Investigation of a Volcanic Rock-Derived Coagulant for Water Purification: A Study of Its Preparation Process
Abstract
1. Introduction
2. Materials and Methods
2.1. Materials
2.2. Preparation of Coagulant
2.3. Coagulation Test
3. Results and Discussion
3.1. SEM Results
3.2. FTIR Analysis
3.3. XRD Analysis
3.4. Species Analysis
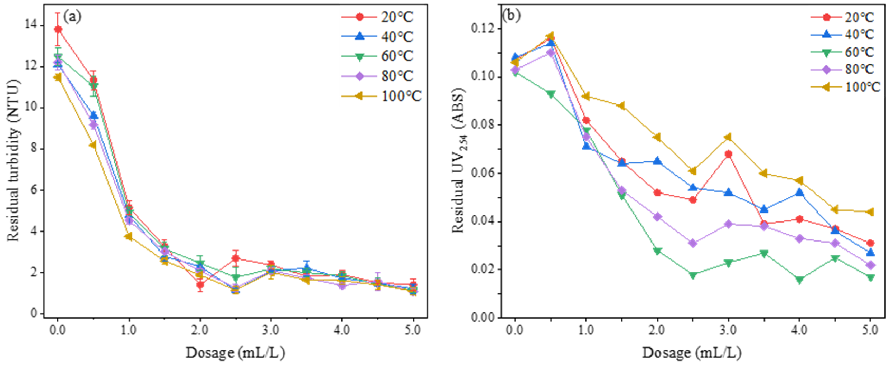
3.4.1. The Influence of Reaction Temperature
3.4.2. The Influence of Alkali Dosage and Silicon
3.5. The Optimal Conditions for Synthesis of PSAC
3.5.1. Effect of Calcination Temperature
3.5.2. Effect of Acid Leaching Temperature
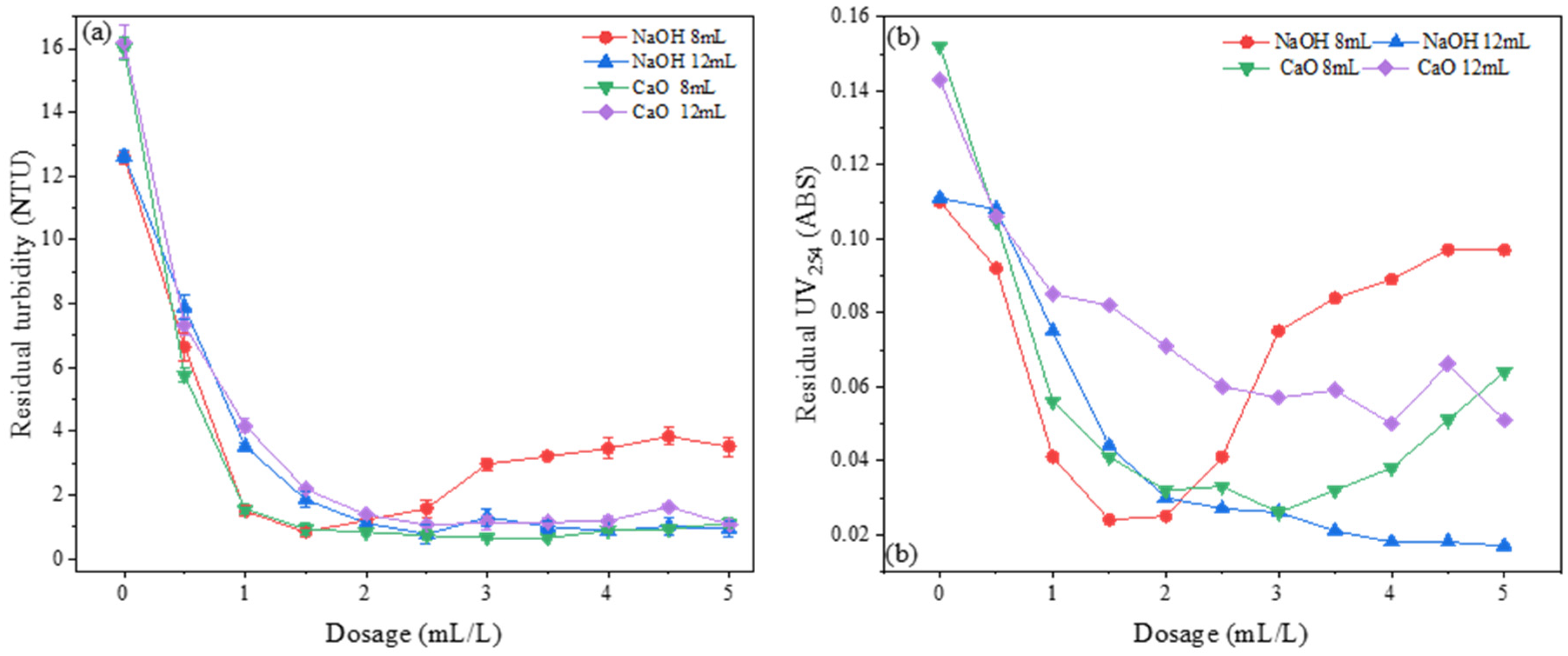
3.5.3. Effect of Alkali Types
3.5.4. Effect of Alkali Dosage
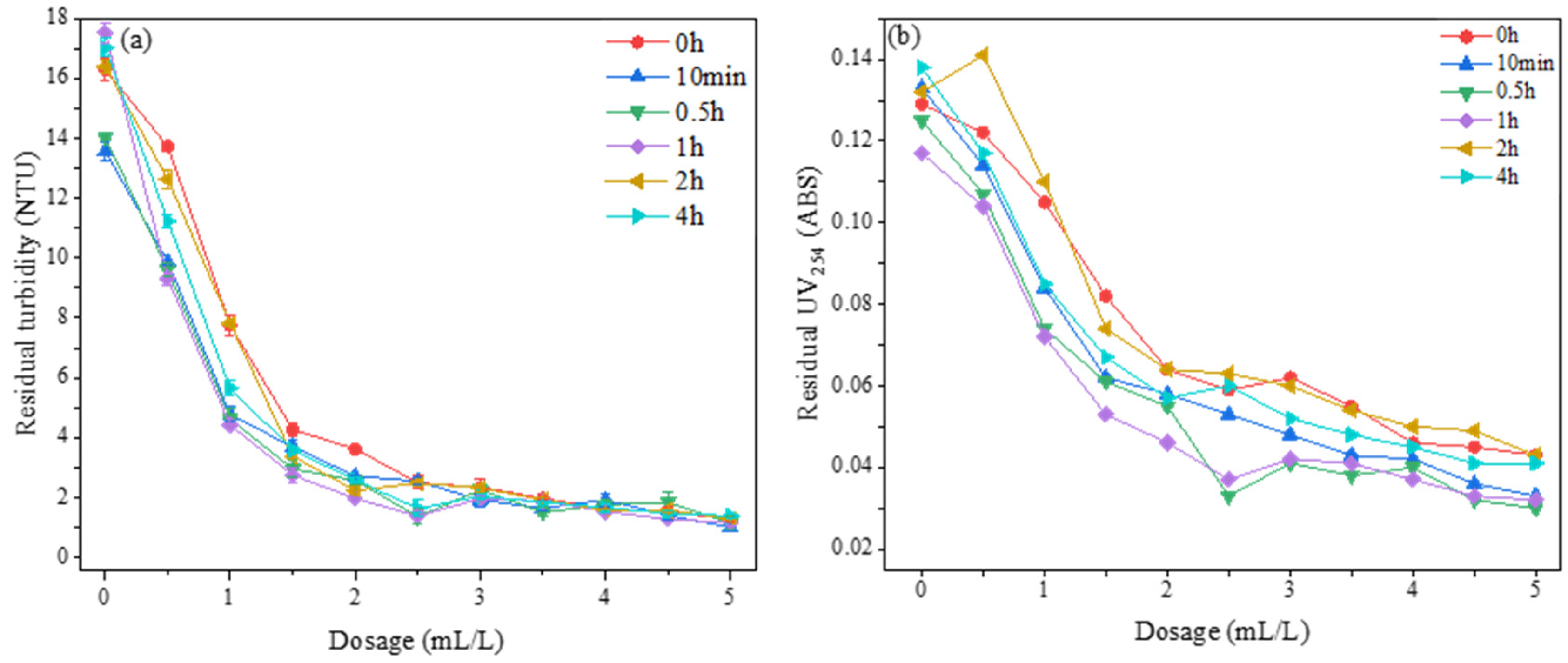
3.5.5. Effect of Polymerization Time
3.5.6. Effect of Polymerization Temperature
3.6. Others
4. Conclusions
Author Contributions
Funding
Data Availability Statement
Conflicts of Interest
Abbreviations
| PSAC | Polysilicate Aluminum Chloride |
| SEM | Scanning Electron Microscopy |
| EDS | Energy-Dispersive Spectroscopy |
| FTIR | Fourier-Transform Infrared Spectroscopy |
| XRD | X-Ray Diffraction |
| UV254 | UV Absorbance at 254 nm |
| TP | Total Phosphorus |
References
- Falkenmark, M. Water resilience and human life support-global outlook for the next half century. Int. J. Water Resour. Dev. 2020, 36, 377–396. [Google Scholar] [CrossRef]
- Saravanan, A.; Kumar, P.S.; Jeevanantham, S.; Karishma, S.; Tajsabreen, B.; Yaashikaa, P.; Reshma, B. Effective water/wastewater treatment methodologies for toxic pollutants removal: Processes and applications towards sustainable development. Chemosphere 2021, 280, 130595. [Google Scholar] [CrossRef]
- Ahmed, S.; Mofijur, M.; Nuzhat, S.; Chowdhury, A.T.; Rafa, N.; Uddin, M.A.; Inayat, A.; Mahlia, T.; Ong, H.C.; Chia, W.Y.; et al. Recent developments in physical, biological, chemical, and hybrid treatment techniques for removing emerging contaminants from wastewater. J. Hazard. Mater. 2021, 416, 125912. [Google Scholar] [CrossRef]
- Cevallos-Mendoza, J.; Amorim, C.G.; Rodríguez-Díaz, J.M.; Montenegro, M.d.C.B.S.M. Removal of contaminants from water by membrane filtration: A review. Membranes 2022, 12, 570. [Google Scholar] [CrossRef] [PubMed]
- Stoquart, C.; Servais, P.; Bérubé, P.R.; Barbeau, B. Hybrid membrane processes using activated carbon treatment for drinking water: A review. J. Membr. Sci. 2012, 411, 1–12. [Google Scholar] [CrossRef]
- Qian, Y.; Wan, P.; Hursthouse, A.S.; Zhu, G. A novel zero-valent iron/titanium tannate composite for deep removal of nitrogen from water. Chem. Eng. J. 2025, 508, 160937. [Google Scholar] [CrossRef]
- Lv, L.; Luo, H.; Zhu, G. Characterization and application of titanium tannate (Ti-TA) metallic phenolic network for removal of ammonia nitrogen. J. Water Process Eng. 2025, 73, 107703. [Google Scholar] [CrossRef]
- Osborne, M.R.; Champlain, D.; Garrett, C.; Hall, R.; Hengst, G.; McCarty, P.; Miller, J.; Moreau, C.; Pedri, J.; Poole, C. Biological Wastewater Treatment and Reactive Nitrogen. Master’s Thesis, University of Maryland, College Park, MD, USA, 2009. [Google Scholar]
- Dong, H.; Tian, Y.; Lu, J.; Zhao, J.; Tong, Y.; Niu, J. Bioaugmented biological contact oxidation reactor for treating simulated textile dyeing wastewater. Bioresour. Technol. 2024, 404, 130916. [Google Scholar] [CrossRef] [PubMed]
- Hou, J.; Hong, C.; Ling, W.; Hu, J.; Feng, W.; Xing, Y.; Wang, Y.; Zhao, C.; Feng, L. Research progress in improving sludge dewaterability: Sludge characteristics, chemical conditioning and influencing factors. J. Environ. Manag. 2024, 351, 119863. [Google Scholar] [CrossRef]
- Wang, C.; Zhu, G.; Ren, B.; Zhang, P.; Hursthouse, A. A cationic polymer enhanced PAC for the removal of dissolved aquatic organic carbon and organic nitrogen from surface waters. Can. J. Chem. Eng. 2019, 97, 955–966. [Google Scholar] [CrossRef]
- Iwuozor, K.O. Prospects and challenges of using coagulation-flocculation method in the treatment of effluents. Adv. J. Chem. -Sect. A 2019, 2, 105–127. [Google Scholar] [CrossRef]
- Lee, C.S.; Robinson, J.; Chong, M.F. A review on application of flocculants in wastewater treatment. Process Saf. Environ. Prot. 2014, 92, 489–508. [Google Scholar] [CrossRef]
- Li, H.; Tian, Y.; Xie, J.; Wu, Y.; Gao, Q. Overview of Commonly Used Flocculants in Sewage Treatment. Chem. Eng. Des. Commun. 2023, 49, 38–40. [Google Scholar]
- Zhu, G.; Liu, J.; Zhou, T.; Zhang, P.; Ren, B.; Zheng, H.; Liu, Y.; Li, X. The preparation and characterization of a new solid coagulant: Polymeric ferric silicate sulfate. Spectrosc. Spectr. Anal. 2016, 36, 2455–2461. [Google Scholar]
- Yi, X.; Ma, Z.; Zhang, S. Research progress on inorganic silica flocculants. Fine Spec. Chem. 2009, 10, 29–32+2. [Google Scholar]
- Gao, B.-Y.; Yue, Q.-Y.; Wang, B.; Chu, Y. Poly-aluminum-silicate-chloride (PASiC)—A new type of composite inorganic polymer coagulant. Colloids Surf. A Physicochem. Eng. Asp. 2003, 229, 121–127. [Google Scholar] [CrossRef]
- Zouboulis, A.; Tzoupanos, N. Polyaluminium silicate chloride—A systematic study for the preparation and application of an efficient coagulant for water or wastewater treatment. J. Hazard. Mater. 2009, 162, 1379–1389. [Google Scholar] [CrossRef]
- Gao, B.-Y.; Yue, Q.-Y.; Wang, Y. Coagulation performance of polyaluminum silicate chloride (PASiC) for water and wastewater treatment. Sep. Purif. Technol. 2007, 56, 225–230. [Google Scholar] [CrossRef]
- Tolkou, A.; Zouboulis, A. Synthesis and coagulation performance of composite poly-aluminum-ferric-silicate-chloride coagulants in water and wastewater. Desalination Water Treat. 2015, 53, 3309–3318. [Google Scholar] [CrossRef]
- Wu, L.; Gao, Y.; Xu, X.; Deng, J.; Liu, H. Excellent coagulation performance of polysilicate aluminum ferric for treating oily wastewater from Daqing gasfield: Responses to polymer properties and coagulation mechanism. J. Environ. Manag. 2024, 356, 120642. [Google Scholar] [CrossRef] [PubMed]
- Yang, Z.R.; Long, Y.Z.; Yang, X.B.; Liu, J.F.; Zhu, G.C. Preparation and application of polymeric silicate coagulant: A short review. Environ. Eng. Res. 2024, 29, 230672. [Google Scholar] [CrossRef]
- Dalmora, A.C.; Ramos, C.G.; Plata, L.G.; da Costa, M.L.; Kautzmann, R.M.; Oliveira, L.F.S. Understanding the mobility of potential nutrients in rock mining by-products: An opportunity for more sustainable agriculture and mining. Sci. Total Environ. 2020, 710, 136240. [Google Scholar] [CrossRef]
- Zhou, W.; Gao, B.; Yue, Q.; Liu, L.; Wang, Y.J.C.; Physicochemical, S.A.; Aspects, E. Al-Ferron kinetics and quantitative calculation of Al (III) species in polyaluminum chloride coagulants. Colloids Surf. A Physicochem. Eng. Asp. 2006, 278, 235–240. [Google Scholar] [CrossRef]
- He, N. Research on the Properties of Polymer Permeable Concrete in Red Mud Slag Base. Master’s Thesis, South China University of Technology, Guangzhou, China, 2022. [Google Scholar]
- Zhang, H.; Lin, H.; Li, Q.; Cheng, C.; Shen, H.; Zhang, Z.; Zhang, Z.; Wang, H. Removal of refractory organics in wastewater by coagulation/flocculation with green chlorine-free coagulants. Sci. Total Environ. 2021, 787, 147654. [Google Scholar] [CrossRef]
- Zhang, H.; Yu, H.; Sun, C.; Tong, Y.; Deng, J.; Wu, L.; Sun, L.; Guo, S.; Liu, H. Evaluation of new hydrophobic association inorganic composite material as coagulant for oilfield wastewater treatment. Sep. Purif. Technol. 2021, 275, 119126. [Google Scholar] [CrossRef]
- Liang, D.; Wang, Y.; Chen, M.; Xie, X.; Li, C.; Wang, J.; Yuan, L. Dry reforming of methane for syngas production over attapulgite-derived MFI zeolite encapsulated bimetallic Ni-Co catalysts. Appl. Catal. B Environ. 2023, 322, 122088. [Google Scholar] [CrossRef]
- Li, Y.; Miao, Y.; Yang, L.; Zhao, Y.; Wu, K.; Lu, Z.; Hu, Z.; Guo, J. Recent advances in the development and antimicrobial applications of metal–phenolic networks. Adv. Sci. 2022, 9, 2202684. [Google Scholar] [CrossRef] [PubMed]
- Yao, B.; Zhang, W.; Zhang, Y.; Wang, L. Synthesis and characterization of a new inorganic-organosilicon-aluminum composite flocculant. Appl. Chem. Ind. 2022, 51, 759–763. [Google Scholar] [CrossRef]
- Feng, Q.; Guo, K.; Gao, Y.; Liu, B.; Yue, Q.; Shi, W.; Feng, C.; Zhou, J.; Wang, G.; Gao, B.J.S. Effect of coagulation treatment on sludge dewatering performance: Application of polysilicate and their mechanism. Sep. Purif. Technol. 2022, 301, 121954. [Google Scholar] [CrossRef]
- Tian, X.; Han, C.Y.; Zhang, L.D.; Du, W.Z.; Li, Z.H. A study on the preparation and flocculation properties of boracic poly-aluminum-ferric-silicate. Adv. Mater. Res. 2013, 726, 3025–3029. [Google Scholar] [CrossRef]
- Xu, L. Preparation of Flocculant Polysilicate Aluminium Ferrric from Fly Ash and Its Application in Wastewater Treatment. Master’s Thesis, North University of China, Taiyuan, China, 2013. [Google Scholar]
- Zhu, G.C.; Wang, Q.; Yin, J.; Li, Z.W.; Zhang, P.; Ren, B.Z.; Fan, G.D.; Wan, P. Toward a better understanding of coagulation for dissolved organic nitrogen using polymeric zinc-iron-phosphate coagulant. Water Res. 2016, 100, 201–210. [Google Scholar] [CrossRef] [PubMed]















Disclaimer/Publisher’s Note: The statements, opinions and data contained in all publications are solely those of the individual author(s) and contributor(s) and not of MDPI and/or the editor(s). MDPI and/or the editor(s) disclaim responsibility for any injury to people or property resulting from any ideas, methods, instructions or products referred to in the content. |
© 2025 by the authors. Licensee MDPI, Basel, Switzerland. This article is an open access article distributed under the terms and conditions of the Creative Commons Attribution (CC BY) license (https://creativecommons.org/licenses/by/4.0/).
Share and Cite
Zhou, L.; Yang, Z.; Liu, X.; Yang, X.; Wu, X.; Zhou, Y.; Zhu, G. Investigation of a Volcanic Rock-Derived Coagulant for Water Purification: A Study of Its Preparation Process. Water 2025, 17, 2279. https://doi.org/10.3390/w17152279
Zhou L, Yang Z, Liu X, Yang X, Wu X, Zhou Y, Zhu G. Investigation of a Volcanic Rock-Derived Coagulant for Water Purification: A Study of Its Preparation Process. Water. 2025; 17(15):2279. https://doi.org/10.3390/w17152279
Chicago/Turabian StyleZhou, Lei, Zhangrui Yang, Xiaoyong Liu, Xiaoben Yang, Xuewen Wu, Yong Zhou, and Guocheng Zhu. 2025. "Investigation of a Volcanic Rock-Derived Coagulant for Water Purification: A Study of Its Preparation Process" Water 17, no. 15: 2279. https://doi.org/10.3390/w17152279
APA StyleZhou, L., Yang, Z., Liu, X., Yang, X., Wu, X., Zhou, Y., & Zhu, G. (2025). Investigation of a Volcanic Rock-Derived Coagulant for Water Purification: A Study of Its Preparation Process. Water, 17(15), 2279. https://doi.org/10.3390/w17152279
