Next Article in Journal
Identifying Worst Transient Cases and Optimizing Surge Protection for Existing Water Networks
Next Article in Special Issue
Future Climate Change Increases Streamflow and Risks of Hydrological Hazards in the Pearl River Basin
Previous Article in Journal
A Deep Learning Framework for Deformation Monitoring of Hydraulic Structures with Long-Sequence Hydrostatic and Thermal Time Series
Previous Article in Special Issue
Heavy Rainfall Probabilistic Model for Zielona Góra in Poland
 
 
Font Type:
Arial Georgia Verdana
Font Size:
Aa Aa Aa
Line Spacing:
Column Width:
Background:
Article

Comparative Analysis of Extreme Flood Characteristics in the Huai River Basin: Insights from the 2020 Catastrophic Event

1
Hydrological Bureau (Information Center), Huai River Water Resources Commission, Bengbu 233001, China
2
Laboratory of Hydrological Monitoring and Forecasting of Huai River Basin, Bengbu 233001, China
*
Author to whom correspondence should be addressed.
Water 2025, 17(12), 1815; https://doi.org/10.3390/w17121815
Submission received: 7 March 2025 / Revised: 13 June 2025 / Accepted: 13 June 2025 / Published: 17 June 2025

Abstract

Catastrophic floods in monsoon-driven river systems pose significant challenges to flood resilience. In July 2020, China’s Huai River Basin (HRB) encountered an unprecedented basin-wide flood event characterized by anomalous southward displacement of the rain belt. This event established a new historical record with the three typical hydrological stations (Wangjiaba, Runheji, and Lutaizi sections) along the mainstem of the Huai River exceeded their guaranteed water levels within 11 h and synchronously reached peak flood levels within a 9-h window, whereas the inter-station lag times during the 2003 and 2007 floods ranged from 24 to 48 h, causing a critical emergency in the flood defense. By integrating operational hydrological data, meteorological reports, and empirical rainfall-runoff model schemes for the Meiyu periods of 2003, 2007, and 2020, this research systematically dissects the 2020 flood’s spatial composition patterns. Comparative analyses across spatiotemporal rainfall distribution, intensity metrics, and flood peak response dynamics reveal distinct characteristics of southward-shifted torrential rain and flood variability. The findings provide critical technical guidance for defending against extreme weather events and unprecedented hydrological disasters, directly supporting revisions to flood control planning in the Huai River Ecological and Economic Zone.

1. Introduction

As the Huai River Basin (HRB) situated at the intersection of China’s coastal-inland transition zone, North-South climatic ecotone, and mid-latitude transitional belt. Its unique topography, complex climatic conditions, and high-density anthropogenic activities render flood control and water management exceptionally challenging. Future projections indicate that the region’s inherent climate vulnerability will persist [1], with potential escalation in climate variability amplitude and increased frequency of extreme weather and climate events. Concurrently, socio-economic development and intensified human interventions are expected to amplify the economic losses from extreme drought-flood events, accompanied by escalating disaster prevention costs. To address these challenges, systematic investigations into the causation mechanisms and recurrent patterns of historical catastrophic floods are imperative. Enhancing the precision of rainfall monitoring and hydrological forecasting systems holds critical significance for improving flood resilience and mitigating disaster risks in the basin.
The Huai River Basin located in the southern part of mainland China and is a transitional zone between the North Subtropical Moist Zone and the Warm Temperate Semi-Humid Monsoon Zone [1,2]. Since 1949, there have been frequent droughts and floods in the region. There have been basin-wide floods in 1954, 1991, 2003, and 2007, as well as basin-wide droughts in 1978, 1988, 1997, and 2001 [3,4,5,6]. Wang et al. (2019) pointed out in their flood and waterlogging disaster risk assessment study of the Huai River Basin that frequent occurrences are observed in the flood retention areas of the middle to upper reaches of the mainstem [7]. Medium- to high-risk zones are concentrated in the central regions of the basin, while low-risk areas are distributed in the northern and northwestern parts of the basin. The Huaihe active plum rain in 1954, 1991, 2003, and 2007 lasted 39, 59, 32, and 37 days respectively, with corresponding basin rainfall amounts of 437 mm, 514 mm, 487 mm, and 453 mm. All these precipitation values exceeded the long-term average (218 mm) by more than 100%. In 2020, the basin experienced a 51-day Meiyu period with 510 mm of precipitation, ranking second only to the 1991 record in both duration and precipitation magnitude. The occurrence of basin-wide droughts and floods is directly related to the amount of rainfall during the plum rain season [8,9,10,11,12]. In years with particularly active plum rain peaks, heavy rainfall is frequent, which can easily lead to floods.
In 2020, the plum rain season (duration and rainfall) in the Huai River Basin was the second highest on record [13,14,15,16]. In mid-July, the subtropical high intensified and moved northward. Influenced by the eastward movement of the cold trough in western China and the warm and humid airflow from the southwest, multiple southwest vortices formed and moved eastward along the shear line into the Jianghuai region [17,18,19,20,21]. There were two overlapping heavy rain processes in the southern mountainous areas of the Huainan region. Due to the intense precipitation and the concentrated inflow from the southern tributaries, the water level of the main stream of the Huai River rose rapidly. The floodwaters from the southern tributaries almost simultaneously converged into the main stream from Wangjiaba to Lutaizi section, causing the water levels at various stations along the main stream to rise simultaneously. The water levels at Wangjiaba, Runheji, Zhengyangguan, and Lutaizi stations exceeded the guaranteed water level within 13 h and reached the peak water level within 9 h, which was a historical first. The hydrological conditions at control stations such as Wangjiaba Station in the middle reaches of the Huai River were more severe compared to the previous major flood year in 2007 [22].
According to the previous studies, it primarily focused on the real-time characteristics of rainfall and hydrological conditions, with limited systematic analysis of rainfall distribution, runoff generation, confluence processes, and flood wave propagation across different sub-regions. This study conducts a detailed retrospective analysis of the formation and evolution characteristics of the 2020 torrential rainstorm flood in the Huai River Basin, examining aspects such as flood volume, peak discharge, and lag time to elucidate its spatiotemporal development patterns.

2. Materials and Methods

The area above the Lutaizi section of the Huai River Basin has a drainage area of 88,630 square kilometers, accounting for 33% of the total area of the Huai River Basin and 47% of the Huai River water system area [23,24]. The main tributaries in the basin and their corresponding control sections are as follows: in the northern part, there are the Hongru River at Bantai station, the Shaying River at Zhoukou station, and Fuyang station; in the southern part, there are the Huanghe River at Huangchuan station, the Bailu River at Beimiaoji station, the Shiguan River at Jiangjiaji station, and the Pihe River at Hengpaitou station. The main control sections of the Huai River main stream from upstream to downstream are Xixian station, Wangjiaba station, Runheji station, and Lutaizi station. The location of the basin and the zoning of control section units are illustrated in Figure 1.
To visually reveal the characteristics of the 2020 Huaihe River rainstorm-flood, two major basin-wide floods during the flood seasons of 2003 and 2007 in the Huai River Basin since the 20th century were selected as comparative samples. The hydrological variation processes of three key hydrological stations along the mainstem of the Huai River—Wangjiaba (guaranteed flow rate: 7400 m3/s), Runheji (guaranteed flow rate: 9400 m3/s), and Zhengyangguan (i.e., Lutaizi; guaranteed flow rate: 10,000 m3/s)—were chosen as the research objectives. A parallel analysis was conducted from multiple perspectives, including precipitation distribution, flood composition, peak discharge, and flow concentration duration, aiming to provide a detailed examination and highlight the rainstorm-flood characteristics of the “2020 No. 1 Flood”.

3. Results and Discussion

3.1. Flood Composition

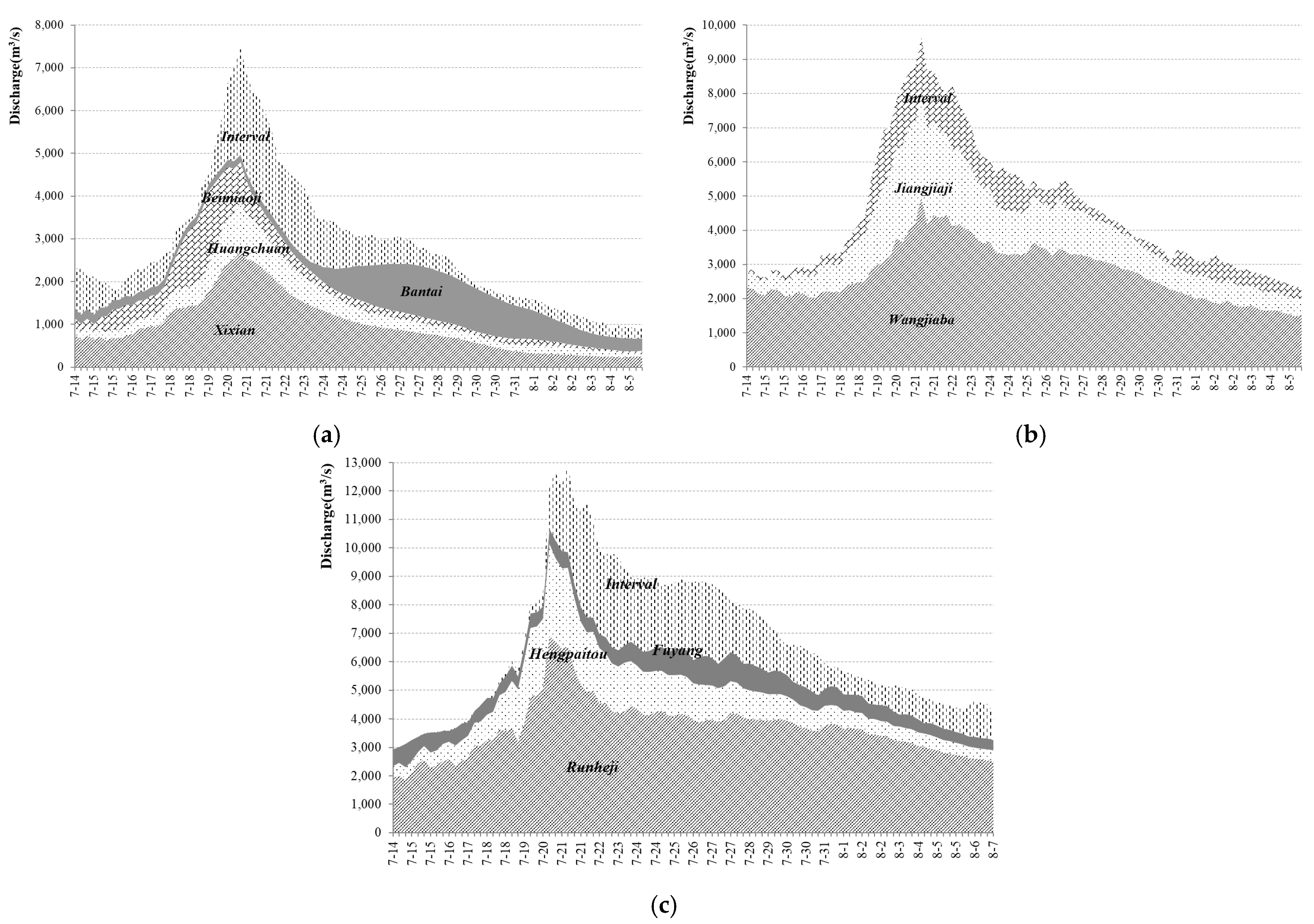
The No. 1 flood of the Huai River in 2020 (the term “No. 1 Flood” refers to the first officially classified extreme flood event in a certain year under China’s national flood classification system) was a relatively large-scale basin flood, predominantly dominated by inflows from the mountainous tributaries in southern Huainan, which was unprecedented in history. To quantitatively reveal the inflow conditions of each control section of the tributaries, the Manning’s equation method was employed to successively calculate the measured inflows of the upstream and north-south tributaries to the three key sections of Wangjiaba, Runheji, and Lutaizi in the study area [25,26,27]. The parameters of the Manning’s equation were based on the results of the “Study on Short-term Flood Forecasting Scheme above Zhengyangguan in the Huai River Basin” [21,22]. After analysis and calculation, the statistical composition of the inflows at the three sections of Wangjiaba, Runheji, and Lutaizi is presented in Table 1 and Figure 2.
During the 2020 flood event, a detailed analysis of the peak flow composition at the Wangjiaba section reveals distinct characteristics. The proportion of inflows from the area above Xixian aligns closely with its corresponding catchment area ratio. In contrast, the inflows from the regions above Huangchuan, above Beimiaoji, and the local inflows at the Wangjiaba section exhibit significantly higher proportions compared to their respective catchment area ratios. Notably, the inflows from the region above Bantai account for only 0.07% of its catchment area proportion. According to the traditional hydrological forecasting scheme, when including the inflows from Beimiaoji in the section calculation, the proportion of section inflows reaches 50.5%. During the 2020 No. 1 flood at Wangjiaba station, the section spanning from Xixian-Huangchuan-Bantai to Wangjiaba, which accounts for merely 23.2% of the catchment area above Wangjiaba, contributes more than half (50.5%) of the total inflow proportion. Regarding the flood volume composition, the proportion of inflows from the region above Xixian remains approximately consistent with its catchment area ratio. However, the inflows from the region above Bantai show a slight increase, primarily due to a significant precipitation event that occurred above Bantai station after the 24th, as illustrated in Figure 2a, leading to a notable rise in the inflows from Bantai station. For the Runheji section, the proportion of inflows from the region above Wangjiaba is 0.67 times its catchment area ratio. The inflows from the section between Wangjiaba and Runheji, which account for 24.1% of the catchment area, are approximately equal to the inflows from the upstream Wangjiaba region. During the 2020 No. 1 flood event, the peak flow at Runheji station is not mainly influenced by the upstream Wangjiaba station, and the timing of the peak flow at Runheji station does not depend on the propagation from Wangjiaba station. In terms of flood composition, the inflows from the region above Wangjiaba account for 0.8 times its catchment area ratio, the inflows from the region above Jiangjiaji are 1.74 times its catchment area ratio, and the section inflows are 1.45 times its catchment area ratio. At the Lutaizi section, the inflows from the region above Runheji account for 1.15 times its catchment area ratio. The inflows from the region above Fuyan are only one-tenth of its catchment area ratio, while the inflows from the region above Hengpaitou are nearly five times its catchment area ratio. The section inflows are approximately two times its catchment area ratio. At the peak moment, the section from Runheji-Fuyan to Lutaizi, despite accounting for only 14.7% of the catchment area, contributes 43.7% of the peak flow at the Lutaizi section. Regarding flood composition, the inflows from the region above Runheji are 1.22 times its catchment area ratio, the inflows from Fuyan are only 0.23 times its catchment area ratio, the inflows from the region above Hengpaitou are 3.24 times its catchment area ratio, and the section inflows are 1.99 times its catchment area ratio. In conclusion, during the 2020 Huai River flood, the contribution proportions of the southern tributaries and section units to the corresponding control sections of the Huai River main stem exceed their catchment area proportions by more than twofold, particularly evident in the peak flow composition. This dominance of tributary and section inflows in the flood process disrupts the traditional pattern of floods occurring sequentially from upstream to downstream within the basin. In response to this severe flood event, seven flood storage areas along the Huai River were successively activated within a seven-hour period.

3.2. Historical Comparison

3.2.1. Distribution of Rainfall

In 2003 and 2007, the main stem of the Huai River experienced historically significant flood events [28,29,30,31]. Due to the prolonged rainfall durations in these years, the main stem of the Huai River exceeded flood control levels on multiple occasions. To enable a more focused and comparable analysis, the study centers on the first instances of excessive rainfall at the main control stations within the Huai River basin [32,33]. In 2003, the rainfall persisted for 10 days, spanning from 23 June to 4 July In 2007, the rainfall event lasted for 14 days, from 26 June to 9 July Similarly, in 2020, the rainfall endured for 10 days, commencing on 10 July and concluding on 19 July. The cumulative distribution of rainfall for these three events across the study area is depicted in Figure 3.
In 2003, the rainfall that triggered the initial excessive flooding in the Huai River predominantly occurred in the northern part of the basin. The area with rainfall exceeding 300 mm was located in the middle and lower reaches of the Shaying River, with the epicenter of heavy rainfall situated around the Fuyang section of the Shaying River. In 2007, the rainfall responsible for the first instance of excessive flooding in the Huai River was mainly concentrated in the areas along both sides of the Huai River. In 2020, during the critical mid-July phase, the West Pacific Subtropical High (WPSH) intensified and underwent a notable northward displacement [34]. Consequently, two extreme rainfall episodes affected the southern Huainan mountainous area. In the Dabie Mountains region, the majority of areas received rainfall exceeding 400 mm, and in certain parts of the upper and middle reaches of the Pi River, the rainfall amount exceeded 500 mm. The heavy rainfall distributions in these three events exhibited substantial disparities. In 2003, the heavy rainfall center was positioned in the northern region. In 2007, it was primarily along both sides of the Huai River. In contrast, in 2020, the heavy rainfall center was distinctly skewed towards the southern mountainous areas of the Huai River, indicating a clear southward shift trend of the heavy rainfall centers across these three events.

3.2.2. Regional Precipitation

The cumulative areal rainfall and daily average precipitation intensity for the three precipitation events within the study area are illustrated in Figure 4.
In terms of cumulative precipitation, for the regions above Wangjiaba and above Runheji, the highest amounts were recorded in 2007, the lowest in 2003, and a moderate amount in 2020. For the area above Lutaizi, the precipitation levels in 2020 were comparable to those in 2007. Among the different sub-regions, including above Huangchuan, above Beimiaoji, above Jiangjiaji, the interval of Runheji, above Hengpaitou, and the interval of Lutaizi, the precipitation amounts were the highest in 2020. Notably, the areas above Hengpaitou and the interval of Lutaizi witnessed significantly higher precipitation levels. Regarding daily precipitation intensity, in 2020, the southern regions above Lutaizi along the Huai River and the main control stations experienced the highest intensities. Among them, the area above Hengpaitou along the Pi River exhibited the most pronounced increase. The areas above Huangchuan, Beimiaoji, Jiangjiaji, the interval of Runheji, and the interval of Lutaizi also showed a remarkable rise, reaching approximately twice the intensity levels observed in 2003 and 2007.

3.2.3. Composition of Incoming Flood

The statistics of peak flood discharge and occurrence time for each control section in the study area during the first flood exceeding the protection level in 2003, 2007, and the first flood in 2020 are presented in Table 2. To eliminate the potential influence of flood storage and utilization in the operation storage area, the peak flood discharge values for Runheji and Lutaizi stations in the table represent the restored peak values without considering flood storage and utilization.
In terms of peak flood discharge, in 2003, the peak discharge at Wangjiaba station was higher than that at the downstream Runheji station. In 2007, the peak discharges at Wangjiaba and Runheji stations were approximately equal. However, in 2020, the peak discharge at Runheji station was significantly greater than that at Wangjiaba station. Specifically, in 2020, the peak discharge at Wangjiaba station was the smallest among the three years, while the peak discharges at Runheji and Lutaizi stations were the largest, and notably higher than those in 2003 and 2007. The combined peak discharge values at Xixian, Huangchuan, and Bantai stations in 2003 and 2007 were roughly comparable to that at Wangjiaba station. In contrast, in 2020, the combined peak discharge at these three stations was significantly lower than that at Wangjiaba station, suggesting that the inflow at the Wangjiaba section in 2020 was much higher than the cumulative inflows at the upstream three stations.
Regarding the peak timing, the time differences between the peak at the Runheji section and the Wangjiaba section, as well as between the Lutaizi section and the Runheji section, were the shortest in 2020. Notably, in 2020, the peak timing at the Lutaizi section and Runheji section coincided, with both reaching the flood peak simultaneously.

4. Conclusions

(1) The 2020 No. 1 Flood in the Huai River was a large-scale basin flood predominantly characterized by inflows from the southern tributaries in the Huainan mountainous area. The contributions of the southern tributaries and their respective sub-basins to the inflows at the corresponding control sections of the Huai River exceeded their area proportions by more than twofold, which was particularly evident in the composition of the flood peak. This inflow pattern significantly deviated from the traditional flood evolution mode in the basin, challenging the conventional understanding of flood propagation.
(2) The central location of heavy rainfall during the 2020 No. 1 Flood in the Huai River exhibited a striking contrast to the heavy rainfall centers that triggered the first major floods in the Huai River in 2003 and 2007. In 2003, the heavy rainfall center was located in the northern part of the basin; in 2007, it was mainly distributed along both sides of the Huai River. In contrast, in 2020, the heavy rainfall center was distinctly shifted towards the Huainan mountainous area. This significant change in the spatial distribution of heavy rainfall indicates the increasing complexity and variability of precipitation patterns in the basin under changing climate conditions.
(3) Among the three heavy rainfall events, the daily precipitation intensity in the southern parts of the Lutaizi area and the control station area of the main stream of the Huai River in 2020 was the highest. The excessive rainfall above the Hengpaitou section of the Huai River was especially remarkable, and significant increases in rainfall were also observed in the Huangchuan, Beimiaoji, Jiangjiaji, Runheji, and Lutaizi sections, with most areas experiencing rainfall amounts approximately twice those of 2003 and 2007. Such intense precipitation is a crucial factor contributing to the formation of extreme floods and highlights the need for enhanced monitoring and early-warning systems in these areas.
(4) During the three flood events, the peak discharges at the downstream Runheji and Lutaizi stations in 2020 were significantly higher than those in 2003 and 2007. In 2003 and 2007, the combined peak flow at Xixian, Huangchuan, and Bantai stations was comparable to that at Wangjiaba station, while in 2020, the combined peak flow at these three stations was significantly lower than that at Wangjiaba station, indicating a substantial increase in the inflow at Wangjiaba in 2020 compared to the upstream stations. Moreover, the lag time difference between the peak flow at the downstream section and the upstream section in 2020 was significantly smaller than that in 2003 and 2007, suggesting a more rapid and synchronized flood propagation process in 2020.
The 2020 No. 1 Flood in the HRB marked the first recorded instance of an abnormal southward-displaced torrential rainstorm flood in the basin’s hydrological history. Triggered by concurrent inflows from southern hilly tributaries, this event induced rapid, parallel water-level rises along the middle reaches of the mainstem, challenging the conventional understanding of sequential peak propagation along the river corridor. Through retrospective analysis of this unprecedented flood, this study highlights the urgent need to strengthen foundational capabilities for defending against extreme weather events and rare hydrological disasters, particularly under the context of accelerating climate change where climatic anomalies increasingly manifest as the “new normal.” By systematically investigating the causation mechanisms and evolutionary patterns of representative flood events, this research provides critical insights into the variation characteristics of flood evolution under extreme rainfall conditions. The findings offer direct technical support for revising flood control planning frameworks in the HRB and contribute to advancing adaptive water governance strategies in transitional climate zones globally.

Author Contributions

Conceptualization, Y.H., S.X. and K.W.; methodology, Y.H.; validation, Y.H., S.X. and C.S.; software, Y.H., S.L. and Z.F.; formal analysis, K.W., C.S. and M.Z.; investigation, Y.H., K.W. and Z.F.; resources, S.X., K.W. and S.L.; data curation, Y.H., C.S., Z.F. and M.Z.; writing—original draft preparation, Y.H.; writing—review and editing, Y.H., S.X., K.W., S.L., C.S. and Z.F.; visualization, C.S., Z.F. and M.Z.; supervision, S.X., K.W. and S.L.; project administration, Y.H., K.W. and S.L.; funding acquisition, S.X. and K.W. All authors have read and agreed to the published version of the manuscript.

Funding

Flood Control and Drought Relief Early Warning and Dispatch Smart Decision-Making System for the Northern Impact Zone of the Huaihe River Seaward Channel Phase II Project (Contract No. RHSD2/SNFW-2024-05), the National key R&D program (No. 2024YFC3212800), the Key Science and Technology Program of Ministry of Water Resources of China (SKR-2022032, SKS-2022013), Water Science and Technology Project of Jiangsu Province (2022042), and Water conservancy youth talent development funding project (Research and Application of Key Technologies for Flood Forecasting in Small and Medium-sized Rivers in Huai River Basin).

Data Availability Statement

The original contributions presented in this study are included in the article. Further inquiries can be directed to the corresponding author(s).

Acknowledgments

The authors thank Mingkai Qian for his guidance on the Characteristics of historical floods in the Huai River Basin.

Conflicts of Interest

The authors declare no conflicts of interest.

References

  1. Cheng, X.W.; Chen, X.; Qian, M.K.; Tian, H. Evolution of Drought and Flood Climate in the Huai River Basin; China Water Resources and Hydropower Press: Beijing, China, 2019; pp. 24–49. ISBN 978-7-5170-7928-6. [Google Scholar]
  2. Qian, M.K.; Wang, K. Flood Management in China: The Huaihe River Basin as a Case Study. In Flood Risk Management; IntechOpen: Rijeka, Croatia, 2017. [Google Scholar] [CrossRef]
  3. Wang, K.; Qian, M.K.; Xu, S.J.; Liang, S.X.; Chen, H.Y.; Hu, Y.B.; Su, C.; Zhao, M.J.; Li, W.J.; Wang, J.T. Impacts of climate change on water resources in the Huaihe River Basin. MATEC Web Conf. 2018, 246, 01090. [Google Scholar] [CrossRef][Green Version]
  4. Fu, X.; Wang, P.; Cheng, L.; Han, R.; Dong, Z.; Li, Z. Assessment of Future Climate Change in the Huaihe River Basin Using Bias-Corrected CMIP5 GCMs with Consideration of Climate Non-Stationarity. Water 2025, 17, 195. [Google Scholar] [CrossRef]
  5. Wang, K.; Chu, D.Y.; Yang, Z.H. Flood Control and Management for the Transitional Huaihe River in China. Procedia Eng. 2016, 154, 703–709. [Google Scholar] [CrossRef]
  6. Zhang, W.; Pan, S.M.; Cao, L.G.; Cai, X.; Zhang, K.X.; Xu, Y.H.; Xu, W. Changes in extreme climate events in eastern China during 1960–2013: A case study of the Huaihe River Basin. Quat. Int. 2015, 380–381, 22–34. [Google Scholar] [CrossRef]
  7. Wang, J.; Xue, L.Q.; Zhang, M.; Feng, Y.; Zhu, B.L. Risk Assessment of Flood and Waterlogging Disasters in the Huai River Basin under Varying Precipitation Frequencies. Water Resour. Power Sci. 2019, 37, 1–5. [Google Scholar] [CrossRef]
  8. Taye, M.T.; Ntegeka, V.; Ogiramoi, N.P.; Willems, P. Assessment of climate change impact on hydrological extremes in two source regions of the Nile River Basin. Hydrol. Earth Syst. Sci. 2011, 15, 209–222. [Google Scholar] [CrossRef]
  9. Wu, Y.A.; Zhong, P.A.; Xu, B.; Zhu, F.L.; Ma, B. Changing of flood risk due to climate and development in Huaihe River basin, China. Stoch. Environ. Res. Risk Assess. 2017, 31, 935–948. [Google Scholar] [CrossRef]
  10. Smith, M.; Allen, R.; Pereira, L. Revised FAO Methodology for Crop-Water Requirements; International Atomic Energy Agency (IAEA): Vienna, Austria, 1998; pp. 51–58. [Google Scholar]
  11. Basu Roy, T.; Dutta, D.; Chakrabarty, A. Spatio-temporal variation of evapotranspiration derived from multi-temporal landsat datasets using fao-56 penman-monteith method. In Spatial Modeling in Forest Resources Management: Rural Livelihood and Sustainable Development; Shit, P.K., Pourghasemi, H.R., Eds.; Springer: Cham, Switzerland, 2021; pp. 405–423. [Google Scholar]
  12. Qian, M.K.; Liang, S.X.; Feng, Z.G.; Yu, D.S.; Li, W.J. Heavy Rain and Typhoons in the Huaihe River Basin; China Water Resources and Hydropower Press: Beijing, China, 2019; pp. 35–50. ISBN 978-7-5170-8054-1. [Google Scholar]
  13. Liu, G.P.; Li, K.F. Construction and achievements of flood control, drought relief and disaster reduction systems in the Huaihe River Basin. China Flood Drought Manag. 2019, 29, 54–60. [Google Scholar]
  14. Cui, Y.K.; Song, L.S.; Fan, W.J. Generation of spatio-temporally continuous evapotranspiration and its components by coupling a two-source energy balance model and a deep neural network over the Heihe River Basin. J. Hydrol. 2021, 597, 126176. [Google Scholar] [CrossRef]
  15. Hu, Y.B.; Xu, S.J.; Liang, S.X.; Wang, K.; Chen, H.Y.; Kan, G.Y. Analysis of Impact Factors for Flood Early Warning, a Case Study in Wangjiaba Basin of Huai River. IOP Conf. Ser. Earth Environ. Sci. 2021, 668, 012040. [Google Scholar] [CrossRef]
  16. Gong, J.; Hu, Y.; Yao, C.; Ma, Y.; Sun, M.; Gong, J.; Shi, Z.; Li, J. The WRF-Driven Grid-Xin’anjiang Model and Its Application in Small and Medium Catchments of China. Water 2024, 16, 103. [Google Scholar] [CrossRef]
  17. Tanjung, M.; Syahreza, S.; Rusdi, M. Comparison of interpolation methods based on Geographic Information System (GIS) in the spatial distribution of seawater intrusion. J. Nat. 2020, 20, 24–30. [Google Scholar] [CrossRef]
  18. Cheng, X.W.; Zhao, J.; Zhang, H.; Wang, K.; Xu, M. Numerical Simulation of Land Surface Hydrological Process Over Huaihe River Basin. Procedia Eng. 2016, 154, 1064–1070. [Google Scholar] [CrossRef]
  19. Wagner, P.D.; Fiener, P.; Wilken, F.; Kumar, S.; Schneider, K. Comparison and evaluation of spatial interpolation schemes for daily rainfall in data scarce regions. J. Hydrol. 2012, 464, 388–400. [Google Scholar] [CrossRef]
  20. GB/T22482-2008; Standard for Hydrological Information and Hydrological Forecasting. Ministry of Water Resources of the People’s Republic of China (MWR): Beijing, China, 2008. (In Chinese)
  21. Taheri, M.; Shamsi Anboohi, M.; Nasseri, M.; Mbdolmajid, A. Developing a dynamic semi-distributed hydrological model considering interactions between soil moisture and evapotranspiration: Application of bulk transfer method. Hydrol. Sci. J. 2023, 68, 228–245. [Google Scholar] [CrossRef]
  22. Wang, M.; Zhang, H.D.; Bao, H.J.; Cao, S. Analysis of Rainfall and Flood Characteristics of the Extreme Torrential Rainstorm in the Huai River Basin During the Plum Rain Season of 2020. J. China Hydrol. 2022, 42, 95–101. [Google Scholar] [CrossRef]
  23. Cloke, H.L.; Wetterhall, F.; He, Y.; Freer, J.E.; Pappenberger, F. Modelling climate impact on floods with ensemble climate projections. Q. J. R. Meteorol. Soc. 2013, 139, 282–297. [Google Scholar] [CrossRef]
  24. Hydrological Bureau of the Huai River Water Conservancy Commission (Information Center). Research on Short-Term Hydrological Forecasting Methods in the Huai River Basin Above Zhengyangguan; Anhui Science and Technology Publishing House: Hefei, China, 2014; pp. 1–265. ISBN 978-7-5337-6207-0. [Google Scholar]
  25. Moriasi, D.N.; Arnold, J.G.; Van Liew, M.W.; Bingner, R.L.; Harmel, R.D.; Veith, T.L. Model evaluation guidelines for sys-tematic quantification of accuracy in watershed simulations. Trans. ASABE 2007, 50, 885–900. [Google Scholar] [CrossRef]
  26. Zhao, R.J.; Liu, X.R. The Xinanjiang model. In Computer Models of Watershed Hydrology; Water Resources Publications: Nanjing, China, 1995; pp. 215–232. ISBN 9780918334916. [Google Scholar]
  27. Xiao, Z.L.; Liang, Z.M.; Li, B.Q.; Hou, B.; Hu, Y.M.; Wang, J. New Flood Early Warning and Forecasting Method Based on Similarity Theory. J. Hydrol. Eng. 2019, 24, 04019023. [Google Scholar] [CrossRef]
  28. Hydrological Bureau of the Ministry of Water Resources, Huaihe River Water Conservancy Commission of the Ministry of Water Resources. The Huai River Heavy Rain and Flood in 2003; China Water Resources and Hydropower Press: Beijing, China, 2006; pp. 72–135. ISBN 7-5084-3448-X. [Google Scholar]
  29. Hydrological Bureau of the Ministry of Water Resources; Huaihe River Water Conservancy Commission of the Ministry of Water Resources. The Huai River Heavy Rain and Flood in 2007; China Water Resources and Hydropower Press: Beijing, China, 2010; pp. 80–165. ISBN 978-7-5084-7609-4. [Google Scholar]
  30. Stahl, K.; Moore, R.D.; Floyer, J.A.; Asplin, M.G.; McKendry, I.G. Comparison of approaches for spatial interpolation of daily air temperature in a large region with complex topography and highly variable station density. Agric. For. Meteorol. 2006, 139, 224–236. [Google Scholar] [CrossRef]
  31. Yang, Y.; Chen, R.; Song, Y.; Han, C.; Liu, J.; Liu, Z. Sensitivity of potential evapotranspiration to meteorological factors and their elevational gradients in the Qilian Mountains, northwestern China. J. Hydrol. 2019, 568, 147–159. [Google Scholar] [CrossRef]
  32. Miller, R.L. Trend surfaces: Their application to analysis and description of environments of sedimentation. J. Geol. 1956, 64, 425–446. [Google Scholar] [CrossRef]
  33. Lee Rodgers, J.; Nicewander, W.A. Thirteen ways to look at the correlation coefficient. Am. Stat. 1988, 42, 59–66. [Google Scholar] [CrossRef]
  34. Wang, Y.N.; Hu, H.B.; Ren, X.J.; Yang, X.Q.; Mao, K.F. Significant Northward Jump of the Western Pacific Subtropical High: The Interannual Variability and Mechanisms. J. Geophys. Res. Atmos. 2023, 128, e2022JD037742. [Google Scholar] [CrossRef]
Figure 1. Location of the study area and schematic diagram of the partitioning of control cross-section units.
Figure 1. Location of the study area and schematic diagram of the partitioning of control cross-section units.
Water 17 01815 g001
Figure 2. Process line of the composition of incoming flood at key cross-sections of the main stream of the Huai River in the study area. The X-axis delineates the temporal progression of the flood event (14 July–7 August 2020), while the Y-axis quantifies the flow composition contributions from distinct sub-basin partitions hydrographs. (a) Composition of incoming flood in Wangjiaba. (b) Composition of incoming flood in Runheji. (c) Composition of incoming flood in Lutaizi.
Figure 2. Process line of the composition of incoming flood at key cross-sections of the main stream of the Huai River in the study area. The X-axis delineates the temporal progression of the flood event (14 July–7 August 2020), while the Y-axis quantifies the flow composition contributions from distinct sub-basin partitions hydrographs. (a) Composition of incoming flood in Wangjiaba. (b) Composition of incoming flood in Runheji. (c) Composition of incoming flood in Lutaizi.
Water 17 01815 g002
Figure 3. Cumulative precipitation distribution maps for the typical three events in the study area.
Figure 3. Cumulative precipitation distribution maps for the typical three events in the study area.
Water 17 01815 g003
Figure 4. Cumulative precipitation and daily precipitation intensity distribution maps for three events in control unit. (a) Cumulative precipitation. (b) Daily precipitation intensity.
Figure 4. Cumulative precipitation and daily precipitation intensity distribution maps for three events in control unit. (a) Cumulative precipitation. (b) Daily precipitation intensity.
Water 17 01815 g004
Table 1. Statistical table of inflow characteristics for Wangjiaba, Runheji, and Lutaizi sections in the study area.
Table 1. Statistical table of inflow characteristics for Wangjiaba, Runheji, and Lutaizi sections in the study area.
Control StationUnit ZoningArea Percentage (%)Peak FlowFlood Volume
Percent (%)Area RatioPercent (%)Area Ratio
WangjiabaRegion above Xixian33.332.20.9734.11.02
Region above Huangchuan6.714.92.2212.21.82
Region above Bantai36.82.40.0717.80.48
Region above Beimiaoji5.616.52.9512.22.18
Interval of Wangjiaba17.634.01.9323.71.35
RunhejiRegion above Wangjiaba75.950.80.6760.80.80
Region above Jiangjiaji14.730.32.0625.61.74
Interval of Runheji9.418.92.0113.61.45
LutaiziRegion above Runheji45.552.11.1555.31.22
Region above Fuyan39.84.20.119.30.23
Region above Hengpaitou4.924.34.9615.93.24
Interval of Lutaizi9.819.41.9819.51.99
Table 2. Statistical table of flood peak characteristics at control sections of main and tributary rivers in 3 typical flood research areas. (Peak flow m3/s).
Table 2. Statistical table of flood peak characteristics at control sections of main and tributary rivers in 3 typical flood research areas. (Peak flow m3/s).
Control Station200320072020
Peak FlowOccurrence TimePeak FlowOccurrence TimePeak FlowOccurrence Time
Xixian37807.2 7:0038307.10 2:0037207.19 17:00
Huangchuan21807.1 21:0015507.10 0:0021207.19 15:00
Bangtai15907.2 14:0023907.9 8:001947.20 8:00
Beimiaoji13607.2 1:0014707.10 8:0018307.19 22:00
Wangjiaba76107.3 4:1272007.11 5:0076607.20 15:54
Jiangjiaji25507.2 4:0031107.10 9:0053807.19 17:00
Runheji73207.4 2:0081207.11 18:0096407.21 10:00
Hengpaitou3597.5 8:004717.10 6:5445507.19 16:54
Fuyan24807.3 8:0014307.11 2:003657.20 8:00
Lutaizi81007.6 0:0090007.12 6:0012,2007.21 10:00
Disclaimer/Publisher’s Note: The statements, opinions and data contained in all publications are solely those of the individual author(s) and contributor(s) and not of MDPI and/or the editor(s). MDPI and/or the editor(s) disclaim responsibility for any injury to people or property resulting from any ideas, methods, instructions or products referred to in the content.

Share and Cite

MDPI and ACS Style

Hu, Y.; Xu, S.; Wang, K.; Liang, S.; Su, C.; Feng, Z.; Zhao, M. Comparative Analysis of Extreme Flood Characteristics in the Huai River Basin: Insights from the 2020 Catastrophic Event. Water 2025, 17, 1815. https://doi.org/10.3390/w17121815

AMA Style

Hu Y, Xu S, Wang K, Liang S, Su C, Feng Z, Zhao M. Comparative Analysis of Extreme Flood Characteristics in the Huai River Basin: Insights from the 2020 Catastrophic Event. Water. 2025; 17(12):1815. https://doi.org/10.3390/w17121815

Chicago/Turabian Style

Hu, Youbing, Shijin Xu, Kai Wang, Shuxian Liang, Cui Su, Zhigang Feng, and Mengjie Zhao. 2025. "Comparative Analysis of Extreme Flood Characteristics in the Huai River Basin: Insights from the 2020 Catastrophic Event" Water 17, no. 12: 1815. https://doi.org/10.3390/w17121815

APA Style

Hu, Y., Xu, S., Wang, K., Liang, S., Su, C., Feng, Z., & Zhao, M. (2025). Comparative Analysis of Extreme Flood Characteristics in the Huai River Basin: Insights from the 2020 Catastrophic Event. Water, 17(12), 1815. https://doi.org/10.3390/w17121815

Note that from the first issue of 2016, this journal uses article numbers instead of page numbers. See further details here.

Article Metrics

Back to TopTop