Similar Physical Model Experimental Investigation of Landslide-Induced Impulse Waves Under Varying Water Depths in Mountain Reservoirs
Abstract
1. Introduction
2. Methodology
2.1. Similarity Theory
2.2. Physical Model
2.3. Testing System
2.4. Landslide Generator Device
2.5. Landslide Material and Experimental Design
2.6. Experimental Repeatability and Error
3. Results
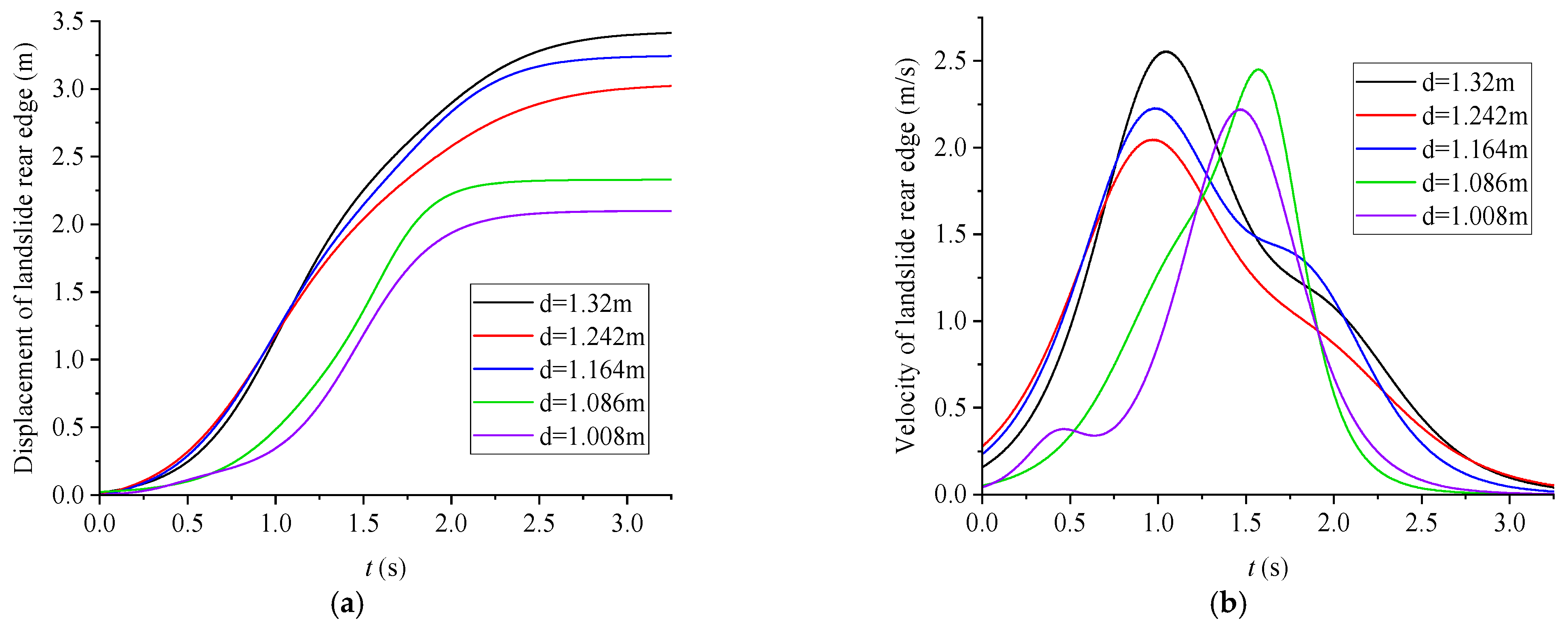
3.1. Landslide Movement
3.2. Impulse Wave Characteristics in the Generation Area
3.3. Impulse Wave Characteristics in the River Channel Propagation Area
3.4. Impulse Wave Characteristics in the Dam Area and Run-Up on the Dam Surface
4. Discussion
4.1. The Influence of Different Water Depths on the Impulse Wave Characteristics in the Generation Area
4.2. The Influence of Different Water Depths on the Impulse Wave Characteristics in the River Channel Propagation Area
4.3. The Influence of Different Water Depths on the Impulse Wave Characteristics in the Dam Area
4.4. Prediction of Impulse Wave of Potential Landslide in Real Engineering Based on Physical Model Experiment
5. Conclusions
- (1)
- Partially submerged landslides will not generate splashing waves when entering the water. The maximum wave amplitude in the generation area occurs in the first wave column, and the maximum wave amplitude in the propagation area occurs in the third wave column. The wave amplitude values decrease with increasing propagation distance and increasing water depth. The water at the dam surface experiences repeated oscillations between the two banks, which cause the LIIW run-up height along the dam surface to further increase.
- (2)
- The empirical formulas of wave amplitude crest attenuation in the generation area and wave vertical run-up height on the dam surface are proposed, whose effectiveness are 88% and 95%. By comparing with empirical formulas proposed by other researchers, it was found that landslide morphology and engineering terrain have a significant impact on the attenuation law of LIIWs.
- (3)
- Based on experimental results, the following suggestions were proposed for the unbuilt RM reservoir project: The height of the cofferdam should be at least 8.93 m above the water level during the dam layered construction period. In order to prevent the maximum run-up wave height from exceeding the dam top altitude, it is recommended to install wave dissipating facilities at the junction between the dam surface and both banks.
Author Contributions
Funding
Data Availability Statement
Conflicts of Interest
References
- Zhang, X.; Shuang, N.; Lu, X.; Xiong, B.; Ming, H.; Cai, Z.; Liu, X. The effect of river channel characteristics on landslide-generated waves and the dynamic water pressure of the dam surface. Water 2022, 14, 1543. [Google Scholar] [CrossRef]
- Panizzo, A.; De Girolamo, P.; Di Risio, M.; Maistri, A.; Petaccia, A. Great landslide events in Italian artificial reservoirs. Nat. Hazards Earth Syst. Sci. 2005, 5, 733–740. [Google Scholar] [CrossRef]
- Panizzo, A.; De Girolamo, P.; Petaccia, A. Forecasting impulse waves generated by subaerial landslides. J. Geophys. Res. 2005, 110, 2004JC002778. [Google Scholar] [CrossRef]
- Ma, H.; Wang, H.; Xu, W.; Zhan, Z.; Wu, S.; Xie, W.-C. Numerical modeling of landslide-generated impulse waves in mountain reservoirs using a coupled DEM-SPH method. Landslides 2024, 21, 2007–2019. [Google Scholar] [CrossRef]
- Xu, W.-J.; Dong, X.-Y. Simulation and verification of landslide tsunamis using a 3D SPH-DEM coupling method. Comput. Geotech. 2021, 129, 103803. [Google Scholar] [CrossRef]
- Mao, J.; Zhao, L.; Di, Y.; Liu, X.; Xu, W. A resolved CFD–DEM approach for the simulation of landslides and impulse waves. Comput. Methods Appl. Mech. Eng. 2020, 359, 112750. [Google Scholar] [CrossRef]
- Ma, H.; Wang, H.; Shi, H.; Xu, W.; Hou, J.; Wu, W.; Xie, W.-C. Probabilistic landslide-generated impulse waves estimation in mountain reservoirs, a case study. Bull. Eng. Geol. Environ. 2024, 83, 494. [Google Scholar] [CrossRef]
- Gao, J.; Bi, W.J.; Zhang, J.; Zang, J. Numerical Investigations on Harbor Oscillations Induced by Falling Objects. China Ocean Eng. 2023, 37, 458–470. [Google Scholar] [CrossRef]
- Gao, J.; Ma, X.; Chen, H.; Zang, J.; Dong, G. On hydrodynamic characteristics of transient harbor resonance excited by double solitary waves. Ocean Eng. 2021, 219, 108345. [Google Scholar] [CrossRef]
- Gao, J.; Ma, X.; Zang, J.; Dong, G.; Ma, X.; Zhu, Y.; Zhou, L. Numerical investigation of harbor oscillations induced by focused transient wave groups. Coast. Eng. 2020, 158, 103670. [Google Scholar] [CrossRef]
- Junliang, G.; Xiaojun, Z.; Li, Z.; Jun, Z.; Qiang, C.; Haoyu, D. Numerical study of harbor oscillations induced by water surface disturbances within harbors of constant depth. Ocean Dyn. 2018, 68, 1663–1681. [Google Scholar]
- Grilli, S.T.; Shelby, M.; Kimmoun, O.; Dupont, G.; Nicolsky, D.; Ma, G.; Kirby, J.T.; Shi, F. Modeling coastal tsunami hazard from submarine mass failures: Effect of slide rheology, experimental validation, and case studies off the US east coast. Nat. Hazards 2017, 86, 353–391. [Google Scholar] [CrossRef]
- Heinrich, P. Nonlinear water waves generated by submarine and aerial landslides. J. Waterw. Port Coast. Ocean Eng. 1992, 118, 249–266. [Google Scholar] [CrossRef]
- Heller, V.; Spinneken, J. Improved landslide-tsunami prediction: Effects of block model parameters and slide model. J. Geophys. Res. Oceans 2013, 118, 1489–1507. [Google Scholar] [CrossRef]
- Kamphuis, J.W.; Bowering, R.J. Impulse waves generated by landslides. In Proceedings of the Coastal Engineering Proceedings, Washington, DC, USA, 17 September 1970; Volume 35, pp. 575–588. [Google Scholar]
- Noda, E. Water waves generated by landslides. J. Waterw. Harb. Coast. Eng. Div. 1970, 96, 835–855. [Google Scholar] [CrossRef]
- Panizzo, A.; Bellotti, G.; De Girolamo, P. Application of wavelet transform analysis to landslide generated waves. Coast. Eng. 2002, 44, 321–338. [Google Scholar] [CrossRef]
- Sælevik, G.; Jensen, A.; Pedersen, G. Experimental investigation of impact generated tsunami; related to a potential rock slide, western Norway. Coast. Eng. 2009, 56, 897–906. [Google Scholar] [CrossRef]
- Walder, J.S.; Watts, P.; Sorensen, O.E.; Janssen, K. Tsunamis generated by subaerial mass flows. J. Geophys. Res. 2003, 108, 2001JB000707. [Google Scholar] [CrossRef]
- Watts, P. Tsunami features of solid block underwater landslides. J. Waterw. Port Coast. Ocean Eng. 2000, 126, 144–152. [Google Scholar] [CrossRef]
- Fritz, H.; Hager, W.; Minor, H.-E. Lituya bay case: Rockslide impact and wave run-up. Sci. Tsunami Hazards 2001, 19, 3–19. [Google Scholar]
- Fritz, H.M.; Hager, W.H.; Minor, H.-E. Near field characteristics of landslide generated impulse waves. J. Waterw. Port Coast. Ocean Eng. 2004, 130, 287–302. [Google Scholar] [CrossRef]
- Zweifel, A.; Hager, W.H.; Minor, H.-E. Plane impulse waves in reservoirs. J. Waterw. Port Coast. Ocean Eng. 2006, 132, 358–368. [Google Scholar] [CrossRef]
- Heller, V.; Hager, W.H.; Minor, H.-E. Scale effects in subaerial landslide generated impulse waves. Exp. Fluids 2008, 44, 691–703. [Google Scholar] [CrossRef]
- Heller, V.; Hager, W.H. Wave types of landslide generated impulse waves. Ocean Eng. 2011, 38, 630–640. [Google Scholar] [CrossRef]
- Fuchs, H.; Winz, E.; Hager, W.H. Underwater landslide characteristics from 2D laboratory modeling. J. Waterw. Port Coast. Ocean Eng. 2013, 139, 480–488. [Google Scholar] [CrossRef]
- Viroulet, S.; Sauret, A.; Kimmoun, O. Tsunami generated by a granular collapse down a rough inclined plane. Europhys. Lett. 2014, 105, 34004. [Google Scholar] [CrossRef]
- Evers, F.; Hager, W. Impulse wave generation: Comparison of free granular with mesh-packed slides. J. Mar. Sci. Eng. 2015, 3, 100–110. [Google Scholar] [CrossRef]
- Miller, G.S.; Take, W.A.; Mulligan, R.P.; McDougall, S. Tsunamis generated by long and thin granular landslides in a large flume. J. Geophys. Res. Oceans 2017, 122, 653–668. [Google Scholar] [CrossRef]
- Cabrera, M.A.; Pinzon, G.; Take, W.A.; Mulligan, R.P. Wave generation across a continuum of landslide conditions from the collapse of partially submerged to fully submerged granular columns. J. Geophys. Res. Oceans 2020, 125, e2020JC016465. [Google Scholar] [CrossRef]
- Huang, B.; Zhang, Q.; Wang, J.; Luo, C.; Chen, X.; Chen, L. Experimental study on impulse waves generated by gravitational collapse of rectangular granular piles. Phys. Fluids 2020, 32, 033301. [Google Scholar] [CrossRef]
- Robbe-Saule, M.; Morize, C.; Henaff, R.; Bertho, Y.; Sauret, A.; Gondret, P. Experimental investigation of tsunami waves generated by granular collapse into water. J. Fluid Mech. 2021, 907, A11. [Google Scholar] [CrossRef]
- Takabatake, T.; Mäll, M.; Han, D.C.; Inagaki, N.; Kisizaki, D.; Esteban, M.; Shibayama, T. Physical modeling of tsunamis generated by subaerial, partially submerged, and submarine landslides. Coast. Eng. J. 2020, 62, 582–601. [Google Scholar] [CrossRef]
- Tang, G.; Lu, L.; Teng, Y.; Zhang, Z.; Xie, Z. Impulse waves generated by subaerial landslides of combined block mass and granular material. Coast. Eng. 2018, 141, 68–85. [Google Scholar] [CrossRef]
- Meng, Z. Experimental study on impulse waves generated by a viscoplastic material at laboratory scale. Landslides 2018, 15, 1173–1182. [Google Scholar] [CrossRef]
- Bullard, G.K.; Mulligan, R.P.; Carreira, A.; Take, W.A. Experimental analysis of tsunamis generated by the impact of landslides with high mobility. Coast. Eng. 2019, 152, 103538. [Google Scholar] [CrossRef]
- de Lange, S.I.; Santa, N.; Pudasaini, S.P.; Kleinhans, M.G.; de Haas, T. Debris-flow generated tsunamis and their dependence on debris-flow dynamics. Coast. Eng. 2020, 157, 103623. [Google Scholar] [CrossRef]
- Ataie-Ashtiani, B.; Najafi-Jilani, A. Laboratory investigations on impulsive waves caused by underwater landslide. Coast. Eng. 2008, 55, 989–1004. [Google Scholar] [CrossRef]
- Ataie-Ashtiani, B.; Nik-Khah, A. Impulsive waves caused by subaerial landslides. Environ. Fluid Mech. 2008, 8, 263–280. [Google Scholar] [CrossRef]
- Najafi-Jilani, A.; Ataie-Ashtiani, B. Laboratory investigation of wave run-up caused by landslides in dam reservoirs. Q. J. Eng. Geol. Hydrogeol. 2012, 45, 89–98. [Google Scholar] [CrossRef]
- Yavari-Ramshe, S.; Ataie-Ashtiani, B. A rigorous finite volume model to simulate subaerial and submarine landslide-generated waves. Landslides 2017, 14, 203–221. [Google Scholar] [CrossRef]
- Bregoli, F.; Bateman, A.; Medina, V. Tsunamis generated by fast granular landslides: 3D experiments and empirical predictors. J. Hydraul. Res. 2017, 55, 743–758. [Google Scholar] [CrossRef]
- Liu, P.L.-F.; Wu, T.-R.; Raichlen, F.; Synolakis, C.E.; Borrero, J.C. Runup and rundown generated by three-dimensional sliding masses. J. Fluid Mech. 2005, 536, 107–144. [Google Scholar] [CrossRef]
- Enet, F.; Grilli, S.T. Experimental study of tsunami generation by three-dimensional rigid underwater landslides. J. Waterw. Port Coast. Ocean Eng. 2007, 133, 442–454. [Google Scholar] [CrossRef]
- Di Risio, M.; Bellotti, G.; Panizzo, A.; De Girolamo, P. Three-dimensional experiments on landslide generated waves at a sloping coast. Coast. Eng. 2009, 56, 659–671. [Google Scholar] [CrossRef]
- Di Risio, M.; De Girolamo, P.; Bellotti, G.; Panizzo, A.; Aristodemo, F.; Molfetta, M.G.; Petrillo, A.F. Landslide-generated tsunamis runup at the coast of a conical island: New physical model experiments. J. Geophys. Res. 2009, 114, 2008JC004858. [Google Scholar] [CrossRef]
- Romano, A.; Bellotti, G.; Di Risio, M. Wavenumber–frequency analysis of the landslide-generated tsunamis at a conical island. Coast. Eng. 2013, 81, 32–43. [Google Scholar] [CrossRef]
- Heller, V.; Spinneken, J. On the effect of the water body geometry on landslide–tsunamis: Physical insight from laboratory tests and 2D to 3D wave parameter transformation. Coast. Eng. 2015, 104, 113–134. [Google Scholar] [CrossRef]
- Heller, V.; Bruggemann, M.; Spinneken, J.; Rogers, B.D. Composite modelling of subaerial landslide–tsunamis in different water body geometries and novel insight into slide and wave kinematics. Coast. Eng. 2016, 109, 20–41. [Google Scholar] [CrossRef]
- Heller, V.; Attili, T.; Chen, F.; Gabl, R.; Wolters, G. Large-scale investigation into iceberg-tsunamis generated by various iceberg calving mechanisms. Coast. Eng. 2021, 163, 103745. [Google Scholar] [CrossRef]
- Mohammed, F.; Fritz, H.M. Physical modeling of tsunamis generated by three-dimensional deformable granular landslides. J. Geophys. Res. 2012, 117, 2011JC007850. [Google Scholar] [CrossRef]
- Evers, F.M.; Hager, W.H. Spatial impulse waves: Wave height decay experiments at laboratory scale. Landslides 2016, 13, 1395–1403. [Google Scholar] [CrossRef]
- McFall, B.C.; Fritz, H.M. Physical modelling of tsunamis generated by three-dimensional deformable granular landslides on planar and conical island slopes. Proc. R. Soc. A 2016, 472, 20160052. [Google Scholar] [CrossRef]
- McFall, B.C.; Fritz, H.M. Runup of granular landslide-generated tsunamis on planar coasts and conical islands. J. Geophys. Res. Oceans 2017, 122, 6901–6922. [Google Scholar] [CrossRef]
- Wang, J.; Xiao, L.; Ward, S.N. Tsunami squares modeling of landslide tsunami generation considering the ‘push ahead’ effects in slide/water interactions: Theory, experimental validation, and sensitivity analyses. Eng. Geol. 2021, 288, 106141. [Google Scholar] [CrossRef]
- Takabatake, T.; Han, D.C.; Valdez, J.J.; Inagaki, N.; Mäll, M.; Esteban, M.; Shibayama, T. Three-dimensional physical modeling of tsunamis generated by partially submerged landslides. J. Geophys. Res. Oceans 2022, 127, e2021JC017826. [Google Scholar] [CrossRef]
- Huang, B.; Yin, Y.; Wang, S.; Chen, X.; Liu, G.; Jiang, Z.; Liu, J. A physical similarity model of an impulsive wave generated by gongjiafang landslide in three gorges reservoir, China. Landslides 2014, 11, 513–525. [Google Scholar] [CrossRef]
- Wang, W.; Chen, G.; Yin, K.; Wang, Y.; Zhou, S.; Liu, Y. Modeling of landslide generated impulsive waves considering complex topography in reservoir area. Environ. Earth Sci 2016, 75, 372. [Google Scholar] [CrossRef]
- Wang, W.; Chen, G.; Yin, K.; Zhou, S.; Jing, P.; Chen, L. Modeling of landslide generated waves in three gorges reservoir, China using SPH method. Jpn. Geotech. Soc. Spec. Publ. 2016, 2, 1183–1188. [Google Scholar] [CrossRef]
- Chen, S.; Xu, W.; Feng, Y.; Yan, L.; Wang, H.; Xie, W.-C. Experimental investigation on potential high-position landslide-generated impulse waves: A case study of the Meilishi landslide in the Gushui Reservoir, China. Ocean Eng. 2024, 314, 119723. [Google Scholar] [CrossRef]






















| Physical Parameters | Normal Model Similarity Scale | Physical Parameters | Normal Model Similarity Scale |
|---|---|---|---|
| Length | Flow | ||
| Area | Quality | ||
| Volume | Gravity | ||
| Time | Pressure | ||
| Velocity | Momentum | ||
| Acceleration | Energy |
| Parameters | Values | Parameters | Values | Parameters | Values |
|---|---|---|---|---|---|
| 1.5 m3 | 0.5 m | 32.3° | |||
| 2850 kg | 2.233 m | 25° | |||
| 1.9 t/m3 | 0.39 | ||||
| 4.6 cm | 1.008–1.320 m | ||||
| 4.50 m | 38.1° |
| Measure | (cm) | (%) | |||
|---|---|---|---|---|---|
| Point | run1 | run2 | run3 | (cm) | |
| LD1 | 3.79 | 4.38 | 3.73 | 0.41 | 10.33 |
| LD2 | 7.62 | 8.72 | 7.60 | 0.74 | 9.28 |
| DRL | 3.07 | 2.85 | 3.03 | 0.13 | 4.35 |
| DRR | 2.48 | 2.29 | 2.45 | 0.11 | 4.71 |
| d (m) | bw (m) | r (m) | |||
|---|---|---|---|---|---|
| L1 | L2 | L3 | L4 | ||
| 1.32 | 4.0 | 1.4 | 1.8 | 2.2 | 2.6 |
| 1.242 | 3.8 | 1.3 | 1.7 | 2.1 | 2.5 |
| 1.164 | 3.6 | 1.2 | 1.6 | 2.0 | 2.4 |
| 1.086 | 3.4 | 1.1 | 1.5 | 1.9 | 2.3 |
| 1.008 | 3.2 | 1.0 | 1.4 | 1.8 | 2.2 |
| Water Level | Altitude (m) | (m) | (m) | (m) | (m) | (m) | (m) | (m) | (m) |
|---|---|---|---|---|---|---|---|---|---|
| Maximum operating | 2895 | 17.49 | 2.45 | 3.79 | 4.28 | 5.62 | 4.77 | 7.63 | 15.34 |
| Construction period | 2879.4 | 18.20 | 3.27 | 5.63 | 5.92 | 6.60 | 6.93 | 9.41 | 16.05 |
| 2863.8 | 18.98 | 4.13 | 7.61 | 7.29 | 11.25 | 8.56 | 12.06 | 17.85 | |
| 2848.2 | 19.85 | 4.42 | 7.76 | 8.33 | 13.75 | 9.47 | 15.71 | 16.55 | |
| 2832.6 | 20.82 | 6.22 | 8.93 | 12.24 | 17.30 | 13.71 | 20.36 | 20.36 |
Disclaimer/Publisher’s Note: The statements, opinions and data contained in all publications are solely those of the individual author(s) and contributor(s) and not of MDPI and/or the editor(s). MDPI and/or the editor(s) disclaim responsibility for any injury to people or property resulting from any ideas, methods, instructions or products referred to in the content. |
© 2025 by the authors. Licensee MDPI, Basel, Switzerland. This article is an open access article distributed under the terms and conditions of the Creative Commons Attribution (CC BY) license (https://creativecommons.org/licenses/by/4.0/).
Share and Cite
Zhou, X.; Ma, H.; Wu, Y. Similar Physical Model Experimental Investigation of Landslide-Induced Impulse Waves Under Varying Water Depths in Mountain Reservoirs. Water 2025, 17, 1752. https://doi.org/10.3390/w17121752
Zhou X, Ma H, Wu Y. Similar Physical Model Experimental Investigation of Landslide-Induced Impulse Waves Under Varying Water Depths in Mountain Reservoirs. Water. 2025; 17(12):1752. https://doi.org/10.3390/w17121752
Chicago/Turabian StyleZhou, Xingjian, Hangsheng Ma, and Yizhe Wu. 2025. "Similar Physical Model Experimental Investigation of Landslide-Induced Impulse Waves Under Varying Water Depths in Mountain Reservoirs" Water 17, no. 12: 1752. https://doi.org/10.3390/w17121752
APA StyleZhou, X., Ma, H., & Wu, Y. (2025). Similar Physical Model Experimental Investigation of Landslide-Induced Impulse Waves Under Varying Water Depths in Mountain Reservoirs. Water, 17(12), 1752. https://doi.org/10.3390/w17121752

