Integrated Analysis of Heavy-Metal Pollution in Three Gorges Reservoir Sediments: Spatial Distribution, Source Apportionment, and Ecological Risk Assessment
Abstract
1. Introduction
2. Materials and Methods
2.1. Study Area
2.2. Sample Collection and Analytical Procedures
2.3. Heavy Metal Contamination Assessment Methods
2.3.1. Geo-Accumulation Index (Igeo)
2.3.2. Potential Ecological Risk Index (RI)
2.3.3. Sediment Quality Guidelines (SQGs)
2.4. Sample Analysis and Data Processing
3. Results
3.1. Hydrochemical Characteristics and Spatial Distribution of Heavy Metals in the Study Area
3.1.1. Hydrochemical Characteristics of Study Area
3.1.2. Statistical Characteristics of Sedimentary Metal Concentrations
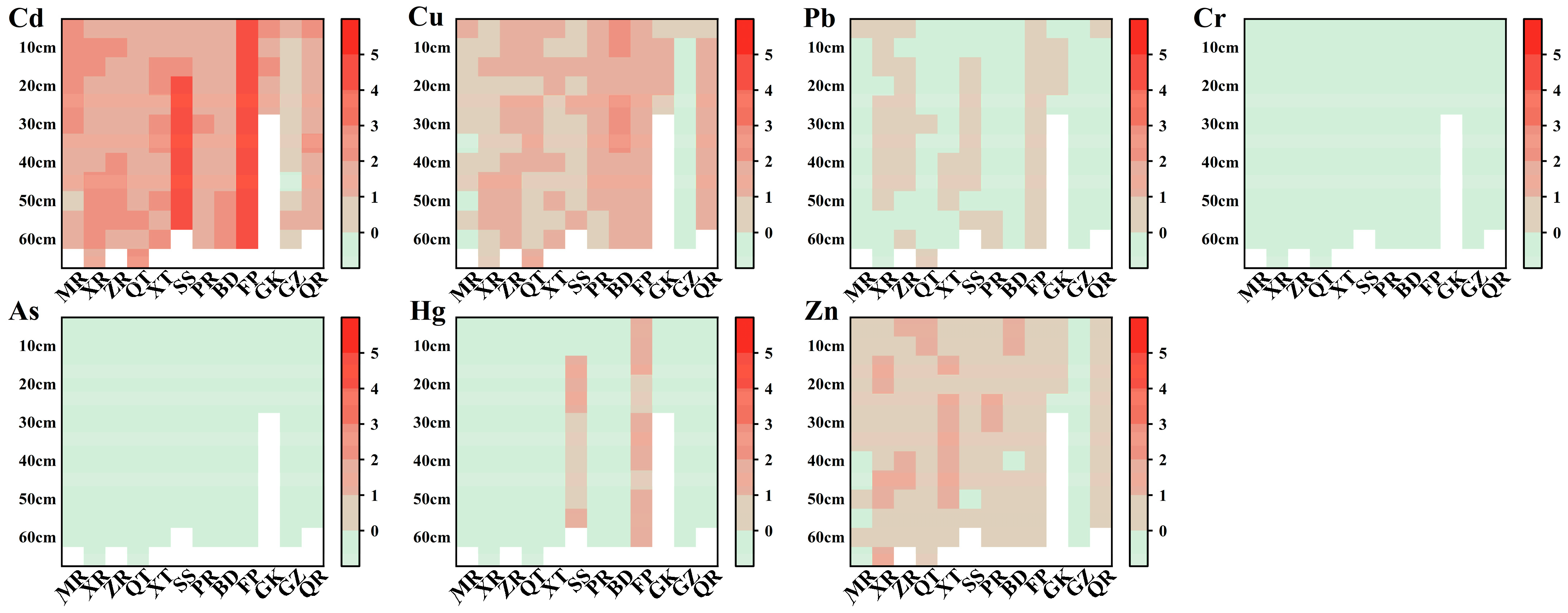
3.1.3. Vertical Distribution Patterns of Heavy Metals in Sediments
3.2. Source Apportionment of Heavy Metals in Sediments
3.2.1. Correlation Analysis Between Sediment Metals and Water Physicochemical Properties
3.2.2. Inter-Element Correlation Analysis
3.2.3. Principal Component Analysis and Source Identification
3.3. Ecological Risk Assessment of Heavy Metal in Sediments
3.3.1. Geo-Accumulation Index (Igeo) Assessment
3.3.2. Potential Ecological Risk Index (RI) Assessment
3.3.3. Sediment Quality Guidelines (SQGs) Assessment
4. Discussion
5. Conclusions
Author Contributions
Funding
Data Availability Statement
Acknowledgments
Conflicts of Interest
References
- Xu, D.; Gao, B.; Wan, X.; Peng, W.; Zhang, B. Influence of catastrophic flood on microplastics organization in surface water of the three gorges reservoir, China. Water Res. 2022, 211, 118018. [Google Scholar] [CrossRef]
- Yang, Y.; Chen, T.; Liu, X.; Wang, S.; Wang, K.; Xiao, R.; Chen, X.; Zhang, T. Ecological risk assessment and environment carrying capacity of soil pesticide residues in vegetable ecosystem in the three gorges reservoir area. J. Hazard. Mater. 2022, 435, 128987. [Google Scholar] [CrossRef]
- Guo, J.; Xie, Y.; Guan, A.; Qi, W.; Cao, X.; Peng, J.; Liu, H.; Wu, X.; Li, C.; Wang, D.; et al. Dam construction reshapes sedimentary pollutant distribution along the yangtze river by regulating sediment composition. Environ. Pollut. 2023, 316, 120659. [Google Scholar] [CrossRef] [PubMed]
- Liu, S.; Liao, Q.; Xiao, M.; Zhao, D.; Huang, C. Spatial and temporal variations of habitat quality and its response of landscape dynamic in the three gorges reservoir area, China. Int. J. Environ. Res. Public Health 2022, 19, 3594. [Google Scholar] [CrossRef]
- Gao, L.; Gao, B.; Xu, D.; Peng, W.; Lu, J. Multiple assessments of trace metals in sediments and their response to the water level fluctuation in the three gorges reservoir, China. Sci. Total Environ. 2019, 648, 197–205. [Google Scholar] [CrossRef]
- Chen, Z.; Zhou, Z.; Peng, X.; Xiang, H.; Xiang, S.; Jiang, Z. Effects of wet and dry seasons on the aquatic bacterial community structure of the three gorges reservoir. World J. Microbiol. Biotechnol. 2013, 29, 841–853. [Google Scholar] [CrossRef]
- Zhang, S.; Li, X.; He, D.; Zhang, D.; Zhao, Z.; Si, H.; Wang, F. Per- and poly-fluoroalkyl substances in sediments from the water-level-fluctuation zone of the three gorges reservoir, China: Contamination characteristics, source apportionment, and mass inventory and loadings. Environ. Pollut. 2022, 299, 118895. [Google Scholar] [CrossRef]
- Schenk, L.; Bragg, H. Sediment transport, turbidity, and dissolved oxygen responses to annual streambed drawdowns for downstream fish passage in a flood control reservoir. J. Environ. Manag. 2021, 295, 113068. [Google Scholar] [CrossRef]
- Chen, Y.; Gao, B.; Xu, D.; Sun, K.; Li, Y. Catchment-wide flooding significantly altered microplastics organization in the hydro-fluctuation belt of the reservoir. iScience 2022, 25, 104401. [Google Scholar] [CrossRef] [PubMed]
- Li, Y.; Cheng, X.; Liu, K.; Yu, Y.; Zhou, Y. A new method for identifying potential hazardous areas of heavy metal pollution in sediments. Water Res. 2022, 224, 119065. [Google Scholar] [CrossRef] [PubMed]
- Jiang, T.; Wang, D.; Wei, S.; Yan, J.; Liang, J.; Chen, X.; Liu, J.; Wang, Q.; Lu, S.; Gao, J.; et al. Influences of the alternation of wet-dry periods on the variability of chromophoric dissolved organic matter in the water level fluctuation zone of the three gorges reservoir area, China. Sci. Total Environ. 2018, 636, 249–259. [Google Scholar] [CrossRef]
- Labianca, C.; De Gisi, S.; Todaro, F.; Notarnicola, M.; Bortone, I. A review of the in-situ capping amendments and modeling approaches for the remediation of contaminated marine sediments. Sci. Total Environ. 2022, 806, 151257. [Google Scholar] [CrossRef]
- Dhineka, K.; Kaviarasan, T.; Sambandam, M.; Hoehn, D.P.; Sivyer, D.; Bakir, A.; Marigoudar, S.R.; Mishra, P. Coastal lagoon’s dual role as a sink and source for microplastics: A case study from India. Mar. Pollut. Bull. 2025, 211, 117480. [Google Scholar] [CrossRef]
- Zhang, X.; Huang, Y. Spatial evolution, influencing factors and spillover effects of logistics resilience in the Yangtze River Economic Belt. PLoS ONE 2024, 19, e0303639. [Google Scholar] [CrossRef] [PubMed]
- Tang, S.; Yang, K.; Liu, F.; Peng, M.; Li, K.; Yang, Z.; Liu, X.; Guo, F.; Ma, H. Overview of heavy metal pollution and health risk assessment of urban soils in Yangtze River Economic Belt, China. Environ. Geochem. Health 2022, 44, 4455–4497. [Google Scholar] [CrossRef]
- Zhao, X.; Gao, B.; Xu, D.; Gao, L.; Yin, S. Heavy metal pollution in sediments of the largest reservoir (three gorges reservoir) in China: A review. Environ. Sci. Pollut. Res. 2017, 24, 20844–20858. [Google Scholar] [CrossRef]
- Zhang, X.; Zhu, B. Changes of riparian soil-plant system phosphorus responding to hydrological alternations of three gorges reservoir. Sci. Rep. 2025, 15, 5629. [Google Scholar] [CrossRef] [PubMed]
- Holbach, A.; Wang, L.; Chen, H.; Hu, W.; Schleicher, N.; Zheng, B.; Norra, S. Water mass interaction in the confluence zone of the daning river and the yangtze river—A driving force for algal growth in the three gorges reservoir. Environ. Sci. Pollut. Res. 2013, 20, 7027–7037. [Google Scholar] [CrossRef]
- Muller, G. Index of geoaccumulation in sediments of the Rhine River. GeoJournal 1969, 2, 109–118. [Google Scholar]
- Hakanson, L. An ecological risk index for aquatic pollution control: A sedimentological approach. Water Res. 1980, 14, 975–1001. [Google Scholar] [CrossRef]
- Liang, A.; Wang, Y.; Guo, H.; Bo, L.; Zhang, S.; Bai, Y. Assessment of pollution and identification of sources of heavy metals in the sediments of changshou lake in a branch of the three gorges reservoir. Environ. Sci. Pollut. Res. 2015, 22, 16067–16076. [Google Scholar] [CrossRef]
- Herath, I.K.; Wu, S.; Ma, M.; Ping, H. Heavy metal toxicity, ecological risk assessment, and pollution sources in a hydropower reservoir. Environ. Sci. Pollut. Res. 2022, 29, 32929–32946. [Google Scholar] [CrossRef] [PubMed]
- Zhang, M.; Cheng, L.; Yue, Z.; Peng, L.; Xiao, L. Assessment of heavy metal(oid) pollution and related health risks in agricultural soils surrounding a coal gangue dump from an abandoned coal mine in Chongqing, Southwest China. Sci. Rep. 2024, 14, 18667. [Google Scholar] [CrossRef] [PubMed]
- Li, Y.; Zhang, J.; Song, N.; Wang, Y.; Yu, J.; He, L.; Yang, R.; Yang, L.; He, D. Assessment of health risk and identification of pollution sources of heavy metals in water in Chongqing’s wastewater treatment plants based on ICP-MS. Environ. Pollut. 2025, 373, 126193. [Google Scholar] [CrossRef] [PubMed]
- Zhang, J.; Liu, Z.; Tian, B.; Li, J.; Luo, J.; Wang, X.; Ai, S.; Wang, X. Assessment of soil heavy metal pollution in provinces of China based on different soil types: From normalization to soil quality criteria and ecological risk assessment. J. Hazard. Mater. 2023, 441, 129891. [Google Scholar] [CrossRef]
- Zhang, Y.; Yi, L.; Xie, B.; Li, J.; Xiao, J.; Xie, J.; Liu, Z. Analysis of ecological quality changes and influencing factors in Xiangjiang river basin. Sci. Rep. 2023, 13, 4375. [Google Scholar] [CrossRef]
- Li, R.; Jin, W. The role of the Yangtze River protection law in the emergence of adaptive water governance in China. Ecol. Soc. 2023, 28, art32. [Google Scholar] [CrossRef]
- Liu, D. Overall ideas and solutions for formulation of water-related laws and regulations in the Yangtze River basin in the new era. China Water Res. 2025, 28, 7–12. [Google Scholar]
- Wang, K.; Pang, Y.; Gao, C.; Chen, L.; Jiang, X.; Li, P.; He, C.; Shi, Q.; He, D. Hydrological management affected dissolved organic matter chemistry and organic carbon burial in the three gorges reservoir. Water Res. 2021, 199, 117195. [Google Scholar] [CrossRef]
- Chen, X.; Luo, Z.; Wang, Z.; Zhang, W.; Wang, T.; Su, X.; Zeng, C.; Li, Z. Trade-offs between grain supply and soil conservation in the grain for green program under changing climate: A case study in the three gorges reservoir region. Sci. Total Environ. 2024, 945, 173786. [Google Scholar] [CrossRef]
- Tang, Q.; Bao, Y.; He, X.; Zhou, H.; Cao, Z.; Gao, P.; Zhong, R.; Hu, Y.; Zhang, X. Sedimentation and associated trace metal enrichment in the riparian zone of the three gorges reservoir, China. Sci. Total Environ. 2014, 479–480, 258–266. [Google Scholar] [CrossRef]
- Naz, F.; Arif, M.; Xue, T.; Chen, Y.; Khan, S.U.; Li, C. Bacterial communities and soil functionality in artificially remediated vegetation of the three gorges reservoir zone. Front. Plant Sci. 2025, 16, 1550306. [Google Scholar] [CrossRef]
- Jiang, W.; Li, W.; Zhou, J.; Wang, P.; Xiao, H. Drone-based investigation of natural restoration of vegetation in the water level fluctuation zone of cascade reservoirs in Jinsha River. Sci. Rep. 2022, 12, 12895. [Google Scholar] [CrossRef]
- Zhe, S.; Li, W.; Wan, Y.; Wang, L.; Du, H.; Xiao, Y.; Yang, S. Dynamic response of fish community to hydrologic regime alteration in the upper reaches of the Yangtze River. Environ. Monit. Assess. 2025, 197, 636. [Google Scholar] [CrossRef]
- Wang, S.; Li, H.; Wei, X.; Zhu, N.; Sun, P.; Xia, L.; Tang, C.; Han, Q.; Zhang, G.; Liu, C.; et al. Dam construction as an important anthropogenic activity disturbing soil organic carbon in affected watersheds. Environ. Sci. Technol. 2020, 54, 7932–7941. [Google Scholar] [CrossRef]
- SL 219-2013; Regulation for Water Environmental Monitoring. Ministry of Water Resources of the People’s Republic of China: Beijing, China, 2013.
- HJ 803-2016; Soil and Sediment—Determination of Aqua Regia Extracts of 12 Metal Elements—Inductively Coupled Plasma Mass Spectrometry. Ministry of Ecology and Environment of the People’s Republic of China: Beijing, China, 2016.
- Chen, W.; Fan, X.; Guo, C.; Song, X.; Liu, Y.; Xv, N. Determination of iron content in high purity rare earth by inductively coupled plasma-tandem mass spectrometry. Fenxi Huaxue 2019, 47, 403–409. [Google Scholar]
- HJ 680-2013; Soil and Sediment—Determination of Mercury, Arsenic, Selenium, Bismuth, Antimony—Microwave Dissolution/Atomic Fluorescence Spectrometry. Ministry of Ecology and Environment of the People’s Republic of China: Beijing, China, 2013.
- Akoto, O.; Yakubu, S.; Ofori, L.A.; Bortey-Sam, N.; Boadi, N.O.; Horgah, J.; Sackey, L.N.A. Multivariate studies and heavy metal pollution in soil from gold mining area. Heliyon 2023, 9, e12661. [Google Scholar] [CrossRef] [PubMed]
- Duncan, A.E.; de Vries, N.; Nyarko, K.B. Assessment of heavy metal pollution in the sediments of the river pra and its tributaries. Water Air Soil Pollut. 2018, 229, 272. [Google Scholar] [CrossRef] [PubMed]
- Hossain, M.B.; Masum, Z.; Rahman, M.S.; Yu, J.; Noman, M.A.; Jolly, Y.N.; Begum, B.A.; Paray, B.A.; Arai, T. Heavy metal accumulation and phytoremediation potentiality of some selected mangrove species from the world’s largest mangrove forest. Biology 2022, 11, 1144. [Google Scholar] [CrossRef] [PubMed]
- Qin, Y.; Zhang, F.; Xue, S.; Ma, T.; Yu, L. Heavy metal pollution and source contributions in agricultural soils developed from Karst Landform in the Southwestern Region of China. Toxics 2022, 10, 568. [Google Scholar] [CrossRef]
- Rozanski, S.L.; Kwasowski, W.; Castejon, J.M.P.; Hardy, A. Heavy metal content and mobility in urban soils of public playgrounds and sport facility areas, Poland. Chemosphere 2018, 212, 456–466. [Google Scholar] [CrossRef]
- Tang, J.; Zhong, Y.; Wang, L. Background value of soil heavy metal in the three gorges reservoir district. Chin. J. Eco-Agric. 2008, 16, 848–852. [Google Scholar] [CrossRef]
- Ebrahimi-Khusfi, Z.; Zandifar, S.; Ebrahimi-Khusfi, M.; Tavakoli, V. Heavy metal mapping, source identification, and ecological risk assessment in the International Hamoun wetland, Sistan region, Iran. Environ. Sci. Pollut. Res. 2023, 30, 29321–29335. [Google Scholar] [CrossRef]
- Jin, X.; Liu, J.; Wang, L.; Yu, X.; Wang, J.; Jin, Y.; Qiu, S.; Liu, J.; Zhao, Y.; Sun, S. Distribution characteristics and ecological risk assessment of heavy metal pollution in seawater near the Yellow River Estuary of Laizhou Bay. Mar. Environ. Res. 2025, 203, 106776. [Google Scholar] [CrossRef]
- Qian, L.; Shi, Y.; Xu, Q.; Zhou, X.; Li, X.; Shao, X.; Xu, C.; Liang, R. A prospective ecological risk assessment method based on exposure and ecological scenarios (ERA-EES) to determine soil ecological risks around metal mining areas. Sci. Total Environ. 2023, 901, 166371. [Google Scholar] [CrossRef]
- Pan, L.; Ma, J.; Hu, Y.; Su, B.; Fang, G.; Wang, Y.; Wang, Z.; Wang, L.; Xiang, B. Assessments of levels, potential ecological risk, and human health risk of heavy metals in the soils from a typical county in Shanxi province, China. Environ. Sci. Pollut. Res. 2016, 23, 19330–19340. [Google Scholar] [CrossRef]
- How, C.M.; Kuo, Y.; Huang, M.; Liao, V.H. Assessing the ecological risk and ecotoxicity of the microbially mediated restoration of heavy metal-contaminated river sediment. Sci. Total Environ. 2023, 858, 159732. [Google Scholar] [CrossRef]
- Costa-Boddeker, S.; Thuyen, L.X.; Hoelzmann, P.; de Stigter, H.C.; van Gaever, P.; Huy, H.D.; Schwalb, A. The hidden threat of heavy metal pollution in high sedimentation and highly dynamic environment: Assessment of metal accumulation rates in the Thi Vai Estuary, Southern Vietnam. Environ. Pollut. 2018, 242, 348–356. [Google Scholar] [CrossRef]
- Ekoko Eric, B.; Etutu, M.E.M.M.; Adama, A.; Salomon Betrant, B.; Esue, M.F.; Mengu, E.E.J.; Njeck Rexon, A.J. Trace metal geochemistry sediments from the Dibamba River, SW Cameroon: Implication for heavy metal assessment and origin. Heliyon 2023, 9, e18866. [Google Scholar] [CrossRef] [PubMed]
- El-Said, G.F.; Draz, S.E.O.; El-Sadaawy, M.M.; Moneer, A.A. Sedimentology, geochemistry, pollution status and ecological risk assessment of some heavy metals in surficial sediments of an Egyptian lagoon connecting to the Mediterranean Sea. J. Environ. Sci. Health Part A Toxic/Hazard. Subst. Environ. Eng. 2014, 49, 1029–1044. [Google Scholar] [CrossRef] [PubMed]
- Yao, X.; Luo, K.; Niu, Y.; Li, Y.; Ren, B. Ecological risk from toxic metals in sediments of the Yangtze, Yellow, Pearl, and Liaohe Rivers, China. Bull. Environ. Contam. Toxicol. 2021, 107, 140–146. [Google Scholar] [CrossRef] [PubMed]
- Hu, H.; Wei, R.; Zerizghi, T.; Du, C.; Zhao, C.; Wang, Z.; Zhang, J.; Tan, Q.; Guo, Q. Control mechanisms of water chemistry based on long-term analyses of the Yangtze River. Sci. Total Environ. 2023, 892, 164713. [Google Scholar] [CrossRef]
- Wei, X.; Wang, S.; Ji, H.; Shi, Z. Strontium isotopes reveal weathering processes in lateritic covers in southern China with implications for paleogeographic reconstructions. PLoS ONE 2018, 13, e0191780. [Google Scholar] [CrossRef]
- Zhong, Q.; Chen, H.; Liu, L.; He, Y.; Zhu, D.; Jiang, L.; Zhan, W.; Hu, J. Water table drawdown shapes the depth-dependent variations in prokaryotic diversity and structure in Zoige Peatlands. FEMS Microbiol. Ecol. 2017, 93, fix049. [Google Scholar] [CrossRef]
- Wang, L.; Mao, X.; Song, X.; Wei, X.; Yu, H.; Xie, S.; Zhang, L.; Tang, W. Non-negligible ecological risks of urban wetlands caused by cd and hg on the Qinghai-Tibet Plateau, China. Toxics 2023, 11, 654. [Google Scholar] [CrossRef]
- Dolezalova Weissmannova, H.; Mihocova, S.; Chovanec, P.; Pavlovsky, J. Potential ecological risk and human health risk assessment of heavy metal pollution in industrial affected soils by coal mining and metallurgy in Ostrava, Czech Republic. Int. J. Environ. Res. Public Health 2019, 16, 4495. [Google Scholar] [CrossRef]
- Yao, Q.; Wang, X.; Jian, H.; Chen, H.; Yu, Z. Behavior of suspended particles in the changjiang estuary: Size distribution and trace metal contamination. Mar. Pollut. Bull. 2016, 103, 159–167. [Google Scholar] [CrossRef]
- Parvez, S.M.; Huda, M.M.; Rahman, M.; Jahan, F.; Fujimura, M.; Hasan, S.S.; Hares, A.; Islam, Z.; Raqib, R.; Knibbs, L.D.; et al. Hormonal, liver, and renal function associated with electronic waste (e-waste) exposure in Dhaka, Bangladesh. Toxicology 2024, 505, 153833. [Google Scholar] [CrossRef]
- Mimba, M.E.; Ohba, T.; Nguemhe Fils, S.C.; Nforba, M.T.; Numanami, N.; Bafon, T.G.; Aka, F.T.; Suh, C.E. Regional geochemical baseline concentration of potentially toxic trace metals in the mineralized Lom Basin, East Cameroon: A tool for contamination assessment. Geochem. Trans. 2018, 19, 11. [Google Scholar] [CrossRef] [PubMed]
- Hussain, S.M.; Anbalagan, S.; Kumar, K.S.; Neelavannan, K.; Pradhap, D.; Radhakrishnan, K.; Godson, P.S.; Krishnakumar, S. A baseline study on elemental concentration and potential ecological risk status of the surface sediments of Ashtamudi Lake, south west coast of India. Mar. Pollut. Bull. 2020, 158, 111410. [Google Scholar] [CrossRef] [PubMed]
- Kang, T.; Yang, H.J.; Han, J.H.; Han, Y.; Kim, M.; Kim, J.; Hwang, S.H.; Na, E.H.; Chang, Y. Identifying pollution sources of sediment in lake Jangseong, Republic of Korea, through an extensive survey: Internal disturbances of past aquaculture sedimentation. Environ. Pollut. 2022, 306, 119403. [Google Scholar] [CrossRef]
- Liu, C.; Guo, H.; Yan, S.; Wang, Y. Control of paleoclimate and paleoweathering on chromium contents in a non-ultramafic aquifer hosting high chromium groundwater. Environ. Geochem. Health 2024, 46, 316. [Google Scholar] [CrossRef]
- Ma, Y.; Yang, C.; Liu, Z.; Han, C.; Qin, Y. Arsenic mobilization across the sediment-water interface of the three gorges reservoir as a function of water depth using DGT and HR-peepers, a preliminary study. Ecotoxicol. Environ. Saf. 2024, 276, 116276. [Google Scholar] [CrossRef] [PubMed]
- Islam, M.A.; Das, B.; Quraishi, S.B.; Khan, R.; Naher, K.; Hossain, S.M.; Karmaker, S.; Latif, S.A.; Hossen, M.B. Heavy metal contamination and ecological risk assessment in water and sediments of the Halda River, Bangladesh: A natural fish breeding ground. Mar. Pollut. Bull. 2020, 160, 111649. [Google Scholar] [CrossRef]
- Kumar, V.; Sharma, A.; Kaur, P.; Singh Sidhu, G.P.; Bali, A.S.; Bhardwaj, R.; Thukral, A.K.; Cerda, A. Pollution assessment of heavy metals in soils of India and ecological risk assessment: A state-of-the-art. Chemosphere 2019, 216, 449–462. [Google Scholar] [CrossRef] [PubMed]
- Raj, D.; Maiti, S.K. Sources, bioaccumulation, health risks and remediation of potentially toxic metal(loid)s (As, Cd, Cr, Pb And Hg): An epitomised review. Environ. Monit. Assess. 2020, 192, 108. [Google Scholar] [CrossRef]
- Zhang, Z.; Yu, N.; Liu, D.; Zhang, Y. Assessment and source analysis of heavy metal contamination in water and surface sediment in Dongping Lake, China. Chemosphere 2022, 307, 136016. [Google Scholar] [CrossRef] [PubMed]
- Sun, W.; Yang, K.; Li, R.; Chen, T.; Xia, L.; Sun, X.; Wang, Z. Distribution characteristics and ecological risk assessment of heavy metals in sediments of shahe reservoir. Sci. Rep. 2022, 12, 16239. [Google Scholar] [CrossRef]
- Wang, F.; Yu, Z.; Zhang, Y.; Ni, R.; Li, Z.; Li, S.; Song, N.; Liu, J.; Zong, H.; Jiao, W.; et al. Source-risk and uncertainty assessment of trace metals in surface sediments of a human-dominated seaward catchment in Eastern China. J. Hazard. Mater. 2024, 480, 135960. [Google Scholar] [CrossRef]
- Matys Grygar, T.; Popelka, J. Revisiting geochemical methods of distinguishing natural concentrations and pollution by risk elements in fluvial sediments. J. Geochem. Explor. 2016, 170, 39–57. [Google Scholar] [CrossRef]
- de Souza, V.B.; Hollas, C.E.; Bortoli, M.; Manosso, F.C.; de Souza, D.Z. Heavy metal contamination in soils of a decommissioned landfill southern brazil: Ecological and health risk assessment. Chemosphere 2023, 339, 139689. [Google Scholar] [CrossRef] [PubMed]
- Tnoumi, A.; Angelone, M.; Armiento, G.; Caprioli, R.; Crovato, C.; De Cassan, M.; Montereali, M.R.; Nardi, E.; Parrella, L.; Proposito, M.; et al. Heavy metal content and potential ecological risk assessment of sediments from Khnifiss Lagoon National Park (Morocco). Environ. Monit. Assess. 2022, 194, 356. [Google Scholar] [CrossRef] [PubMed]
- Ota, Y.; Suzuki, A.; Yamaoka, K.; Nagao, M.; Tanaka, Y.; Irizuki, T.; Fujiwara, O.; Yoshioka, K.; Kawagata, S.; Kawano, S.; et al. Geochemical distribution of heavy metal elements and potential ecological risk assessment of matsushima bay sediments during 2012–2016. Sci. Total Environ. 2021, 751, 141825. [Google Scholar] [CrossRef]
- Wei, Y.; Ding, D.; Qu, K.; Sun, J.; Cui, Z. Ecological risk assessment of heavy metal pollutants and total petroleum hydrocarbons in sediments of the Bohai sea, China. Mar. Pollut. Bull. 2022, 184, 114218. [Google Scholar] [CrossRef] [PubMed]











| Methods and Standards | Analytes Determination | Detection Limits (mg·kg−1) |
|---|---|---|
| Soil and sediment—Determination of aqua regia extracts of 12 metal elements-Inductively coupled plasma mass spectrometry (HJ 803-2016) [37] | Cd | 0.09 |
| Cu | 0.6 | |
| Pb | 2 | |
| Fe | 68 [38] | |
| Mn | 0.4 | |
| Cr | 2 | |
| Zn | 1 | |
| Soil and sediment—Determination of mercury, arsenic, selenium, bismuth, antimony-Microwave dissolution/Atomic Fluorescence Spectrometry (HJ 680-2013) [39] | As | 0.01 |
| Hg | 0.002 |
| Heavy Metals | Cd | Cu | Pb | Cr | As | Hg | Zn |
|---|---|---|---|---|---|---|---|
| Background Values (mg·kg−1) | 0.134 | 25.00 | 23.88 | 78.03 | 5.835 | 0.046 | 69.88 |
| Igeo | Classification |
|---|---|
| (−∞, 0] | Uncontaminated |
| (0, 1] | Uncontaminated to moderately contaminated |
| (1, 2] | Moderately contaminated |
| (2, 3] | Moderately to heavily contaminated |
| (3, 4] | Heavily contaminated |
| (4, 5] | Heavily to extremely contaminated |
| (5, +∞) | Extremely contaminated |
| Heavy Metals | Toxicity Coefficients (mg·kg−1) | TEL (mg·kg−1) | PEL (mg·kg−1) |
|---|---|---|---|
| Cd | 30 | 0.68 | 4.21 |
| Cu | 5 | 18.7 | 108 |
| Pb | 5 | 30.2 | 112 |
| Cr | 2 | 52.3 | 160 |
| As | 10 | 7.24 | 41.6 |
| Hg | 40 | 0.13 | 0.7 |
| Zn | 1 | 124 | 271 |
| Ei Range | RI Range | Classification |
|---|---|---|
| [0, 40] | [0, 100] | Low ecological risk |
| (40, 80] | (100, 200] | Moderate ecological risk |
| (80, 160] | (200, 400] | Considerable ecological risk |
| (160, 320] | (400, 800] | High ecological risk |
| (320, +∞) | (800, +∞) | Very High ecological risk |
| ∑TUs | Classification |
|---|---|
| (−∞, 4] | Uncontaminated |
| (4, 6] | Moderately Contaminated |
| (6, +∞) | Severely Contaminated |
| Sampling Site | Temp. (°C) | EC (μS·cm−1) | DO (mg·L−1) | pH | Turb. (NTU) | TOC (mg·L−1) | TN (mg·L−1) | TP (mg·L−1) |
|---|---|---|---|---|---|---|---|---|
| MR | 24.5 | 334.7 | 7.41 | 7.8 | 110 | 2.69 | 1.95 | 0.10 |
| XR | 24.8 | 327 | 7.24 | 8.14 | 10.3 | 2.94 | 1.57 | 0.05 |
| ZR | 24.5 | 332.9 | 7.89 | 7.9 | 16 | 3.02 | 1.56 | 0.07 |
| QT | 24.5 | 322.6 | 7.39 | 7.75 | 43.2 | 2.46 | 1.84 | 0.09 |
| XT | 23.8 | 343.9 | 7.07 | 7.8 | 112.9 | 2.36 | 1.55 | 0.12 |
| SS | 23.8 | 341.3 | 5.96 | 7.79 | 73.2 | 2.68 | 1.78 | 0.11 |
| PR | 25 | 326.3 | 7.52 | 8.19 | 16 | 3.20 | 1.86 | 0.07 |
| BD | 23.8 | 338.6 | 6.1 | 7.78 | 96 | 2.38 | 1.59 | 0.11 |
| FP | 23.8 | 343.9 | 7.78 | 7.69 | 76.2 | 2.46 | 1.63 | 0.08 |
| GK | 24 | 340.4 | 6.17 | 7.82 | 10.9 | 2.36 | 1.71 | 0.09 |
| GZ | 24 | 340.3 | 6.09 | 7.8 | 87.7 | 2.60 | 1.75 | 0.09 |
| QR | 25 | 307.3 | 8.27 | 8.84 | 16 | 3.34 | 1.37 | 0.07 |
| Heavy Metal | Min (mg·kg−1) | Max (mg·kg−1) | Median (mg·kg−1) | Mean (mg·kg−1) | SD (mg·kg−1) | CV (%) |
|---|---|---|---|---|---|---|
| Cd | 0.18 | 5.76 | 0.74 | 1.33 | 1.55 | 116.76 |
| Cu | 10.29 | 242.78 | 78.12 | 78.78 | 35.65 | 45.25 |
| Pb | 8.14 | 61.01 | 30.66 | 29.19 | 12.23 | 41.90 |
| Fe | 5747.60 | 32,596.11 | 20,116.48 | 20,362.06 | 5686.36 | 27.93 |
| Mn | 162.11 | 1209.76 | 754.03 | 751.60 | 234.43 | 31.19 |
| Cr | 16.56 | 98.48 | 60.36 | 60.49 | 17.01 | 28.12 |
| As | 0.96 | 7.30 | 3.82 | 3.98 | 1.25 | 31.35 |
| Hg | <0.002 | 0.26 | <0.002 | 0.03 | 0.06 | 214.46 |
| Zn | 30.72 | 279.56 | 174.19 | 163.82 | 52.91 | 32.17 |
| Parameter | PC1 | PC2 | Contribution |
|---|---|---|---|
| Cd | −0.095 | 0.929 | 33 |
| Cu | 0.672 | 0.12 | 11.3 |
| Pb | 0.14 | 0.791 | 24.2 |
| Fe | 0.929 | −0.037 | 20.6 |
| Mn | 0.9 | 0.017 | 19.2 |
| Cr | 0.792 | 0.421 | 21.6 |
| As | 0.77 | −0.299 | 17.5 |
| Hg | −0.232 | 0.927 | 33.9 |
| Zn | 0.885 | 0.031 | 18.6 |
| Eigenvalues | 4.21 | 2.63 | |
| Percentage of Variances | 46.76 | 29.24 | |
| Cumulative Variance | 76.00 | ||
| Range | Percentage of Data for Ei (%) | Percentage of Datas for RI (%) | |||||||
|---|---|---|---|---|---|---|---|---|---|
| Cd | Cu | Pb | Cr | As | Hg | Zn | |||
| Ei < 40 | 0 | 98.54 | 100 | 100 | 100 | 81.02 | 100 | RI < 100 | 8.03 |
| 40 ≤ Ei < 80 | 7.30 | 1.46 | 0 | 0 | 0 | 4.38 | 0 | 100 ≤ RI < 200 | 37.96 |
| 80 ≤ Ei < 160 | 37.96 | 0 | 0 | 0 | 0 | 13.14 | 0 | 200 ≤ RI < 400 | 39.42 |
| 160 ≤ Ei < 320 | 40.15 | 0 | 0 | 0 | 0 | 1.46 | 0 | 400 ≤ RI < 800 | 0 |
| Ei ≥ 320 | 14.60 | 0 | 0 | 0 | 0 | 0 | 0 | RI ≥ 800 | 14.60 |
Disclaimer/Publisher’s Note: The statements, opinions and data contained in all publications are solely those of the individual author(s) and contributor(s) and not of MDPI and/or the editor(s). MDPI and/or the editor(s) disclaim responsibility for any injury to people or property resulting from any ideas, methods, instructions or products referred to in the content. |
© 2025 by the authors. Licensee MDPI, Basel, Switzerland. This article is an open access article distributed under the terms and conditions of the Creative Commons Attribution (CC BY) license (https://creativecommons.org/licenses/by/4.0/).
Share and Cite
Yan, H.; Wang, B.; Zheng, K.; Peng, C.; Yan, J.; Qian, B. Integrated Analysis of Heavy-Metal Pollution in Three Gorges Reservoir Sediments: Spatial Distribution, Source Apportionment, and Ecological Risk Assessment. Water 2025, 17, 2852. https://doi.org/10.3390/w17192852
Yan H, Wang B, Zheng K, Peng C, Yan J, Qian B. Integrated Analysis of Heavy-Metal Pollution in Three Gorges Reservoir Sediments: Spatial Distribution, Source Apportionment, and Ecological Risk Assessment. Water. 2025; 17(19):2852. https://doi.org/10.3390/w17192852
Chicago/Turabian StyleYan, Haitao, Baocheng Wang, Kaikai Zheng, Chunlan Peng, Jinbo Yan, and Bao Qian. 2025. "Integrated Analysis of Heavy-Metal Pollution in Three Gorges Reservoir Sediments: Spatial Distribution, Source Apportionment, and Ecological Risk Assessment" Water 17, no. 19: 2852. https://doi.org/10.3390/w17192852
APA StyleYan, H., Wang, B., Zheng, K., Peng, C., Yan, J., & Qian, B. (2025). Integrated Analysis of Heavy-Metal Pollution in Three Gorges Reservoir Sediments: Spatial Distribution, Source Apportionment, and Ecological Risk Assessment. Water, 17(19), 2852. https://doi.org/10.3390/w17192852
