Removal of Ibuprofen and Paracetamol by Rhizobacteria from Roots of Scirpus grossus Exposed to a Synthetic Mix in Constructed Wetlands
Abstract
1. Introduction
2. Materials and Methods
2.1. Plant Material Acquisition and Initial Maintenance
2.2. Initial HRT Optimization
2.3. Isolation and Characterization of Rhizobacteria
2.4. Selected Rhizobacterial Biodegradation Examination
2.5. Addition of Rhizobacteria Under Optimum Conditions
2.6. Statistical Analyses
3. Results and Discussion
3.1. Isolation and Characterization of Rhizobacteria
3.2. Screening of Rhizobacteria Through Pharmaceutical Exposure
3.3. Removal of Pharmaceuticals by Selected Rhizobacteria
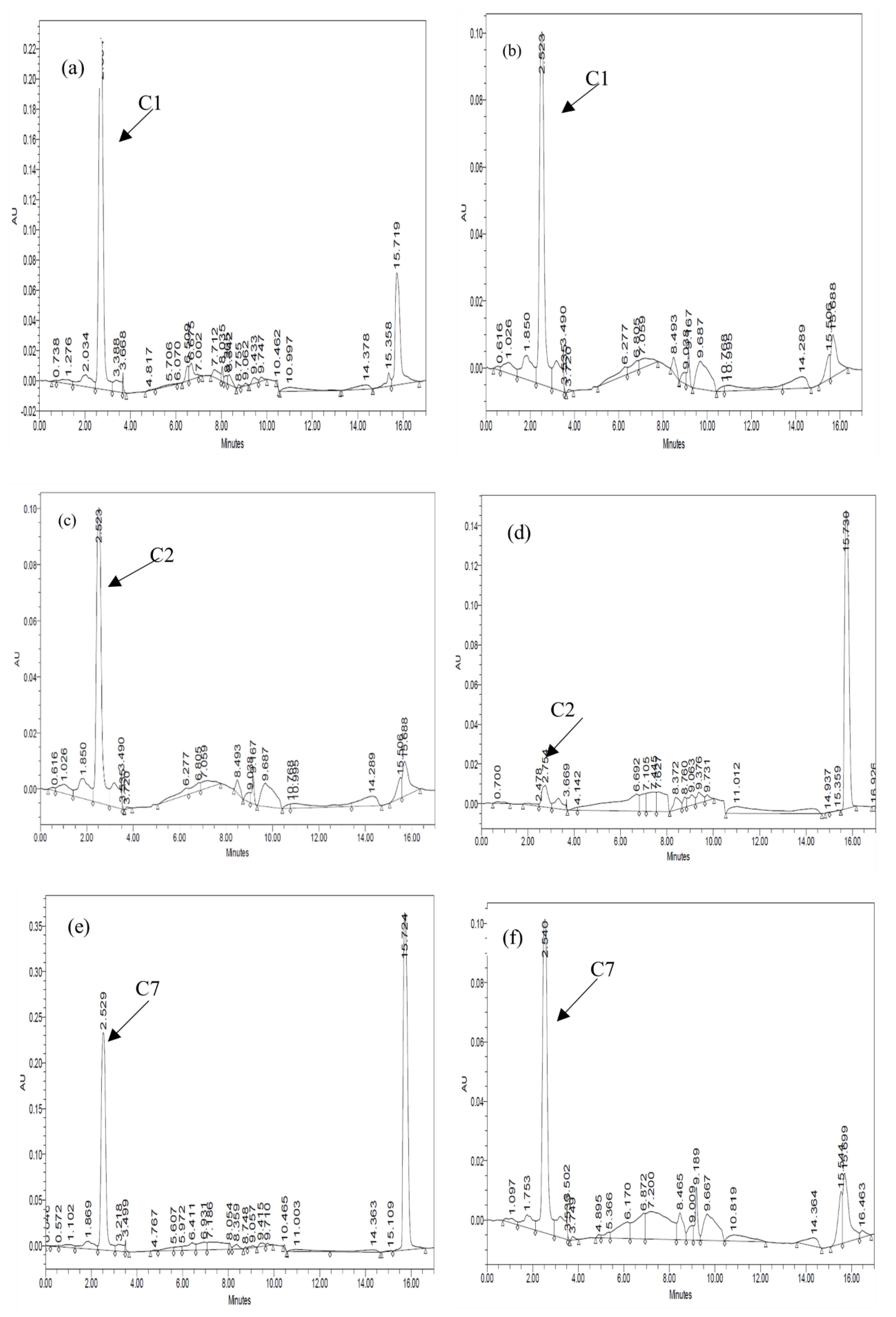
3.4. Identification of Selected Rhizobacteria
3.5. Removal Efficiency of the Pharmaceuticals in Water and Sand During the Validation Run with and Without Rhizobacteria
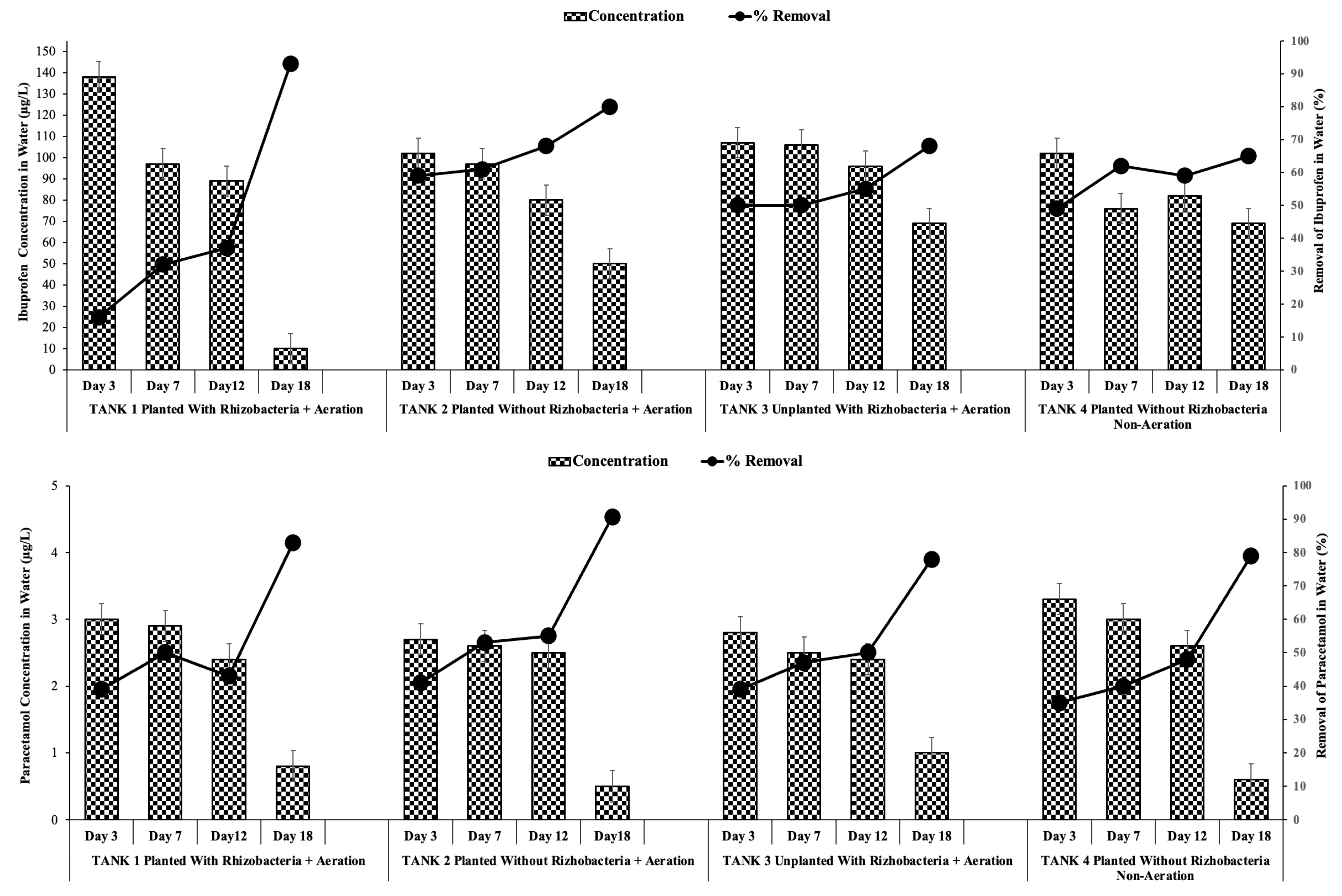
3.5.1. Removal of Ibuprofen and Paracetamol from Water
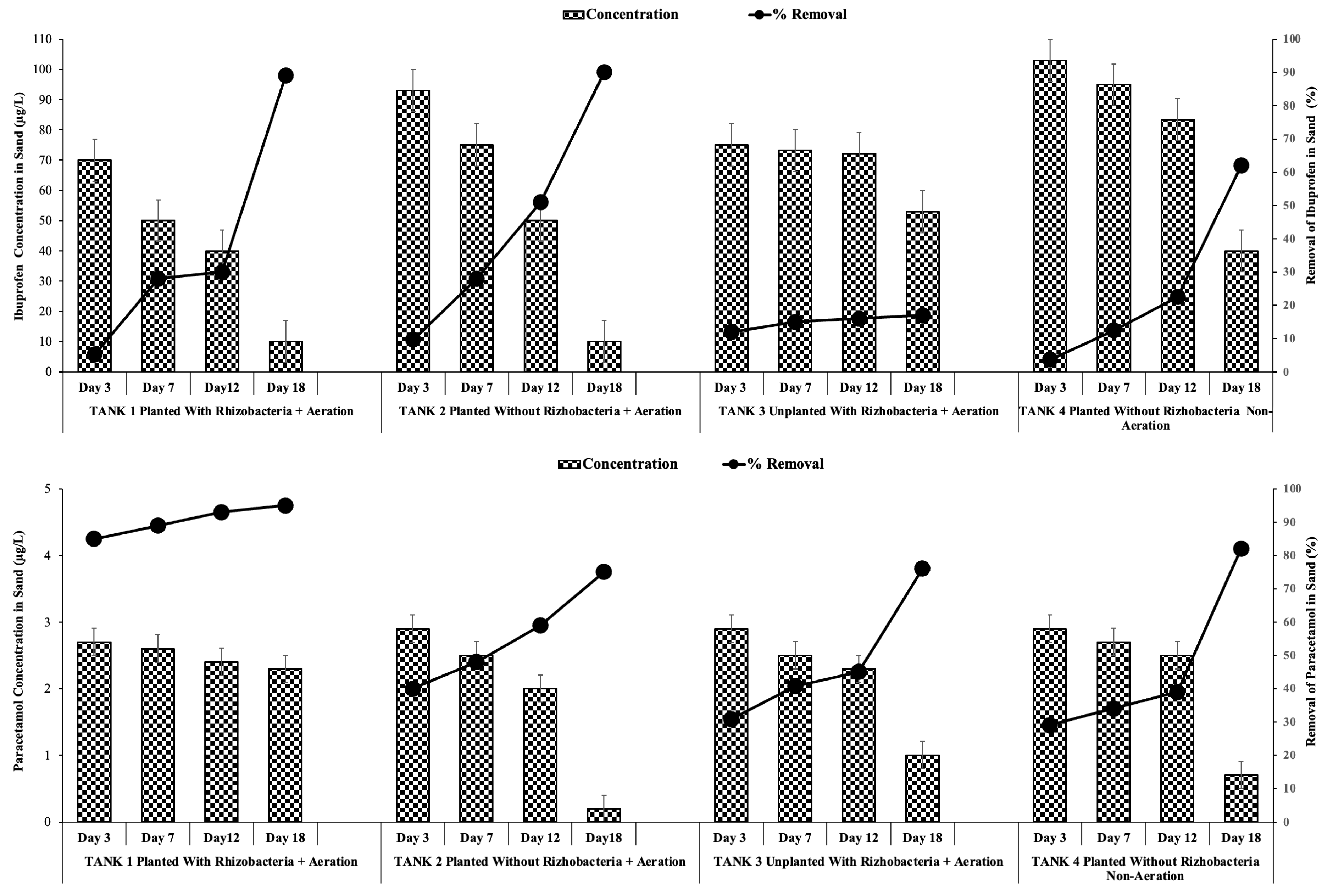
3.5.2. Removal of Ibuprofen and Paracetamol from Sand
3.5.3. Plant Uptake of Ibuprofen and Paracetamol (Shoots and Roots)
4. Conclusions
Author Contributions
Funding
Data Availability Statement
Conflicts of Interest
References
- Samal, K.; Mahapatra, S.; Hibzur Ali, M. Pharmaceutical Wastewater as Emerging Contaminants (EC): Treatment Technologies, Impact on Environment and Human Health. Energy Nexus 2022, 6, 100076. [Google Scholar] [CrossRef]
- Wang, T.; He, J.; Lu, J.; Zhou, Y.; Wang, Z.; Zhou, Y. Adsorptive Removal of PPCPs from Aqueous Solution Using Carbon-Based Composites: A Review. Chin. Chem. Lett. 2022, 33, 3585–3593. [Google Scholar] [CrossRef]
- AL Falahi, O.A.; Abdullah, S.R.S.; Hasan, H.A.; Othman, A.R.; Ewadh, H.M.; Kurniawan, S.B.; Imron, M.F. Occurrence of Pharmaceuticals and Personal Care Products in Domestic Wastewater, Available Treatment Technologies, and Potential Treatment Using Constructed Wetland: A Review. Process Saf. Environ. Prot. 2022, 168, 1067–1088. [Google Scholar] [CrossRef]
- Wilkinson, J.L.; Hooda, P.S.; Barker, J.; Barton, S.; Swinden, J. Ecotoxic Pharmaceuticals, Personal Care Products, and Other Emerging Contaminants: A Review of Environmental, Receptor-Mediated, Developmental, and Epigenetic Toxicity with Discussion of Proposed Toxicity to Humans. Crit. Rev. Environ. Sci. Technol. 2016, 46, 336–381. [Google Scholar] [CrossRef]
- Ruhoy, I.S.; Daughton, C.G. Beyond the Medicine Cabinet: An Analysis of Where and Why Medications Accumulate. Environ. Int. 2008, 34, 1157–1169. [Google Scholar] [CrossRef] [PubMed]
- Ahmad, A.; Kurniawan, S.B.; Abdullah, S.R.S.; Othman, A.R.; Hasan, H.A. Contaminants of Emerging Concern (CECs) in Aquaculture Effluent: Insight into Breeding and Rearing Activities, Alarming Impacts, Regulations, Performance of Wastewater Treatment Unit and Future Approaches. Chemosphere 2022, 290, 133319. [Google Scholar] [CrossRef]
- Khan, A.H.A.; Barros, R. Pharmaceuticals in Water: Risks to Aquatic Life and Remediation Strategies. Hydrobiology 2023, 2, 395–409. [Google Scholar] [CrossRef]
- Kayode-Afolayan, S.D.; Ahuekwe, E.F.; Nwinyi, O.C. Impacts of Pharmaceutical Effluents on Aquatic Ecosystems. Sci. Afr. 2022, 17, e01288. [Google Scholar] [CrossRef]
- Choong, C.E.; Ibrahim, S.; Basirun, W.J. Mesoporous Silica from Batik Sludge Impregnated with Aluminum Hydroxide for the Removal of Bisphenol A and Ibuprofen. J. Colloid Interface Sci. 2019, 541, 12–17. [Google Scholar] [CrossRef]
- Bakr, A.R.; Rahaman, M.S. Crossflow Electrochemical Filtration for Elimination of Ibuprofen and Bisphenol a from Pure and Competing Electrolytic Solution Conditions. J. Hazard. Mater. 2019, 365, 615–621. [Google Scholar] [CrossRef]
- Al-Zghoul, T.M.; Al-Qodah, Z.; Al-Jamrah, A. Performance, Modeling, and Cost Analysis of Chemical Coagulation-Assisted Solar Powered Electrocoagulation Treatment System for Pharmaceutical Wastewater. Water 2023, 15, 980. [Google Scholar] [CrossRef]
- Al-Qodah, Z.; Al-Zghoul, T.M.; Jamrah, A. The Performance of Pharmaceutical Wastewater Treatment System of Electrocoagulation Assisted Adsorption Using Perforated Electrodes to Reduce Passivation. Environ. Sci. Pollut. Res. 2024, 31, 20434–20448. [Google Scholar] [CrossRef] [PubMed]
- Maryam, B.; Buscio, V.; Odabasi, S.U.; Buyukgungor, H. A Study on Behavior, Interaction and Rejection of Paracetamol, Diclofenac and Ibuprofen (PhACs) from Wastewater by Nanofiltration Membranes. Environ. Technol. Innov. 2020, 18, 100641. [Google Scholar] [CrossRef]
- Negarestani, M.; Motamedi, M.; Kashtiaray, A.; Khadir, A.; Sillanpää, M. Simultaneous Removal of Acetaminophen and Ibuprofen from Underground Water by an Electrocoagulation Unit: Operational Parameters and Kinetics. Groundw. Sustain. Dev. 2020, 11, 100474. [Google Scholar] [CrossRef]
- Nippatla, N.; Philip, L. Electrocoagulation-Floatation Assisted Pulsed Power Plasma Technology for the Complete Mineralization of Potentially Toxic Dyes and Real Textile Wastewater. Process Saf. Environ. Prot. 2019, 125, 143–156. [Google Scholar] [CrossRef]
- Retnadhas, S.; Ducat, D.C.; Hegg, E.L. Nature-Inspired Strategies for Sustainable Degradation of Synthetic Plastics. JACS Au 2024, 4, 3323–3339. [Google Scholar] [CrossRef]
- Ravikumar, Y.; Yun, J.; Zhang, G.; Zabed, H.M.; Qi, X. A Review on Constructed Wetlands-Based Removal of Pharmaceutical Contaminants Derived from Non-Point Source Pollution. Environ. Technol. Innov. 2022, 26, 102504. [Google Scholar] [CrossRef]
- Singh, S.; Pant, A.; Dutta, K.; Rani, R.; Vithanage, M.; Daverey, A. Phytoremediation of Pharmaceuticals and Personal Care Products Using the Constructed Wetland. Environ. Chem. Ecotoxicol. 2024, 6, 104–116. [Google Scholar] [CrossRef]
- Panigrahy, N.; Priyadarshini, A.; Sahoo, M.M.; Verma, A.K.; Daverey, A.; Sahoo, N.K. A Comprehensive Review on Eco-Toxicity and Biodegradation of Phenolics: Recent Progress and Future Outlook. Environ. Technol. Innov. 2022, 27, 102423. [Google Scholar] [CrossRef]
- Shi, J.; Jiang, J.; Chen, Q.; Wang, L.; Nian, K.; Long, T. Production of Higher Toxic Intermediates of Organic Pollutants during Chemical Oxidation Processes: A Review. Arab. J. Chem. 2023, 16, 104856. [Google Scholar] [CrossRef]
- Kuppan, N.; Padman, M.; Mahadeva, M.; Srinivasan, S.; Devarajan, R. A Comprehensive Review of Sustainable Bioremediation Techniques: Eco Friendly Solutions for Waste and Pollution Management. Waste Manag. Bull. 2024, 2, 154–171. [Google Scholar] [CrossRef]
- Xiangyu, B.; Chao, L.; Shilong, H.; Jiping, Z.; Hu, J. Combining Advanced Oxidation Processes with Biological Processes in Organic Wastewater Treatment: Recent Developments, Trends, and Advances. Desalin. Water Treat. 2025, 323, 101263. [Google Scholar] [CrossRef]
- Kurniawan, S.B.; Ahmad, A.; Said, N.S.M.; Imron, M.F.; Abdullah, S.R.S.; Othman, A.R.; Purwanti, I.F.; Hasan, H.A. Macrophytes as Wastewater Treatment Agents: Nutrient Uptake and Potential of Produced Biomass Utilization toward Circular Economy Initiatives. Sci. Total Environ. 2021, 790, 148219. [Google Scholar] [CrossRef] [PubMed]
- Aryal, M. Phytoremediation Strategies for Mitigating Environmental Toxicants. Heliyon 2024, 10, e38683. [Google Scholar] [CrossRef] [PubMed]
- Wang, Y.; Yin, T.; Kelly, B.C.; Gin, K.Y.H. Bioaccumulation Behaviour of Pharmaceuticals and Personal Care Products in a Constructed Wetland. Chemosphere 2019, 222, 275–285. [Google Scholar] [CrossRef]
- Kahl, S.; Nivala, J.; van Afferden, M.; Müller, R.A.; Reemtsma, T. Effect of Design and Operational Conditions on the Performance of Subsurface Flow Treatment Wetlands: Emerging Organic Contaminants as Indicators. Water Res. 2017, 125, 490–500. [Google Scholar] [CrossRef]
- Li, J.; Zhou, Q.; Campos, L.C. Removal of Selected Emerging PPCP Compounds Using Greater Duckweed (Spirodela polyrhiza) Based Lab-Scale Free Water Constructed Wetland. Water Res. 2017, 126, 252–261. [Google Scholar] [CrossRef]
- Li, Y.; Zhang, J.; Zhu, G.; Liu, Y.; Wu, B.; Ng, W.J.; Appan, A.; Tan, S.K. Phytoextraction, Phytotransformation and Rhizodegradation of Ibuprofen Associated with Typha angustifolia in a Horizontal Subsurface Flow Constructed Wetland. Water Res. 2016, 102, 294–304. [Google Scholar] [CrossRef]
- Oba, S.N.; Ighalo, J.O.; Aniagor, C.O.; Igwegbe, C.A. Removal of Ibuprofen from Aqueous Media by Adsorption: A Comprehensive Review. Sci. Total Environ. 2021, 780, 146608. [Google Scholar] [CrossRef]
- Ma, X.Y.; Li, Q.; Wang, X.C.; Wang, Y.; Wang, D.; Ngo, H.H. Micropollutants Removal and Health Risk Reduction in a Water Reclamation and Ecological Reuse System. Water Res. 2018, 138, 272–281. [Google Scholar] [CrossRef]
- Klampfl, C.W. Metabolization of Pharmaceuticals by Plants after Uptake from Water and Soil: A Review. TrAC Trends Anal. Chem. 2019, 111, 13–26. [Google Scholar] [CrossRef]
- Shreshtha, K.; Prakash, A.; Pandey, P.K.; Pal, A.K.; Singh, J.; Tripathi, P.; Mitra, D.; Jaiswal, D.K.; de los Santos-Villalobos, S.; Tripathi, V. Isolation and Characterization of Plant Growth Promoting Rhizobacteria from Cacti Root under Drought Condition. Curr. Res. Microb. Sci. 2025, 8, 100319. [Google Scholar] [CrossRef] [PubMed]
- Kamaruzzaman, M.A.; Abdullah, S.R.S.; Hasan, H.A.; Hassan, M.; Othman, A.R.; Idris, M. Characterisation of Pb-Resistant Plant Growth-Promoting Rhizobacteria (PGPR) from Scirpus grossus. Biocatal. Agric. Biotechnol. 2020, 23, 101456. [Google Scholar] [CrossRef]
- Purwanti, I.F.; Kurniawan, S.B.; Titah, H.S.; Tangahu, B.V. Identification of Acid and Aluminium Resistant Bacteria Isolated from Aluminium Recycling Area. Int. J. Civ. Eng. Technol. 2018, 9, 945–954. [Google Scholar]
- Othman, A.R.; Ismail, N.S.; Abdullah, S.R.S.; Hasan, H.A.; Kurniawan, S.B.; Sharuddin, S.S.N.; Ismail, N.‘I. Potential of Indigenous Biosurfactant-Producing Fungi from Real Crude Oil Sludge in Total Petroleum Hydrocarbon Degradation and Its Future Research Prospects. J. Environ. Chem. Eng. 2022, 10, 107621. [Google Scholar] [CrossRef]
- Kurniawan, S.B.; Imron, M.F.; Abdullah, S.R.S.; Othman, A.R.; Purwanti, I.F.; Hasan, H.A. Treatment of Real Aquaculture Effluent Using Bacteria-Based Bioflocculant Produced by Serratia marcescens. J. Water Process Eng. 2022, 47, 102708. [Google Scholar] [CrossRef]
- Hasan, H.A.; Abdullah, S.R.S.; Al-Attabi, A.W.N.; Nash, D.A.H.; Anuar, N.; Abd Rahman, N.; Sulistiyaning Titah, H. Removal of Ibuprofen, Ketoprofen, COD and Nitrogen Compounds from Pharmaceutical Wastewater Using Aerobic Suspension-Sequencing Batch Reactor (ASSBR). Sep. Purif. Technol. 2016, 157, 215–221. [Google Scholar] [CrossRef]
- AL Falahi, O.A.; Abdullah, S.R.S.; Hasan, H.A.; Othman, A.R.; Ewadh, H.M.; Al-Baldawi, I.A.; Kurniawan, S.B.; Imron, M.F.; Ismail, N.I. Simultaneous Removal of Ibuprofen, Organic Material, and Nutrients from Domestic Wastewater through a Pilot-Scale Vertical Sub-Surface Flow Constructed Wetland with Aeration System. J. Water Process Eng. 2021, 43, 102214. [Google Scholar] [CrossRef]
- Al-Baldawi, I.A.; Abdullah, S.R.S.; Anuar, N.; Mushrifah, I. Bioaugmentation for the Enhancement of Hydrocarbon Phytoremediation by Rhizobacteria Consortium in Pilot Horizontal Subsurface Flow Constructed Wetlands. Int. J. Environ. Sci. Technol. 2017, 14, 75–84. [Google Scholar] [CrossRef]
- Semreen, M.H.; Shanableh, A.; Semerjian, L.; Alniss, H.; Mousa, M.; Bai, X.; Acharya, K. Simultaneous Determination of Pharmaceuticals by Solid-Phase Extraction and Liquid Chromatography-Tandem Mass Spectrometry: A Case Study from Sharjah Sewage Treatment Plant. Molecules 2019, 24, 633. [Google Scholar] [CrossRef]
- Imron, M.F.; Firdaus, A.A.F.; Flowerainsyah, Z.O.; Rosyidah, D.; Fitriani, N.; Kurniawan, S.B.; Abdullah, S.R.S.; Hasan, H.A.; Wibowo, Y.G. Phytotechnology for Domestic Wastewater Treatment: Performance of Pistia stratiotes in Eradicating Pollutants and Future Prospects. J. Water Process Eng. 2023, 51, 103429. [Google Scholar] [CrossRef]
- Osama, O.A.; Abdullah, S.R.S.; Hasan, H.A.; Othman, A.R.; Ewadh, H.M.; Al-Baldawi, I.A.; Sharuddin, S.S.N.; Kurniawan, S.B.; Ismail, N.I. Elimination of Mixed Ibuprofen and Paracetamol from Spiked Domestic Wastewater via a Pilot Continuous Aerated Sub-Surface Constructed Wetland System. J. Water Process Eng. 2022, 50, 103308. [Google Scholar] [CrossRef]
- Nguyen, P.M.; Afzal, M.; Ullah, I.; Shahid, N.; Baqar, M.; Arslan, M. Removal of Pharmaceuticals and Personal Care Products Using Constructed Wetlands: Effective Plant-Bacteria Synergism May Enhance Degradation Efficiency. Environ. Sci. Pollut. Res. 2019, 26, 21109–21126. [Google Scholar] [CrossRef] [PubMed]
- Luo, C.; He, Y.; Chen, Y. Rhizosphere Microbiome Regulation: Unlocking the Potential for Plant Growth. Curr. Res. Microb. Sci. 2025, 8, 100322. [Google Scholar] [CrossRef] [PubMed]
- Ge, J.; Li, D.; Ding, J.; Xiao, X.; Liang, Y. Microbial Coexistence in the Rhizosphere and the Promotion of Plant Stress Resistance: A Review. Environ. Res. 2023, 222, 115298. [Google Scholar] [CrossRef] [PubMed]
- Rabbat, C.; Pinna, A.; Andres, Y.; Villot, A.; Awad, S. Adsorption of Ibuprofen from Aqueous Solution onto a Raw and Steam-Activated Biochar Derived from Recycled Textiles Insulation Panels at End-of-Life: Kinetic, Isotherm and Fixed-Bed Experiments. J. Water Process Eng. 2023, 53, 103830. [Google Scholar] [CrossRef]
- Mousavi, S.M.; Motesharezadeh, B.; Hosseini, H.M.; Alikhani, H.; Zolfaghari, A.A. Root-Induced Changes of Zn and Pb Dynamics in the Rhizosphere of Sunflower with Different Plant Growth Promoting Treatments in a Heavily Contaminated Soil. Ecotoxicol. Environ. Saf. 2018, 147, 206–216. [Google Scholar] [CrossRef]
- Kumar, V.; Agrawal, S.; Bhat, S.A.; Américo-Pinheiro, J.H.P.; Shahi, S.K.; Kumar, S. Environmental Impact, Health Hazards, and Plant-Microbes Synergism in Remediation of Emerging Contaminants. Clean. Chem. Eng. 2022, 2, 100030. [Google Scholar] [CrossRef]
- Ivanova, D.; Tzvetkov, G.; Kaneva, N. Degradation of Paracetamol in Distilled and Drinking Water via Ag/ZnO Photocatalysis under UV and Natural Sunlight. Water 2023, 15, 3549. [Google Scholar] [CrossRef]
- López Zavala, M.Á.; Jaber Lara, C.R. Degradation of Paracetamol and Its Oxidation Products in Surface Water by Electrochemical Oxidation. Environ. Eng. Sci. 2018, 35, 1248–1254. [Google Scholar] [CrossRef]
- Mininni, A.N.; Pietrafesa, A.; Calabritto, M.; Di Biase, R.; Brunetti, G.; De Mastro, F.; Murgolo, S.; De Ceglie, C.; Salerno, C.; Dichio, B. Uptake and Translocation of Pharmaceutically Active Compounds by Olive Tree (Olea europaea L.) Irrigated with Treated Municipal Wastewater. Front. Plant Sci. 2024, 15, 1382595. [Google Scholar] [CrossRef]
- Al-Baldawi, I.A.; Mohammed, A.A.; Mutar, Z.H.; Abdullah, S.R.S.; Jasim, S.S.; Almansoory, A.F.; Ismail, N.’I. Application of Phytotechnology in Alleviating Pharmaceuticals and Personal Care Products (PPCPs) in Wastewater: Source, Impacts, Treatment, Mechanisms, Fate, and SWOT Analysis. J. Clean. Prod. 2021, 319, 128584. [Google Scholar] [CrossRef]
- He, Y.; Langenhoff, A.A.M.M.; Sutton, N.B.; Rijnaarts, H.H.M.M.; Blokland, M.H.; Chen, F.; Huber, C.; Schröder, P. Metabolism of Ibuprofen by Phragmites australis: Uptake and Phytodegradation. Environ. Sci. Technol. 2017, 51, 4576–4584. [Google Scholar] [CrossRef] [PubMed]
- Nowak, K.M.; Girardi, C.; Miltner, A.; Gehre, M.; Schäffer, A.; Kästner, M. Contribution of Microorganisms to Non-Extractable Residue Formation during Biodegradation of Ibuprofen in Soil. Sci. Total Environ. 2013, 445–446, 377–384. [Google Scholar] [CrossRef] [PubMed]
- Iqbal, M.Z.; Singh, K.; Chandra, R. Recent Advances of Plant Growth Promoting Rhizobacteria (PGPR) for Eco-Restoration of Polluted Soil. Clean. Eng. Technol. 2024, 23, 100845. [Google Scholar] [CrossRef]
- Khan, A.U.; Khan, A.N.; Waris, A.; Ilyas, M.; Zamel, D. Phytoremediation of Pollutants from Wastewater: A Concise Review. Open Life Sci. 2022, 17, 488–496. [Google Scholar] [CrossRef]
- Badar, Z.; Shanableh, A.; El-Keblawy, A.; Mosa, K.A.; Semerjian, L.; Al Mutery, A.; Hussain, M.I.; Bhattacharjee, S.; Tsombou, F.M.; Ayyaril, S.S.; et al. Assessment of Uptake, Accumulation and Degradation of Paracetamol in Spinach (Spinacia oleracea L.) under Controlled Laboratory Conditions. Plants 2022, 11, 1626. [Google Scholar] [CrossRef]









| Isolate Code | Biochemical Characterization | |||
|---|---|---|---|---|
| Gram Stain | Catalase | Oxidase | Motility | |
| A1 | − | − | + | + |
| A2 | − | − | − | + |
| A3 | − | + | + | − |
| A4 | + | + | − | − |
| A5 | − | − | + | + |
| A6 | − | − | + | + |
| A7 | + | − | + | + |
| A8 | + | − | + | + |
| A9 | + | + | + | + |
| B1 | + | + | − | − |
| B2 | + | + | + | − |
| B3 | + | + | + | − |
| B4 | + | − | − | + |
| B5 | − | − | + | + |
| B6 | + | + | − | − |
| B7 | − | + | − | − |
| B8 | − | + | + | + |
| B9 | + | − | − | − |
| B10 | + | + | − | − |
| C1 | + | + | + | − |
| C2 | + | + | + | + |
| C3 | + | + | − | − |
| C4 | + | − | − | + |
| C5 | + | + | + | + |
| C6 | − | − | + | + |
| C7 | − | + | + | + |
| C8 | − | − | − | + |
| C9 | + | + | + | + |
| Rhizobacteria Code | Growth in IBP- and PAR-Contaminated Medium |
|---|---|
| A1 | + |
| A2 | ++ |
| A3 | + |
| A4 | +++ |
| A5 | + |
| A6 | ++ |
| A7 | ++ |
| A8 | ++ |
| A9 | + |
| B1 | + |
| B2 | +++ |
| B3 | + |
| B4 | + |
| B5 | + |
| B6 | +++ |
| B7 | + |
| B8 | ++ |
| B9 | + |
| C1 | +++ |
| C2 | +++ |
| C3 | ++ |
| C4 | ++ |
| C5 | + |
| C6 | ++ |
| C7 | +++ |
| C8 | ++ |
| C9 | + |
| Isolate ID | Database Similarity (Accession No.) | GenBank Accession No. | Similarity (%) |
|---|---|---|---|
| C1 | Enterobacter aerogenes Isolate | MW555239 | 99 |
| C2 | Bacillus flexus Isolate | MW555240 | 99 |
| C7 | Paenibacillus alvei Isolate | MW555241 | 99 |
| Removal Parameter | With Rhizobacteria (%) | Without Rhizobacteria (%) |
|---|---|---|
| IBP from water | 93 | 80 |
| IBP from sand | 83 | 91 |
| PAR from water | 89 | 90 |
| PAR from sand | 95 | 75 |
Disclaimer/Publisher’s Note: The statements, opinions and data contained in all publications are solely those of the individual author(s) and contributor(s) and not of MDPI and/or the editor(s). MDPI and/or the editor(s) disclaim responsibility for any injury to people or property resulting from any ideas, methods, instructions or products referred to in the content. |
© 2025 by the authors. Licensee MDPI, Basel, Switzerland. This article is an open access article distributed under the terms and conditions of the Creative Commons Attribution (CC BY) license (https://creativecommons.org/licenses/by/4.0/).
Share and Cite
AL Falahi, O.A.; Abdullah, S.R.S.; Hasan, H.A.; Othman, A.R.; Ewadh, H.M.; Ismail, N.‘I.; Imron, M.F.; Kurniawan, S.B. Removal of Ibuprofen and Paracetamol by Rhizobacteria from Roots of Scirpus grossus Exposed to a Synthetic Mix in Constructed Wetlands. Water 2025, 17, 2396. https://doi.org/10.3390/w17162396
AL Falahi OA, Abdullah SRS, Hasan HA, Othman AR, Ewadh HM, Ismail N‘I, Imron MF, Kurniawan SB. Removal of Ibuprofen and Paracetamol by Rhizobacteria from Roots of Scirpus grossus Exposed to a Synthetic Mix in Constructed Wetlands. Water. 2025; 17(16):2396. https://doi.org/10.3390/w17162396
Chicago/Turabian StyleAL Falahi, Osama Abrahiem, Siti Rozaimah Sheikh Abdullah, Hassimi Abu Hasan, Ahmad Razi Othman, Hind Mufeed Ewadh, Nur ‘Izzati Ismail, Muhammad Fauzul Imron, and Setyo Budi Kurniawan. 2025. "Removal of Ibuprofen and Paracetamol by Rhizobacteria from Roots of Scirpus grossus Exposed to a Synthetic Mix in Constructed Wetlands" Water 17, no. 16: 2396. https://doi.org/10.3390/w17162396
APA StyleAL Falahi, O. A., Abdullah, S. R. S., Hasan, H. A., Othman, A. R., Ewadh, H. M., Ismail, N. ‘I., Imron, M. F., & Kurniawan, S. B. (2025). Removal of Ibuprofen and Paracetamol by Rhizobacteria from Roots of Scirpus grossus Exposed to a Synthetic Mix in Constructed Wetlands. Water, 17(16), 2396. https://doi.org/10.3390/w17162396

