Abstract
Lakes are important sinks for antibiotics as suspended particulate matters (SPMs) in lakes have become significant carriers of antibiotic adsorption and migration. The light and heavy fractions of SPM are involved in the process of suspension and sedimentation in the aqueous environment. Combined with the adsorption behaviors of antibiotics onto SPM, a basis for the risk of antibiotic migration in lakes will be provided. In this study, SPM from Lake Taihu was collected and grouped according to density as light fraction (LF) and heavy fraction (HF), with heavy fraction including loosely bound humus (WLH) and tightly bound humus (TH). Adsorption studies were carried out with three typical antibiotics: tetracycline hydrochloride (TC), norfloxacin (NOR), and trimethoprim (TMP). The adsorption processes of all particulate fractions towards antibiotics were fast, which is consistent with pseudo-second-order kinetics. The adsorption in the TC and NOR groups was much higher than that in the TMP group, which was mainly related to the properties of the antibiotics. The LF group was the special component with the fastest adsorption rate, the largest adsorption amount, and the lowest desorption ratio, regardless of antibiotics, which is related to the organic matter content and the rich-carbon-containing functional groups in the LF group, such as -C=O. These findings highlight the need for further attention to the high adsorptive transport effect of LF on antibiotics in lake ecosystems.
1. Introduction
Antibiotics have been widely used for several decades to prevent and treat bacterial infections in humans and animals [1]. A substantial proportion of antibiotics administered to humans and livestock ultimately enter the aquatic environment, potentially exerting adverse effects on aquatic organisms and human health [2]. The transportation and degradation in the aquatic environment are influenced by different factors, in which the widely and plentifully distributed suspended particulate matter (SPM) acts as a key medium of antibiotics across the water column and sediment phase [3,4,5]. Notably, the detection frequency of antibiotics in SPM has been reported to exceed that in dissolved phases [6]. As a pivotal environmental process, antibiotic adsorption on SPM profoundly influences their environmental fate and transformation [7].
Environmental parameters such as pH, temperature, and hydrodynamic conditions have been found to influence the adsorption efficacy of SPM on antibiotics in aquatic ecosystems [8]. It is also important to note that SPM has a complex composition and is in a dynamic process of constant binding and fragmentation in lakes which might affect the adsorption behavior of antibiotics [9]. SPM in aquatic environments comprises heterogeneous mixtures of inorganic and organic particles. The structural characterization of SPM revealed porous and loosely arranged microstructures with diverse morphologies. The compositional heterogeneity of SPM results in distinct adsorption sites exhibiting differential binding affinities for contaminants [10].
The organic carbon content of SPM plays a decisive role in organic pollutant behavior, particularly for hydrophobic compounds [9,11,12]. For instance, oxytetracycline (OTC) exhibits enhanced adsorption and reduced desorption in high-organic-carbon soils [13]. Luo et al. (2019) [14] observed that SPM samples with lower mass fractions but elevated organic content demonstrated superior adsorption capacities, highlighting differential adsorption mechanisms among organic matter components [15]. Organic matter decomposition yields two principal fractions: light fraction (LF) consisting of variably decomposed plant and microbial residues, and heavy fraction (HF) containing stabilized low-molecular-weight compounds and humic substances [16]. Recent studies indicate that LF organic matter exhibits a superior enrichment capacity compared to HF, while HF demonstrates greater resuspension potential [12]. Through density fractionation, natural SPM can be segregated into low-density LF and high-density HF. LF particles remain suspended in upper water layers, exhibiting prolonged hydrodynamic persistence and susceptibility to flow disturbance. The zooplankton-mediated ingestion of pollutant-laden LF facilitates contaminant transfer through aquatic food webs. Conversely, HF predominantly exists as organo-mineral complexes that rapidly settle into sediments, forming benthic substrates and serving as nutritional sources for deposit feeders [17]. So, the adsorption of antibiotics on light or heavy SPM will greatly determine their transportation in water environments and their circulation in the ecological chain.
In the present study, we aim to investigate the adsorption of antibiotics by SPM fractions. We collected SPM from Lake Taihu, a large shallow and eutrophic lake in the eastern plain of China, where there are abundant SPMs due to the high primary biomass and frequent sediment resuspension induced by wind–wave disturbances. The SPM samples were separated into LF and HF to examine their adsorption on norfloxacin, tetracycline hydrochloride, and trimethoprim, respectively. The main problems that we would like to address in this study are (1) the adsorption of antibiotics by the light and heavy fractions of SPM is likely to be divergent and the reasons for the inconsistency need to be explored in depth and (2) the adsorption of different antibiotics by the different components of SPM also needs to be further clarified. Our results will demonstrate the adsorption–desorption mechanisms of antibiotics on the LF and HF SPM and reveal the intrinsic role of organic matter in driving this process, which is significantly meaningful to predict antibiotic migrations among water, sediment, and aquatic organisms.
2. Materials and Methods
2.1. SPM Collection and Preparation
SPM samples were collected from Xukou Bay (31°17′ N–31°32′ N; 120°40′ E–120°43′ E) in Lake Taihu (surface area: 2338 km2; mean depth: 1.89 m), China. SPM traps were deployed on 31 December 2019 and retrieved after 15 days. A 16-channel trap array (4 × 4; inner diameter of each column: 84 mm; length: 350 mm) was employed for SPM collection following the method of Luo et al. (2019) [14]. Collected samples were sequentially sieved through a 20-mesh sieve to remove algal and aquatic animal residues, followed by 4 h sedimentation, freeze drying, and final sieving through a 100-mesh sieve prior to storage.
The density-based fractionation of organic matter into HF and LF was conducted according to established protocols [16,18]. Five grams of SPM were weighed into 50 mL polypropylene centrifuge tubes, which were combined with 20 mL of NaI solution (1.85 g mL−1) and vortex-mixed for 1 min. Subsequent HZ ultrasonic treatment (5 min) and centrifugation (5000 rpm, 10 min) enabled the collection of LF-containing supernatant into 250 mL beakers. This extraction process was repeated twice, with the combined LF suspension filtered through 0.45 μm aqueous membranes using a sand core filtration apparatus. Retained particles underwent sequential rinses with 300 mL 0.01 mol L−1 CaCl2 solution followed by distilled water until a negative Cl− response was received. The residual HF was subjected to three cycles of 0.01 mol L−1 CaCl2 washing and two distilled water rinses. Both LF and HF fractions were oven-dried at 55 °C, sieved through a 100-mesh sieve, and stored.
The HF fraction was further subdivided into weakly loose humus (WLH) and tightly bound humus (TH) via modified sequential extraction [17,19]. Briefly, 2.5 g of the HF was combined with 20 mL 0.1 mol L−1 NaOH in 50 mL Teflon centrifuge tubes and agitated (200 rpm, 30 °C, 12 h). After centrifugation (8000 rpm, 15 min), the alkaline extraction was repeated 4–5 times until the supernatant was clarified. Neutralization was achieved through distilled water washing (pH 7), followed by 55 °C drying to obtain WLH. Subsequent treatment of 5 g WLH with 100 mL 0.1 mol L−1 NaOH/Na4P2O7 mixture under identical agitation conditions (3–4 extraction cycles) yielded TH. The final residues were adjusted to pH 7 with distilled water and then lyophilized for analysis (Figure 1).
Figure 1.
Flow chart of sample preparation process.
2.2. Chemicals
Norfloxacin (≥98.0%), tetracycline hydrochloride (>98.0%), and trimethoprim (98%) were purchased from Sigma-Aldrich (St. Louis, MO, USA). Organic solvents of acetonitrile (HPLC-grade) were obtained from Merck (Darmstadt, Germany), and analytical-grade formic acid, phosphoric acid, potassium dihydrogen phosphate, sodium iodide, and chemical reagents were obtained from Sinopharm Chemical Reagent Co., Ltd. (Shanghai, China).
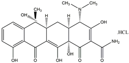
The analysis results of molecular surface electrostatic potential (ESP) are shown in Table 1. The blue regions indicate that the antibiotic exhibits negative electrostatic potential (-OH, -C=O) in these areas, suggesting they are more likely to release electrons or exhibit stronger nucleophilicity compared to other regions. The red regions represent positive electrostatic potential in the antibiotic, indicating a higher tendency to accept electrons and greater electrophilicity in these areas.
Table 1.
Molecular structure and physicochemical properties of tetracycline (TC), norfloxacin (NOR), and trimethoprim (TMP).
A comprehensive analysis of the components of suspended particulate matter and the functional groups on antibiotics provides an effective approach to study their adsorption-binding processes. For instance, LF contains abundant aromatic carbon. The delocalized π-electrons on benzene rings form extended π-electron delocalization regions [20], which enhances the adsorption efficiency towards TC. The electrophilicity of phenolic hydroxyl groups is stronger than that around cyclohexanol hydroxyl groups, while carbonyl and free carbonyl groups exhibit significant nucleophilicity. These electrostatic characteristics make TC molecules more prone to interact with suspended particulate matter [21].
2.3. Experimental Design
2.3.1. Kinetic Adsorption Experiments
Antibiotic adsorption experiments were conducted using 100 mL Erlenmeyer flasks containing 100 mL of working solutions: 10 mg L−1 tetracycline (TC), 10 mg L−1 norfloxacin (NOR), and 5 mg L−1 trimethoprim (TMP). Each flask was dosed with specific particulate fractions (LF, HF, WLH, or TH). To ensure that the solution concentration at adsorption equilibrium accounts for 20–80% of the total concentration, the initial concentration of TMP in this study differs from that of the other two antibiotics. Triplicate experimental groups and blank controls (antibiotic solutions without particulates) were established for all five particulate fractions (SPM, LF, HF, WLH, TH). The reaction systems were incubated at 20 °C with 160 rpm orbital shaking (Parafilm® PM996-sealed). Aliquots were collected at predetermined intervals (0, 5, 15, 30, 60, 120, 240, 480, 720, 1440, and 2880 min), filtered through 0.22 μm organic phase membranes, and transferred to 1.5 mL amber HPLC vials (ANPEL Laboratory Technologies, Shanghai, China) for subsequent analysis.
2.3.2. Isotherm Adsorption Experiments
The isothermal adsorption experiment used identical design parameters to the kinetic adsorption study, with modification solely of initial antibiotic concentrations under 1440 min equilibrium conditions. TC and NOR solutions were prepared across six concentration gradients (4, 6, 8, 10, 12, and 14 mg L−1) within the range of 4–14 mg L−1. TMP solutions spanned 2–10 mg L−1 through six incremental levels (2, 4, 5, 6, 8, and 10 mg L−1) and were all contained in standardized Erlenmeyer flasks.
2.4. Analytical Methods
High-performance liquid chromatography (LC-20AT, Shimadzu, Japan) was used to detect the antibiotic concentrations using an InertSustain C18 column (150 × 4.6 mm, 5 μm) with a protection column (7.8 mm × 13 mm). The detection of TC was performed via isocratic elution with a mobile phase of acetonitrile and 0.05% formic acid (83:17). The pH of the mobile phase for TC detection was adjusted to 3.2 with triethylamine. The volume ratio of mobile phase A (acetonitrile) and B (0.025 mol L−1 phosphoric acid, pH adjusted to 3.0–3.1 with triethylamine) was 15:85 for NOR. TMP was analyzed via isocratic elution with a mobile phase consisting of acetonitrile (20%) and 0.02 mol L−1 potassium dihydrogen phosphate aqueous solution (80%). The flow rate, column oven temperature, and injection volume were 1.0 mL/min, 40 °C, and 10 μL, respectively. TC, NOR, and TMP were monitored at wavelengths of 354, 278, and 259 nm.
The total organic carbon content of the SPM, LF, HF, WLH, and TH was measured with a rapid dichromate oxidation technique. The CEC was determined with the BaCl2-MgSO4 method. The EA3000 elemental analyzer (EuroVector, Pavia, Italy) was used to analyze the total C/N [22] (Deng et al., 2014). The microscopic surface morphology and element composition of particulate organic matter were measured and analyzed using a scanning electron microscope (EVO18, Zeiss, Oberkochen, Germany) and an X-type energy dispersive (X Pert3 Powder, PANalytical, Almelo, The Netherlands) ray analyzer [12]. A Fourier Transform Infrared Spectrometer (NigoletiS 50, Thermo Fisher Scientific, Waltham, MA, USA) was used to measure the structure of functional groups in the suspended particulate organic matter of different components after antibiotic adsorption. The functional groups were analyzed using the KBr compression method with a scanning range of 400–4000 cm−1 [22].
Organic carbon functional groups of the SPM, LF, HF, WLH, and TH were measured using solid-state 13C nuclear magnetic resonance (NMR) spectroscopy (AVANCE III 400 MHz, Bruker, Billerica, MA, USA). The resonance frequency of 13C is 100.613/MHz, with standard glycine for chemical shift calibration. NMR experiments were run using a Bruker 4 mm double-resonance probe head and a ZrO2 rotor. CP-TOSS/MAS spectra were run at a spinning speed of 5 kHz. The acquisition time was 5.12 µs, and the spectral width was 100 kHz. The 90° 13C pulse length was 11 µs and the recycle delay time was 1 s. The number of scans is from 4000 to 8000. The data were processed with Bruker.Topspin3.1 software [23].
To demineralize the adsorbent, 1 g of the samples was placed in a 50 mL polystyrene centrifuge tube, which was first treated with 1 M HCl in a shaker set at 25 °C and 125 rpm for 24 h and then centrifuged to remove the supernatant. The residue was treated with 45 mL of a 10% hydrofluoric acid + 1 M HCl mixed solution for 4 days, repeated twice, and, finally, washed with 40 mL of distilled water three times and freeze-dried for later use. The following spectrometer parameters used to acquire the 13C spectra were used: contact time of 2.0 ms; recycle delay time of 1.0 s; spinning speed of 10 kHz; and the number of scans ranged from 5000 to 10,000 per sample. According to the chemical shift (ppm), it can be divided into 6 regions to reflect the composition of different types of carbon in organic matter: alkyl-C (0–45 ppm), O-alkyl-C (45–110 ppm), aromatic C—H (110–140 ppm), aromatic C—O (140–160), and carboxyl-C (160–220 ppm) bands [24]. The relative content of different types of carbon can be calculated by integrating the peak area in each region of the spectrum.
2.5. Data Analysis
We use the pseudo-first-order kinetic, pseudo-second-order kinetic, and intraparticle diffusion equations to study the adsorption process:
where k1 (min−1) and k2 (min−1) are the rate constants for the pseudo-first-order and pseudo-second-order kinetic models, respectively, R2 is the regression coefficient, and qt and qe are the amounts of antibiotics adsorbed per unit mass (mg g−1) of SPM, LF, HF, WLH, and TH at time (t) and equilibrium, respectively.
Isotherm sorption was analyzed via regression using three different sorption models—linear, Langmuir, and Freundlich isotherm models—to qualitatively describe the antibiotic adsorption characteristics. The equations of each model are as follows:
where qe (mg g−1) is the adsorption capacity of antibiotics by the SPM, LF, HF, WLH, and TH; Ce (mg L−1) is the equilibrium concentration of antibiotics; qm (mg g−1) represents the saturated adsorption capacity for antibiotics; Kl, Kf, and Kd are the adsorption equilibrium constants of the Langmuir, Freundlich, and linear adsorption isotherm models, respectively; and 1/n is a parameter related to the affinity between the adsorbent and adsorbate in the Freundlich adsorption equation.
The kinetic and isothermal adsorption data were fitted with the models (Equations (1)–(6)) with Origin 2020 (OriginLab Corporation, Northampton, MA, USA) to obtain the corresponding adsorption parameters.
3. Results and Discussion
3.1. Physicochemical Properties of the Samples
The physicochemical characteristics of the particulate fractions are summarized in Table 2. Despite constituting merely 1.66% of the total mass, the light fraction (LF) exhibited significantly higher organic content. Elemental analysis revealed that the carbon content of LF was approximately sixfold higher than that of the parent SPM. The heavy fraction (HF) demonstrated comparable organic matter content to the original SPM, with minimal variation observed between HF and weakly loose humus (WLH). Tightly bound humus (TH) organic matter constituted 51% of the parent material’s organic content.
Table 2.
Physicochemical properties of the different components of the suspended particulate matter from Xukou Bay.
C/N ratio analysis established the following hierarchy: LF > SPM > HF > WLH > TH, confirming compositional heterogeneity among the fractions. The integration of mass percentage data, organic content measurements, and demineralization results indicated substantial mineral constituents in WLH and TH, consistent with their proportionally higher mass percentages. From the measured data, WLH exhibited the largest cation exchange capacity, and TH had the smallest cation exchange capacity.
3.2. Adsorption Kinetics
The adsorption process curve of the three antibiotics on the particles of each component is shown in Figure 2. The kinetic model fitting results and corresponding parameters of each model are shown in Table 3.
Figure 2.
Cumulative adsorption (qe) of TC, NOR, and TMP onto different components of suspended particulate matter in Lake Taihu.
Table 3.
Kinetic parameters of adsorption kinetics of TC, NOR, and TMP onto different components of SPM in Lake Taihu.
Samples possess certain adsorption sites. At the initial stage of adsorption, numerous adsorption sites exist, leading to a high adsorption rate of antibiotics. With increasing adsorption time, the number of adsorption sites gradually decreases, and the adsorption rate decreases accordingly [25]. The slope of the fast adsorption curve is steep. For TC and NOR, the fast adsorption stage lasts from 0 to 240 min, and the total adsorption reaches about 60%. For TMP, the fast adsorption lasts from 0 to 30 min, and the total adsorption ranges from 87 to 97%, except for TH, which is around 75%. Rapid adsorption mainly involves the combination of antibiotics with functional groups exposed on the surface of organic and inorganic components in suspended particles. During the rapid adsorption phase, an adequate number of adsorption sites exist on the sample surface [26]. The concentration of antibiotics in the solution and the active site content of the particulate components affect the adsorption of antibiotics by the particulates [27]. The initial concentration of antibiotics provides the necessary driving force to overcome the mass transfer resistance at the interface between the antibiotic solution and the suspended solids phase [28]. As the antibiotic concentration in the solution gradually decreases and the total adsorption reaches the aforementioned proportion, the adsorption rate slows down and stabilizes. This may be attributed to the saturation of active sites on the particle surface after a certain period, followed by the gradual diffusion of TC, NOR, and TMP into the particles, thereby enhancing the adsorption [29,30]. TC and NOR reached equilibrium at approximately 1440 min after adsorption stabilized, while TMP reached equilibrium at around 240 min.
The fitting results show that the adsorption of the three antibiotics was most suitable for the pseudo-second-order kinetic equation (R2 > 0.959). Among them, LF exhibited the highest adsorption rate and capacity, while HF exhibited the worst adsorption rate and capacity for TC and NOR, and WLH showed the worst adsorption rate and capacity for TMP. The analysis results revealed that there was no positive correlation between the adsorption effect and the organic matter content, indicating that the organic matter content of the particulate matter is not a decisive factor limiting the adsorption, and that this phenomenon may be related to the microporous structure, functional groups, and organic carbon types of different components.
The above two models could not identify the diffusion mechanism in the adsorption process, so the intra-particle diffusion model was used to test the experimental data, and the results are shown in Figure 3 and Table S1. The adsorption experiments for TC, NOR, and TMP exhibited three linear segments in their curves. The intercepts (C1 values) were all greater than 0.261, indicating that both the film diffusion and intraparticle diffusion occurred simultaneously [31,32], which also meant that there was boundary-layer resistance between the adsorbent and the adsorbate [33]. As shown in Table 2, the slope (Kt1) of the initial stage was steeper than that of the second stage (Kt2), and its corresponding intercept C1 value was smaller than that of C2. This can be attributed to the faster uptake of TC, NOR, and TMP by the particulate matter due to the rapid external mass transfer occurring in the initial stage. After the saturation of the outer surface, TC, NOR, and TMP molecules were subsequently diffused into the particle pores and were further adsorbed by available active sites. At this stage, the driving force of the adsorption process may decrease due to factors increasing the adsorption resistance of TC, NOR, and TMP molecules. These data suggested that intraparticle diffusion was not the only rate-controlling step during the adsorption process, and other processes might affect the adsorption rate [12,34,35].
Figure 3.
Intraparticle diffusion model of TC, NOR, and TMP in the SPM, LF, HF, WLH, and TH.
The adsorption capacity of SPM samples for TMP is significantly weaker than that for NOR and TC. The primary reason might be that, under the experimental pH conditions, TMP lacks strong polar groups, containing only methoxy and amino groups, resulting in weaker interactions with the functional groups on the surface of particles. Furthermore, TMP’s stronger hydrophilicity makes it difficult to be adsorbed through hydrophobic interactions.
3.3. Adsorption Isotherms
Figure 4 and Table 4 are the results of Langmuir and Freundlich isotherm adsorption models for TC, NOR, and TMP. It can be seen from the results that the adsorption isotherms of HF to three antibiotics, SPM and WLH to TC, and HF to NOR fit the Langmuir equation, which indicates that the adsorption process is mainly monolayer adsorption [36], and it is assumed that the energy adsorbed to the surface of the particles is uniform and there is no interaction between the antibiotic molecules [37]. The remaining adsorption results are more consistent with the Freundlich model, indicating that multilayer reversible adsorption occurred [8]. The value of R2 for the Freundlich model were greater than 0.923, indicating that the TC, NOR, and TMP adsorption onto the sample involved physical interaction [38]. The adsorption 1/n of all components for the three antibiotics is less than 1, suggesting that the adsorbent was favorable for the removal of TC, NOR, and TMP from the aqueous solution and that the process was heterogeneous [39,40], which is an “L”-type adsorption, indicating that, as the solute concentration increases, the competition for adsorption sites becomes more intense [41]. It also shows that all three antibiotics are easily adsorbed by the sample [42].
Figure 4.
(a) Langmuir and (b) Freundlich models of TC, NOR, and TMP adsorption onto different components of suspended particulate matter in Lake Taihu.
Table 4.
Linear, Freundlich, and Langmuir model fitting results for TC, NOR, and TMP adsorption onto different components of suspended particulate matter in Lake Taihu.
The model fitting results show that the theoretical value of qm does not differ significantly from the actual value, and the overall trend is consistent. Figure 3 and Table 3 indicate that the actual qm and Kd values show that the adsorption capacity of suspended particles varies with composition. The adsorption capacity of SPM and LF particles for antibiotics is relatively strong, while the adsorption capacity of WLH and TH particles is relatively low, which is consistent with the kinetic results.
3.4. Effect of Temperature on Adsorption
In this experiment, each particulate fraction was used as an adsorbent to adsorb antibiotics at 10, 20, and 30 °C. As shown in Figure 5, the three antibiotics exhibited the maximum adsorption capacity at 20 °C. Among them, the adsorption capacity of TC decreased at 10 °C, while the differences between the other two temperatures were not significant. This might be attributed to the formation of stable hydrogen bonding and ion exchange between antibiotic molecules and functional groups on the adsorbent surfaces at suitable temperatures.
Figure 5.
Adsorption capacity of TC, NOR, and TMP adsorption to SPM samples at different temperatures in Lake Taihu.
3.5. Desorption Experiment
Table 5 summarizes the desorption ratio data of different components of SPM samples for TC, NOR, and TMP. The desorption ratio of LF is low, indicating that LF has the best adsorption effect on antibiotics and is difficult to desorb. When comparing different antibiotics, it was found that the desorption rates of TC and NOR are not significantly different. TMP exhibits characteristics that make it difficult to be adsorbed by SPMs and various components, and easy to be desorbed. As previously reported, the desorption ratio of tetracycline antibiotics (oxytetracycline and chlortetracycline) is less than 10% [13], indicating that the adsorption of both antibiotics is highly irreversible [43]. NOR also has a strong specific interaction with soil particles, and its desorption ratio is relatively lower [44]. However, sulfonamide antibiotics exhibit higher desorption rates compared to the first two types of antibiotics [45,46]. A lower desorption ratio indicates that NOR carries a risk of migration with wind and wave action. Sediments adsorbed with antibiotics can be disturbed by wind and waves and transformed into suspended particulate matter, thereby increasing the risk of antibiotic dissemination. Consistent with previous findings [46,47], with the increase in organic carbon content, the adsorption capacity enhances while the desorption capacity weakens.
Table 5.
Desorption ratios of TC, NOR, and TMP adsorption onto different components of suspended particulate matter in Lake Taihu.
3.6. Mechanism Analysis for Adsorption System
3.6.1. Analysis of Major Adsorption Functional Groups
It is generally known that physisorption corresponded to the structure properties and chemisorption correlated with the surface functional groups of adsorbents, respectively [48,49]. The peaks of FTIR were consistent among the SPM, LF, HF, WLH, and TH, indicating there is no difference in the types of chemical functional groups. In contrast, FTIR (Figure 6) and 13C NMR (Figure 7) analysis showed that SPM, LF, HF, WLH, and TH contained different chemical functional group contents.
Figure 6.
FTIR spectra of different components of suspended particulate matter with adsorbed TC, NOR, and TMP.
Figure 7.
Solid-state 13C NMR spectra of SPM, LF, HF, WLH, and TH.
The FTIR spectra of SPM, LF, HF, WLH, and TH were scanned before and after the adsorption experiments, with the segment from 4000 to 1200 cm−1, including phenolic -OH (at ~3621 cm−1), amide/N-H/O-H (at ~3410 cm−1) [50], carboxylic O-H (2978 cm−1) [51], -CH2 (at ~2924, 2854 cm−1) [52], C=O (at ~1630 cm−1), N-H (at ~1540 cm−1), C=C (at ~1450 cm−1), C-O (at ~1420 cm−1), -COOH (at ~1384 cm−1) in NOR groups, and C-N (at ~1270 cm−1) in NOR groups [12,15,41,53].
After the adsorption of TC, NOR, and TMP by SPM, LF, HF, WLH, and TH, the broad-stretching vibration peak at 3410 cm−1 (associated with hydrogen bonds formed between amide/N-H/O-H and water) exhibited red shifts and the weakening of peak intensity to varying degrees. This indicates that hydrogen bonding formed between the C=O, O–H, and –NH2 groups in the three antibiotic molecules and the hydrated hydroxyl groups on the particulate matter surfaces during adsorption. This interaction increased the association degree of hydrated hydroxyl groups on the particulate surfaces, leading to a downward shift in wavenumber. Furthermore, except for SPM adsorbing NOR, all other particulate matter showed the most significant peak weakening after TC adsorption. This correlates with the higher number of C=O and O–H groups in NOR and TC molecules compared to TMP [54], likely due to the richer functional group composition in NOR and TC molecular structures.
After the adsorption of TC, NOR, and TMP, the intensity of the carboxylic acid O-H stretching vibration (2978 cm−1) was spectrally reduced to some extent on antibiotic-loaded SPM, LF, HF, WLH, and TH. These results suggest that hydroxyl and carboxyl groups may be involved in the adsorption of TC, NOR, and TMP on the particles. Notably, the 2978 cm−1 peak intensity almost completely disappeared after TMP adsorption by SPM, LF, and HF, indicating that carboxylic acid O-H groups contributed more adsorption sites as the TMP was binding to these particles. The SPM, LF, HF, WLH, and TH all exhibited a new peak at 1266 cm−1 after adsorbing NOR, which is consistent with the peak profile of the NOR standard sample. Moreover, it can be observed that the peak intensity is positively correlated with the adsorption capacity of NOR by these five types of particulate matter, indicating that surface partitioning is also one of the mechanisms by which particulate matter adsorbs NOR. The bands of the SPM, LF, HF, WLH, and TH were located at around 2924 cm−1, and only LF had a band at 2854 cm−1, which were relevant to the −CH2− stretching vibrations.
Solid-state 13C NMR can analyze and identify the structural differences of organic carbon in organic matter among different component-suspended particulates and integrate to calculate the organic carbon content; the results can be seen in Figure 6 and Table 6. The observation of the 13C nuclear magnetic resonance spectra revealed that the LF component exhibits broader peak shapes in the polar aromatic carbon and non-polar aromatic carbon regions compared to other components, while no distinct peaks are observed in the alkyl carbon C-H region. Therefore, the LF component has higher aromaticity and poorer aliphatic character.
Table 6.
Integration results from solid-state 13C NMR analysis of SPM, LF, HF, WLH, and TH of different sources (%).
Further analysis of the proportional distribution of structural functional groups in different organic matter showed that the organic carbon in the organic matter is predominantly composed of polar carbon components, with contents all greater than 58%, with the LF component having the highest proportion and WLH the lowest. Specifically, SPM contains the highest proportion of carboxyl carbon at 8.9%; the LF component contains the highest proportions of non-polar aromatic carbon, oxygenated aromatic carbon, and aldehyde/ketone at 20.79%, 8.62%, and 1.38%, respectively. Among them, aldehyde/ketone-type organic carbon is only present in the TH component at 0.36%, while other components, except LF, do not contain it; the HF component contains the highest amount of oxygenated alkyl carbon.
Thus, the LF group has higher contents of aromatic C-H, aromatic C-O, and -CHO/-C=O relative to the HF group. Combined with the FTIR results, the increase in the -C=O functional group is an important reason for the high adsorption of antibiotics in the LF group.
Then, we established a relationship between physicochemical properties, functional group abundance, and adsorption capacity at equilibrium, conducting a Pearson correlation analysis and organizing the relevant data into a statistical heatmap, as shown in Figure 8, with specific values provided in Table S2 in the Supplementary Materials. In these results, we observed some interesting phenomena. First, the adsorption capacity at equilibrium of the three antibiotics was positively correlated with total organic carbon, N%, aromatic C-O, carboxyl-C, and aromatic-C (B), and negatively correlated with alkyl-C and aliphatic-C (A). Both TC and TMP are statistically significant. By analyzing the pKa of the drugs and the functional groups provided by the drugs themselves (amino groups, methoxy groups, amide groups, etc.), we found that functional groups such as aromatic C-O, aromatic C-H, carboxyl-C, and aromatic-C (B) primarily provide adsorption sites for charge and π-π interactions. Particles with high organic matter content and high CEC exhibit a stronger adsorption capacity [55]. Antibiotics with more functional groups interact with particles in multiple ways (including electrostatic interactions, cation bridging, surface complexation, and hydrogen bonding), resulting in stronger binding affinity [56]. These findings are consistent with the experimental results of this study.
Figure 8.
Heat map of correlation between physicochemical properties, functional group content, and adsorption of different subgroups of suspended matter.
3.6.2. The Possible Reason of Differences in Antibiotic Adsorption by LF and HF
LF had the highest adsorption, with the possible reasons described below. π-π and n-π electron donor–acceptor interactions have been recognized as the predominant driving forces for the adsorption of benzene-ring-containing adsorbates [57]. Through existing research analyses [58,59], when the number of fused rings is low, the benzene rings of TC, NOR, and TMP can act as π-electron acceptors, while the hydroxyl groups on heterogeneous adsorbent surfaces serve as n-electron donors. However, as the number of associated rings increases, the aromatic rings on the adsorbent surface can also become strong π-electron donors, whereas the benzene rings in TC and NOR, due to the electron-withdrawing ability of -NR2 and fluorine groups, function as π-electron acceptors [57]. This may explain the stronger adsorption capacity of LF for TC and NOR. Notably, under neutral pH conditions, the strong electron-withdrawing ability of fluorine groups renders NOR’s benzene ring a π-electron acceptor, while the lower carbonyl carbon content and higher aldehyde/ketone group content in LF provide effective electron donors. The interaction between these two significantly enhances LF’s adsorption performance for NOR [59]. LF’s larger specific surface area and microporous structure facilitate the rapid diffusion of antibiotic molecules. The higher proportion of carboxylic acid groups and O-alkyl carbon in its functional groups promotes hydrogen bonding and chemical adsorption. According to the above conclusions, LF has the highest adsorption rate and capacity due to its high organic matter content, high aromatic carbon ratio, and abundant functional group content, providing π-electron donor sites.
Moreover, LF is always suspended in water and poses a high risk of ingestion by filter-feeding fish. In this study, LF is susceptible to the enrichment of antibiotics due to its strong adsorption capacity. Antibiotics accumulate along the food chain and amplify the toxicity, while wind and wave disturbances and low temperatures further exacerbate the risk. Ecological hazards from LF, which could carry more antibiotics in lakes, need to be paid attention to.
Correspondingly, HF/WLH/TH demonstrate weak adsorption capacities, with their significantly reduced organic matter content and a predominance of inorganic minerals. This results in fewer adsorption sites and predominantly physical adsorption. Among them, WLH/TH exhibit low porosity due to the tight bonding of minerals, leading to high diffusion resistance during antibiotic adsorption, slow adsorption rates, and high desorption rates. However, due to the large mass proportion of recombinant fractions, the total amount of antibiotics adsorbed by HF is large and can be deposited in the sediment, and the ecological effects of this fraction also need to be kept under constant scrutiny.
Antibiotics may enter the aquatic food chain through suspended particles, soil, and water, where they are absorbed by primary producers (such as phytoplankton). They are further transferred along the food chain and food web to consumers (such as filter-feeding fish) and subsequently re-enter lower levels of the food chain after the death and decomposition of organisms. The concentration of antibiotics gradually increases from lower to higher trophic levels in the food chain, creating a biomagnification effect that has profound negative impacts on ecosystems [60].
4. Conclusions
LF demonstrated higher adsorption rates and adsorption capacities and the lowest desorption rates for tetracycline (TC) and norfloxacin (NOR), whereas HF exhibited lower adsorption rates and capacities for these antibiotics. Additionally, WLH (water-lysable humic substances) showed the poorest adsorption rates and capacities for trimethoprim (TMP). All adsorption processes conformed to the pseudo-second-order kinetic model. The adsorption isotherms of HF for the three antibiotics, SPM and WLH for TC, and HF for NOR were best described by the Langmuir equation, while the remaining adsorption results were more consistent with the Freundlich model. Mechanistic analyses revealed that the high aromatic carbon content in LF enhanced adsorption through π-π and n-π electron donor–acceptor (EDA) interactions, with synergistic contributions from hydrogen bonding and ion exchange. Due to its strong adsorption capacity, LF readily formed strong bonds with pollutants. Therefore, special attention should be paid to the migration and transformation processes of the light fraction of SPM in aquatic environments, particularly the risks posed to filter-feeding fish.
Supplementary Materials
The following supporting information can be downloaded at: https://www.mdpi.com/article/10.3390/w17131859/s1. Figure S1: The research technology roadmap in this study; Table S1: The parameters of intra-particle diffusion model fitting of TC, NOR, and TMP onto different components of SPM in Lake Taihu; Table S2: The parameters of the intra-particle diffusion model fitting of TC, NOR, and TMP onto different components of SPM in Lake Taihu.
Author Contributions
Software, Y.W. (Yuran Wang); Resources, D.S., Y.W. (Yifeng Wang), J.G. (Jinyu Gao) and H.L.; Writing—original draft, H.T. and J.G. (Jinlong Gao); Supervision, Q.L. and Y.Z. All authors have read and agreed to the published version of the manuscript.
Funding
This study was supported by the National Natural Science Foundation of China (No. 42207275) and the National Innovation and Entrepreneurship Training Program for Undergraduate (No. 202510316423).
Data Availability Statement
The original contributions presented in this study are included in the article/Supplementary Materials. Further inquiries can be directed to the corresponding authors.
Conflicts of Interest
The authors declare no conflict of interest.
References
- Zhang, Q.; Ying, G.; Pan, C.; Liu, Y.; Zhao, J. Comprehensive Evaluation of Antibiotics Emission and Fate in the River Basins of China: Source Analysis, Multimedia Modeling, and Linkage to Bacterial Resistance. Environ. Sci. Technol. 2015, 49, 6772–6782. [Google Scholar] [CrossRef] [PubMed]
- Kovalakova, P.; Cizmas, L.; McDonald, T.; Marsalek, B.; Feng, M.; Sharma, V. Occurrence and toxicity of antibiotics in the aquatic environment: A review. Chemosphere 2020, 251, 126351. [Google Scholar] [CrossRef] [PubMed]
- Fan, J.; Yang, J.; Cheng, F.; Zhang, S.; Sun, J. Adsorption and migration of sulfamethoxazole driven by suspended particulate matter in water body. Mar. Pollut. Bull. 2025, 211, 117488. [Google Scholar] [CrossRef]
- Zhang, T.; Yan, R.; Gui, Q.; Gao, Y.; Wang, Q.; Xu, S. Fine particulate matter as a key factor promoting the spread of antibiotics in river network. Sci. Total Environ. 2024, 935, 17323. [Google Scholar] [CrossRef] [PubMed]
- Zhang, B.; Duan, Y.; Zhang, Z.; Tu, Y.; Luo, P.; Gao, J.; Dai, C.; Zhou, L. Multimedia fate model and risk assessment of typical antibiotics in the integrated demonstration zone of the Yangtze River Delta. China Sci. Total Environ. 2022, 805, 150258. [Google Scholar] [CrossRef]
- Yang, Y.; Shen, Z.; Su, D.; Yi, C.; Zhang, Y.; Shang, J.; Liu, Y.; Guo, R.; Chen, J.; Liao, Q. Algal blooms drive ciprofloxacin movement in lake water through adsorption: A microcosm study. Chem. Eng. J. 2025, 505, 15948. [Google Scholar] [CrossRef]
- Zhi, D.; Yang, D.; Zheng, Y.; Yang, Y.; He, Y.; Luo, L.; Zhou, Y. Current progress in the adsorption, transport and biodegradation of antibiotics in soil. J. Environ. Manag. 2019, 251, 109598. [Google Scholar] [CrossRef]
- Xu, X.-R.; Li, X.-Y. Sorption and desorption of antibiotic tetracycline on marine sediments. Chemosphere 2010, 78, 430–436. [Google Scholar] [CrossRef]
- Shen, Z.; Sun, Y.; Yang, Y.; Zheng, X.; Shang, J.; Liu, Y.; Guo, R.; Chen, J.; Liao, Q. Influence by varying organic matter content and forms in suspended particulate matter: Impacts on the adsorption of tetracycline and norfloxacin. Environ. Sci. Pollut. Res. 2023, 30, 112409–112421. [Google Scholar] [CrossRef]
- Onodera, M.; Kirishima, A.; Nagao, S.; Takamiya, K.; Ohtsuki, T.; Akiyama, D.; Sato, N. Desorption of radioactive cesium by seawater from the suspended particles in river water. Chemosphere 2017, 185, 806–815. [Google Scholar] [CrossRef]
- Li, H.; Duan, D.; Beckingham, B.; Yang, Y.; Ran, Y.; Grathwohl, P. Impact of trophic levels on partitioning and bioaccumulation of polycyclic aromatic hydrocarbons in particulate organic matter and plankton. Mar. Pollut. Bull. 2020, 160, 111527. [Google Scholar] [CrossRef]
- Liu, X.; Zhang, H.; Luo, Y.; Zhu, R.; Wang, H.; Huang, B. Sorption of oxytetracycline in particulate organic matter in soils and sediments: Roles of pH, ionic strength and temperature. Sci. Total Environ. 2020, 714, 136628. [Google Scholar] [CrossRef] [PubMed]
- Conde-Cid, M.; Fernandez-Calvino, D.; Nunez-Delgado, A.; Fernandez-Sanjurjo, M.J.; Arias-Estevez, M.; Alvarez-Rodriguez, E. Estimation of adsorption/desorption Freundlich’s affinity coefficients for oxytetracycline and chlortetracycline from soil properties: Experimental data and pedotransfer functions. Ecotoxicol. Environ. Saf. 2020, 196, 110584. [Google Scholar] [CrossRef] [PubMed]
- Luo, Y.; Chen, J.; Wu, C.; Zhang, J.; Tang, J.; Shang, J.; Liao, Q. Effect of particle size on adsorption of norfloxacin and tetracycline onto suspended particulate matter in lake. Environ. Pollut. 2019, 244, 549–559. [Google Scholar] [CrossRef]
- Huang, Y.; Wang, Y.; Huang, Y.; Zhang, L.; Ye, F.; Wang, J.; Shang, J.; Liao, Q. Impact of sediment characteristics on adsorption behavior of typical antibiotics in Lake Taihu, China. Sci. Total Environ. 2020, 718, 137329. [Google Scholar] [CrossRef]
- Ramnarine, R.; Voroney, R.P.; Dunfield, K.E.; Wagner-Riddle, C. Characterization of the heavy, hydrolysable and non-hydrolysable fractions of soil organic carbon in conventional and no-tillage soils. Soil Tillage Res. 2018, 181, 144–151. [Google Scholar] [CrossRef]
- Ni, J.; Luo, Y.; Wei, R.; Li, X. Distribution patterns of polycyclic aromatic hydrocarbons among different organic carbon fractions of polluted agricultural soils. Geoderma 2008, 146, 277–282. [Google Scholar] [CrossRef]
- Poeplau, C.; Don, A.; Six, J.; Kaiser, M.; Benbi, D.; Chenu, C.; Cotrufo, M.F.; Derrien, D.; Gioacchini, P.; Grand, S.; et al. Isolating organic carbon fractions with varying turnover rates in temperate agricultural soils—A comprehensive method comparison. Soil Biol. Biochem. 2018, 125, 10–26. [Google Scholar] [CrossRef]
- Chai, Y.; Ma, S.; Zeng, X.; E, S.; Che, Z.; Li, L.; Duan, R.; Su, S. Long-term fertilization effects on soil organic carbon stocks in the irrigated desert soil of NW China. J. Plant Nutr. Soil Sci. 2015, 178, 622–630. [Google Scholar] [CrossRef]
- Jiang, D.; Li, J.C.; Wang, S.; Li, H.P.; Qian, L.L.; Li, B.; Cheng, X.X.; Hu, Y.M.; Hu, X. Cyclic Compound Formation Mechanisms during Pyrolysis of Typical Aliphatic Acidic Amino Acids. ACS Sustain. Chem. Eng. 2020, 8, 16968–16978. [Google Scholar] [CrossRef]
- Wei, M.; Marrakchi, F.; Yuan, C.; Cheng, X.; Jiang, D.; Zafar, F.F.; Fu, Y.; Wang, S. Adsorption modeling, thermodynamics, and DFT simulation of tetracycline onto mesoporous and high-surface-area NaOH-activated macroalgae carbon. J. Hazard. Mater. 2022, 425, 127887. [Google Scholar] [CrossRef] [PubMed]
- Deng, H.; Yu, H.; Chen, M.; Ge, C. Sorption of Atrazine in Tropical Soil by Biochar Prepared from Cassava Waste. Bioresources 2014, 9, 6627–6643. [Google Scholar] [CrossRef]
- Zhang, X.Y.; Li, J.; Mo, Y.Z.; Shen, C.D.; Ding, P.; Wang, N.; Zhu, S.Y.; Cheng, Z.N.; He, J.Z.; Tian, Y.K.; et al. Isolation and radiocarbon analysis of elemental carbon in atmospheric aerosols using hydropyrolysis. Atmos. Environ. 2019, 198, 381–386. [Google Scholar] [CrossRef]
- Keiluweit, M.; Kleber, M. Molecular-Level Interactions in Soils and Sediments: The Role of Aromatic pi-Systems. Environ. Sci. Technol. 2009, 43, 3421–3429. [Google Scholar] [CrossRef]
- Cornelissen, G.; Gustafsson, O. Sorption of phenanthrene to environmental black carbon in sediment with and without organic matter and native sorbates. Environ. Sci. Technol. 2004, 38, 148–155. [Google Scholar] [CrossRef]
- Zhao, Y.; Gu, X.; Gao, S.; Geng, J.; Wang, X. Adsorption of tetracycline (TC) onto montmorillonite: Cations and humic acid effects. Geoderma 2012, 183, 12–18. [Google Scholar] [CrossRef]
- Angove, M.J.; Wells, J.D.; Johnson, B.B. Adsorption of cadmium(II) onto goethite and kaolinite in the presence of benzene carboxylic acids. Colloids Surf. A Physicochem. Eng. Asp. 1999, 146, 243–251. [Google Scholar] [CrossRef]
- Gu, C.; Karthikeyan, K.G. Sorption of the antibiotic tetracycline to humic-mineral complexes. J. Environ. Qual. 2008, 37, 704–711. [Google Scholar] [CrossRef]
- Ho, Y.S.; Ng, J.C.Y.; McKay, G. Kinetics of pollutant sorption by biosorbents: Review. Sep. Purif. Methods 2000, 29, 189–232. [Google Scholar] [CrossRef]
- Wang, C.-J.; Li, Z.; Jiang, W.-T. Adsorption of ciprofloxacin on 2:1 dioctahedral clay minerals. Appl. Clay Sci. 2011, 53, 723–728. [Google Scholar] [CrossRef]
- Ajmal, Z.; Muhmood, A.; Usman, M.; Kizito, S.; Lu, J.; Dong, R.; Wu, S. Phosphate removal from aqueous solution using iron oxides: Adsorption, desorption and regeneration characteristics. J. Colloid Interface Sci. 2018, 528, 145–155. [Google Scholar] [CrossRef] [PubMed]
- Han, R.; Zhang, L.; Song, C.; Zhang, M.; Zhu, H.; Zhang, L. Characterization of modified wheat straw, kinetic and equilibrium study about copper ion and methylene blue adsorption in batch mode. Carbohydr. Polym. 2010, 79, 1140–1149. [Google Scholar] [CrossRef]
- Liu, H.; Zhang, J.; Bao, N.; Cheng, C.; Ren, L.; Zhang, C. Textural properties and surface chemistry of lotus stalk-derived activated carbons prepared using different phosphorus oxyacids: Adsorption of trimethoprim. J. Hazard. Mater. 2012, 235, 367–375. [Google Scholar] [CrossRef]
- Liu, L.; Wan, Y.; Xie, Y.; Zhai, R.; Zhang, B.; Liu, J. The removal of dye from aqueous solution using alginate-halloysite nanotube beads. Chem. Eng. J. 2012, 187, 210–216. [Google Scholar] [CrossRef]
- Salihi, E.C.; Wang, J.; Kabacaoglu, G.; Kirkulak, S.; Siller, L. Graphene oxide as a new generation adsorbent for the removal of antibiotics from waters. Sep. Sci. Technol. 2021, 56, 453–461. [Google Scholar] [CrossRef]
- Foo, K.Y.; Hameed, B.H. Insights into the modeling of adsorption isotherm systems. Chem. Eng. J. 2010, 156, 2–10. [Google Scholar] [CrossRef]
- Huang, D.; Liu, C.; Zhang, C.; Deng, R.; Wang, R.; Xue, W.; Luo, H.; Zeng, G.; Zhang, Q.; Guo, X. Cr(VI) removal from aqueous solution using biochar modified with Mg/Al-layered double hydroxide intercalated with ethylenediaminetetraacetic acid. Bioresour. Technol. 2019, 276, 127–132. [Google Scholar] [CrossRef]
- Deng, R.; Huang, D.; Zeng, G.; Wan, J.; Xue, W.; Wen, X.; Liu, X.; Chen, S.; Li, J.; Liu, C.; et al. Decontamination of lead and tetracycline from aqueous solution by a promising carbonaceous nanocomposite: Interaction and mechanisms insight. Bioresour. Technol. 2019, 283, 277–285. [Google Scholar] [CrossRef]
- Chao, Y.; Zhu, W.; Wu, X.; Hou, F.; Xun, S.; Wu, P.; Ji, H.; Xu, H.; Li, H. Application of graphene-like layered molybdenum disulfide and its excellent adsorption behavior for doxycycline antibiotic. Chem. Eng. J. 2014, 243, 60–67. [Google Scholar] [CrossRef]
- Sun, J.; Cui, L.; Gao, Y.; He, Y.; Liu, H.; Huang, Z. Environmental application of magnetic cellulose derived from Pennisetum sinese Roxb for efficient tetracycline removal. Carbohydr. Polym. 2021, 251, 117004. [Google Scholar] [CrossRef]
- Luo, J.; Li, X.; Ge, C.; Muller, K.; Yu, H.; Huang, P.; Li, J.; Tsang, D.C.W.; Bolan, N.S.; Rinklebe, J.; et al. Sorption of norfloxacin, sulfamerazine and oxytetracycline by KOH-modified biochar under single and ternary systems. Bioresour. Technol. 2018, 263, 385–392. [Google Scholar] [CrossRef] [PubMed]
- Zhang, X.; Han, H.; Zheng, X.; Yu, T.; Chen, Y. Tetracycline-induced effects on the nitrogen transformations in sediments: Roles of adsorption behavior and bacterial activity. Sci. Total Environ. 2019, 695, 133811. [Google Scholar] [CrossRef]
- Fernandez-Calvino, D.; Bermudez-Couso, A.; Arias-Estevez, M.; Carlos Novoa-Munoz, J.; Fernandez-Sanjurjo, M.J.; Alvarez-Rodriguez, E.; Nunez-Delgado, A. Competitive adsorption/desorption of tetracycline, oxytetracycline and chlortetracycline on two acid soils: Stirred flow chamber experiments. Chemosphere 2015, 134, 361–366. [Google Scholar] [CrossRef]
- Leal, R.M.P.; Figueira, R.F.; Tornisielo, V.L.; Regitano, J.B. Occurrence and sorption of fluoroquinolones in poultry litters and soils from sao Paulo State, Brazil. Sci. Total Environ. 2012, 432, 344–349. [Google Scholar] [CrossRef] [PubMed]
- Bialk-Bielinska, A.; Maszkowska, J.; Mrozik, W.; Bielawska, A.; Kolodziejska, M.; Palavinskas, R.; Stepnowski, P.; Kumirska, J. Sulfadimethoxine and sulfaguanidine: Their sorption potential on natural soils. Chemosphere 2012, 86, 1059–1065. [Google Scholar] [CrossRef]
- Thiele-Bruhn, S.; Seibicke, T.; Schulten, H.R.; Leinweber, P. Sorption of sulfonamide pharmaceutical antibiotics on whole soils and particle-size fractions. J. Environ. Qual. 2004, 33, 1331–1342. [Google Scholar] [CrossRef] [PubMed]
- Hu, S.; Zhang, Y.; Shen, G.; Zhang, H.; Yuan, Z.; Zhang, W. Adsorption/desorption behavior and mechanisms of sulfadiazine and sulfamethoxazole in agricultural soil systems. Soil Tillage Res. 2019, 186, 233–241. [Google Scholar] [CrossRef]
- Srinivasan, P.; Sarmah, A.K. Characterisation of agricultural waste-derived biochars and their sorption potential for sulfamethoxazole in pasture soil: A spectroscopic investigation. Sci. Total Environment. 2015, 502, 471–480. [Google Scholar] [CrossRef]
- Wang, F.; Ren, F.; Mu, P.; Zhu, Z.; Sun, H.; Ma, C.; Xiao, C.; Liang, W.; Chen, L.; Li, A. Hierarchical porous spherical-shaped conjugated microporous polymers for the efficient removal of antibiotics from water. J. Mater. Chem. A 2017, 5, 11348–11356. [Google Scholar] [CrossRef]
- Cheng, Y.; Wang, B.; Shen, J.; Yan, P.; Kang, J.; Wang, W.; Bi, L.; Zhu, X.; Li, Y.; Wang, S.; et al. Preparation of novel N-doped biochar and its high adsorption capacity for atrazine based on pi-pi electron donor-acceptor interaction. J. Hazard. Mater. 2022, 432, 128757. [Google Scholar] [CrossRef]
- Yan, B.; Niu, C.H. Modeling and site energy distribution analysis of levofloxacin sorption by biosorbents. Chem. Eng. J. 2017, 307, 631–642. [Google Scholar] [CrossRef]
- Xue, D.-M.; Qi, S.-C.; Zeng, Q.-Z.; Lu, R.-J.; Long, J.-H.; Luo, C.; Liu, X.-Q.; Sun, L.-B. Fabrication of nitrogen-doped porous carbons derived from ammoniated copolymer precursor: Record-high adsorption capacity for indole. Chem. Eng. J. 2019, 374, 1005–1012. [Google Scholar] [CrossRef]
- Tang, J.; Lv, H.; Gong, Y.; Huang, Y. Preparation and characterization of a novel graphene/biochar composite for aqueous phenanthrene and mercury removal. Bioresour. Technol. 2015, 196, 355–363. [Google Scholar] [CrossRef] [PubMed]
- Yan, B.; Niu, C.H. Adsorption behavior of norfloxacin and site energy distribution based on the Dubinin-Astakhov isotherm. Sci. Total Environ. 2018, 631–632, 1525–1533. [Google Scholar] [CrossRef] [PubMed]
- Li, S.; Huang, Z.; Wang, Y.; Liu, Y.Q.; Luo, R.; Shang, J.G.; Liao, Q.J.H. Migration of two antibiotics during resuspension under simulated wind-wave disturbances in a water-sediment system. Chemosphere 2018, 192, 234–243. [Google Scholar] [CrossRef]
- Lv, S.; Rong, F.; Hu, S.; Wang, G.; Liu, J.; Hou, G.; Xu, Y.; Li, M.; Liu, A. Competitive adsorption and desorption of three antibiotics in distinct soil aggregate size fractions. Ecotoxicol. Environ. Saf. 2023, 259, 115002. [Google Scholar] [CrossRef]
- Chen, W.; Duan, L.; Wang, L.; Zhu, D. Adsorption of hydroxyl- and amino-substituted aromatics to carbon manotubes. Environ. Sci. Technol. 2008, 42, 6862–6868. [Google Scholar] [CrossRef]
- Carey, F.A.; Sundberg, R.J. Advanced Organic Chemistry: Part A: Structure and Mechanisms; Springer: New York, NY, USA, 2007. [Google Scholar]
- Wang, Z.; Yu, X.; Pan, B.; Xing, B. Norfloxacin Sorption and Its Thermodynamics on Surface-Modified Carbon Nanotubes. Environ. Sci. Technol. 2010, 44, 978–984. [Google Scholar] [CrossRef]
- Ecke, F.; Golovko, O.; Hörnfeldt, B.; Ahrens, L. Trophic fate and biomagnification of organic micropollutants from staple food to a specialized predator. Environ. Res. 2024, 261, 119686. [Google Scholar] [CrossRef]
Disclaimer/Publisher’s Note: The statements, opinions and data contained in all publications are solely those of the individual author(s) and contributor(s) and not of MDPI and/or the editor(s). MDPI and/or the editor(s) disclaim responsibility for any injury to people or property resulting from any ideas, methods, instructions or products referred to in the content. |
© 2025 by the authors. Licensee MDPI, Basel, Switzerland. This article is an open access article distributed under the terms and conditions of the Creative Commons Attribution (CC BY) license (https://creativecommons.org/licenses/by/4.0/).













