Next Article in Journal
Impact of Data Quality on CNN-Based Sewer Defect Detection
Previous Article in Journal
From Wastewater to Soil Amendment: A Case Study on Sewage Sludge Composting and the Agricultural Application of the Compost
Previous Article in Special Issue
Post-El Niño Influence on Summer Monsoon Rainfall in Sri Lanka
 
 
Font Type:
Arial Georgia Verdana
Font Size:
Aa Aa Aa
Line Spacing:
Column Width:
Background:
Article

Long-Term Changes in Groundwater Levels in the Białowieża Forest, Poland, Under Climate Change

Forest Research Institute, Sękocin Stary, 3 Braci Leśnej Street, 05-090 Raszyn, Poland
*
Author to whom correspondence should be addressed.
Water 2025, 17(13), 2027; https://doi.org/10.3390/w17132027
Submission received: 15 May 2025 / Revised: 1 July 2025 / Accepted: 2 July 2025 / Published: 5 July 2025

Abstract

Groundwater is the primary water source for ecosystems, and so changes in groundwater levels, if directional and constant, can cause changes in vegetation and habitat characters. In Białowieża National Park, a significant decline in the water table was observed at the beginning of the 20th century. The question therefore arose as to whether the changes that occurred at that time were permanent. A second question was whether the negative trend would continue so clearly in the following years. The study is based on measurements from 1985 to 2005 and 2022 to 2023 taken in the same monitoring wells. Complete data were collected from 21 monitoring wells. An analysis of groundwater levels between 1985 and 2005 showed an average decline of 0.08 m/10 years in swamp habitats, 0.11 m/10 years in moist habitats, and 0.21 m/10 years in fresh habitats. The measurements in 2022 and 2023 showed that the trend of falling water levels had slowed down in almost the entire study area, with water levels in recent years being similar to those at the beginning of the century. This was also confirmed by comparing years with similar precipitation: 2022 with 1986, and 2002, 2004, and 2023 with 1999. This was due to the higher precipitation after 2005. In the period of 2006–2023, precipitation in the hydrological years was on average 60 mm higher than in the period of 1985–2005. Despite the clear trend toward rising air temperatures, the higher precipitation compensated for the higher evapotranspiration. However, one area showed a systematic decrease in water levels. This occurred at the watershed of the two largest rivers in the Białowieża Forest. The findings indicate that watershed areas are most vulnerable to lowering the groundwater level due to climatic warming.

1. Introduction

Climate change projections indicate a significant decline in groundwater availability by the end of the 21st century, which will have a significant impact on global and regional water resources [1]. Wunsch et al. (2022) [1] found that due to increased evapotranspiration and reduced infiltration rates, groundwater storage is also likely to decrease as a result of climate change.
Since the beginning of the 21st century, there has been an increase in the frequency of droughts, including extreme droughts. In 2018, Central Europe experienced one of the most severe and longest summer droughts and heatwaves ever recorded. Before 2018, the conditions of 2003 were considered the drought of the millennium. This drought was classified as the most severe event in Europe in the last 500 years [2]. Research now confirms that the 2018 drought was climatically more extreme and had a greater impact on forest ecosystems than the 2003 drought [2]. The 2018–2019 droughts caused the destruction or death of coniferous and deciduous stands in large parts of Europe [2,3]. It is even assumed that the 2018–2020 droughts in Central Europe were probably the worst in 2000 years [4]. The role of groundwater in maintaining ecosystem functions is increasingly recognized, especially during droughts [5,6].
The absorption of groundwater, together with rainwater, creates soil water that is used by forest vegetation, including forest stands. A warming climate, which leads to an increase in evapotranspiration, can significantly affect the availability of soil water, including from groundwater. This is particularly evident in areas where precipitation will decrease as temperatures rise. In such areas, especially in groundwater-dependent habitats, there will be a drying out and reduced regeneration of spring areas and drying out of the upper sections of watercourses.
Global warming, which leads to increased evapotranspiration, can cause a fall in the groundwater table. According to [7], groundwater recharge in northeastern Germany had already decreased significantly between 1957 and 2007, which was mainly due to lower precipitation and increased evapotranspiration. A decrease in the groundwater level at the beginning of the 21st century was also observed in the forests of western Poland [8]. In lowland regions, groundwater levels are falling and river flows are becoming increasingly irregular [9]. The phenomenon is observed in lowland areas in northern and central Europe, where the recent severe droughts in 2018 and 2022 occurred during a series of years with negative precipitation anomalies [10]. Nygren et al. (2020) [11].also points out that the groundwater depth and standard deviation have increased significantly in the period of 2001–2010 compared to 1980–1989. This has implications for groundwater storage and indicates a declining trend over time. The correlation between increasing or decreasing hydraulic heads and hydrometeorological types indicates that this is a consequence of shorter snowmelt periods and longer durations of high evapotranspiration rates. This means that higher temperatures are the cause of the changes, independent of the changes in precipitation. However, in areas in northeastern Poland (Biebrza PN), there were no significant changes in the first groundwater level between 1998 and 2021 [12].
The Białowieża Forest is located on the border between Poland and Belarus (52°43′53″ N 23°39′29″ E). Its area is 1345 km2, of which 592 km2 are in Poland and 753 km2 in Belarus. The climate of the Bialowieza Forest can be described as a transitional temperate climate that is relatively cool and dominated by continental influences, which is why it is sometimes referred to as a sub-continental forest climate of the moderately cool zone. The forest stands of today’s Bialowieza Forest developed on the area of an old glacial moraine plateau formed as a result of the disappearance of the Central Polish ice sheet. The Białowieża Forest Reserve is one of the last and largest fragments of the original European lowland forest. Most of the Białowieża Forest consists of species-rich stands. A total of 4693.24 hectares of the forest was declared Białowieża National Park (BNP) in 1932, one of the first national parks in Europe. Today, the BNP covers an area of 10,517.27 ha, of which 6059.27 ha are under strict protection. The remaining area of the Białowieża Forest is managed forest, but even in this part, there are nature reserves and areas with protected tree stands, habitats, and species. Groundwater is one of the most important sources of water supply for habitats and stands. Almost half of the Białowieża Forest consists of swampy and moist habitats that are highly dependent on groundwater resources. Therefore, the changes in groundwater levels are extremely important for the sustainability and changes in the ecosystems of the Białowieża Forest and give rise to much speculation and questions about the effects of climate change on groundwater levels.
In connection with the construction of a reservoir at the northern border of the Białowieża Forest, groundwater measurements were initiated in the mid-1970s. In 1984, these measurements were supplemented by 25 measuring points in the area of the Białowieża National Park and the Browsk Forest District in order to determine the directional changes of the groundwater situation in the forest habitats. The groundwater level was measured at a total of 52 points during this period. The measurements were completed in 2005.
Global warming is leading to changes in water resources in forested areas where groundwater levels are expected to fall. In order to show that such changes can be observed in the Białowieża Forest, measurement points where measurements were stopped in 2005 were found in 2021 and measurements were resumed at some of them. At the beginning of the hydrological year 2022, measurements were resumed at thirty-four measuring points representing the following habitats: fresh habitats—sixteen wells, moist habitats—nine wells, and swamp habitats—nine wells.
The aim of resuming the groundwater measurements was to determine
-
The changes in groundwater levels in the ecosystems of the Białowieża Forest over several decades;
-
Whether the trend of declining groundwater levels in the Białowieża Forest observed at the beginning of the century is of a permanent nature;
-
The changes in the groundwater level in the Bialowieża Forest compared to previous studies.

2. Materials and Methods

The analysis was carried out in hydrological years running from 1 November of the first year to 30 October of the second year and divided into a winter half-year and a summer half-year from 1 May to 31 October. This division is due to differences in the water supply. In Central Europe, water retention in the soil is increased in the winter half-year due to low evapotranspiration, while in the summer half-year, the high temperatures and vegetation development lead to high water withdrawal and the depletion of soil water resources.
Two analyses of groundwater levels were carried out:
-
Long-term changes;
-
Differences in comparable years in terms of the amount of precipitation.
The authors relied on measurements from wells that have complete groundwater measurement series; in total, they managed to collect such data from 21 measuring points from the period of 1985–2005 and the years 2022–2023 (Figure 1).

2.1. Groundwater over Several Years

The analysis includes groundwater measurements from the period of 1985–2005 and from the period of 2022–2023. The groundwater measurements were carried out at the monitoring sites renewed in 2021. The older measurements were carried out manually at intervals of several days. Levelogger 5 Junior groundwater level meters (Solinst Canada Ltd., 35 Todd Rd, Georgetown, ON L7G 4R8, Canada) were installed at the renewed measuring points in conjunction with the Barologger 5 air pressure sensor. The measurements were carried out automatically by the measuring devices at one-hour intervals. In order to make the results comparable, the measurements from 2022 to 2023 were limited to the measurement intervals from the period of 1985–2005 (Table 1).
The measurement points represent the basic types of habitat wetness; there were 7 wells in swamp habitats, 7 wells in moist habitats and 7 wells in fresh habitats. In moist and fresh habitats, a distinction can be made between variants with higher (2) and lower (1) groundwater levels, depending on the spring groundwater level (Table 1). The groundwater depths as a distinguishing feature for the classification of forest moisture types are shown in Table 2. Fresh habitats have a deep level of groundwater, stands use groundwater periodically in fresh forest 2 and do not use groundwater in fresh forest 1. Moist habitats have a level of groundwater within the reach of the root systems of trees, there are the best conditions for growth. Swamp habitats have the highest level of groundwater, which can periodically occur above the ground surface; this creates anaerobic conditions that are unfavorable for stands.
We used the Makesens 1.0 software developed at the Finnish Meteorological Institute [13] to estimate trends in the time series by the non-parametric method of Sen [14] and determined statistical significance with the non-parametric Mann–Kendall test. The advantage of the methods used is that data with missing values can be used and the data do not have to follow a particular distribution. In addition, the Sen method is not strongly influenced by individual data errors or outliers [13]. Both methods are described in detail in [13].
The non-parametric Sen slope estimation method [14] was used to estimate the magnitude of the trends in the data time series. On this basis, predictions were made for groundwater levels in 2022 and 2023.
The analysis was performed for each of the 21 wells and in groups for the different habitat moisture options. The groundwater levels were expressed in terms of distance to the ground level, which had a value of 0.00, so that the water levels had negative values if they were below ground and positive values for water levels above ground.
Groundwater levels in 2022 and 2023 were compared with selected years that were most similar in terms of rainfall.

2.2. Groundwater Level in Comparable Years

As the groundwater measurements were resumed after a long period, a selection of years with similar precipitation was made for a reliable analysis so that the hydrological years November 2021–October 2022 and November 2022–October 2023 have a water flow as similar as possible to the measurement period of 1985–2005. The analysis was carried out for measurement data from the station of the Institute of Meteorology and Water Management in Białowieża. The comparison and selection of years is shown in Figure 2. The years that are most similar to 2022 in terms of precipitation are 1985, 2002, and 2004, both in terms of the amount of precipitation in the entire hydrological year and in the summer and winter half-years. The differences between the hydrological years were no more than 1.5% (Table 3). There was a major problem in 2023, where the distribution of precipitation over the year was atypical. Precipitation in the winter half-year was slightly higher than in the summer half-year. This is a rare phenomenon in Białowieża, where summer precipitation significantly exceeds winter precipitation (on average by more than 150 mm). In the period of 1985–2005, such a situation only occurred in 2000, albeit with low precipitation levels—a total of 526.9 mm per year.
In order to obtain comparable data, a two-stage selection was made. First, the years most similar to 2023 in terms of annual precipitation totals were selected, and then the year with the most similar summer and winter precipitation was selected. Three years had precipitation amounts that differed by less than 15% from 2023: 1999 (596.6 mm), 2001 (622.1 mm), and 2005 (606.8 mm). The precipitation total was most similar in 2005, although the winter precipitation was more than 180 less than the summer precipitation. For this reason, the year 2001 was also excluded (difference of more than 50 mm). The year 1999 proved to be the closest year (difference of 26.7 mm), and so this year was selected for comparison.

2.3. Water Balance

The water balance of the hydrological years as well as the winter and summer half-years was checked in the selected years. The calculations were carried out using measurement data from the station of the Institute of Meteorology and Water Management in Białowieża. For the selected years, the water balance of the stands was determined in the form
ΔR = P − I − ETa (mm)
ΔR—change in retention;
P—total precipitation (mm);
I—canopy interception (mm);
ETa—actual evapotranspiration (mm).
ETa was calculated using the original Penman–Monteith formula according to the method presented in [15,16]. Solar radiation is not measured at the IMGW station in Białowieża; so, in 1999, 2002, 2004, and 2022, the net radiation was calculated based on extraterrestrial radiation, air temperature and humidity, and cloud cover. No data on cloud cover are available for 2023, and so the measurements of solar radiation at the ICP Forests meteorological station in Czerlonka were used (measurements since 2010). The compatibility of the calculation of net radiation for the two data sources was checked for the year 2015. The calculations showed that the net radiation based on the solar radiation measurements at the Czerlonka station yielded slightly lower results than the calculations based on the data from IMGW Białowieża (Figure 3). Stomatal resistance was calculated from the LAI determined from ALS (airborne laser scanning) using the formula given in [17], and aerodynamic resistance was calculate from the wind speed and tree height.
To determine ETa, it is necessary to recognize the conditions of water availability in the soil. We have determined the periods of soil water limitation based on soil water storage calculations for the soil occurring in the largest area in the Białowieża Forest (Eutric Cambisols) using the following formula:
SWS(i+1) = SWSi + TFi − EVTi
SWS—soil water storage (mm);
i—day number;
ETa—daily actual evapotranspiration (mm);
TF—throughfall (mm);
TF = P − I;
P—daily precipitation (mm);
I—daily interception (mm).
The moment of the limit of water availability for plants occurs at a soil water potential (SWP) ≥ −0.5 MPa. The calculations were carried out with the following boundary conditions:
  • SWS at SWP = −0.01 MPa—the upper limit of the amount of water that can be re-tained in the soil; above this value, water flows out of the profile.
  • SWS at SWP = −1.5 MPa—the lower limit of the amount of water that can be found in the soil under natural conditions. The curve of water retention of Eutric Cambisol soil was determined in the laboratory (sand suction table, kaolin suction table, and pressure plate extractor).
Between SWP = −0.01 MPa and SWP = −0.5 MPa, ETa is maximal. Below −0.5 MPa and above SWP = −0.01 MPa, Eta is set zero. Between SWP = −0.5 MPa and SWP = −1.5 MPa, ETa is limited (we assumed that the reduction is 50%).
Interception (I) was calculated with the Liu model [18,19]. The canopy water storage was determined using the Kondo model [20,21].

3. Results

3.1. Meteorological Conditions

The mean annual air temperature in Białowieża in the hydrological years 1985–2023 was 7.4 °C. The trend determined by the Sen method shows an increase in the mean air temperature in Białowieża in this period by 1.87 °C (Figure 4) and by 0.98 °C between 1985 and 2005. The Mann–Kendall test showed that the changes were statistically significant.
Precipitation in the hydrological years between 1985 and 2023 averaged 632.0 mm in Białowieża and ranged from 460.9 mm in 1991 to 866.5 mm in 2010. Dry years with precipitation less than 90% of the average were recorded in 11 years and wet years with precipitation more than 110% of the average in 10 years (Figure 5). The trend determined using the Sen method shows an increase in precipitation in the hydrological years between 1985 and 2023 in Białowieża. Precipitation increased by 56.3 mm. The increase in precipitation in the winter half-year is almost twice as high as in the summer half-year. The Mann–Kendall test showed that the changes in precipitation totals were not statistically significant. The average annual precipitation from 1985 to 2005 was 604 mm and from 2006 to 2023 was 664 mm.
In recent years, the number of days with snow cover has decreased significantly. After 2014, no more than 100 days with snow cover were recorded per year. In 2020, snow cover lasted only for 10 days, which was a major anomaly (Figure 6).

3.2. Water Balance in the Analyzed Years

The water balance in the comparison years 2022 and 1986, and 2002, 2004, 2023 and 1999 with similar precipitation shows differences in the water distribution, especially in evapotranspiration, which reached values in a wide range. In 2022, at 312.5 mm, it was between 240.9 mm (2004) and 336.3 mm (2002) in the comparison years, while in 2023, it was almost 15 mm higher than in the comparison year 1999. There were much smaller fluctuations in the amount of precipitation, with differences of 6.3 mm in the comparison years from 2022 onwards, with the smallest deviation in 2022. In 1999, it was 9.3 mm lower than in 2023. There were similar conditions in the winter and summer half-years (Table 4).

3.3. Trends in Groundwater Level Changes in the Years 1985–2005 and Prediction for 2023

The trends determined for groundwater changes showed a decline in the water level in the period of 1985–2005 at all monitoring sites in the hydrological years and the summer and winter half-years. The average drawdown at the monitoring sites was 0.29 m, and that in the half-years was 0.28 m (November–April) and 0.31 m (May–October). In swamp habitats, the calculated lowering of the groundwater level in the hydrological year averaged 0.17 m, with 0.16 m in the winter half-year and 0.23 m in the summer half-year. In the moist habitats, the average drawdown was 0.25 m in the hydrological year, 0.23 m in the winter half-year, and 0.26 m in the summer half-year, except that the drawdown in the hydrological years was lower in moist forest 2 than in moist forest 1: 0.23 m and 0.27 m, respectively. In the fresh habitats, the average drawdown of the water table was 0.44 m and was similar in the half-years at 0.44 m (November–April) and 0.45 m (May–October). In fresh forest 2 the average annual drawdown was 0.47 m and in fresh forest 1 it was 0.39 m (Table 5, Table 6 and Table 7).
A prediction of the groundwater level in 2023 using the same trends showed that the drawdown of the groundwater level in the period of 1985–2023 averaged −0.56 m. In the swamp habitats, it was −0.33 m on average in the hydrological year and in the half-years was −0.29 m (November–April) and −0.43 m (May–October); in moist habitats, it was −0.48 m (November–October), −0.44 m (November–April), and −0.49 m (May–October); and in fresh habitats, it was −0.83 m (November–October), −0.84 m (November–April), and −0.86 m (May–October).
The values for the 2023 groundwater drawdown calculated on the basis of Sen’s slope estimate from 1985 to 2005 were higher than the measured values at most measurement points In swamp habitats, the prediction of the mean annual groundwater drawdown was on average 0.14 m higher, in moist habitats by 0.19 m and in fresh habitats by 0.48 m; in the winter half-year, the actual water level was on average 0.28 m higher in swamp habitats, 0.37 m higher in moist habitats, and 0.72 m higher in fresh habitats than predicted. In the summer half-years, the differences were smaller, averaging 0.05 m in swamp habitats, 0.03 m in moist habitats, and 0.032 m in fresh habitats. In swamp habitats, the predictions showed the smallest changes in water levels. In reality, they were even lower. For well 4, a decrease in water level of 0.70 m was calculated, whereas in reality it was 0.38 m lower. Only in wells 16, 60, and 61 was the actual water level lower or equal to the calculated water level, but these were small differences of up to 0.08 m. In the moist habitats, the water table in one well—No. 55—decreased more than predicted (by 0.26 m). In the fresh habitats, the water levels in all wells were higher than predicted.

3.4. Comparison of Years with Similar Precipitation

In the first group of comparison years, 1986, 2002, 2004, and 2022, the lowest groundwater level was generally at the beginning of the century: 2002—fourteen wells and 2004—six wells. Only in one well, no. 56, in 2022 was the lowest level of the four years compared measured. In fresh habitats, the lowest levels were recorded in 2002 in four wells, in 2004 in two wells, and in 2022 in one well; in wet habitats, in 2002 in five wells and in 2004 in two wells; in bog habitats, it was similar, in five wells in 2002 and in 2004 in two wells. The average groundwater level in the study area in each year was: −1.19 m in 1986, −1.49 m in 2002, −1.45 m in 2004, and −1.33 m in 2022.
A comparison between 2023 and 1999 showed that the groundwater level in 2023 was lower in all wells, with the exception of well no. 9, where the water was 0.03 m higher. The largest decrease in the water table was found at No. 55 with 0.95 m (moist forest 2) and at No. 56 with 1.03 m (fresh forest 1). The average decline in the water table in 2023 was 0.31 m.
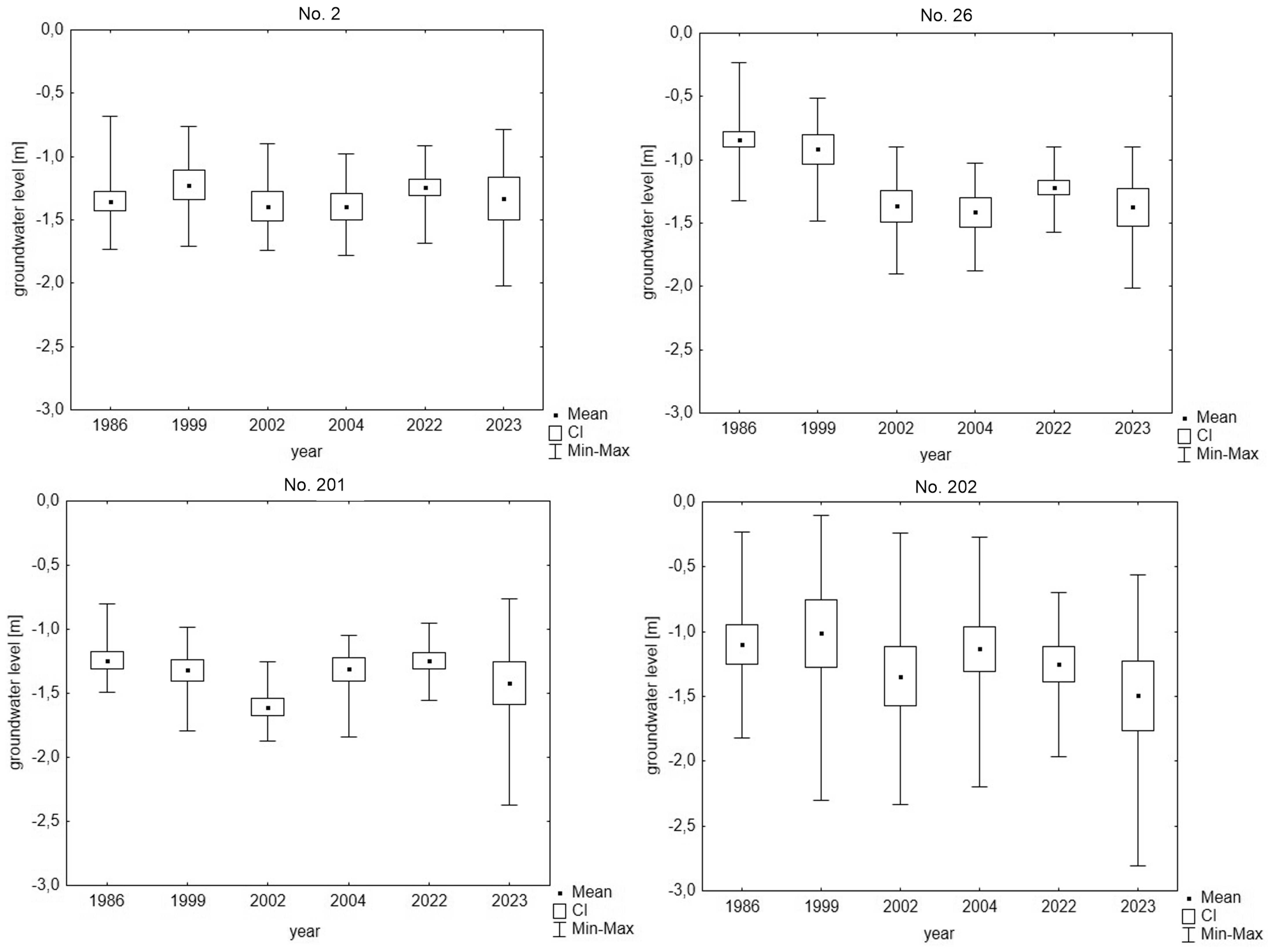
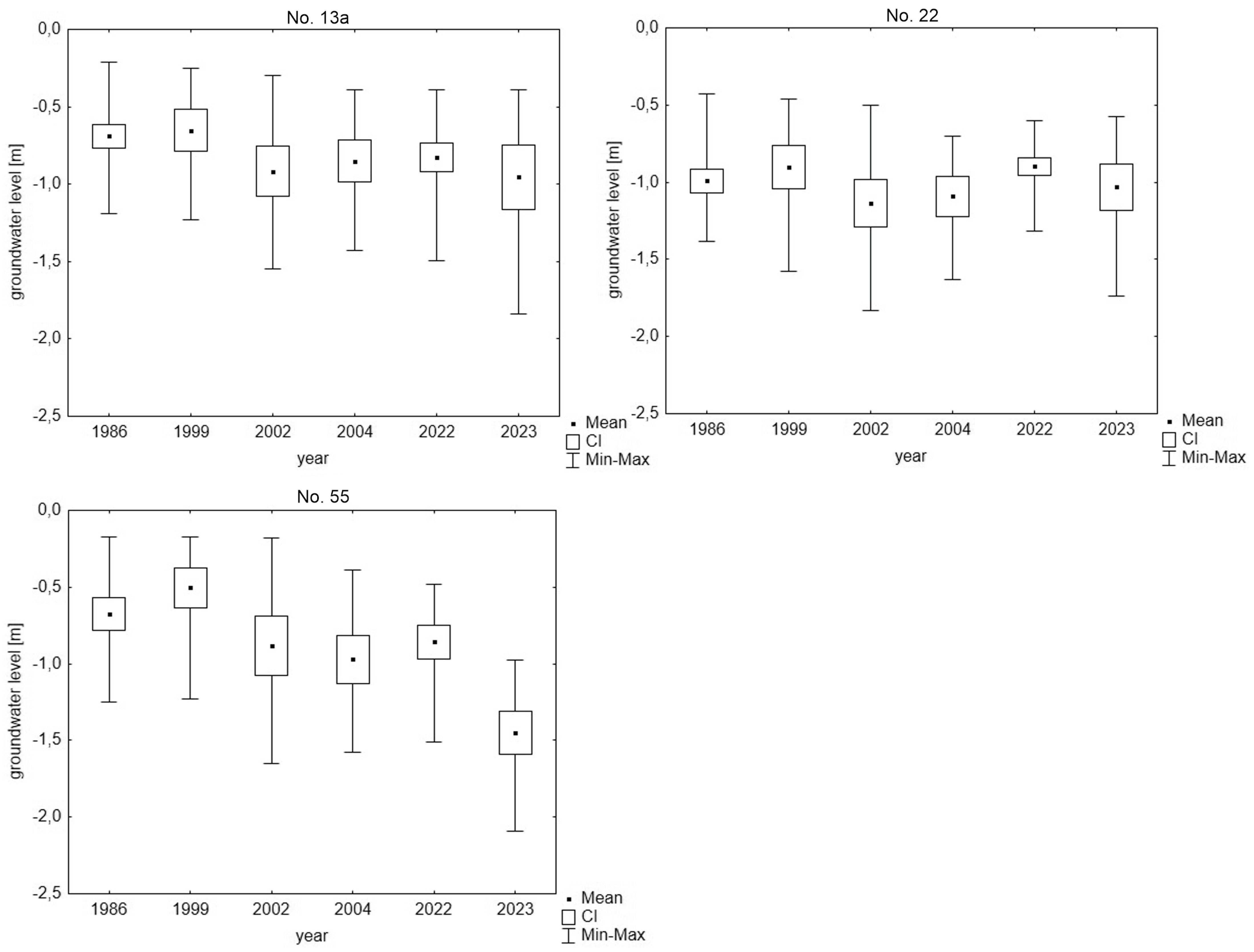
The average groundwater level in the individual habitat types is summarized in Table 8. In the first comparison group, the lowest groundwater level was recorded in most habitat types in 2002. Only in fresh forest 1 was the lowest water level recorded in 2004, but it should be noted that the water levels in this habitat type were similar in 2002, 2004, and 2022, ranging from −3.61 m to −3.68 m, and were also significantly lower than in 1986. The low average groundwater level in 2022 in fresh forest 1 was due to the water level in well no. 56 (Figure 7, Figure 8, Figure 9, Figure 10 and Figure 11).
The comparison between 1999 and 2023 shows a significant decrease in the groundwater level. In 2023, the water level was on average 0.36 m lower than in 1999. The greatest decline was recorded in the fresh forest 1 (0.52 m) and moist forest 2 (0.46 m) habitats. The change was smallest in swamp habitats.

4. Discussion

The trends of groundwater level changes from 1985 to 2005 indicate a decline water levels in all habitats in Białowieża Forest. Similar results were obtained for groundwater level changes in the Białowieża National Park from 1985 to 2001 [22]. Water levels in the Białowieża Forest were strongly influenced by a long rainless period in 2000, when the lowest water levels since 1985 were recorded at several monitoring sites [23]. The prediction of water levels for the years 2022–2023 based on the change trends from 1985 to 2005 indicated a much sharper decline in groundwater levels than those measured in these two years. The slowdown in the trend of falling water levels is due to the recharge conditions caused by precipitation. Precipitation in Białowieża shows clear variations over longer periods. Boczoń and Sałachewicz (2022) [24] distinguishes four periods with different precipitation totals of calendar years:
-
Period I, 1951–1966, characterized by low precipitation, with an average annual precipitation sum of 562.7 mm. There were very dry, dry, and average years, and no wet or very wet years were recorded.
-
Period II, 1967–1981, dominated by years with high precipitation (nine very wet and wet years). The average amount of precipitation was 733.6 mm, and there was only one dry year.
-
Period III, from 1982 to 2008, the amount of precipitation decreased so that the average amount of precipitation amounted to 610.6 mm. Here too, the dry years (ten years) began to outweigh the wet years (two years).
-
Period IV, from 2009 to 2019, the average amount of precipitation was 678.7 mm. This period was characterized by a high variability in terms of precipitation in these years. There were three very wet years and two wet years, but one very dry year and two dry years were also recorded.
The authors point out that the last two years of the period contain one dry year and one very dry year. This could indicate the start of another period of lower precipitation and predominantly dry years, or the following years will continue the trend of high variability in annual precipitation. The following years (2020–2023) were average in terms of precipitation, and the last wet year (p > 695 mm) was 2017 (794 mm in the hydrological year).
The variability of precipitation means that the groundwater measurements from 1985 to 2005 fell entirely within the period of low precipitation (1982–2008). The low water yield from precipitation was probably the main reason for the gradual lowering of the groundwater level to 2005. The measurements in the years 2022–2023 were characterized by higher water yields from precipitation. Therefore, the trend of lowering the groundwater level in these years was lower than predicted in the 1985–2005 measurements. However, the direction of the changes in the groundwater level was still negative (1985–2023). In the period of 1985–2023, there was a trend toward an increase in precipitation (by 56 mm). The increasing precipitation can compensate for the increased runoff for evaporation and to some extent reduce the rate of lowering of the groundwater table. The apparent seasonality of precipitation may determine the rate and direction of groundwater level changes in subsequent years.
A comparison of years with similar amounts of precipitation showed that the groundwater level in 2022 was similar to 1986 and higher than in 2002 and 2004. In contrast, the water level in 2023 was significantly lower than in 1999. The differences in water levels in years with similar precipitation recharge show that the water balance over a period longer than one year has a major influence on groundwater levels.
A very strong decrease in the groundwater level (approx. 1 m) in the years 1999 and 2023 (with similar precipitation recharge) was observed at two measuring points close to each other (55 and 56). It should be noted that these monitoring sites are located near the watershed of two large rivers (Narew and Narewka). The watershed is the highest area of the catchment; a sharp decrease in the groundwater level in the watershed may be due to the lack of water inflow from the higher areas, while there is water outflow to the lower areas. Therefore, rainwater is the only groundwater recharge in this area. Studies show that areas on the watershed are more vulnerable to decline groundwater levels than those closer to the river.
Declining water levels in watersheds can affect the continuity (periodicity) of upstream rivers. Bennett et al. (2012) [25]. points out that the high dependence on groundwater recharge and limited groundwater storage reserves make river flow in the upper catchments very sensitive to climate change. If the upper sections of rivers are no longer continuous, it can be difficult for species communities that are not adapted to such dry conditions to quickly regain their vitality, which can lead to a change in the species composition [26]. In the Białowieża Forest, most of the small streams are continuous or discontinuous in the upper parts, which is mainly due to the runoff of water from snowmelt. The lowering of the groundwater table in the watersheds can reduce the length of permanent streams and shorten the water transit time. This is important for the sustainability of spring habitats and riparian forests. Similar phenomena have been observed in Bavarian forests in Germany. The simulations of [27] have demonstrated that upstream reaches are especially vulnerable to the effects of decreasing groundwater levels, with a high likelihood that streams in these areas will become intermittent in summer, and for spring areas, this could mean that water supply from groundwater will decrease substantially or could be interrupted entirely with fatal consequences for these sensitive ecosystems and the associated ecosystem services.
Tomczyk et al. (2021) [28] report that in the period of 1966/67–2019/20, the number of days with snow cover in Bialystok decreased at a rate of 4.2 days/10 years. The situation is similar in Białowieża, where the rate of change in the period of 1951–2019 was 5 days/10 years, and the number of days with snow cover per year decreased by 34 days [24]. This is probably related to climate change. In addition, winter snow cover in Central Europe has decreased in recent years and tends to melt much earlier [29,30]. In the winter of 2019/2020, the snow cover in large parts of the Polish lowlands was non-existent or patchy and largely volatile [28].
This can significantly limit groundwater recharge in spring, as the lack of snow cover and the prevailing winter precipitation lead to earlier groundwater recharge and earlier river runoff. It is assumed that global warming will increase the frequency of rainfall in winter at the expense of snowfall [31]. Such a process can significantly improve groundwater recharge if there is a lack of water from snowmelt. Between 1985 and 2023, precipitation in the hydrological years of Białowieża increased by 56.3 mm, with the increase in the winter half-year being almost twice as high as in the summer half-year. This can also compensate for the increased evapotranspiration, but there is a risk that the rapid rise in temperature will have a greater impact on water runoff than the income from the increased precipitation. Good soil water availability at the beginning of the growing season is very important for tree growth. In the period from April to July, the main growth of tree thickness takes place, which is related to the formation of early wood. Therefore, a lack of available water during this period has the greatest impact on tree growth. The groundwater level prediction for the winter half-year in 2023 showed a significantly lower groundwater level than the measured results (on average by 0.46 m), while the actual level in the summer half-year was slightly higher. Despite the changes in the number of days with snow cover and a lower snow cover due to global warming, the lowering of the groundwater level in the winter half-year was therefore significantly lower. This was probably due to a change in the amount of precipitation, which increased about twice as much in the winter half-year as in the summer half-year in the period of 1985–2023.
Dwire et al. (2018) [32] suggest that plant communities that have adapted to high water saturation environments, such as riparian areas or swamps, will be affected by the decreasing availability of surface water during droughts, which could lead to a reduction in the size of these areas over time. Currently, measurements in the Białowieża Forest swamp show an average decrease in groundwater levels of 0.19 m, with the forecast for the period of 1985–2005 indicating that the water level in these areas would decrease by an average of 0.33 m by 2023. Although the decline in water levels in these habitats has slowed down, it is still significant process. A smaller than expected decline in water levels could be significantly exacerbated by poorer conditions for rainfall recharge. Currently, higher precipitation compensates for water runoff via evapotranspiration, but in the event of lower precipitation and progressive global warming, the risk of a decrease in the water table could increase significantly.

5. Conclusions

The decline of the groundwater level in the period of 1985–2023 in the Białowieża Forest was lower than predicted from the 1985–2005 measurements in all type of habitats. This is due to the different conditions of water recharge due to precipitation: in 1985–2005, precipitation in Białowieża was low, the average was 604 mm, and many dry and very dry years were recorded, while in 2006–2023, average annual precipitation was 664 mm and wet years prevailed. The lower lowering of the groundwater table is also due to the higher precipitation in winter. The results show that the lowering of the groundwater table in most parts of the study area largely came to a standstill after 2005.
The problem of falling groundwater levels in the Białowieża Forest can be exacerbated in years of low precipitation. The annual precipitation in Białowieża shows a certain periodicity. Lower precipitation with increasing air temperature and fewer days with a snow cover in winter, earlier snowmelt, and recharge in winter mainly by rain may pose major problems for the groundwater table and water availability for Białowieża Forest vegetation at the beginning of the growing season in the coming years.
The observed decline in water levels in the watershed could indicate that these areas will be most affected by global warming.
Climate warming and high precipitation variability pose a risk of greater lowering of groundwater levels. Therefore, groundwater level monitoring should be continued in the future for a correct interpretation of the changes occurring in the phytocoenoses of the Białowieża Forest.

Author Contributions

A.B., methodology, investigation, formal analysis, writing—original draft; M.W., investigation, data curation; A.K., resources, validation. All authors have read and agreed to the published version of the manuscript.

Funding

This work was supported by The State Forests National Forest Holding (Poland) [grant number 500.470].

Data Availability Statement

Data is contained within the article.

Conflicts of Interest

The authors declare no conflicts of interest.

Glossary

watershed—the elevated terrain that separates neighboring drainage basins.

References

  1. Wunsch, A.; Liesch, T.; Broda, S. Deep learning shows declining groundwater levels in Germany until 2100 due to climate change. Nat. Commun. 2022, 13, 1221. [Google Scholar] [CrossRef] [PubMed]
  2. Schuldt, B.; Buras, A.; Arend, M.; Vitasse, Y.; Beierkuhnlein, C.; Damm, A.; Gharun, M.; Grams, T.E.E.; Hauck, M.; Hajek, P.; et al. A first assessment of the impact of the extreme 2018 summer drought on Central European forests. Basic Appl. Ecol. 2020, 45, 86–103. [Google Scholar] [CrossRef]
  3. Braun, S.; De Witte, L.C.; Hopf, S.E. Auswirkungen des Trockensommers 2018 auf Flächen der Interkantonalen Walddauerbeobachtung. Schweiz. Z. Forstwes. 2020, 171, 270–280. [Google Scholar] [CrossRef]
  4. Büntgen, U.; Urban, O.; Krusic, P.J.; Rybníček, M.; Kolář, T.; Kyncl, T.; Ač, A.; Koňasová, E.; Čáslavský, J.; Esper, J.; et al. Recent European drought extremes beyond Common Era background variability. Nat. Geosci. 2021, 14, 190–196. [Google Scholar] [CrossRef]
  5. Froend, R.; Sommer, B. Phreatophytic vegetation response to climatic and abstraction-induced groundwater drawdown: Examples of long-term spatial and temporal variability in community response. Ecol. Eng. 2010, 36, 1191–1200. [Google Scholar] [CrossRef]
  6. Kath, J.; Reardon-Smith, K.; Le Brocque, A.F.; Dyer, F.J.; Dafny, E.; Fritz, L.; Batterham, M. Groundwater decline and tree change in floodplain landscapes: Identifying non-linear threshold responses in canopy condition. Glob. Ecol. Conserv. 2014, 2, 148–160. [Google Scholar] [CrossRef]
  7. Natkhin, M.; Steidl, J.; Dietrich, O.; Dannowski, R.; Lischeid, G. Differentiating between climate effects and forest growth dynamics effects on decreasing groundwater recharge in a lowland region in Northeast Germany. J. Hydrol. 2012, 448–449, 245–254. [Google Scholar] [CrossRef]
  8. Korytowski, M.; Liberacki, D.; Stasik, R. Trends in groundwater level changes of forest habitats in siemianice forest experimental farm in 2000–2009 period. Ecol. Eng. 2017, 18, 110–117. (In Polish) [Google Scholar] [CrossRef]
  9. Smith, A.; Tetzlaff, D.; Gelbrecht, J.; Kleine, L.; Soulsby, C. Riparian wetland rehabilitation and beaver re-colonization impacts on hydrological processes and water quality in a lowland agricultural catchment. Sci. Total. Environ. 2020, 699, 134302. [Google Scholar] [CrossRef]
  10. Imbery, F.; Friedrich, K.; Fleckenstein, R.; Plückhahn, B.; Brömser, A.; Bissolli, P.; Daßler, J.; Haeseler, S.; Rustemeier, E.; Ziese, M.; et al. Klimatologischer Rückblick auf 2022: Das sonnenscheinreichste und eines der beiden wärmsten Jahre in Deutschland. In Abteilungen für Klimaüberwachung, Agrarmeteorologie und Hydrometeorologie; Deutscher Wetterdienst: Offenbach, Germany, 2003. [Google Scholar]
  11. Nygren, M.; Giese, M.; Kløve, B.; Haaf, E.; Rossi, P.M.; Barthel, R. Changes in seasonality of groundwater level fluctuations in a temperate-cold climate transition zone. J. Hydrol. X 2020, 8, 100062. [Google Scholar] [CrossRef]
  12. Jekatierynczuk-Rudczyk, E.; Więcko, A.; Puczko, K.; Karpowicz, M.; Zieliński, P. Assessing temporal changes in the quantity and quality of shallow groundwater in the Biebrza valley in the 21st century. Ecohydrol. Hydrobiol. 2024, 24, 785–795. [Google Scholar] [CrossRef]
  13. Salmi, T.; Määttä, A.; Anttila, P.; Ruoho-Airola, T.; Amnell, T. Detecting trends of annual values of atmospheric pollutants by the Mann-Kendall test and Sen’s Slope Estimates—The excel template application MAKESENS. In Publications on Air Quality No. 31; Finnish Meteorological Institute: Helsinki, Finland, 2002. [Google Scholar]
  14. Sen, P.K. Estimates of the regression coefficient based on Kendall’s tau. J. Am. Stat. Assoc. 1968, 63, 1379–1389. [Google Scholar] [CrossRef]
  15. Allen, R.G.; Pereira, L.S.; Raes, D.; Smith, M. Crop Evapotranspiration: Guidelines for Computing Crop Requirements; Irrigation and Drainage Paper No. 56; FAO: Rome, Italy, 1998; 300p. [Google Scholar]
  16. Monteith, J.L. Evaporation and Environment. Symp. Soc. Exp. Biol. 1965, 19, 205–234. [Google Scholar]
  17. Allen, R.G. A Penman for all seasons. J. Irrig. Drain. Eng. 1987, 112, 348–368. [Google Scholar] [CrossRef]
  18. Liu, S. A new model for the prediction of rainfall interception in forest canopies. Ecol. Model. 1997, 99, 151–159. [Google Scholar] [CrossRef]
  19. Liu, S. Evaluation of the Liu model for predicting rainfall interception in forests world-wide. Hydrol. Process. 2001, 15, 2341–2360. [Google Scholar] [CrossRef]
  20. Kondo, J.; Nakazono, M.; Watanabe, T. Hydrological climate in Japan (2): Forest rainfall interception. J. Jpn. Soc. Hydrol. Water Resour. 1992, 5, 29–36, (In Japanese with English Summary). [Google Scholar] [CrossRef]
  21. Komatsu, H.; Shinohara, Y.; Kume, T.; Otsuki, K. Relationship between annual rainfall and interception ratio for forests across Japan. For. Ecol. Manag. 2008, 256, 1189–1197. [Google Scholar] [CrossRef]
  22. Pierzgalski, E.; Boczoń, A.; Tyszka, J. Variability of rainfall and groundwater position in the Białowieża National Park. Kosmos 2002, 51, 415–425. (In Polish) [Google Scholar]
  23. Boczoń, A. Groundwater in the Białowieża Forest in the dry year 2000. Sylwan 2002, 7, 93–105. (In Polish) [Google Scholar]
  24. Boczoń, A.; Sałachewicz, A. Climatic conditions of Białowieża Forest. In The Current State of Białowieża Forest Based on the Results of the LIFE+ Forbiosensing Project; Stereńczak, K., Ed.; Forest Research Institute: Sękocin Stary, Poland, 2022; pp. 19–35. ISBN 978-83-62830-92-3. [Google Scholar]
  25. Bennett, K.E.; Werner, A.T.; Schnorbus, M. Uncertainties in Hydrologic and Climate Change Impact Analyses in Headwater Basins of British Columbia. J. Clim. 2012, 25, 5711–5730. [Google Scholar] [CrossRef]
  26. Majdi, N.; Colls, M.; Weiss, L.; Acuña, V.; Sabater, S.; Traunspurger, W. Duration and frequency of non-flow periods affect the abundance and diversity of stream meiofauna. Freshw. Biol. 2020, 65, 1906–1922. [Google Scholar] [CrossRef]
  27. Munir, M.U.; Blaurock, K.; Frei, S. Understanding the vulnerability of surface–groundwater interactions to climate change: Insights from a Bavarian Forest headwater catchment. Environ. Earth Sci. 2024, 83, 12. [Google Scholar] [CrossRef]
  28. Tomczyk, A.M.; Bednorz, E.; Szyga-Pluta, K. Changes in Air Temperature and Snow Cover in Winter in Poland. Atmosphere 2021, 12, 68. [Google Scholar] [CrossRef]
  29. Szwed, M.; Pińskwar, I.; Kundzewicz, Z.W.; Graczyk, D.; Mezghani, A. Changes of snow cover in Poland. Acta Geophys. 2017, 65, 65–76. [Google Scholar] [CrossRef]
  30. Dong, C.; Menzel, L. Recent snow cover changes over central European low mountain ranges. Hydrol. Process. 2020, 34, 321–338. [Google Scholar] [CrossRef]
  31. Kundzewicz, Z.W.; Matczak, P. Climate change regional review: Poland. WIREs Clim. Chang. 2012, 3, 297–311. [Google Scholar] [CrossRef]
  32. Dwire, K.A.; Mellmann-Brown, S.; Gurrieri, J.T. Potential effects of climate change on riparian areas, wetlands, and groundwater-dependent ecosystems in the Blue Mountains, Oregon, USA. Clim. Serv. 2018, 10, 44–52. [Google Scholar] [CrossRef]
Figure 1. Location of the measuring wells in the Białowieża Primaeval Forest (hydrography from the database of the State Water Management “Polish Waters”—QGIS plugin https://github.com/LScislowski/Wody_Polskie_Baza_WMS, accessed on 15 April 2025).
Figure 1. Location of the measuring wells in the Białowieża Primaeval Forest (hydrography from the database of the State Water Management “Polish Waters”—QGIS plugin https://github.com/LScislowski/Wody_Polskie_Baza_WMS, accessed on 15 April 2025).
Water 17 02027 g001
Figure 2. Differences between precipitation in 2022, 2023, and the years in the period of 1985–2005 in Bialowieża, taking into account the hydrological years, the summer period (May–October), and the winter period (November–April); the circle marks the years selected for comparison.
Figure 2. Differences between precipitation in 2022, 2023, and the years in the period of 1985–2005 in Bialowieża, taking into account the hydrological years, the summer period (May–October), and the winter period (November–April); the circle marks the years selected for comparison.
Water 17 02027 g002
Figure 3. Comparison of the net radiation calculated from the solar radiation in Czerlonka (B) and from the meteorological data of the Białowieża (A) station.
Figure 3. Comparison of the net radiation calculated from the solar radiation in Czerlonka (B) and from the meteorological data of the Białowieża (A) station.
Water 17 02027 g003
Figure 4. Mean annual air temperature in Białowieża in the period of 1985–2023.
Figure 4. Mean annual air temperature in Białowieża in the period of 1985–2023.
Water 17 02027 g004
Figure 5. Total precipitation in the hydrological years in Białowieża in the period of 1985–2023.
Figure 5. Total precipitation in the hydrological years in Białowieża in the period of 1985–2023.
Water 17 02027 g005
Figure 6. Number of days of snow cover in Białowieża in the period of 1985–2023.
Figure 6. Number of days of snow cover in Białowieża in the period of 1985–2023.
Water 17 02027 g006
Figure 7. Block diagrams of groundwater in swamp habitats in selected years.
Figure 7. Block diagrams of groundwater in swamp habitats in selected years.
Water 17 02027 g007
Figure 8. Block diagrams of groundwater in moist forest 2 habitats in selected years.
Figure 8. Block diagrams of groundwater in moist forest 2 habitats in selected years.
Water 17 02027 g008
Figure 9. Block diagrams of groundwater in moist forest 1 habitats in selected years.
Figure 9. Block diagrams of groundwater in moist forest 1 habitats in selected years.
Water 17 02027 g009
Figure 10. Block diagrams of groundwater in fresh forest 2 habitats in selected years.
Figure 10. Block diagrams of groundwater in fresh forest 2 habitats in selected years.
Water 17 02027 g010
Figure 11. Block diagrams of groundwater in fresh forest 1 habitats in selected years.
Figure 11. Block diagrams of groundwater in fresh forest 1 habitats in selected years.
Water 17 02027 g011
Table 1. Description of the groundwater monitoring wells.
Table 1. Description of the groundwater monitoring wells.
Well NumberForest DistrictType of Habitat MoistureMeasurement Interval
2Browskmoist forest (1)15 days
4Browskswamp forest15 days
9Browskswamp forest15 days
13aBrowskmoist forest (2)15 days
16Browskswamp forest15 days
17Browskfresh forest (2)15 days
22Browskmoist forest (2)15 days
24Browskfresh forest (1)15 days
25Browskfresh forest (1)15 days
26Browskmoist forest (1)15 days
55Browskmoist forest (2)15 days
56Browskfresh forest (1)15 days
60Białowieża NPswamp forest15 days
61Białowieża NPswamp forest15 days
62Białowieża NPswamp forest15 days
63Białowieża NPfresh forest (2)15 days
64Białowieża NPswamp forest10–11 days
201Białowieża NPmoist forest (1)10–11 days
202Białowieża NPmoist forest (1)10–11 days
205Białowieża NPfresh forest (2)10–11 days
207Białowieża NPfresh forest (2)10–11 days
Table 2. Spring groundwater level in the classification of the wetness of forest habitats (without drainage) in Poland.
Table 2. Spring groundwater level in the classification of the wetness of forest habitats (without drainage) in Poland.
Type of Habitat
Moisture
Fresh Forest 1Fresh Forest 2Moist Forest 1Moist Forest 2Swamp
Groundwater level (m)below −2.5below −1.8−0.8 to −1.8−0.5 to −0.8to −0.5
Table 3. Difference in precipitation (%) in selected years.
Table 3. Difference in precipitation (%) in selected years.
Period
Summer Half-YearWinter Half-YearHydrological Years
2022–19860.3−2.3−1.0
2022–20022.7−3.2−0.3
2022–20042.9−3.8−0.6
2023–1999−14.818.42.0
Table 4. Water balance of the Białowieża Forest in selected years (mm): P—sum of precipitation, I—sum of interception, ETa—actual evapotranspiration, and ΔR—retention change.
Table 4. Water balance of the Białowieża Forest in selected years (mm): P—sum of precipitation, I—sum of interception, ETa—actual evapotranspiration, and ΔR—retention change.
YearPIETaΔR
HYDROLOGICAL YEAR (November–October)
1986645.8256.4314.674.8
2002641.4254.5336.350.6
2004643.1254.3240.9147.9
2022639.5251.6312.575.3
1999596.6238.0329.129.5
2023609.1245.4343.919.8
WINTER HALF-YEAR (November–April)
1986246.5101.864.380.4
2002252.1106.86382.3
2004254.5103.262.588.8
2022239.3103.062.673.7
1999252.2105.157.190.0
2023309.1127.963.8117.4
SUMMER HALF-YEAR (May–October)
1986399.3154.7250.3−5.7
2002389.3147.7273.3−31.7
2004388.6151.1178.359.2
2022400.2148.7250.01.5
1999344.4133.0272.0−60.6
2023300.0117.4280.1−97.5
Table 5. Summary of the Mann-Kendall test and the Sen’s slope estimate for the groundwater levels during the hydrological years.
Table 5. Summary of the Mann-Kendall test and the Sen’s slope estimate for the groundwater levels during the hydrological years.
Well NumberFirst YearLast YearMann–KendallSen’s Slope EstimateGroundwater LevelChange in PeriodDifference
CalculatedRealCalculatedPredictedRealCalculatedPredictedRealReal–Predicted
Test ZSignific. (a)198519852005202320232005–19852023–19852023–19852023
419852005−2.14*f(year) = −0.01854 × (year − 1985) − 0.03937−0.04−0.11−0.41−0.74−0.36−0.37−0.70−0.250.38
919852005−0.91 f(year) = −0.01326 × (year − 1985) − 0.56055−0.56−0.48−0.83−1.06−0.59−0.27−0.50−0.110.47
1619852004−0.91 f(year) = −0.00418 × (year − 1985) − 0.34122−0.34−0.41−0.42−0.50−0.58−0.08−0.16−0.17−0.08
6019852005−0.15 f(year) = −0.00094 × (year − 1985) − 0.13289−0.13−0.08−0.15−0.17−0.17−0.02−0.04−0.090.00
6119852005−1.12 f(year) = −0.00368 × (year − 1985) − 0.25608−0.26−0.17−0.33−0.40−0.41−0.07−0.14−0.24−0.02
6219852005−3.35***f(year) = −0.01103 × (year − 1985) − 0.34451−0.34−0.37−0.57−0.76−0.60−0.22−0.42−0.230.16
6419852005−1.63 f(year) = 0.00854 × (year − 1985) − 0.002920.000.00−0.17−0.33−0.27−0.17−0.32−0.270.06
average swamp forests−0.24−0.23−0.41−0.57−0.43−0.17−0.33−0.190.14
13 a19852005−2.24*f(year) = −0.01165 × (year − 1985) − 0.67641−0.68−0.72−0.91−1.12−0.95−0.23−0.44−0.230.17
2219852005−1.81+f(year) = −0.01039 × (year − 1985) − 0.95928−0.96−1.05−1.17−1.35−1.03−0.21−0.390.020.32
5519852005−1.87+f(year) = −0.1261 × (year − 1985) − 0.70957−0.71−0.76−0.96−1.19−1.45−0.25−0.48−0.69−0.26
average moist forest (2)−0.78−0.84−1.01−1.22−1.14−0.23−0.44−0.300.08
219852005−0.85 f(year) = −0.0043 × (year − 1985) − 1.30658−1.31−1.44−1.39−1.47−1.33−0.09−0.160.110.14
2619852005−3.17**f(year) = −0.02913 × (year − 1985) − 0.8811−0.88−0.96−1.46−1.99−1.37−0.58−1.11−0.410.61
20119852005−1.18 f(year) = −0.01207 × (year − 1985) − 1.30237−1.30−1.53−1.54−1.76−1.42−0.24−0.460.110.34
20219852005−0.57 f(year) = −0.00898 × (year − 1985) − 1.17959−1.18−1.39−1.36−1.52−1.49−0.18−0.34−0.110.03
average moist forest (1)−1.17−1.33−1.44−1.68−1.40−0.27−0.52−0.070.28
average moist forests−1.00−1.12−1.26−1.49−1.29−0.25−0.48−0.170.19
1719852005−2.24*f(year) = −0.03164 × (year − 1985) − 1.83352−1.83−2.16−2.47−3.04−2.29−0.63−1.20−0.130.75
6319852005−2.69**f(year) = −0.02221 × (year − 1985) − 1.56868−1.57−1.80−2.01−2.41−1.95−0.44−0.84−0.160.46
20519852005−2.26*f(year) = −0.00210 × (year − 1985) − 1.60989−1.61−1.93−2.03−2.41−1.77−0.42−0.800.160.64
20719852005−2.81**f(year) = −0.02011 × (year − 1985) − 2.175667−2.18−2.34−2.58−2.94−2.38−0.40−0.76−0.040.56
average fresh forest (2)−1.80−2.05−2.27−2.70−2.10−0.47−0.90−0.040.60
2419852005−2.36*f(year) = −0.01321 × (year − 1985) − 2.75367−2.75−2.83−3.02−3.26−2.89−0.26−0.50−0.070.36
2519852005−2.42*f(year) = −0.01509 × (year − 1985) − 3.16782−3.17−3.34−3.47−3.74−3.35−0.30−0.57−0.010.39
5619852005−2.57*f(year) = −0.029557 × (year − 1985) − 3.70479−3.70−4.11−4.30−4.83−4.63−0.59−1.12−0.520.20
average fresh forest (1)−3.21−3.43−3.59−3.94−3.63−0.39−0.73−0.200.32
average fresh forests−2.40−2.64−2.84−3.23−2.75−0.44−0.83−0.110.48
Note: (a) Significance levels, *** α = 0.001; ** α = 0.01; * α = 0.05; + α = 0.1; and blank cell α > 0.1.
Table 6. Summary of the Mann–Kendall test and the Sen slope estimate for the groundwater level values in the winter half-year (November–April)).
Table 6. Summary of the Mann–Kendall test and the Sen slope estimate for the groundwater level values in the winter half-year (November–April)).
Well NumberFirst YearLast YearMann–KendallSen’s Slope EstimateGroundwater LevelChange in PeriodDifference
CalculatedRealCalculatedPredictedRealCalculatedPredictedRealReal–Predicted
Test ZSignific. (a)198519852005202320232005–19852023–19852023–19852023
419852005−1.9024+f(year) = −0.01556 × (year − 1985) + 0.0348980.03−0.21−0.28−0.56−0.07−0.31−0.590.140.49
919852005−1.1173 f(year) = −0.0118 × (year − 1985) − 0.51727−0.52−0.57−0.75−0.97−0.39−0.24−0.450.170.57
1619852004−0.3573 f(year) = −0.00269 × (year − 1985) − 0.2826−0.28−0.40−0.34−0.38−0.37−0.05−0.100.030.02
60198520050.0908 f(year) = −0.000222 × (year − 1985) − 0.03778−0.04−0.02−0.03−0.030.050.000.010.070.08
6119852005−1.2381 f(year) = −0.00698 × (year − 1985) − 0.06333−0.06−0.07−0.20−0.33−0.02−0.14−0.270.040.30
6219852005−2.3877*f(year) = −0.00829 × (year − 1985) − 0.25057−0.25−0.39−0.42−0.57−0.35−0.17−0.320.050.22
6419852005−1.842+f(year) = −0.00914 × (year − 1985) + 0.1482860.150.07−0.03−0.200.04−0.18−0.35−0.020.24
average swamp forests−0.14−0.23−0.29−0.43−0.16−0.16−0.290.070.28
1319852005−1.842+f(year) = −0.01062 × (year − 1985) − 0.58799−0.59−0.77−0.80−0.99−0.63−0.21−0.400.140.36
2219852005−0.7251 f(year) = −0.00645 × (year − 1985) − 0.88774−0.89−1.11−1.02−1.13−0.80−0.13−0.240.310.33
5519852005−1.1173 f(year) = −0.01147 × (year − 1985) − 0.5875−0.59−0.90−0.82−1.02−1.25−0.23−0.44−0.35−0.22
average moist forest (2)−0.69−0.93−0.88−1.05−0.89−0.19−0.360.030.16
219852005−0.0906 f(year) = −0.00253 × (year − 1985) − 1.28456−1.28−1.50−1.34−1.38−1.07−0.05−0.100.440.31
2619852005−2.7479**f(year) = −0.02839 × (year − 1985) − 0.87656−0.88−1.13−1.44−1.96−1.20−0.57−1.08−0.070.75
20119852005−1.2688 f(year) = −0.01253 × (year − 1985) − 1.30365−1.30−1.73−1.55−1.78−1.13−0.25−0.480.600.65
20219852005−0.9361 f(year) = −0.00949 × (year − 1985) − 1.01931−1.02−1.68−1.21−1.38−1.01−0.19−0.360.670.37
average moist forest (1)−1.12−1.51−1.39−1.62−1.10−0.26−0.500.410.52
average moist forests−0.94−1.26−1.17−1.38−1.01−0.23−0.440.250.37
1719852005−2.0232*f(year) = −0.03036 × (year − 1985) − 1.77369−1.77−2.37−2.38−2.93−1.96−0.61−1.150.410.96
6319852005−2.2044*f(year) = −0.02407 × (year − 1985) − 1.47875−1.48−1.99−1.96−2.39−1.57−0.48−0.910.410.82
20519852005−2.1752*f(year) = −0.02743 × (year − 1985) − 1.61181−1.61−2.20−2.16−2.65−1.62−0.55−1.040.581.03
20719852005−1.148 f(year) = −0.01435 × (year − 1985) − 2.10797−2.11−2.62−2.39−2.65−1.87−0.29−0.550.740.78
average fresh forest (2)−1.74−2.29−2.22−2.66−1.76−0.48−0.910.540.90
2419852005−2.2356*f(year) = −0.01724 × (year − 1985) − 2.71132−2.71−2.94−3.00−3.25−2.75−0.29−0.540.190.50
2519852005−2.3856*f(year) = −0.01724 × (year − 1985) − 3.26647−3.27−3.53−3.61−3.92−3.24−0.34−0.660.280.68
5619852005−2.0232*f(year) = −0.0278 × (year − 1985) − 3.7528−3.75−4.26−4.31−4.81−4.54−0.56−1.06−0.280.27
average fresh forest (1)−3.24−3.58−3.64−4.00−3.51−0.40−0.750.070.49
average fresh forests−2.39−2.84−2.83−3.23−2.51−0.44−0.840.330.72
Note: (a) Significance level, *** α = 0.001; ** α = 0.01; * α = 0.05; + α = 0.1; and blank cell α > 0.1.
Table 7. Summary of the Mann–Kendall test and Sen’s slope estimate for the groundwater level values in the summer half-year (May–October).
Table 7. Summary of the Mann–Kendall test and Sen’s slope estimate for the groundwater level values in the summer half-year (May–October).
Well NumberFirst YearLast YearMann–KendallSen’s Slope EstimateGroundwater LevelChange in PeriodDifference
CalculateRealCalculatedPredictedRealCalculatedPredictedRealReal–Predicted
Test ZSignific. (a)198519852005202320232005–19852023–19852023–19852023
419852005−2.54*f(year) = −0.026 × (year − 1985) − 0.08571−0.09−0.02−0.61−1.07−0.66−0.52−0.99−0.640.42
919852005−1.78+f(year) = −0.01969 × (year − 1985) − 0.57198−0.57−0.40−0.97−1.32−0.80−0.39−0.75−0.390.52
1619852004−1.40 f(year) = −0.00554 × (year − 1985) − 0.40892−0.41−0.41−0.52−0.62−0.79−0.11−0.21−0.38−0.17
6019852005−0.27 f(year) = −0.00244 × (year − 1985) − 0.25678−0.26−0.14−0.31−0.35−0.39−0.05−0.09−0.25−0.04
6119852005−0.57 f(year) = −0.00528 × (year − 1985) − 0.40167−0.40−0.27−0.51−0.60−0.81−0.11−0.20−0.53−0.20
6219852005−2.08*f(year) = −0.01246 × (year − 1985) − 0.37875−0.38−0.35−0.63−0.85−0.85−0.25−0.47−0.500.00
6419852005−1.24 f(year) = −0.00815 × (year − 1985) − 0.07667−0.08−0.08−0.24−0.39−0.58−0.16−0.31−0.51−0.20
average swamp forests−0.31−0.24−0.54−0.74−0.70−0.23−0.43−0.460.05
13 a19852005−2.26*f(year) = −0.01476 × (year − 1985) − 0.77214−0.77−0.67−1.07−1.33−1.28−0.30−0.56−0.610.06
2219852005−1.84+f(year) = −0.01419 × (year − 1985) − 1.02111−1.02−0.99−1.31−1.56−1.26−0.28−0.54−0.270.30
5519852005−1.66+f(year) = −0.01218 × (year − 1985) − 0.87574−0.88−0.63−1.12−1.34−1.65−0.24−0.46−1.02−0.31
average moist forest (2)−0.89−0.76−1.16−1.41−1.40−0.27−0.52−0.630.01
219852005−0.39 f(year) = −0.00279 × (year − 1985) − 1.4327−1.43−1.39−1.49−1.54−1.60−0.06−0.11−0.21−0.06
2619852005−2.93**f(year) = −0.0251 × (year − 1985) − 0.93406−0.93−0.80−1.44−1.89−1.55−0.50−0.95−0.750.34
20119852005−1.12 f(year) = −0.01073 × (year − 1985) − 1.325−1.33−1.33−1.54−1.73−1.71−0.21−0.41−0.380.02
20219852005−0.45 f(year) = −0.01069 × (year − 1985) − 1.42889−1.43−1.10−1.64−1.84−1.98−0.21−0.41−0.88−0.15
average moist forest (1)−1.28−1.15−1.53−1.75−1.71−0.25−0.47−0.560.04
average moist forests−1.11−0.99−1.37−1.60−1.57−0.26−0.49−0.590.03
1719852005−2.33*f(year) = −0.028 × (year − 1985) − 1.9525−1.95−1.95−2.51−3.02−2.61−0.56−1.06−0.660.41
6319852005−2.33*f(year) = −0.02673 × (year − 1985) − 1.61925−1.62−1.62−2.15−2.64−2.33−0.53−1.02−0.710.31
20519852005−1.90+f(year) = −0.01701 × (year − 1985) − 1.64333−1.64−1.66−1.98−2.29−1.92−0.34−0.65−0.260.37
20719852005−2.81**f(year) = −0.03361 × (year − 1985) − 2.25−2.25−2.05−2.92−3.53−2.88−0.67−1.28−0.830.65
average fresh forest (2)−1.87−1.82−2.39−2.87−2.43−0.53−1.00−0.610.43
2419852005−2.81**f(year) = −0.01578 × (year − 1985) − 2.75089−2.75−2.72−3.07−3.35−3.04−0.32−0.60−0.320.31
2519852005−1.90+f(year) = −0.00898 × (year − 1985) − 3.18373−3.18−3.17−3.36−3.52−3.46−0.18−0.34−0.300.06
5619852005−2.17*f(year) = −0.02889 × (year − 1985) − 3.74778−3.75−3.97−4.33−4.85−4.72−0.58−1.10−0.750.12
average fresh forest (1)−3.23−3.28−3.59−3.91−3.74−0.36−0.68−0.460.16
average fresh forests−2.45−2.45−2.90−3.31−2.99−0.45−0.86−0.550.32
Note: (a) Significance level, *** α = 0.001; ** α = 0.01; * α = 0.05; + α = 0.1; and blank cell α > 0.1.
Table 8. Average water levels in the habitat types in selected years.
Table 8. Average water levels in the habitat types in selected years.
Type of Habitats
Yearswampmoist forest 2moist forest 1all moist forestsfresh forest 2fresh forest 1all fresh forests
1986−0.16−0.79−1.14−0.99−1.82−3.24−2.43
2002−0.41−0.98−1.43−1.23−2.25−3.61−2.83
2004−0.38−0.97−1.31−1.17−2.19−3.68−2.83
2022−0.22−0.86−1.24−1.07−1.99−3.65−2.70
1999−0.25−0.68−1.12−0.93−1.78−3.12−2.36
2023−0.43−1.14−1.40−1.29−2.10−3.63−2.75
2023–1999−0.18−0.46−0.28−0.36−0.31−0.52−0.39
Disclaimer/Publisher’s Note: The statements, opinions and data contained in all publications are solely those of the individual author(s) and contributor(s) and not of MDPI and/or the editor(s). MDPI and/or the editor(s) disclaim responsibility for any injury to people or property resulting from any ideas, methods, instructions or products referred to in the content.

Share and Cite

MDPI and ACS Style

Boczoń, A.; Wróbel, M.; Kowalska, A. Long-Term Changes in Groundwater Levels in the Białowieża Forest, Poland, Under Climate Change. Water 2025, 17, 2027. https://doi.org/10.3390/w17132027

AMA Style

Boczoń A, Wróbel M, Kowalska A. Long-Term Changes in Groundwater Levels in the Białowieża Forest, Poland, Under Climate Change. Water. 2025; 17(13):2027. https://doi.org/10.3390/w17132027

Chicago/Turabian Style

Boczoń, Andrzej, Michał Wróbel, and Anna Kowalska. 2025. "Long-Term Changes in Groundwater Levels in the Białowieża Forest, Poland, Under Climate Change" Water 17, no. 13: 2027. https://doi.org/10.3390/w17132027

APA Style

Boczoń, A., Wróbel, M., & Kowalska, A. (2025). Long-Term Changes in Groundwater Levels in the Białowieża Forest, Poland, Under Climate Change. Water, 17(13), 2027. https://doi.org/10.3390/w17132027

Note that from the first issue of 2016, this journal uses article numbers instead of page numbers. See further details here.

Article Metrics

Back to TopTop