Research on Startup Characteristics of Parallel Axial-Flow Pump Systems
Abstract
1. Introduction
2. Physical Model and Numerical Methods
2.1. Model Parameters
2.2. Mesh Generation
2.3. Numerical Computation Methods and Boundary Conditions
2.3.1. Numerical Computation Methods
2.3.2. Method of Characteristics
2.3.3. Boundary Conditions
3. Numerical Computation and Results Analysis
3.1. Experimental Validation
3.2. Analysis of Different Pump-Starting Methods in Parallel Systems
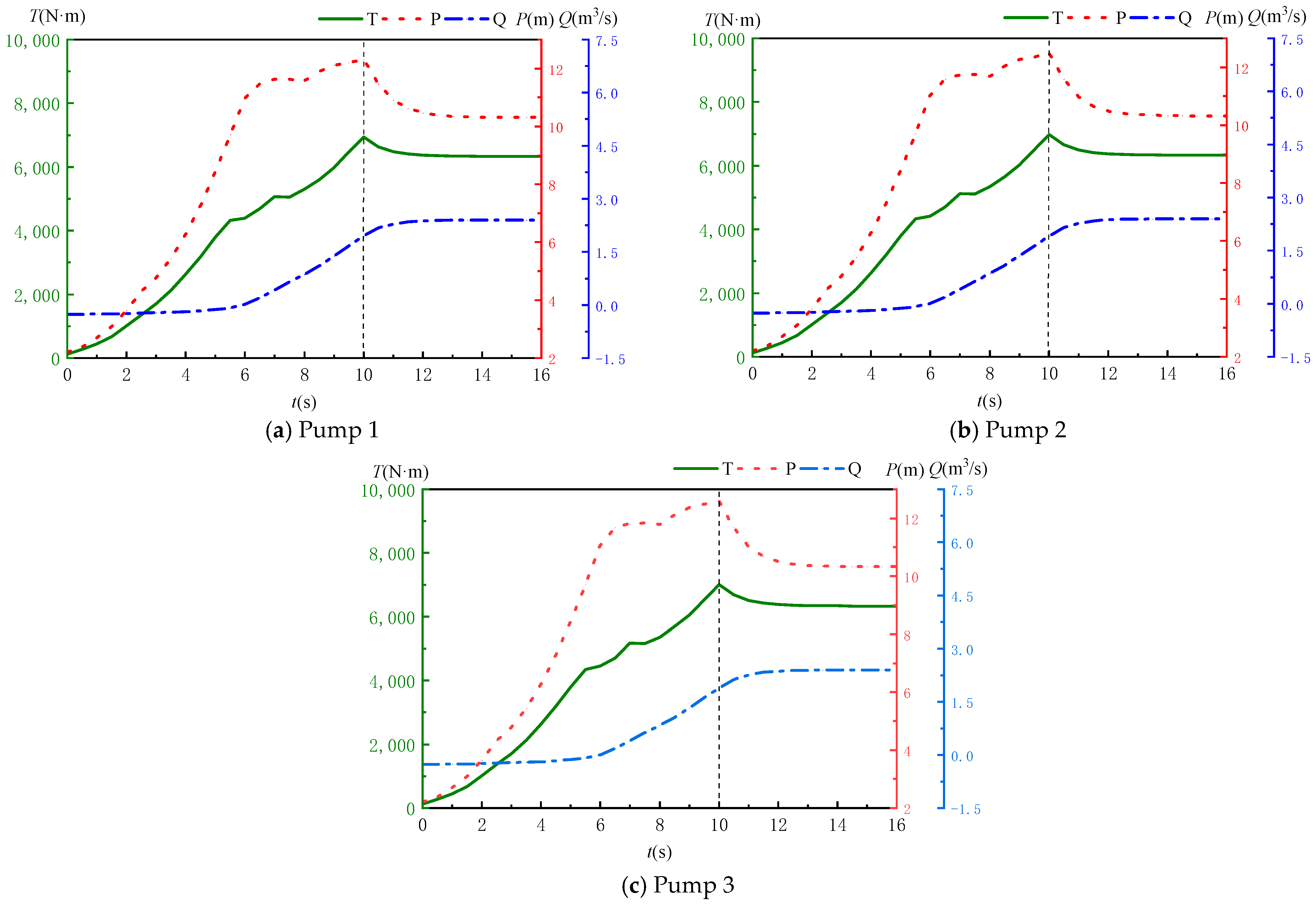
3.2.1. Simultaneous Pump Starting for Unit Set
3.2.2. Unit Set Start-Up at 5 s Intervals Sequentially
3.2.3. Unit Set Start-Up at 15 s Intervals Sequentially
3.2.4. Pump–Valve Coordination
4. Conclusions
Author Contributions
Funding
Data Availability Statement
Conflicts of Interest
References
- Meng, F.; Qin, Z.J.; Li, Y.J.; Chen, J. Investigation of Transient Characteristics of a Vertical Axial-Flow Pump with Non-Uniform Suction Flow. Machines 2022, 10, 855. [Google Scholar] [CrossRef]
- Jing, R.; He, X.J. Overview of Axial Flow Pumps and Their Applications. Gen. Mach. 2014, 4, 86–89. [Google Scholar]
- Fu, S.; Zheng, Y.; Kan, K.; Chen, H.; Han, X.; Liang, X.; Liu, H.; Tian, X. Numerical simulation and experimental study of transient characteristics in an axial flow pump during start-up. Renew. Energy 2020, 146, 1879–1887. [Google Scholar] [CrossRef]
- Meng, S.; Sun, C.; Li, Y.; Zhang, Y.; Pang, X. Research on the Evaluation Method for Pumping Performance of Large-Scale Parallel Vacuum Systems. Vacuum 2025, 3, 1–7. [Google Scholar]
- Cui, Y.; Wang, Z. Engineering Practice for Achieving High-Efficiency Operation of Multi-Pump Parallel Systems. Gas Heat 2024, 44, 14–23. [Google Scholar]
- Gan, X.; Gong, X.; Pei, J.; Pavesi, G.; Yuan, S. Machine Learning Approaches for Enhancing Energy Efficiency and Stability in Parallel Pumping Systems. Water Resour. Manag. 2024, 39, 1719–1746. [Google Scholar] [CrossRef]
- Zhao, K.; Wang, T.; Shang, Y.; Song, J.; Chen, J.; Liu, L. Reliability-Based Optimization Study on Pump Addition/Cutback in Parallel Pump Systems. Water Resour. Power 2024, 42, 149–153. [Google Scholar]
- Cong, W.; Ge, H.; Cheng, J.; Zhang, S. Optimal allocation model and method for parallel ‘reservoir and pumping station’ irrigation system under insufficient irrigation conditions. Appl. Water Sci. 2023, 13, 199. [Google Scholar] [CrossRef]
- Hou, S.; Yu, J.; Su, Y.; Liu, Z.; Dai, J. Flow distribution optimization of parallel pumps based on improved mayfly algorithm. J. Intell. Fuzzy Syst. 2023, 44, 2065–2083. [Google Scholar] [CrossRef]
- Wang, G.; Ghoddousi, S.; Wang, Z.; Song, L. Development, validation and application of an energy model for energy efficient operation of parallel pump systems. J. Build. Eng. 2022, 59, 105098. [Google Scholar] [CrossRef]
- Guo, T.; Xiao, W.; Liu, J.; Fu, Y. Research on Oil Return Interference in the Casing of Multi-Pump Parallel Hydraulic Systems for Large Aircraft. Adv. Aeronaut. Sci. Eng. 2025, 1–13. [Google Scholar]
- Behroozi, M.A.; Vaghefi, M. Numerical Investigation of Water Hammer due to Transient in Parallel Pumps. Int. J. Civ. Eng. 2021, 19, 1415–1425. [Google Scholar] [CrossRef]
- Yang, Z.; Zhou, L.; Dou, H.; Lu, C.; Luan, X. Water hammer analysis when switching of parallel pumps based on contra-motion check valve. Ann. Nucl. Energy 2020, 139, 107275. [Google Scholar] [CrossRef]
- Özkayar, G.; Wang, Z.; Lötters, J.; Tichem, M.; Ghatkesar, M.K. Flow Ripple Reduction in Reciprocating Pumps by Multi-Phase Rectification. Sensors 2023, 23, 6967. [Google Scholar] [CrossRef]
- Tian, D.; Si, Q.; Liang, K.; Zhang, Y.; Ju, Y.; Yuan, J. Study on the Internal Flow Characteristics of High Flowrate Emergency Drainage Series-parallel Pump. J. Phys. Conf. Ser. 2024, 2854, 12062. [Google Scholar] [CrossRef]
- Carricondo-Antón, J.M.; Jiménez-Bello, M.A.; Juárez, J.M.; Tomas, A.R.; González-Altozano, P. Optimization of an isolated photovoltaic water pumping system with technical–economic criteria in a water users association. Irrig. Sci. 2023, 41, 817–834. [Google Scholar] [CrossRef]
- Gasque, M.; González-Altozano, P.; Gutiérrez-Colomer, R.P.; García-Marí, E. Comparative evaluation of two photovoltaic multi-pump parallel system configurations for optimal distribution of the generated power. Sustain. Energy Technol. Assess. 2021, 48, 101634. [Google Scholar] [CrossRef]
- Oh, H.; Guk, I.; Chung, S.; Lee, Y. Energy saving through modifications of the parallel pump schedule at a pumping station: A case study. J. Water Process Eng. 2023, 54, 104035. [Google Scholar] [CrossRef]
- Manickavel, B.; Raja, R.S. AI Energy Optimal Strategy on Variable Speed Drives for Multi-Parallel Aqua Pumping System. Energies 2022, 15, 4343. [Google Scholar] [CrossRef]
- Wang, Y.; Li, S. Analysis of Parallel Operation of Axial Flow Pumps. Pump Technol. 2022, 4, 5–8. [Google Scholar]
- Zhou, L. Operation Optimization of Pumping Stations with Multiple Parallel Pumps. J. Irrig. Drain. 2014, 33, 96–99. [Google Scholar]
- Song, Y. Investigation on Transient Flow Mechanism in Pump-Turbine Units Based on 1D-3D Coupling Method. Harbin Inst. Technol. 2022. [Google Scholar]
- Fu, Y.; Deng, L. The Influence of Pre-Lift Gate Opening on the Internal and External Flow Characteristics During the Startup Process of an Axial Flow Pump. Processes 2024, 12, 1984. [Google Scholar] [CrossRef]















| Parameter Name | Symbols | Values |
|---|---|---|
| Impeller outer diameter | D2 (mm) | 350 |
| Impeller blades | Zimp | 4 |
| GV blades | Zgui | 9 |
| Rotation speed | n (rpm) | 750 |
| Flow rate | Q (m3/s) | 2.46 |
| Head | H (m) | 10.2 |
| Scheme | Valve | Axial-Flow Pump (3 Operational + 1 Standby) |
|---|---|---|
| 1 | Fully open in initial state | Pump 1 Startup: 0–10 s |
| Pump 2 Startup: 0–10 s | ||
| Pump 3 Startup: 0–10 s | ||
| 2 | Fully open in initial state | Pump 1 Startup: 0–10 s |
| Pump 2 Startup: 5–15 s | ||
| Pump 3 Startup: 10–20 s | ||
| 3 | Fully open in initial state | Pump 1 Startup: 0–10 s |
| Pump 2 Startup: 15–25 s | ||
| Pump 3 Startup: 30–40 s | ||
| 4 | 60% Pre-opening | Pump 1 Startup: 0–10 s |
| Pump 2 Startup: 5–15 s | ||
| Pump 3 Startup: 10–20 s |
| Pump Valve Serial Number | Valve | Axial-Flow Pump |
|---|---|---|
| 1 | Fully open | Linear starting within 0–10 s |
| 2 | Linear starting within 5–15 s | |
| 3 | Linear starting within 10–20 s |
| Pump Valve Serial Number | Valve | Axial-Flow Pump |
|---|---|---|
| 1 | Fully open | Linear starting within 0–10 s |
| 2 | Linear starting within 15–25 s | |
| 3 | Linear starting within 30–40 s |
| Pump Valve Serial Number | Valve | Axial-Flow Pump |
|---|---|---|
| 1 | Initial opening degree: 0.6, fully opened from 0 to 10 s. | Linear starting within 0–10 s |
| 2 | Initial opening degree: 0.6, fully opened from 5 to 15 s. | Linear starting within 5–15 s |
| 3 | Initial opening degree: 0.6, fully opened from 10 to 20 s. | Linear starting within 10–20 s |
| Parameter | Pump | Start-Up of Pump 1 (10 s) | Start-Up of Pump 2 (25 s) | Start-Up of Pump 3 (40 s) | Stable Operation (45 s) |
|---|---|---|---|---|---|
| Pressure | Pump 1 | 1.7728 | 1.7152 | 1.7736 | 1.7741 |
| Pump 2 | - | 1.6798 | 1.6939 | 1.7501 | |
| Pump 3 | - | - | 1.7249 | 1.6906 | |
| Velocity | Pump 1 | 0.9823 | 0.9460 | 0.9574 | 0.9540 |
| Pump 2 | - | 0.9718 | 0.9622 | 0.9158 | |
| Pump 3 | - | - | 0.9867 | 0.9096 | |
| Turbulent Kinetic Energy | Pump 1 | 0.9022 | 0.9070 | 0.9103 | 0.9619 |
| Pump 2 | - | 1.0240 | 0.9207 | 1.0931 | |
| Pump 3 | - | - | 1.0786 | 0.9422 |
| Monitoring Point | Dominant Frequency | Amplitude | Secondary Frequency | Amplitude | |
|---|---|---|---|---|---|
| 10 s | P4 | 12.5 | 0.0058 | 25.0 | 0.0016 |
| P5 | 12.5 | 0.0058 | 25.0 | 0.0015 | |
| P6 | 12.5 | 0.0058 | 25.0 | 0.0016 | |
| 15 s | P4 | 12.5 | 0.0028 | 25.0 | 0.0021 |
| P5 | 12.5 | 0.0027 | 25.0 | 0.0020 | |
| P6 | 12.5 | 0.0032 | 25.0 | 0.0022 | |
| 20 s | P4 | 12.5 | 0.0028 | 25.0 | 0.0021 |
| P5 | 12.5 | 0.0027 | 25.0 | 0.0020 | |
| P6 | 12.5 | 0.0032 | 25.0 | 0.0022 | |
| 25 s | P4 | 12.5 | 0.0010 | 25.0 | 0.0004 |
| P5 | 12.5 | 0.0010 | 25.0 | 0.0004 | |
| P6 | 12.5 | 0.0011 | 25.0 | 0.0005 |
| Monitoring Point | Dominant Frequency | Amplitude | Secondary Frequency | Amplitude | |
|---|---|---|---|---|---|
| 15 s | P4 | 12.5 | 0.0018 | 25.0 | 0.0007 |
| P5 | 12.5 | 0.0012 | 25.0 | 0.0008 | |
| P6 | 25.0 | 0.0011 | 12.5 | 0.0008 | |
| 20 s | P4 | 12.5 | 0.0043 | 25.0 | 0.0022 |
| P5 | 12.5 | 0.0041 | 25.0 | 0.0021 | |
| P6 | 12.5 | 0.0045 | 25.0 | 0.0023 | |
| 25 s | P4 | 12.5 | 0.0010 | 25.0 | 0.0004 |
| P5 | 12.5 | 0.0010 | 25.0 | 0.0004 | |
| P6 | 12.5 | 0.0011 | 25.0 | 0.0005 |
| Monitoring Point | Dominant Frequency | Amplitude | Secondary Frequency | Amplitude | |
|---|---|---|---|---|---|
| 20 s | P4 | 25.0 | 0.0030 | 12.5 | 0.0020 |
| P5 | 25.0 | 0.0026 | 12.5 | 0.0022 | |
| P6 | 12.5 | 0.0026 | 25.0 | 0.0021 | |
| 25 s | P4 | 12.5 | 0.0010 | 25.0 | 0.0004 |
| P5 | 12.5 | 0.0010 | 25.0 | 0.0004 | |
| P6 | 12.5 | 0.0012 | 25.0 | 0.0005 |
Disclaimer/Publisher’s Note: The statements, opinions and data contained in all publications are solely those of the individual author(s) and contributor(s) and not of MDPI and/or the editor(s). MDPI and/or the editor(s) disclaim responsibility for any injury to people or property resulting from any ideas, methods, instructions or products referred to in the content. |
© 2025 by the authors. Licensee MDPI, Basel, Switzerland. This article is an open access article distributed under the terms and conditions of the Creative Commons Attribution (CC BY) license (https://creativecommons.org/licenses/by/4.0/).
Share and Cite
Yang, C.; Li, C.; Deng, L.; Fu, Y. Research on Startup Characteristics of Parallel Axial-Flow Pump Systems. Water 2025, 17, 2285. https://doi.org/10.3390/w17152285
Yang C, Li C, Deng L, Fu Y. Research on Startup Characteristics of Parallel Axial-Flow Pump Systems. Water. 2025; 17(15):2285. https://doi.org/10.3390/w17152285
Chicago/Turabian StyleYang, Chao, Chao Li, Lingling Deng, and You Fu. 2025. "Research on Startup Characteristics of Parallel Axial-Flow Pump Systems" Water 17, no. 15: 2285. https://doi.org/10.3390/w17152285
APA StyleYang, C., Li, C., Deng, L., & Fu, Y. (2025). Research on Startup Characteristics of Parallel Axial-Flow Pump Systems. Water, 17(15), 2285. https://doi.org/10.3390/w17152285
