rivers, particularly under increasingly variable and extreme hydrological regimes driven by climate change.

2. Materials and Methods

2.1. Measurement Station Layout

To carry out the intended research, a measurement station was constructed at the Water Laboratory of the West Pomeranian University of Technology in Szczecin (Figure 1 and Figure 2). A hydraulic node was designed, comprising a main channel with a right-hand side inflow oriented at an angle α to the direction of flow in the main channel (Figure 1). Along the entire length of the main channel (Lc = 735 cm) and the inflow channel, a rectangular cross-section with the following constant dimensions was adopted: width B1 = B2 = 20 cm and height H1 = H2 = 26.5 cm (Figure 2). A sluice gate was installed at the outlet of the setup to enable free regulation of the water level in the main channel.
The angles analyzed in the present study were taken from analyses of actual connections occurring in rivers. The figure below (Figure 3) shows examples of two hydrotechnical structures with channel junctions at α ≈ 45° and α ≈ 60°. Both structures are located on lowland rivers in Poland. Such junction layouts are typical for outlet channels from hydropower plants discharging into a main river channel.

2.2. Measurement Methodology

Mean water velocity values v x and v y were measured using a Delft PEMS 30 probe (SN E558 and 019/I-10/T-770) (Figure 3a). This probe has compact dimensions, a streamlined shape, and a small measuring surface, allowing it to be used in such places as open channels where measurements can be taken as close as approximately 1 cm from the bed and walls (depending on the materials used in the channel construction). The PEMS 30 continuously measures the velocity components of the fluid in which it is immersed. Then, the actual velocity is determined using the following formula:
v r z = v x 2 + v y 2 ,
where v x is the average horizontal component of the water velocity [m/s], and v y is the average vertical component of the water velocity [m/s].
The PEMS-E30 meter used in laboratory measurements allows one to obtain values from the horizontal component for instantaneous velocity measured in the direction of flow Vx and from the velocity component measured perpendicular to the direction of flow Vy, in a measurement range from 0 to 2.5 m/s, with a measurement accuracy of ±0.001 m/s. The PEMS meter was calibrated and adjusted to the hydraulic conditions in the laboratory flume. The sensor was calibrated by performing a zero measurement. For this purpose, the sensor was placed in the center of the bucket. During calibration, the sensor was not moved to ensure that the process was performed correctly.
To maintain and control a constant water inflow to the station—for both the main and the inflow channels—electromagnetic flow meters manufactured by ENKO (type MPP 600) were installed on the water supply pipelines. These meters had nominal diameters of dn = 32 mm and dn = 100 mm and continuously recorded the water flow rate in m3/h with an accuracy ±0.5% of the actual flow (Figure 4).
The tests conducted using a hydraulic flume began with stabilizing the flow. A constant flow was established on the flow meters using gate valves, which was maintained during the measurements. After flowing out of the supply pipe, the water stream was dispersed using a steel mesh mounted at the junction of the pipe and the inlet wall to the inflow channel. In addition, styrodur was placed on the surface of the water mirror to reduce water waves. An expansion chamber was installed on the main inflow channel to dampen the energy of the inflow. The angle of the inflow channel was changed by dismantling the channel walls and reassembling them at a new angle.

2.3. Scope of Measurements and Description of Hydraulic Flow Conditions

The scope of measurements primarily included the determination of water velocity distributions at designated hydrometric verticals for selected cross-sections located within the area of the hydraulic node, according to the assumed depths. Two configurations were adopted depending on the inflow channel angle (Figure 5a,b). The inflow channel formed angles of α1 = 45° and α2 = 60° relative to the main channel.
Prior to the experiments, the following flow rates at the electromagnetic flow meters were assumed (Table 1).
Three longitudinal bed slopes were assumed: I1 = 0.0011, I2 = 0.0051, and I3 = 0.0032. Individual hydrometric verticals (labeled “a” to “h”) were spaced proportionally across the channel widths B1 and B2, with a distance of 2 cm between each (Figure 6). Velocity measurements were conducted at three depths above the bed: h1 = 2 cm, h2 = 5 cm, and h3 = 9 cm (Figure 7).
To determine the local loss coefficients using the general form of Bernoulli’s equation, we can use the following:
Z 9 9 + 9 9 · v 9 9 2 2 · g = Z 12 12 + 12 12 · v 12 12 2 2 · g + ζ 1 9 9 · v 9 9 2 2 · g 12 12 · v 12 12 2 2 · g
Z 11 11 + 11 11 · v 11 11 2 2 · g = Z 12 12 + 12 12 · v 12 12 2 2 · g + ζ 2 11 11 · v 11 11 2 2 · g 12 12 · v 12 12 2 2 · g
where 9 9 = 11 11 = 12 12 = 1 . The continuity equation for flow can instead be expressed as
Q 3 = Q 1 + Q 2
The total energy of the stream comprises both potential and kinetic energy components, as follows:
E c = E p o t + E k
The potential energy of the stream corresponds to the average depth in the channel, equal to the pressure head in the respective cross-sections, E p o t = p a γ = h ś r , while kinetic energy is E k = α · v ś r 2 2 · g .
Substituting the above into Equations (1) and (2), the following equations are obtained:
h 9 9 + v 9 9 2 2 · g = h 12 12 + v 12 12 2 2 · g + ζ 1 v 9 9 2 2 · g v 12 12 2 2 · g
h 11 11 + v 11 11 2 2 · g = h 12 12 + v 12 12 2 2 · g + ζ 2 v 11 11 2 2 · g v 12 12 2 2 · g
Denoting the energy values in the assumed cross-sections as
E 9 9 = h 9 9 + v 9 9 2 2 · g , E 11 11 = h 11 11 + v 11 11 2 2 · g , and E 12 12 = h 12 12 + v 12 12 2 2 · g , Equations (5) and (6) take their final forms:
E 9 9 = E 12 12 + ζ 1 v 9 9 2 2 · g v 12 12 2 2 · g
E 11 11 = E 12 12 + ζ 2 v 11 11 2 2 · g v 12 12 2 2 · g
from which the local loss coefficients are determined as
ζ 1 = E 9 9 E 12 12 v 9 9 2 2 · g v 12 12 2 2 · g
ζ 2 = E 11 11 E 12 12 v 11 11 2 2 · g v 12 12 2 2 · g

2.4. Laboratory Measurements

After constructing the test station and defining its geometric parameters, the initial longitudinal bed slope of I1 = 0.0011 was applied across the entire test system. Afterwards, flow rates Q1 and Q2 were monitored via electromagnetic flow meters on the water supply lines. The inflow was regulated using slide valves installed on the pipelines. The water level in the channel was controlled using the sluice gate at the test station outlet. The water table gradient and the water levels in both the main and inflow channels were monitored using a point gauge with a measurement accuracy of 0.1 mm. A total of 19 cross-sections were examined (Figure 1), among which 16 contained 8 hydrometric verticals (a–h), as shown in Figure 6. The remaining three sections (1-1, 2-2, 3-3), located in zone “A” of the inflow channel, contained 7, 4, and 2 verticals, respectively. Water velocity was measured using a PEMS 30 probe for all designated hydrometric verticals in the x-y coordinate system, where velocity component Vx was aligned with the direction of flow, and component Vy was perpendicular to Vx. Averaged velocity readings were recorded using the Delft DHI software, version 1.4, at one-second intervals (15 readings per vertical at a given depth “h”).
Following the above-mentioned steps, the position of the probe was changed from depth h1 to h2 = 5 cm and then from h2 to h3 = 9 cm (Figure 6). Velocity components Vx and Vy were recorded under identical boundary conditions (Q1 = const, Q2 = const, I1 = const, and α = const). Additionally, water table elevations were measured at each cross-section (three readings per section) using the point gauge; the water temperature was also recorded.

3. Results

3.1. Analysis of Velocity Distributions

To compare the obtained water velocity distributions at all analyzed points within the flow domain, the bed slope was varied from I1 = 0.0011 to I2 = 0.0051 and then to I3 = 0.0032 while keeping the remaining parameters constant (h1 = const, h2 = const, h3 = const, and α = const). Velocity distributions were determined for selected cross-sections within specific zones (Figure 5a,b) and are illustrated in Figure 8, Figure 9, Figure 10, Figure 11, Figure 12 and Figure 13.
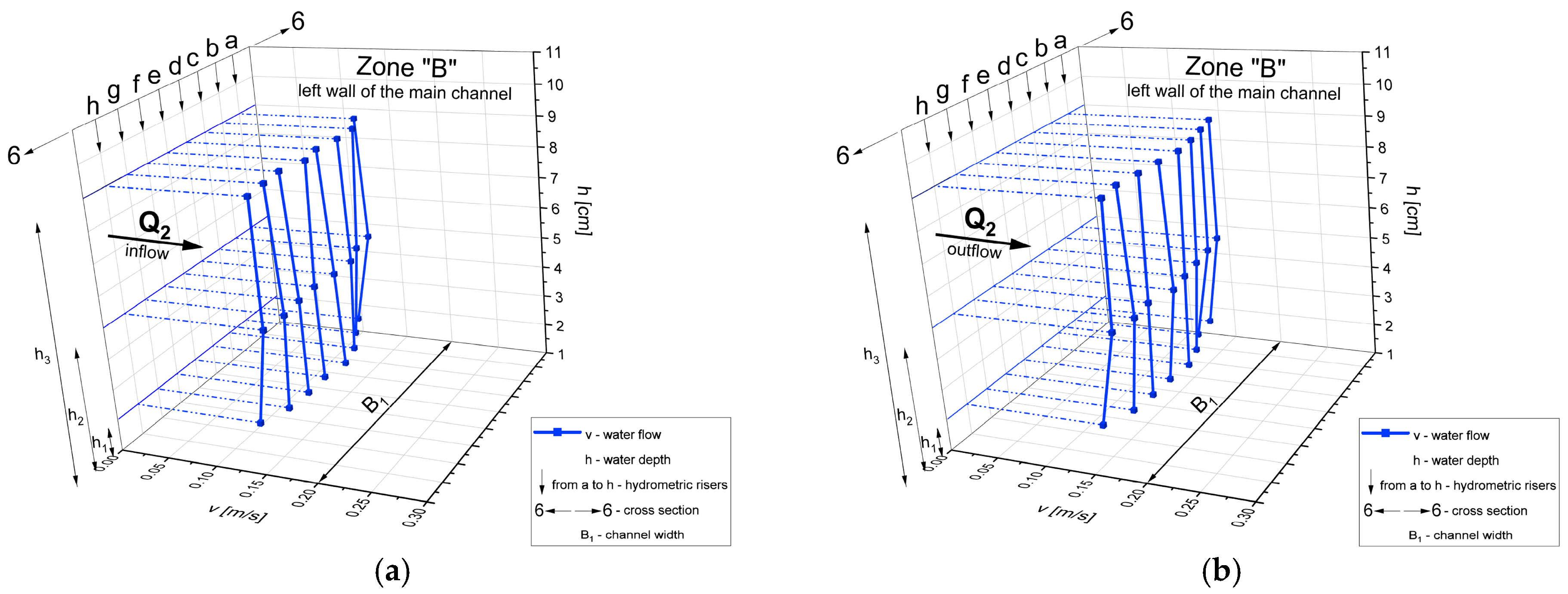
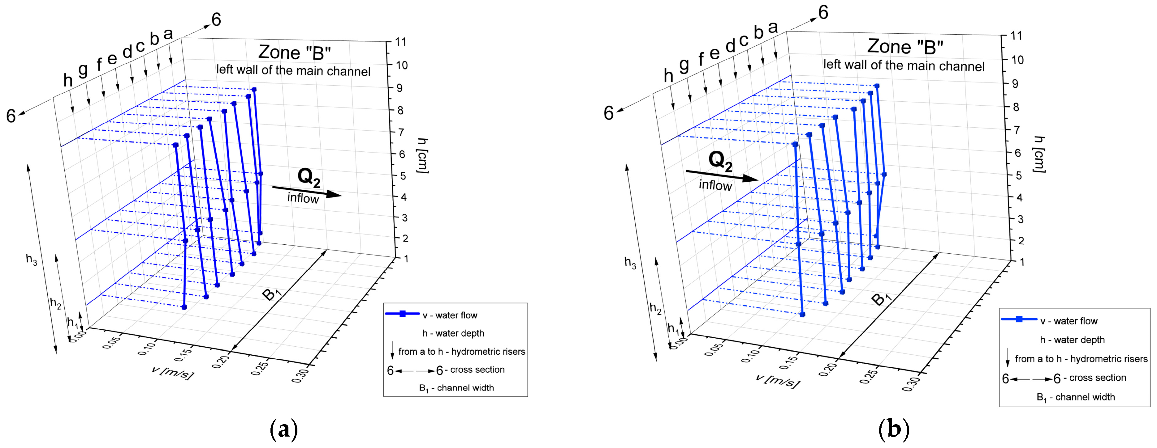
In the velocity distributions, for cross-section 0-0 of zone “A”, the flow is minor for both α = 45° and α = 60° within the inflow channel (which is reflected in the low velocity values). Additionally, in hydrometric verticals e–h, closer to the left wall of the channel, there is a noticeable decrease in velocity values at both I1 = 0.0011 and I2 = 0.0051 due to the interaction between the merging streams from the main and inflow channels. In zone “B”, at cross-section 6-6 located upstream from the node within the main channel, the velocity tachoids exhibit a uniform (symmetrical) distribution. The flow here is significantly greater than that at cross-section 0-0 of zone “A”.
In the downstream area (zone “C”) at cross-section 4-4, the tachoid distributions across verticals a–f are comparable at slopes I1 and I2 and for α = 45° and α = 60°. However, a clear change occurs in verticals g and h, positioned near the right wall of the channel, where a velocity reduction can be observed. This reduction results from the influence of the inflow stream from zone “A”. The impact of the inflow channel and associated disturbances, which contribute to energy loss in this region of the flow, is clearly evident.
The average and maximum velocities for each hydrometric vertical were then analyzed. Supplementary Materials Tables S1–S6 provides a complete table listing the average and maximum velocities for individual verticals and test sections of the laboratory flume. Based on these tables, across all analyzed sections, velocities increase with an increase in the junction angle between the connected channels (from α = 45° to α = 60°). Table 2 presents a representative summary of the maximum and average velocity values for zone C.
An analysis of the results in Table 2 reveals that, as the slope of the bottom increases, the maximum and average velocities for both angles increase. Similarly, as the angle between the two laboratory channels increases, both the average and maximum velocities also increase.

3.2. Determination of Local Loss Coefficients

To determine the local loss coefficients in the nodal areas during stream contraction, three measurement cross-sections were selected: (1) main channel zone “B”, cross-section 11-11; (2) main channel zone “C”, cross-section 12-12; and (3) inflow channel zone “A”, cross-section 9-9. These cross-sections were situated beyond the disturbance zone of the node.
For a given inflow channel angle α = 45 ° , width ratio b/B, and flow rate Q, the average depths in the respective cross-sections (11-11, 12-12, and 9-9) were determined, followed by the cross-sectional flow areas. Then, the average velocities in the cross-sections were calculated, enabling us to determine the energy levels and local loss coefficients for the three different water table gradients. The results are summarized in Table 3, Table 4, Table 5, Table 6, Table 7 and Table 8.
Analysis of the tabulated results (Table 2, Table 3, Table 4, Table 5, Table 6 and Table 7) clearly demonstrates the dependence of the local head loss coefficients on the junction angle and bed slope. For α = 45°, the average values of ζC and ζA ranged from approximately 0.49–0.66 at I = 0.0011 to 0.60–0.77 at I = 0.0051 while, for α = 60°, these values were lower, varying from 0.30–0.32 to 0.43–0.66, respectively. This result confirms that sharper junction angles generate considerably higher energy losses—by more than 40% compared to losses at 60°—and that the effect of the slope is particularly evident at the highest value of I = 0.0051. At the smallest slope (0.0011), however, the difference between ζA and ζC is minimal, which indicates that the role of bed inclination becomes significant only at steeper gradients.
The energy head values in the main channel also decreased with an increase in slope, but the reduction was more pronounced for α = 45°. For example, EC decreased from about 0.173 m to 0.155 m at 45° while, at 60°, Ec fell only from 0.157 m to 0.137 m. These results confirm that the 60° junction provides more favorable hydraulic conditions, as it reduces energy losses and stabilizes the flow field even at higher slopes, whereas the 45° configuration is markedly more sensitive to changes in the channel gradient. The described tendencies are further illustrated in Figure 14 and Figure 15, which present the linear increase of ζA and ζC with slope for both junction angles.

4. Discussion

4.1. Hydrodynamics of Nodal Zones

Recent years have witnessed significant progress in understanding the hydrodynamics and morphology of nodal zones, as exemplified by the study of Canelas and Ramos [34,35]. In that study, the authors demonstrated that, at a 90° angle, low flow rate ratios and dominant sediment inflow from the lateral channel lead to the formation of a stable erosive structure at the junction. This structure includes strong secondary circulation and a near-bed flow in the main channel directed toward the inflow. The study emphasized the importance of interactions between the bed structure and near-bed velocity profiles. In the classic work of Mosley [36], under laboratory conditions, the author observed that the depth of scouring at confluences depends on both the junction angle and the relative flow rates. The author confirmed the occurrence of helical vortices and found that the outflow angle of the lower channel depends on the main channel’s flow rate. These results align well with the observations from the present study, where stronger flow disturbances and higher energy losses occurred at smaller lateral inflow angles (e.g., 45°).
The results of this study confirm that both the lateral inflow angle and the longitudinal slope of the channel bed significantly influence the flow velocity distribution and energy losses in the node system. The highest values of local loss coefficients were recorded for the configuration with α = 45° and the steepest slope of I = 0.0051. These findings are consistent with those of Malone [37], who noted that increasing the channel slope intensifies turbulence and leads to greater energy loss. In contrast, for α = 60°, significantly lower values of local loss coefficients were observed, particularly at I = 0.0011 and I = 0.0032. These results correlate with empirical data from the literature. For instance, Mosley and Cunge [36,38] showed that angles of 60–70° and moderate side inflows result in moderate energy losses (ζ = 0.30–0.50). Similar values (ζ = 0.30–0.50) are recommended in HEC-RAS models for comparable geometric configurations. Furthermore, the analysis indicates that α = 45° causes stronger disturbances within the node zone and greater variability in velocity distributions. These effects were also described in detail by Zhou [39], who reported increased flow dynamics in confluence zones at angles above 45°. Zhou and Nazari-Giglou [39,40] likewise observed that sharp inflow angles produce local vortices and elevated velocities in the main flow.
To further contextualize the experimental findings, the observed variability in local loss coefficients and flow structures at different confluence angles and slopes confirms the relevance of these parameters for flood risk mitigation and sediment management. Flow separation, turbulence generation, and velocity redistribution at confluences influence both hydraulic efficiency and the potential for sediment deposition or erosion. As highlighted by Leite Ribeiro et al. [28], even minor geometric variations can substantially modify local flow conditions, potentially leading to significant morphological changes. Similarly, Behzad et al. [29] showed that confluence geometries with suboptimal angles can create zones of intensified scour, posing structural threats during flood events. The present results align with these findings, underscoring that adopting inflow angles closer to 60° may improve hydraulic performance by limiting energy loss and mitigating erosion risks, which are critical factors in the design of resilient confluence structures under increasing hydrological variability.

4.2. Typical Values of Local Loss Coefficients

In hydraulic modeling (e.g., with software such as HEC-RAS 6.6 and MIKE 11), empirical local loss coefficients are often used to account for energy losses at channel junctions (Table 9).
For a confluence angle of 60° (fairly typical in both natural and engineered channels), the energy loss coefficient primarily depends on the flow rate of the lateral inflow to the main flow. Indicative values based on the literature data and numerical simulations are summarized below (Table 10).
Similarly, for a 45° confluence angle, the energy loss coefficient mainly depends on the relative flow rates of the lateral and main flows. Table 11 presents indicative values of coefficient ζ based on the available literature and numerical analyses.
Based on the experimental findings, the variability of loss coefficients is strongly correlated with both the inflow angle and the bed slope configuration. The results show good agreement with theoretical and empirical values used in simplified hydraulic models [7,17]. At the same time, the observed variation in coefficient values for the same angles indicates the need to calibrate simulation models in each case when analyzing hydraulic channel junctions with irregular geometries. Considering the measurement results and literature data, an integrated approach combining experimental results with numerical modeling is advisable, as recommended by Heller and Chanson [7,16]. Such an approach enables a more accurate assessment of energy losses in real-world hydraulic systems.
The observed differences in local loss coefficients depending on the confluence angle emphasize the importance of site-specific calibration when applying hydrodynamic models. In engineering applications, particularly in river training and hydraulic structure design, the use of generalized or unverified ζ values may result in significant errors in flow predictions. Incorporating empirical or experimental data into model calibration ensures greater reliability and performance under variable hydraulic conditions.

4.3. Influence of Channel Angle on Junction Efficiency During High Flows

The results of this study have important implications for the design of hydraulic systems and flood risk management, particularly in the face of evolving climate change challenges. The increasing frequency and intensity of extreme hydrological events, including floods, have been widely observed in recent years and are predicted to intensify in the future [41,42]. Under such conditions, the hydraulic capacity of open channel systems—especially in the outlet zones—becomes critical for minimizing energy losses, avoiding local erosion, and facilitating safe water flow. Our results demonstrate that the inflow angle strongly influences the hydraulic behavior of the junction. Configurations with an angle of 60° consistently produced lower local energy losses and more stable velocity fields than those with an angle of 45°, especially for steeper bed slopes. These observations are particularly relevant in engineered systems where artificial channels (e.g., power plant outflows or drainage channels) connect with natural rivers. Designing or upgrading such connections with optimal angles can improve system resilience during peak flood flows by reducing turbulence and improving capacity. Furthermore, previous research by Nazari-Sharabian [43] showed that lateral inflow geometry significantly affects the water surface height during transitional flows, highlighting the importance of considering channel connection angles and energy loss coefficients in flood infrastructure design.

4.4. Advantages, Limitations, and Future Research

A major advantage of laboratory models is their ability to represent much larger objects. Knowing the scale of the model, we can convert all values obtained from the tests into reality. It is assumed that the physical model is similar to the actual prototype—a hydraulic structure—if it meets the following criteria: geometric, kinematic, and dynamic similarities. Geometric similarity means that the model and the prototype have the same shape but differ only in size. The Froude number is used as a criterion for the similarity of water flow in nature and in the model. Taking into account the adopted model scale and the condition of hydrodynamic similarity, the scale of other physical quantities can be converted [16].
While the present study offers detailed insights into the influence of the inflow angle and bed slope on local energy losses and velocity distributions at open-channel junctions, several limitations should be acknowledged. First, the experimental setup was based on fixed channel geometry and steady flow conditions in a controlled laboratory environment. While this approach enables high repeatability, it does not fully capture the complexity of natural river confluences, which often involve mobile beds, sediment transport, and variable hydrological regimes. Additionally, the range of inflow angles and slopes studied may not represent more extreme or irregular configurations observed in real-world systems. Another limitation lies in the geometric scaling. Although similitude laws were followed, scale effects—especially those related to turbulence or sediment dynamics—may affect the transferability of results to field applications.
Future research should expand on these findings by testing a wider range of channel geometries and bed conditions, introducing sediment transport processes, and simulating unsteady flow regimes. Incorporating numerical modeling approaches calibrated with field or laboratory data could further support design optimization, particularly under climate-induced flow variability. Such directions are especially important in the context of increasingly frequent flood events and river morphodynamic changes observed in natural and engineered systems [43,44,45].

5. Conclusions

This study investigated the effects of lateral inflow angle (α = 45° and 60°) and channel bed slope (I = 0.0011; 0.0032; 0.0051) on velocity distributions and energy losses in open-channel confluence systems using a custom-built physical model. The results confirm that both the geometric configuration and hydraulic conditions significantly influence flow characteristics. Configurations with α = 45° caused stronger flow disturbances, more asymmetric velocity profiles, and significantly higher local loss coefficients, especially at the steepest slope (I = 0.0051). In contrast, the 60° angle consistently produced lower hydraulic losses and more uniform velocity fields across different flow conditions. These results fill an existing research gap by providing systematic laboratory validation of local energy losses at moderate inflow angles and varying slope conditions, which have, to date, been studied mainly through numerical simulations.
The experimental results align with those of previous studies and extend our understanding of how junction geometry affects hydrodynamic performance. These findings have broader applications in river engineering, especially at junctions where separate flows merge, such as hydropower discharge channels, weir bypasses, and navigation canals with locks. Properly accounting for energy losses at such nodes could improve the accuracy of numerical models (e.g., HEC-RAS) and contribute to better designs for efficient hydraulic systems. The data generated in this study could be used to calibrate 1D and 2D models and to refine engineering solutions involving mixed inflows and complex junction geometries.
In light of increasing hydrological variability and more frequent extreme flood events driven by climate change, the present findings could support the development of more resilient confluence structures. Optimizing junction geometry toward angles close to 60° may enhance system capacity and stability under peak flow conditions.

Supplementary Materials

The following supporting information can be downloaded at: https://www.mdpi.com/article/10.3390/w17192890/s1, Table S1: Statement of average and maximum velocity for angle α = 45° and measuring zone A. Table S2: Statement of average and maximum velocity for angle α = 45° and measuring zone B. Table S3: Statement of average and maximum velocity for angle α = 45° and measuring zone C. Table S4: Statement of average and maximum velocity for angle α = 60° and measuring zone A. Table S5: Statement of average and maximum velocity for angle α = 60° and measuring zone B. Table S6: Statement of average and maximum velocity for angle α = 60° and measuring zone C.

Author Contributions

Conceptualization, A.M.-O. and T.K.; methodology, A.M.-O. and T.K.; software, A.M.-O. and M.H.; validation, T.K. and M.H.; formal analysis, T.K. and M.H.; investigation, A.M.-O.; resources, A.M.-O.; data curation, M.H.; writing—original draft preparation, T.K. and A.M.-O.; writing—review and editing, M.H.; visualization, A.M.-O. and T.K.; supervision, M.H.; project administration, A.M.-O.; funding acquisition, T.K. and A.M.-O. All authors have read and agreed to the published version of the manuscript.

Funding

This research received no external funding.

Data Availability Statement

The original contributions presented in this study are included in the Supplementary Materials. Further inquiries can be directed to the corresponding author.

Conflicts of Interest

The authors declare no conflicts of interest.

References

  1. Dong, C.; Feng, M.; Jing, H.; Yang, R. The Impact of Changes in Water–Sediment Relationships at River Confluences on the Evolution of River Bars. J. Hydrol. 2024, 645, 132212. [Google Scholar] [CrossRef]
  2. Mumot, J.; Tymiński, T. Hydraulic Research of Sediment Transport in the Vertical Slot Fish Passes. J. Ecol. Eng. 2016, 17, 143–148. [Google Scholar] [CrossRef]
  3. Tymiński, T.; Mumot, J.; Strojny, R.; Karpowicz, D. Analysis of the Potential of Building Ramps in Hydrotechnical Structures as a Means of Facilitating Fish Migration. Acta Sci. Polonorum. Form. Circumiectus 2016, 15, 151. [Google Scholar] [CrossRef]
  4. Rooniyan, F. The Effect of Confluence Angle on the Flow Pattern at a Rectangular Open-Channel. Eng. Technol. Appl. Sci. Res. 2014, 4, 576–580. [Google Scholar] [CrossRef]
  5. Hämmerling, M.; Walczak, N.; Kałuża, T. Analysis of the Influence of Hydraulic and Hydrological Factors on the Operating Conditions of a Small Hydropower Station on the Example of the Stary Młyn Barrage on the Głomia River in Poland. Energies 2023, 16, 6905. [Google Scholar] [CrossRef]
  6. Debnath, J.; Das, N.; Sharma, R.; Ahmed, I. Impact of Confluence on Hydrological and Morphological Characters of the Trunk Stream: A Study on the Manu River of North-East India. Environ. Earth Sci. 2019, 78, 190. [Google Scholar] [CrossRef]
  7. Chanson, H. The Hydraulics of Open Channel Flow: An Introduction, 2nd ed.; Butterworth-Heinemann: London, UK, 2004. [Google Scholar]
  8. Tymiński, T.; Wolski, K.; Gruszczyński, M.; Xia, J.; Ren, H.; Yao, N. Hydraulic Research for Lateral Plant Obstruction in an Open Channel. J. Ecol. Eng. 2019, 20, 214–218. [Google Scholar] [CrossRef]
  9. Fernandes, J.N.; Alizadeh, L. Sedimentation Pattern as a Response to Hydrodynamics in a Near-Symmetric River Confluence. Sustainability 2025, 17, 3790. [Google Scholar] [CrossRef]
  10. Tymiński, T.; Wolski, K. Hydraulic Effect of Vegetation Zones in Open Channels: An Experimental Study of the Distribution of Turbulence. Sustainability 2023, 16, 337. [Google Scholar] [CrossRef]
  11. Hammerling, M.; Walczak, N.; Kałuża, T.; Oliskiewicz-Krzywicka, A. Operational Problems of Selected Elements of the Dobrzyca Barrage on the Głomia River. Annu. Set. Environ. Prot. 2018, 20, 163–183. [Google Scholar]
  12. Hämmerling, M.; Kałuża, T.; Zawadzki, P.; Zaborowski, S.; Sojka, M.; Liberacki, D.; Ptak, M. Application of Multi-Criteria Analytic Methods in the Assessment of the Technical Conditions of Small Hydraulic Structures. Buildings 2022, 12, 115. [Google Scholar] [CrossRef]
  13. Tymiński, T.; Kałuża, T.; Hämmerling, M. Verification of Methods for Determining Flow Resistance Coefficients for Floodplains with Flexible Vegetation. Sustainability 2022, 14, 16170. [Google Scholar] [CrossRef]
  14. Yan, G.; Yuan, S.; Tang, H.; Xu, D.; Liu, M.; Whittaker, C.; Gualtieri, C. Hydrodynamic Response of Channel Flow Confluence to the Tributary Floodplain Topography. Water Resour. Res. 2024, 60, e2023WR036244. [Google Scholar] [CrossRef]
  15. Li, B.; Zhang, X.; Tang, H.; Tsubaki, R. Influence of Deflection Angles on Flow Behaviours in Openchannel Bends. J. Mt. Sci. 2018, 15, 2292–2306. [Google Scholar] [CrossRef]
  16. Heller, V. Scale Effects in Physical Hydraulic Engineering Models. J. Hydraul. Res. 2011, 49, 293–306. [Google Scholar] [CrossRef]
  17. Wang, X.; Xu, N.; Yang, J.; Wang, F.; Li, P.; Yang, X.; Shen, X. Analysis of the Impacts of Geometric Factors on Hydraulic Characteristics and Pollutant Transport at Asymmetric River Confluences. Water 2025, 17, 836. [Google Scholar] [CrossRef]
  18. Webb, C.B.; Barfuss, S.L.; Johnson, M.C. Modelling Roughness in Scale Models. J. Hydraul. Res. 2010, 48, 260–264. [Google Scholar] [CrossRef]
  19. Schindfessel, L.; Creëlle, S.; De Mulder, T. Flow Patterns in an Open Channel Confluence with Increasingly Dominant Tributary Inflow. Water 2015, 7, 4724–4751. [Google Scholar] [CrossRef]
  20. Khosravinia, P.; Malekpour, A.; Nikpour, M.R.; Hosseinzadeh Dalir, A. Scour Depth in Confluences Considering Tributary Flow, Bank Slope, and Post-Confluence Conditions. Water Supply 2020, 20, 2389–2399. [Google Scholar] [CrossRef]
  21. Sui, B.; Huang, S. Numerical Analysis of Flow Separation Zone in a Confluent Meander Bend Channel. J. Hydrodyn. Ser. B 2017, 29, 716–723. [Google Scholar] [CrossRef]
  22. Alizadeh, L.; Fernandes, J. Turbulent Flow Structure in a Confluence: Influence of Tributaries Width and Discharge Ratios. Water 2021, 13, 465. [Google Scholar] [CrossRef]
  23. Ramesh, B.; Kothyari, U.C. Turbulence Characteristics in an Open Channel Flow over Transitionally Rough Bed. ISH J. Hydraul. Eng. 2013, 20, 169–176. [Google Scholar] [CrossRef]
  24. Penna, N.; Coscarella, F.; D’Ippolito, A.; Gaudio, R. Bed Roughness Effects on the Turbulence Characteristics of Flows through Emergent Rigid Vegetation. Water 2020, 12, 2401. [Google Scholar] [CrossRef]
  25. Roy, A.G.; Roy, R.; Bergeron, N. Hydraulic Geometry and Changes in Flow Velocity at a River Confluence with Coarse Bed Material. Earth Surf. Process. Landf. 1988, 13, 583–598. [Google Scholar] [CrossRef]
  26. Liu, T.; Fan, B.; Lu, J. Sediment–Flow Interactions at Channel Confluences: A Flume Study. Adv. Mech. Eng. 2015, 7, 1687814015590525. [Google Scholar] [CrossRef]
  27. Biron, P.M.; Lane, S.N. Modelling Hydraulics and Sediment Transport at River Confluences. In River Confluences, Tributaries and the Fluvial Network; John Wiley & Sons: Hoboken, NJ, USA, 2008; pp. 17–43. [Google Scholar]
  28. Leite Ribeiro, M.; Blanckaert, K.; Roy, A.G.; Schleiss, A.J. Flow and Sediment Dynamics in Channel Confluences. J. Geophys. Res. Earth Surf. 2012, 117, F01035. [Google Scholar] [CrossRef]
  29. Behzad, E.; Mohammadian, A.; Rennie, C.D.; Yu, Q. Numerical Simulation of Confluence Flow in a Degraded Bed. Water 2023, 16, 85. [Google Scholar] [CrossRef]
  30. Noori, B.M.A.; Ibrahim, S.S. Effect of Bed and Side Slopes on Flow Measurements in Trapezoidal Free Overfall Channels. Arab. J. Sci. Eng. 2016, 41, 4187–4194. [Google Scholar] [CrossRef]
  31. Wei, L.; Li, W.; Pan, Y.; Li, K.; Yang, K. Secondary Flow Characteristics in Confluent Streams with Vegetation. J. Hydrol. 2024, 640, 131722. [Google Scholar] [CrossRef]
  32. Penna, N.; De Marchis, M.; Canelas, O.; Napoli, E.; Cardoso, A.; Gaudio, R. Effect of the Junction Angle on Turbulent Flow at a Hydraulic Confluence. Water 2018, 10, 469. [Google Scholar] [CrossRef]
  33. Abdel-Mageed, N. Effect of Channel Slope on Hydraulic Jump Characteristics. Phys. Sci. Int. J. 2015, 7, 223–233. [Google Scholar] [CrossRef]
  34. Canelas, O.B.; Ferreira, R.M.L.; Cardoso, A.H. Hydro-Morphodynamics of an Open-Channel Confluence With Bed Discordance at Dynamic Equilibrium. Water Resour. Res. 2022, 58, e2021WR029631. [Google Scholar] [CrossRef]
  35. Ramos, P.X.; Schindfessel, L.; Pêgo, J.P.; De Mulder, T. Flat vs. Curved Rigid-Lid. LES Computations of an Open-Channel Confluence. J. Hydroinformatics 2019, 21, 318–334. [Google Scholar] [CrossRef]
  36. Mosley, M.P. An Experimental Study of Channel Confluences. J. Geol. 1976, 84, 535–562. [Google Scholar] [CrossRef]
  37. Malone, T.R.; Parr, A.D. Bend Losses in Rectangular Culverts; K-TRAN: KU-05-5; Kansas Department of Transportation: Topeka, KS, USA, 2008. [Google Scholar]
  38. Cunge, J.A.; Holly, F.M.; Verwey, A. Practical Aspects of Computational River Hydraulics; Pitman Publishing: London, UK, 1980. [Google Scholar]
  39. Zhou, S.; Pang, C.; Lin, J.; Han, Q.; Luo, Z. Simulation and Experimental Research on the Energy Loss of Confluence Pipelines. Appl. Sci. 2024, 14, 11415. [Google Scholar] [CrossRef]
  40. Nazari-Giglou, A.; Jabbari-Sahebari, A.; Shakibaeinia, A.; Borghei, S.M. An Experimental Study of Sediment Transport in Channel Confluences. Int. J. Sediment Res. 2016, 31, 87–96. [Google Scholar] [CrossRef]
  41. Hidayatulloh, A.; Bahrawi, J. Flood Risk Assessment Under Climate Change Scenarios in the Wadi Ibrahim Watershed. Hydrology 2025, 12, 120. [Google Scholar] [CrossRef]
  42. Iqbal, M.; Dahri, Z.; Querner, E.; Khan, A.; Hofstra, N. Impact of Climate Change on Flood Frequency and Intensity in the Kabul River Basin. Geosciences 2018, 8, 114. [Google Scholar] [CrossRef]
  43. Nazari-Sharabian, M.; Karakouzian, M.; Hayes, D. Flow Topology in the Confluence of an Open Channel with Lateral Drainage Pipe. Hydrology 2020, 7, 57. [Google Scholar] [CrossRef]
  44. De Leo, A.; Ruffini, A.; Postacchini, M.; Colombini, M.; Stocchino, A. The Effects of Hydraulic Jumps Instability on a Natural River Confluence: The Case Study of the Chiaravagna River (Italy). Water 2020, 12, 2027. [Google Scholar] [CrossRef]
  45. Mohsen, A.; Kovács, F.; Mezősi, G.; Kiss, T. Sediment Transport Dynamism in the Confluence Area of Two Rivers Transporting Mainly Suspended Sediment Based on Sentinel-2 Satellite Images. Water 2021, 13, 3132. [Google Scholar] [CrossRef]
Figure 1. Measurement Station Layout.
Figure 1. Measurement Station Layout.
Water 17 02890 g001
Figure 2. Connection of the hydraulic channels with marks (Water Laboratory of the West Pomeranian University of Technology in Szczecin).
Figure 2. Connection of the hydraulic channels with marks (Water Laboratory of the West Pomeranian University of Technology in Szczecin).
Water 17 02890 g002
Figure 3. Examples of outlet–channel junctions at (a) α ≈ 45° and (b) α ≈ 60° on lowland rivers in Poland—typical configurations for hydropower plant discharge connections to the main channel.
Figure 3. Examples of outlet–channel junctions at (a) α ≈ 45° and (b) α ≈ 60° on lowland rivers in Poland—typical configurations for hydropower plant discharge connections to the main channel.
Water 17 02890 g003
Figure 4. Measuring devices: (a) Delft PEMS 30 probe (average component measurement of water velocity v x and v y in the main channel and view of the measuring flume); (b) electromagnetic flow meters by ENKO, type MPP 600 (dn = 32 mm and dn = 100 mm).
Figure 4. Measuring devices: (a) Delft PEMS 30 probe (average component measurement of water velocity v x and v y in the main channel and view of the measuring flume); (b) electromagnetic flow meters by ENKO, type MPP 600 (dn = 32 mm and dn = 100 mm).
Water 17 02890 g004
Figure 5. Research model schemas: (a) node under consideration for α = 45°; (b) node under consideration for α = 60°.
Figure 5. Research model schemas: (a) node under consideration for α = 45°; (b) node under consideration for α = 60°.
Water 17 02890 g005
Figure 6. Distribution of hydrometric verticals for the main channel.
Figure 6. Distribution of hydrometric verticals for the main channel.
Water 17 02890 g006
Figure 7. Location of the PEMS 30 probe sensors above the bed (h1 = 2 cm, h2 = 5 cm, and h3 = 9 cm) for the main channel.
Figure 7. Location of the PEMS 30 probe sensors above the bed (h1 = 2 cm, h2 = 5 cm, and h3 = 9 cm) for the main channel.
Water 17 02890 g007
Figure 8. Tachoids of water velocity distributions for α = 45°, cross-section No. 0-0 (zone “A”) I1 = 0.0011 (a) and cross-section No. 0-0 (zone “A”) I2 = 0.0051 (b).
Figure 8. Tachoids of water velocity distributions for α = 45°, cross-section No. 0-0 (zone “A”) I1 = 0.0011 (a) and cross-section No. 0-0 (zone “A”) I2 = 0.0051 (b).
Water 17 02890 g008
Figure 9. Tachoids of water velocity distributions for α = 45°, cross-section No. 6-6 (zone “B”) I1 = 0.0011 (a) and cross-section No. 6-6 (zone “B”) I2 = 0.0051 (b).
Figure 9. Tachoids of water velocity distributions for α = 45°, cross-section No. 6-6 (zone “B”) I1 = 0.0011 (a) and cross-section No. 6-6 (zone “B”) I2 = 0.0051 (b).
Water 17 02890 g009
Figure 10. Tachoids of water velocity distributions for α = 45°, cross-section No. 4-4 (zone “C”) I1 = 0.0011 (a) and cross-section No. 4-4 (zone “C”) I2 = 0.0051 (b).
Figure 10. Tachoids of water velocity distributions for α = 45°, cross-section No. 4-4 (zone “C”) I1 = 0.0011 (a) and cross-section No. 4-4 (zone “C”) I2 = 0.0051 (b).
Water 17 02890 g010
Figure 11. Tachoids of water velocity distributions for α = 60°, cross-section No. 0-0 (zone “A”) I1 = 0.0011 (a) and cross-section No. 4-4 (zone “A”) I2 = 0.0051 (b).
Figure 11. Tachoids of water velocity distributions for α = 60°, cross-section No. 0-0 (zone “A”) I1 = 0.0011 (a) and cross-section No. 4-4 (zone “A”) I2 = 0.0051 (b).
Water 17 02890 g011
Figure 12. Tachoids of water velocity distributions for α = 60°, cross-section No. 6-6 (zone “B”) I1 = 0.0011 (a) and cross-section No. 6-6 (zone “B”) I2 = 0.0051 (b).
Figure 12. Tachoids of water velocity distributions for α = 60°, cross-section No. 6-6 (zone “B”) I1 = 0.0011 (a) and cross-section No. 6-6 (zone “B”) I2 = 0.0051 (b).
Water 17 02890 g012
Figure 13. Tachoids of water velocity distributions for α = 60°, cross-section No. 4-4 (zone “C”) I1 = 0.0011 (a) and cross-section No. 6-6 (zone “C”) I2 = 0.0051 (b).
Figure 13. Tachoids of water velocity distributions for α = 60°, cross-section No. 4-4 (zone “C”) I1 = 0.0011 (a) and cross-section No. 6-6 (zone “C”) I2 = 0.0051 (b).
Water 17 02890 g013
Figure 14. Dependence of local loss coefficients ζA and ζC on the bed slopes for α = 45°.
Figure 14. Dependence of local loss coefficients ζA and ζC on the bed slopes for α = 45°.
Water 17 02890 g014
Figure 15. Dependence of local loss coefficients ζA and ζC on the bed slopes for α = 60°.
Figure 15. Dependence of local loss coefficients ζA and ζC on the bed slopes for α = 60°.
Water 17 02890 g015
Table 1. Summary of assumptions for the experiment.
Table 1. Summary of assumptions for the experiment.
NoQ1Q2I
m3/hm3/h-
for α1 = 45°
1 7.30 16.2 0.0011
2 7.40 16.4 0.0051
3 7.40 16.0 0.0032
for α2 = 60°
4 7.10 15.3 0.0011
5 7.05 15.2 0.0051
6 7.10 15.4 0.0032
Table 2. Summary of maximum and average velocities for zone C in the laboratory model.
Table 2. Summary of maximum and average velocities for zone C in the laboratory model.
α [°]v [m/s]I [-]
0.00110.00320.0051
45 v mean 0.1999 0.2234 0.2299
v max 0.2163 0.2385 0.2522
60 v mean 0.2240 0.2427 0.2540
v max 0.2407 0.2616 0.2751
Table 3. Average values of local loss coefficients ζA and ζC at slope I1 = 0.0011 and α = 45°.
Table 3. Average values of local loss coefficients ζA and ζC at slope I1 = 0.0011 and α = 45°.
Cross-SectionIAngleLocal Loss CoefficientsEnergy of the Stream
No.Zone “B”Zone “C”Zone “A”[-] α [°]ζCζAEC [m]EB [m]
16-64-40-00.001145 0.6565 0.5999 0.1735 0.1729
26-60-00-00.001145 0.3180 0.4024 0.1732 0.1729
36-64-412-120.001145 0.6565 0.5999 0.1735 0.1729
46-60-012-120.001145 0.3180 0.4024 0.1732 0.1729
Mean: 0.4872 0.5011 0.1733 0.1729
Table 4. Average values of local loss coefficients ζA and ζC at slope I3 = 0.0032 and α = 45°.
Table 4. Average values of local loss coefficients ζA and ζC at slope I3 = 0.0032 and α = 45°.
Cross-SectionIAngleLocal Loss CoefficientsEnergy of the Stream
No.Zone “B”Zone “C”Zone “A”[-] α [°]ζCζAEC [m]EB [m]
16-64-40-00.003245 0.7144 0.6612 0.1592 0.1584
26-60-00-00.003245 0.4334 0.4941 0.1589 0.1584
36-64-412-120.003245 0.7144 0.8305 0.1592 0.1584
46-60-012-120.003245 0.4334 0.6626 0.1589 0.1584
Mean: 0.5739 0.6621 0.1590 0.1584
Table 5. Average values of local loss coefficients ζA and ζC at slope I2 = 0.0051 and α = 45°.
Table 5. Average values of local loss coefficients ζA and ζC at slope I2 = 0.0051 and α = 45°.
Cross-SectionIAngleLocal Loss CoefficientsEnergy of the Stream
No.Zone “B”Zone “C”Zone “A”[-] α [°]ζCζAEC [m]EB [m]
1 6-6 4-4 0-0 0.0051 45 0.7343 1.0000 0.1554 0.1545
2 6-6 0-0 0-0 0.0051 45 0.4729 0.8456 0.1551 0.1545
3 6-6 4-4 12-12 0.0051 45 0.7343 0.6901 0.1554 0.1545
4 6-6 0-0 12-12 0.0051 45 0.4729 0.5374 0.1551 0.1545
Mean: 0.6036 0.7683 0.1552 0.1545
Table 6. Average values of local loss coefficients ζA and ζC at slope I1 = 0.0011 and α = 60°.
Table 6. Average values of local loss coefficients ζA and ζC at slope I1 = 0.0011 and α = 60°.
Cross-SectionIAngleLocal Loss CoefficientsEnergy of the Stream
No.Zone “B”Zone “C”Zone “A”[-] α [°]ζCζAEC [m]EB [m]
16-64-40-00.001160 0.2248 0.0897 0.1574 0.1576
26-60-00-00.001160 0.5188 0.0872 0.1570 0.1576
36-64-412-120.001160 0.2248 0.4545 0.1574 0.1576
46-60-012-120.001160 0.2195 0.6286 0.1570 0.1573
Mean: 0.2969 0.3150 0.1572 0.1575
Table 7. Average values of local loss coefficients ζA and ζC at slope I3 = 0.0032 and α = 60°.
Table 7. Average values of local loss coefficients ζA and ζC at slope I3 = 0.0032 and α = 60°.
Cross-SectionIAngleLocal Loss CoefficientsEnergy of the Stream
No.Zone “B”Zone “C”Zone “A”[-] α [°]ζCζAEC [m]EB [m]
16-64-40-00.003260 0.4827 0.2145 0.1451 0.1445
26-60-00-00.003260 0.2236 0.0682 0.1454 0.1451
36-64-412-120.003260 0.4870 0.6965 0.1451 0.1445
46-60-012-120.003260 0.2300 0.8475 0.1454 0.1451
Mean: 0.3558 0.4567 0.1451 0.1445
Table 8. Average values of local loss coefficients ζA and ζC at slope I2 = 0.0051 and α = 60°.
Table 8. Average values of local loss coefficients ζA and ζC at slope I2 = 0.0051 and α = 60°.
Cross-SectionIAngleLocal Loss CoefficientsEnergy of the Stream
No.Zone “B”Zone “C”Zone “A”[-] α [°]ζCζAEC [m]EB [m]
16-64-40-00.005160 0.0907 0.3228 0.1367 0.1366
26-60-00-00.005160 0.7663 0.7246 0.1377 0.1366
36-64-412-120.005160 0.1056 0.5960 0.1367 0.1366
46-60-012-120.005160 0.7701 1.0000 0.1377 0.1366
Mean: 0.4332 0.6609 0.1372 0.1366
Table 9. Example energy loss values for flow through a lateral inflow into a main channel, developed based on the work in [38].
Table 9. Example energy loss values for flow through a lateral inflow into a main channel, developed based on the work in [38].
Type of ConfluenceEnergy Loss
Coefficient ζ [-]
Remarks
Minor confluence
(angle < 45°, similar flow rates)
0.1–0.3Minor energy losses
Moderate confluence
(angle 45–90°, different flow rates)
0.3–0.6Typical for engineered channels
Strong confluence
(angle > 90°, large lateral inflow)
0.6–1.0 or moreHigh turbulence, shock waves
Table 10. Energy loss coefficient ζ for a 60° junction (modeled as total energy loss at the node), developed based on the work in [37].
Table 10. Energy loss coefficient ζ for a 60° junction (modeled as total energy loss at the node), developed based on the work in [37].
Qb/Qg RatioEstimated Loss Factor ζ [-]Flow Characteristics
0.1–0.30.15–0.30Minor confluence, slight lateral inflow
0.3–0.60.30–0.50Moderate confluence, visible disturbance
0.6–1.00.50–0.70Significant lateral inflow, strong turbulence, possible shock wave
>1.00.70–1.00+Dominant lateral inflow, very strong turbulence
Table 11. Energy loss coefficient ζ for a 45° junction (modeled as total energy loss at the node), developed based on the work in [37].
Table 11. Energy loss coefficient ζ for a 45° junction (modeled as total energy loss at the node), developed based on the work in [37].
Qb/Qg RatioEstimated Loss Factor ζ [-]Flow Characteristics
0.1–0.30.20–0.35Minor disturbance in the main flow; moderate energy losses; local turbulence
0.3–0.60.35–0.55Disturbed flow; formation of vortices and secondary circulation in the confluence area
0.6–1.00.55–0.75Strong interaction between flows; intense vortices and energy losses
>1.00.75–0.90Dominant lateral inflow; maximum energy losses; unstable velocity and flow direction patterns
Disclaimer/Publisher’s Note: The statements, opinions and data contained in all publications are solely those of the individual author(s) and contributor(s) and not of MDPI and/or the editor(s). MDPI and/or the editor(s) disclaim responsibility for any injury to people or property resulting from any ideas, methods, instructions or products referred to in the content.

Share and Cite

MDPI and ACS Style

Mokrzycka-Olek, A.; Kałuża, T.; Hämmerling, M. Impact of Channel Confluence Geometry on Water Velocity Distributions in Channel Junctions with Inflows at Angles α = 45° and α = 60°. Water 2025, 17, 2890. https://doi.org/10.3390/w17192890

AMA Style

Mokrzycka-Olek A, Kałuża T, Hämmerling M. Impact of Channel Confluence Geometry on Water Velocity Distributions in Channel Junctions with Inflows at Angles α = 45° and α = 60°. Water. 2025; 17(19):2890. https://doi.org/10.3390/w17192890

Chicago/Turabian Style

Mokrzycka-Olek, Aleksandra, Tomasz Kałuża, and Mateusz Hämmerling. 2025. "Impact of Channel Confluence Geometry on Water Velocity Distributions in Channel Junctions with Inflows at Angles α = 45° and α = 60°" Water 17, no. 19: 2890. https://doi.org/10.3390/w17192890

APA Style

Mokrzycka-Olek, A., Kałuża, T., & Hämmerling, M. (2025). Impact of Channel Confluence Geometry on Water Velocity Distributions in Channel Junctions with Inflows at Angles α = 45° and α = 60°. Water, 17(19), 2890. https://doi.org/10.3390/w17192890

Note that from the first issue of 2016, this journal uses article numbers instead of page numbers. See further details here.

Article Metrics

Back to TopTop