Influence of Aquatic Vegetation on Velocity Distribution, Water Surface Profile, and Energy Loss: An Experimental Study in an Open Channel
Abstract
1. Introduction
2. Experimental Work
3. Results and Discussions
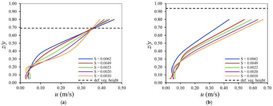
3.1. Velocity Profile
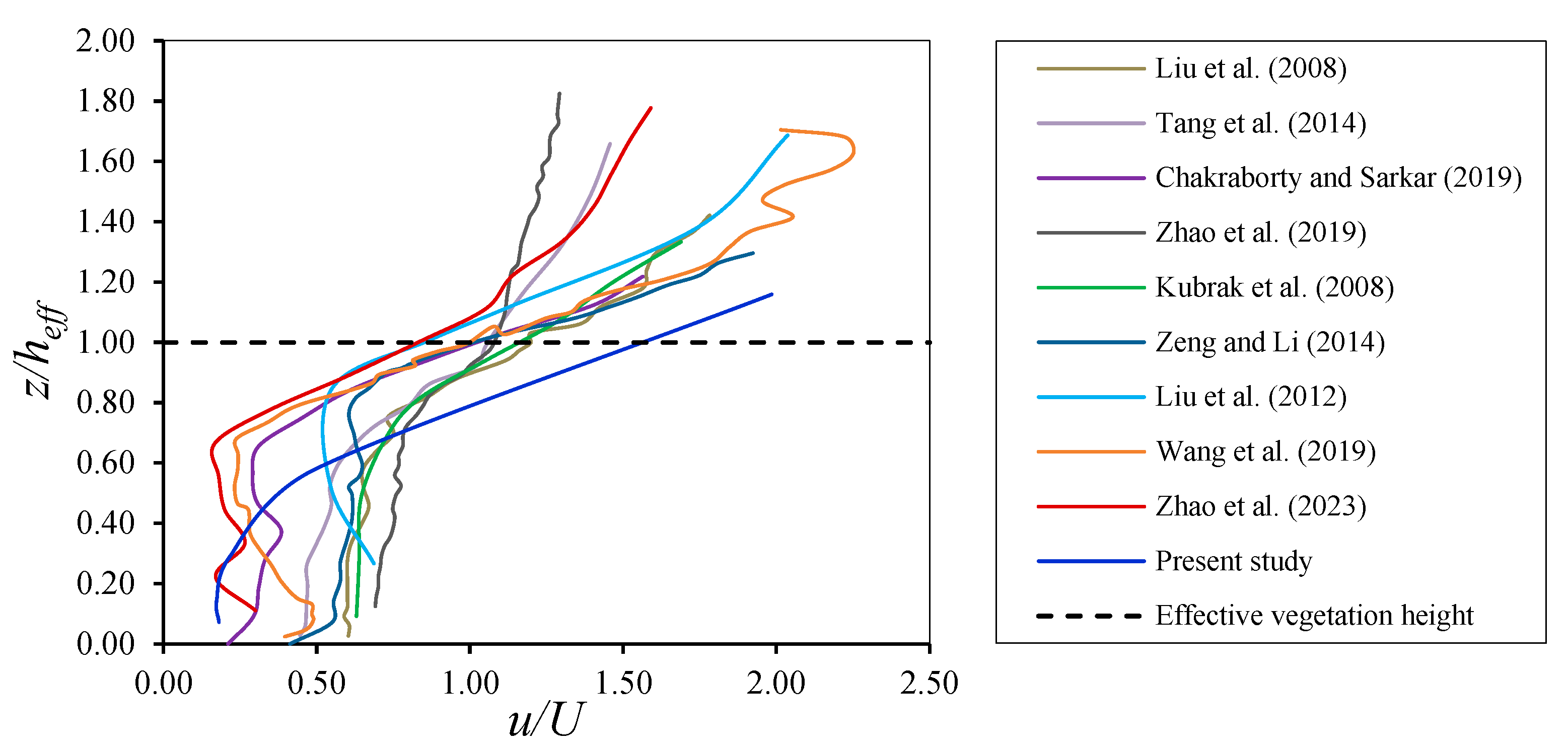
3.1.1. Effect of Vegetation on the Velocity Profile
3.1.2. Effect of Vegetation Shape on the Position of the Inflection Point
3.1.3. Effect of Bed Slope and Submerged Ratio on the Velocity Profile
3.2. Water Surface Profile
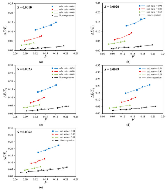
3.3. Evaluation of Energy Dissipation
3.3.1. Effect of Bed Slope on Relative Energy Loss in Absence of Vegetation
3.3.2. Effect of Vegetation on Relative Energy Loss
3.3.3. Effect of Submerged Ratio on Relative Energy Loss
4. Statistical Regression
5. Conclusions
- 1.
- The streamwise velocity within the lower layer is almost constant. Then, it increases rapidly toward the water surface as the depth increases.
- 2.
- The shape of the vegetation significantly influences the position of the inflection point in the vertical streamwise velocity profile.
- 3.
- The streamwise velocity is significantly influenced by the submerged ratio.
- 4.
- An increase in bed slope leads to a slight increase in backwater rise.
- 5.
- The bed slope has little effect on relative energy loss, while the presence of vegetation leads to a significant increase.
- 6.
- The relative energy loss increases with increasing submerged ratio.
- 7.
- New empirical equations are proposed to estimate the relative energy loss in vegetated channels.
Author Contributions
Funding
Data Availability Statement
Acknowledgments
Conflicts of Interest
Abbreviations
| L | Channel length |
| B | Channel width |
| S | Channel bed slope |
| y | Flow depth |
| z | Distance from the measurement point to the bed |
| Height of submerged vegetation | |
| Submerged ratio | |
| Effective vegetation height | |
| Relative position of the inflection point | |
| θ | Water surface slope angle |
| u | Streamwise velocity |
| U | Average flow velocity |
| Q | Discharge |
| E | Total energy |
| ΔE | Energy loss |
| ΔE/E | Relative energy loss |
| α | Velocity coefficient |
| g | Gravitational acceleration |
| F | Froude number |
| γ | Specific weight of water |
| ρ | Density of water |
References
- Carollo, F.G.; Ferro, V.; Termini, D. Flow velocity measurements in vegetated channels. J. Hydraul. Eng. 2002, 128, 664–673. [Google Scholar] [CrossRef]
- Shivpure, V.; Devi, T.B.; Kumar, B. Turbulent characteristics of densely flexible submerged vegetated channel. ISH J. Hydraul. Eng. 2016, 22, 220–226. [Google Scholar] [CrossRef]
- Li, W.Q.; Wang, D.; Jiao, J.L.; Yang, K.J. Effects of vegetation patch density on flow velocity characteristics in an open channel. J. Hydrodyn. 2019, 31, 1052–1059. [Google Scholar] [CrossRef]
- Ahmad, M.; Ghani, U.; Anjum, N.; Pasha, G.A.; Ullah, M.K.; Ahmed, A. Investigating the flow hydrodynamics in a compound channel with layered vegetated floodplains. Civ. Eng. J. 2020, 6, 860–876. [Google Scholar] [CrossRef]
- Ren, B.L.; Wang, D.; Li, W.Q.; Yang, K.J. The velocity patterns in rigid and mobile channels with vegetation patches. J. Hydrodyn. 2020, 32, 561–569. [Google Scholar] [CrossRef]
- Meng, X.; Zhou, Y.; Sun, Z.; Ding, K.; Chong, L. Hydraulic characteristics of emerged rigid and submerged flexible vegetations in the riparian zone. Water 2021, 13, 1057. [Google Scholar] [CrossRef]
- Eraky, O.M.; Eltoukhy, M.A.R.; Abdelmoaty, M.S.; Farouk, E. Effect of rigid, bank vegetation on velocity distribution and water surface profile in open channel. Water Pract. Technol. 2022, 17, 1445–1457. [Google Scholar] [CrossRef]
- Liu, D.; Diplas, P.; Fairbanks, J.D.; Hodges, C.C. An experimental study of flow through rigid vegetation. J. Geophys. Res. Earth Surf. 2008, 113. [Google Scholar] [CrossRef]
- Liu, D.; Diplas, P.; Hodges, C.C.; Fairbanks, J.D. Hydrodynamics of flow through double layer rigid vegetation. Geomorphology 2010, 116, 286–296. [Google Scholar] [CrossRef]
- Tang, X.; Rahimi, H.; Singh, P.; Wei, Z.; Wang, Y.; Zhao, Y.; Lu, Q. Experimental study of open-channel flow with partial double-layered vegetation. Proccedings of the 1st International Symposium on Water Resource and Environmental Management (WREM 2018), Kunming, China, 28–30 November 2018; Volume 81, p. 01010. [Google Scholar] [CrossRef]
- Rashedunnabi, A.H.M.; Tanaka, N. Effectiveness of double-layer rigid vegetation in reducing the velocity and fluid force of a tsunami inundation behind the vegetation. Ocean Eng. 2020, 201, 107142. [Google Scholar] [CrossRef]
- Tang, X.; Rahimi, H.; Guan, Y.; Wang, Y. Hydraulic characteristics of open-channel flow with partially-placed double layer rigid vegetation. Environ. Fluid Mech. 2021, 21, 317–342. [Google Scholar] [CrossRef]
- Xia, J.; Nehal, L. Hydraulic features of flow through emergent bending aquatic vegetation in the riparian zone. Water 2013, 2080–2093. [Google Scholar] [CrossRef]
- Muhammad, M.M.; Yusof, K.W.; Mustafa, M.R.U.; Ghani, A.A. Velocity distributions in grassed channel. In Proceedings of the 4th Annual International Conference on Architecture and Civil Engineering (ACE 2016), Singapore, 25–26 April 2016. [Google Scholar]
- Ai, Y.D.; Liu, M.Y.; Huai, W.X. Numerical investigation of flow with floating vegetation island. J. Hydrodyn. 2020, 32, 31–43. [Google Scholar] [CrossRef]
- Barahimi, M.; Sui, J. Effects of submerged vegetation arrangement patterns and density on flow structure. Water 2023, 15, 176. [Google Scholar] [CrossRef]
- Mofrad, M.R.T.; Afzalimehr, H.; Parvizi, P.; Ahmad, S. Comparison of velocity and reynolds stress distributions in a straight rectangular channel with submerged and emergent vegetation. Water 2023, 15, 2435. [Google Scholar] [CrossRef]
- Iimura, K.; Tanaka, N. Numerical simulation estimating effects of tree density distribution in coastal forest on tsunami mitigation. Ocean Eng. 2012, 54, 223–232. [Google Scholar] [CrossRef]
- Anjum, N.; Tanaka, N. Study on the flow structure around discontinued vertically layered vegetation in an open channel. J. Hydrodyn. 2020, 32, 454–467. [Google Scholar] [CrossRef]
- Kubrak, E.; Kubrak, J.; Rowinski, P.M. Vertical velocity distributions through and above submerged, flexible vegetation. Hydrol. Sci. J. 2008, 53, 905–920. [Google Scholar] [CrossRef]
- Huai, W.X.; Han, J.; Zeng, Y.H.; An, X.; Qian, Z.D. Velocity distribution of flow with submerged flexible vegetations based on mixing-length approach. Appl. Math. Mech. 2009, 30, 343–351. [Google Scholar] [CrossRef]
- Huai, W.; Wang, W.; Zeng, Y. Two-layer model for open channel flow with submerged flexible vegetation. J. Hydraul. Res. 2013, 51, 708–718. [Google Scholar] [CrossRef]
- Wang, W.J.; Huai, W.X.; Zeng, Y.H.; Zhou, J.F. Analytical solution of velocity distribution for flow through submerged large deflection flexible vegetation. Appl. Math. Mech. 2015, 36, 107–120. [Google Scholar] [CrossRef]
- Pu, J.H.; Hussain, A.; Guo, Y.k.; Vardakastanis, N.; Hanmaiahgari, P.R.; Lam, D. Submerged flexible vegetation impact on open channel flow velocity distribution: An analytical modelling study on drag and friction. Water Sci. Eng. 2019, 12, 121–128. [Google Scholar] [CrossRef]
- Chen, Y.C.; Kao, S.P. Velocity distribution in open channels with submerged aquatic plant. Hydrol. Process. 2011, 25, 2009–2017. [Google Scholar] [CrossRef]
- Nikora, N.; Nikora, V.; O’Donoghue, T. Velocity profiles in vegetated open-channel flows: Combined effects of multiple mechanisms. J. Hydraul. Eng. 2013, 139, 1021–1032. [Google Scholar] [CrossRef]
- Liu, Z.; Chen, Y.; Zhu, D.; Hui, E.; Jiang, C. Analytical model for vertical velocity profiles in flows with submerged shrub-like vegetation. Environ. Fluid Mech. 2012, 12, 341–346. [Google Scholar] [CrossRef]
- Wang, W.J.; Huai, W.X.; Li, S.; Wang, P.; Wang, Y.F.; Zhang, J. Analytical solutions of velocity profile in flow through submerged vegetation with variable frontal width. J. Hydrol. 2019, 578, 124088. [Google Scholar] [CrossRef]
- Cheng, N.S. Single-layer model for average flow velocity with submerged rigid cylinders. J. Hydraul. Eng. 2015, 141, 06015012. [Google Scholar] [CrossRef]
- Klopstra, D.; Barneveld, H.J.; Van Noortwijk, J.M.; Van Velzen, E.H. Analytical model for hydraulic roughness of submerged vegetation. In Proceedings of the 27th IAHR World Congress, San Francisco, CA, USA, 10–15 August 1997; pp. 775–780. [Google Scholar]
- Righetti, M.; Armanini, A. Flow resistance in open channel flows with sparsely distributed bushes. J. Hydrol. 2002, 269, 55–64. [Google Scholar] [CrossRef]
- Stone, B.M.; Shen, H.T. Hydraulic resistance of flow in channels with cylindrical roughness. J. Hydraul. Eng. 2002, 128, 500–506. [Google Scholar] [CrossRef]
- Defina, A.; Bixio, A.C. Mean flow and turbulence in vegetated open channel flow. Water Resour. Res. 2005, 41. [Google Scholar] [CrossRef]
- Baptist, M.J.; Babovic, V.; Uthurburu, J.R.; Keijzer, M.; Uittenbogaard, R.E.; Mynett, A.; Verwey, A. On inducing equations for vegetation resistance. J. Hydraul. Res. 2007, 45, 435–450. [Google Scholar] [CrossRef]
- Huthoff, F.; Augustijn, D.C.M.; Hulscher, S.J.M.H. Analytical solution of the depth-averaged flow velocity in case of submerged rigid cylindrical vegetation. Water Resour. Res. 2007, 43. [Google Scholar] [CrossRef]
- Yang, W.; Choi, S.U. A two-layer approach for depth-limited open-channel flows with submerged vegetation. J. Hydraul. Res. 2010, 48, 466–475. [Google Scholar] [CrossRef]
- Tang, X. A mixing-length-scale-based analytical model for predicting velocity profiles of open-channel flows with submerged rigid vegetation. Water Environ. J. 2019, 33, 610–619. [Google Scholar] [CrossRef]
- Huai, W.; Wang, W.; Hu, Y.; Zeng, Y.; Yang, Z. Analytical model of the mean velocity distribution in an open channel with double-layered rigid vegetation. Adv. Water Resour. 2014, 69, 106–113. [Google Scholar] [CrossRef]
- Singh, P.; Rahimi, H.R.; Tang, X. Parameterization of the modeling variables in velocity analytical solutions of open-channel flows with double-layered vegetation. Environ. Fluid Mech. 2019, 19, 765–784. [Google Scholar] [CrossRef]
- Rahimi, H.R.; Tang, X.; Singh, P.; Li, M.; Alaghmand, S. Open channel flow within and above a layered vegetation: Experiments and first-order closure modeling. Adv. Water Resour. 2020, 137, 103527. [Google Scholar] [CrossRef]
- Huai, W.X.; Zeng, Y.H.; Xu, Z.G.; Yang, Z.H. Three-layer model for vertical velocity distribution in open channel flow with submerged rigid vegetation. Adv. Water Resour. 2009, 32, 487–492. [Google Scholar] [CrossRef]
- Samani, J.M.V.; Mazaheri, M. An analytical model for velocity distribution in transition zone for channel flows over inflexible submerged vegetation. J. Agric. Sci. Technol. 2009, 11, 573–584. [Google Scholar]
- Hu, Y.; Huai, W.; Han, J. Analytical solution for vertical profile of streamwise velocity in open-channel flow with submerged vegetation. Environ. Fluid Mech. 2013, 13, 389–402. [Google Scholar] [CrossRef]
- Chakraborty, P.; Sarkar, A. Study of flow characteristics within randomly distributed submerged rigid vegetation. J. Hydrodyn. 2019, 31, 358–367. [Google Scholar] [CrossRef]
- Huai, W.X.; Chen, Z.B.; Jie, H.A.N.; Zhang, L.X.; Zeng, Y.H. Mathematical model for the flow with submerged and emerged rigid vegetation. J. Hydrodyn. Ser. B 2009, 21, 722–729. [Google Scholar] [CrossRef]
- Zhang, X.; Nepf, H.M. Exchange flow between open water and floating vegetation. Environ. Fluid Mech. 2011, 11, 531–546. [Google Scholar] [CrossRef]
- Huai, W.; Hu, Y.; Zeng, Y.; Han, J. Velocity distribution for open channel flows with suspended vegetation. Adv. Water Resour. 2012, 49, 56–61. [Google Scholar] [CrossRef]
- Morri, M.; Soualmia, A.; Belleudy, P. Mean velocity modeling of open-channel flow with submerged rigid vegetation. Int. J. Mech. Mechatron. Eng. 2015, 9, 302–307. [Google Scholar]
- Van Velzen, E.H.; Jesse, P.; Cornelissen, P.; Coops, H. Stromingsweerstand Vegetatie in Uiterwaarden; RIZA: Arnhem, The Netherlands, 2003. [Google Scholar]
- Tang, X. Methods for predicting vertical velocity distributions in open channel flows with submerged rigid vegetation. In Proceedings of the 21st IAHR-APD Congress, Yogyakarta, Indonesia, 2–5 September 2018; Volume 1, pp. 567–576. [Google Scholar]
- Nepf, H.M. Flow and transport in regions with aquatic vegetation. Annu. Rev. Fluid Mech. 2012, 44, 123–142. [Google Scholar] [CrossRef]
- Tang, X. Evaluating two-layer models for velocity profiles in open-channels with submerged vegetation. J. Geosci. Environ. Prot. 2019, 7, 68–80. [Google Scholar] [CrossRef]
- Asghar, M.; Pasha, G.A.; Ghani, U.; Iqbal, S.; Jameel, M.S. Investigating multiple debris impact load and role of vegetation in protection of house model during floods. In Proceedings of the 2nd Conference on Sustainability in Civil Engineering, Islamabad, Pakistan, 26–27 November 2020. [Google Scholar]
- Miyab, N.M.; Afzalimehr, H.; Singh, V.P. Experimental investigation of influence of vegetation on flow turbulence. Int. J. Hydraul. Eng. 2015, 4, 54–69. [Google Scholar]
- Eraky, O.M.; Eltoukhy, M.A.R.; Abdelmoaty, M.S.; Farouk, E. Heading up and head losses estimation due to rigid bank vegetation. Eng. Res. J. (Shoubra) 2023, 52, 64–72. [Google Scholar] [CrossRef]
- Pasha, G.A.; Tanaka, N. Energy loss and drag in a steady flow through emergent vegetation. In Proceedings of the 12th International Conference on Hydroscience & Engineering, Tainan, Taiwan, 6–10 November 2016. [Google Scholar]
- Pasha, G.A.; Tanaka, N. Undular hydraulic jump formation and energy loss in a flow through emergent vegetation of varying thickness and density. Ocean Eng. 2017, 141, 308–325. [Google Scholar] [CrossRef]
- Rashedunnabi, A.H.M.; Tanaka, N. Physical modelling of tsunami energy reduction through vertically two layered rigid vegetation. In Proceedings of the 12th ISE, Tokyo, Japan, 19–24 August 2018. [Google Scholar]
- Pasha, G.A.; Tanaka, N. Characteristics of a hydraulic jump formed on upstream vegetation of varying density and thickness. J. Earthq. Tsunami 2020, 14, 2050012. [Google Scholar] [CrossRef]
- Wu, Y.J.; Jing, H.F.; Li, C.G.; Song, Y.T. Flow characteristics in open channels with aquatic rigid vegetation. J. Hydrodyn. 2020, 32, 1100–1108. [Google Scholar] [CrossRef]
- Anjum, N.; Tanaka, N. Experimental study on flow analysis and energy loss around discontinued vertically layered vegetation. Environ. Fluid Mech. 2020, 20, 791–817. [Google Scholar] [CrossRef]
- Sanjou, M.; Okamoto, T.; Nezu, I. Experimental study on fluid energy reduction through a flood protection forest. J. Flood Risk Manag. 2018, 11, e12339. [Google Scholar] [CrossRef]
- Shaheen, M.F.; Abdel-Aal, G.M.; Elbagoury, M.G. The Influence of Submerged and Floating Vegetation on Manning’s Roughness Coefficient: An Experimental Analysis. Port-Said Eng. Res. J. 2024. [Google Scholar] [CrossRef]
- Mohamed, H.I.; Abd-Elaal, A.M.; Mahmoud, A.A. Flow characteristics of open channels with floating vegetation. J. Eng. Sci. 2020, 48, 186–196. [Google Scholar] [CrossRef]
- Ahmed, A.; Valyrakis, M.; Ghumman, A.; Pasha, G.A.; Farooq, R. Experimental investigation of flood energy reduction through vegetation at various angles. River Res. Appl. 2021, 37, 644–655. [Google Scholar] [CrossRef]
- Usman, F.; Murakami, K.; Kurniawan, E.B. Study on reducing tsunami inundation energy by the modification of topography based on local wisdom. Procedia Environ. Sci. 2014, 20, 642–650. [Google Scholar] [CrossRef][Green Version]
- Ahmed, A.; Ghumman, A. Experimental investigation of flood energy dissipation by single and hybrid defense system. Water 2019, 11, 1971. [Google Scholar] [CrossRef]
- Muhammad, R.A.H.; Tanaka, N. Energy reduction of a tsunami current through a hybrid defense system comprising a sea embankment followed by a coastal forest. Geosciences 2019, 9, 247. [Google Scholar] [CrossRef]
- Rahman, M.A.; Tanaka, N.; Rashedunnabi, A.H.M.; Igarashi, Y. Energy reduction in tsunami through a defense system comprising an embankment and vegetation on a mound. In Proceedings of the 22nd IAHR-APD Congress, Sapporo, Japan, 27–30 October 2020. [Google Scholar]
- Rahman, M.A.; Tanaka, N.; Rashedunnabi, A.H.M. Flume experiments on flow analysis and energy reduction through a compound tsunami mitigation system with a seaward embankment and landward vegetation over a mound. Geosciences 2021, 11, 90. [Google Scholar] [CrossRef]
- Ahmed, A.; Valyrakis, M.; Ghumman, A.; Pasha, G.A.; Farooq, R. Experimental investigation of flood energy dissipation through embankment followed by emergent vegetation. Period. Polytech. Civ. Eng. 2021, 65, 1213–1226. [Google Scholar] [CrossRef]
- Rahman, M.A.; Tanaka, N.; Reheman, N. Experimental study on reduction of scouring and tsunami energy through a defense system consisting a seaward embankment followed by vertically double layered vegetation. Ocean Eng. 2021, 234, 108816. [Google Scholar] [CrossRef]
- Pasha, G.A.; Tanaka, N.; Yagisawa, J.; Achmad, F.N. Tsunami mitigation by combination of coastal vegetation and a backward-facing step. Coast. Eng. J. 2018, 60, 104–125. [Google Scholar] [CrossRef]
- Murtaza, N.; Pasha, G.A.; Ahmed, A. Experimental Investigation of flood energy dissipation for hill torrents management. In Proceedings of the 2nd International Conference on Advance in Civil and Environmental Engineering, Chengdu, China, 22–23 February 2023. [Google Scholar]
- Yeganeh-Bakhtiary, A.; Kolahian, M.; Eyvazoghli, H. Experimental investigation of coastal flooding hydrodynamics using a hybrid defense system. Water 2023, 15, 2632. [Google Scholar] [CrossRef]
- Tang, H.; Tian, Z.; Yan, J.; Yuan, S. Determining drag coefficients and their application in modelling of turbulent flow with submerged vegetation. Adv. Water Resour. 2014, 69, 134–145. [Google Scholar] [CrossRef]
- Zhao, H.; Yan, J.; Yuan, S.; Liu, J.; Zheng, J. Effects of submerged vegetation density on turbulent flow characteristics in an open channel. Water 2019, 11, 2154. [Google Scholar] [CrossRef]
- Zeng, C.; Li, C.W. Measurements and modeling of open-channel flows with finite semi-rigid vegetation patches. Environ. Fluid Mech. 2014, 14, 113–134. [Google Scholar] [CrossRef]
- Zhao, H.; Wang, W.; Jia, F.; Wang, H.; Liu, Z.; Xu, Y. Numerical and analytical flow models in ecological channels with interaction of vegetation and freshwater. Front. Environ. Sci. 2023, 11, 1098993. [Google Scholar] [CrossRef]
- Chow, V.T. Open Channel Hydraulics; McGraw-Hill Publishing Co.: New York, NY, USA, 1959. [Google Scholar]













| Authors | Flume Properties | Vegetation Model | ||||||||||
|---|---|---|---|---|---|---|---|---|---|---|---|---|
| Type | L (m) | B (m) | Q (L/s) | S | y (m) | Shape and Material | Density (stem/m2) | Rigid/Flexible | heff (m) | zi/heff | ||
| Liu et al. [8] | Rectangular | 4.3 | 0.30 | 11.4 | 0.0030 | 0.114 | Acrylic dowels | 500 | Rigid | 0.076 | 0.76 | |
| Tang et al. [76] | Rectangular | 12 | 0.42 | 12.6 | 0.00224 | 0.15 | Circular cylinder | 1000 | Rigid | 0.060 | 0.66 | |
| Chakraborty and Sarkar [44] | Rectangular | 10 | 0.40 | 15.3 | 0.0013 | 0.34 | PVC cylinders | 265 | Rigid | 0.16 | 0.66 | |
| Zhao et al. [77] | Rectangular | 12 | 0.60 | 32.35 | 0.18 | Aluminum cylinder | 250 | Rigid | 0.06 | 0.69 | ||
| Kubrak et al. [20] | Rectangular | 16 | 0.58 | 52.50 | 0.0087 | 0.2386 | Elliptical cylindrical stems | 2500 | Flexible | 0.153 | 0.48 | |
| Zeng and Li [78] | Rectangular | 12.5 | 0.31 | 13.89 | 0.0025 | 0.246 | Rectangular plastic strips | 1111 | Flexible | 0.145 | 0.76 | |
| Liu et al. [27] | Rectangular | 22.6 | 1.6 | 172 | 0.0067 | 0.45 | A shrub-like vegetation (Boxwood lobules) | 15.71 | Flexible | 0.255 | 0.85 | |
| Wang et al. [28] | Rectangular | 20 | 0.60 | 15.18 | 0.0004 | 0.33 | Sedge | 108.3 | Flexible | 0.19 | 0.68 | |
| Zhao et al. [79] | Rectangular | 12 | 1.00 | 30 | 0.0004 | 0.30 | Sedge | 133.3 | Flexible | 0.135 | 0.67 | |
| Present study | Rectangular | 20 | 0.60 | 40 | 0.0062 | 0.30 | Shrub-like Perspex | 246 | Flexible | 0.207 | 0.29 | |
Disclaimer/Publisher’s Note: The statements, opinions and data contained in all publications are solely those of the individual author(s) and contributor(s) and not of MDPI and/or the editor(s). MDPI and/or the editor(s) disclaim responsibility for any injury to people or property resulting from any ideas, methods, instructions or products referred to in the content. |
© 2025 by the authors. Licensee MDPI, Basel, Switzerland. This article is an open access article distributed under the terms and conditions of the Creative Commons Attribution (CC BY) license (https://creativecommons.org/licenses/by/4.0/).
Share and Cite
Elbagoury, M.G.; Weiss, R.; Panulinova, E.; Abdel-Aal, G.M.; Shaheen, M.F. Influence of Aquatic Vegetation on Velocity Distribution, Water Surface Profile, and Energy Loss: An Experimental Study in an Open Channel. Water 2025, 17, 1808. https://doi.org/10.3390/w17121808
Elbagoury MG, Weiss R, Panulinova E, Abdel-Aal GM, Shaheen MF. Influence of Aquatic Vegetation on Velocity Distribution, Water Surface Profile, and Energy Loss: An Experimental Study in an Open Channel. Water. 2025; 17(12):1808. https://doi.org/10.3390/w17121808
Chicago/Turabian StyleElbagoury, Mohamed Galal, Roland Weiss, Eva Panulinova, Gamal M. Abdel-Aal, and Marwa F. Shaheen. 2025. "Influence of Aquatic Vegetation on Velocity Distribution, Water Surface Profile, and Energy Loss: An Experimental Study in an Open Channel" Water 17, no. 12: 1808. https://doi.org/10.3390/w17121808
APA StyleElbagoury, M. G., Weiss, R., Panulinova, E., Abdel-Aal, G. M., & Shaheen, M. F. (2025). Influence of Aquatic Vegetation on Velocity Distribution, Water Surface Profile, and Energy Loss: An Experimental Study in an Open Channel. Water, 17(12), 1808. https://doi.org/10.3390/w17121808

