River Resilience: Assessment Using Empirical Fish Assemblage Traits
Abstract
1. Introduction
2. Materials and Methods
2.1. Study Site
2.2. Functional Process Zones
2.3. Anthropogenic Disturbances
2.4. Fish Sampling
2.5. Data Analysis
3. Results
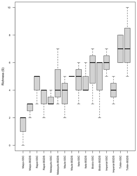
3.1. Fish Composition Variation Between Functional Process Zones Among River Basins
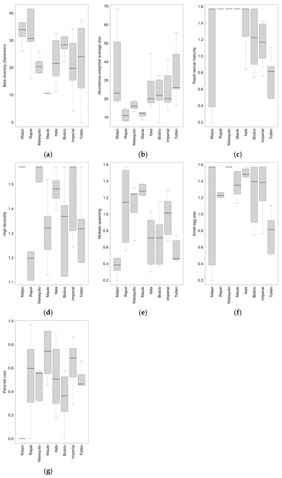
3.2. Resilience Mechanisms
3.2.1. Resources Mechanism
3.2.2. Recruitment Mechanism
3.2.3. Refugia Mechanism
3.3. Resilience per Basin
4. Discussion
Supplementary Materials
Author Contributions
Funding
Data Availability Statement
Acknowledgments
Conflicts of Interest
References
- Linke, S.; Turak, E.; Nel, J. Freshwater conservation planning: The case for systematic approaches. Freshwater Biol. 2011, 56, 6–20. [Google Scholar] [CrossRef]
- Wohl, E. Rivers in the Landscape: Science and Management; Wiley-Blackwell: Hoboken, NJ, USA, 2014. [Google Scholar]
- Mouillot, D.; Graham, N.A.J.; Villéger, S.; Mason, N.W.H.; Bellwood, D.R. A functional approach reveals community responses to disturbances. Trends Ecol. Evol. 2013, 28, 167–177. [Google Scholar] [CrossRef] [PubMed]
- Mori, A.S.; Furukawa, T.; Sasaki, T. Response diversity determines the resilience of ecosystems to environmental change. Biol. Rev. 2013, 88, 349–364. [Google Scholar] [CrossRef] [PubMed]
- Holling, C.S. Resilience and stability of ecological systems. Annu. Rev. Ecol. Syst. 1973, 4, 1–23. Available online: http://www.jstor.org/stable/2096802 (accessed on 9 June 2021). [CrossRef]
- Parsons, M.; Thoms, M.C.; Flotemersch, J.; Reid, M. Monitoring the resilience of rivers as social-ecological systems: A paradigm shift for river assessment in the twenty-first century. In River Science: Research and Management for the 21st Century, 1st ed.; Gilvear, D.J., Greenwood, M.T., Thoms, M.C., Wood, P.J., Eds.; Wiley-Blackwell: Chichester, UK, 2016; pp. 197–220. [Google Scholar]
- Walker, B.; Salt, D. Resilience thinking: Sustaining ecosystems and people in a changing world. In Coral Reefs; Island Press: Washington, DC, USA, 2006. [Google Scholar]
- Westman, W.E. Measuring the inertia and resilience of ecosystems. BioScience 1978, 28, 705–710. [Google Scholar] [CrossRef]
- Elmqvist, T.; Folke, C.; Nyström, M.; Peterson, G.; Bengtsson, J.; Walker, B.; Norberg, J. Response diversity, ecosystem change, and resilience. Front. Ecol. Environ. 2003, 1, 488–494. [Google Scholar] [CrossRef]
- Van Looy, K.; Tonkin, J.D.; Floury, M.; Leigh, C.; Soininen, J.; Larsen, S.; Heino, J.; Poff, N.L.; Delong, M.; Jähnig, S.C.; et al. The three Rs of river ecosystem resilience: Resources, recruitment, and refugia. River Res. Appl. 2019, 35, 107–120. [Google Scholar] [CrossRef]
- Arthington, A.H.; Finlayson, C.M.; Pittock, J. Freshwater ecological principles. In Freshwater Ecosystems in Protected Areas: Conservation and Management, 1st ed.; Finlayson, C.M., Arthington, A.H., Pittock, J., Eds.; Routledge: London, UK, 2018; pp. 34–53. [Google Scholar] [CrossRef]
- Dudgeon, D.; Arthington, A.H.; Gessner, M.O.; Kawabata, Z.I.; Knowler, D.J.; Lévêque, C.; Naiman, R.J.; Prieur-Richard, A.H.; Soto, D.; Stiassny, M.L.J.; et al. Freshwater biodiversity: Importance, threats, status & conservation challenges. Biol. Rev. 2006, 81, 163–182. [Google Scholar] [CrossRef]
- Jaiswal, D.; Pandey, J. River ecosystem resilience risk index: A tool to quantitatively characterize resilience and critical transitions in human-impacted large rivers. Environ. Pollut. 2021, 268, 115771. [Google Scholar] [CrossRef]
- Connell, S.D.; Ghedini, G. Resisting regime-shifts: The stabilising effect of compensatory processes. Trends Ecol. Evol. 2015, 30, 513–515. [Google Scholar] [CrossRef]
- Leibold, M.A.; Holyoak, M.; Mouquet, N.; Amarasekare, P.; Chase, J.M.; Hoopes, M.F.; Holt, R.D.; Shurin, J.B.; Law, R.; Tilman, D.; et al. The metacommunity concept: A framework for multi-scale community ecology. Ecol. Lett. 2004, 7, 601–613. [Google Scholar] [CrossRef]
- Tonkin, J.D.; Stoll, S.; Jähnig, S.C.; Haase, P. Contrasting metacommunity structure and beta diversity in an aquatic-floodplain system. Oikos 2016, 125, 686–697. [Google Scholar] [CrossRef]
- Angeler, D.G.; Allen, C.R. Quantifying resilience. J. Appl. Ecol. 2016, 53, 617–624. [Google Scholar] [CrossRef]
- Biggs, C.R.; Yeager, L.A.; Bolser, D.G.; Bonsell, C.; Dichiera, A.M.; Hou, Z.; Keyser, S.R.; Khursigara, A.J.; Lu, K.; Muth, A.F.; et al. Does functional redundancy affect ecological stability and resilience? A review and meta-analysis. Ecosphere 2020, 11, e03184. [Google Scholar] [CrossRef]
- Fetzer, I.; Johst, K.; Schawea, R.; Banitz, T.; Harms, H.; Chatzinotas, A. The extent of functional redundancy changes as species’ roles shift in different environments. Proc. Natl. Acad. Sci. USA 2015, 112, 14888–14893. [Google Scholar] [CrossRef]
- Nash, K.L.; Graham, N.A.J.; Jennings, S.; Wilson, S.K.; Bellwood, D.R. Herbivore cross-scale redundancy supports response diversity and promotes coral reef resilience. J. Appl. Ecol. 2016, 53, 646–655. [Google Scholar] [CrossRef]
- Karr, J.R. Assessment of biotic integrity using fish communities. Fisheries 1981, 6, 21–27. [Google Scholar] [CrossRef]
- Schiemer, F. Fish as indicators for the assessment of the ecological integrity of large rivers. Hydrobiologia 2000, 422–423, 271–278. [Google Scholar] [CrossRef]
- Delong, M.D.; Thoms, M.C. Changes in the trophic status of fish feeding guilds in response to flow modification. J. Geophys. Res. Biogeosci. 2016, 121, 949–964. [Google Scholar] [CrossRef]
- Delong, M.D.; Thoms, M.C. An Ecosystem Framework for River Science and Management. In River Science: Research and Management for the 21st Century, 1st ed.; Gilvear, D.J., Greenwood, M.T., Thoms, M.C., Wood, P.J., Eds.; Wiley-Blackwell: Chichester, UK, 2016; pp. 12–36. [Google Scholar] [CrossRef]
- Dollar, E.S.J.; James, C.S.; Rogers, K.H.; Thoms, M.C. A framework for interdisciplinary understanding of rivers as ecosystems. Geomorphology 2007, 89, 147–162. [Google Scholar] [CrossRef]
- Thorp, J.H.; Thoms, M.C.; Delong, M.D. The Riverine Ecosystem Synthesis. In The Riverine Ecosystem Synthesis: Toward Conceptual Cohesiveness in River Science, 1st ed.; Academic Press: Cambridge, MA, USA, 2008. [Google Scholar] [CrossRef]
- Elgueta, A.; Thoms, M.C.; Górski, K.; Díaz, G.; Habit, E.M. Functional process zones and their fish communities in temperate Andean river networks. River Res. Appl. 2019, 35, 1702–1711. [Google Scholar] [CrossRef]
- Thoms, M.C.; Delong, M.D.; Flotemersch, J.E.; Collins, S.E. Physical heterogeneity and aquatic community function in river networks: A case study from the Kanawha River Basin, USA. Geomorphology 2017, 290, 277–287. [Google Scholar] [CrossRef]
- Habit, E.; Zurita, A.; Díaz, G.; Manosalva, A.; Arriagada, P.; Link, O.; Górski, K. Latitudinal & altitudinal gradients of riverine landscapes in Andean rivers. Water 2022, 14, 2614. [Google Scholar] [CrossRef]
- Maasri, A.; Pyron, M.; Arsenault, E.R.; Thorp, J.H.; Mendsaikhan, B.; Tromboni, F.; Minder, M.; Kenner, S.J.; Costello, J.; Chandra, S.; et al. Valley-scale hydrogeomorphology drives river fish assemblage variation in Mongolia. Ecol. Evol. 2021, 11, 6527–6535. [Google Scholar] [CrossRef] [PubMed]
- Habit, E.; Górski, K.; Alò, D.; Ascencio, E.; Astorga, A.; Colin, N.; Contador, T.; de los Ríos, P.; Delgado, V.; Dorador, C.; et al. Biodiversidad de ecosistemas de agua dulce. In Mesa Biodiversidad-Comité Científico COP25; Ministerio de Ciencia, Tecnología, Conocimiento e Innovación: Santiago, Chile, 2019; p. 64. [Google Scholar]
- Charrier, R.; Ramos, V.A.; Tapia, F.; Sagripanti, L. Tectono-stratigraphic evolution of the Andean Orogen between 31 and 37°S (Chile and Western Argentina). Geol. Soc. Spec. Publ. 2015, 399, 13–61. [Google Scholar] [CrossRef]
- Campos, H.; Dazarola, G.; Dyer, B.S.; Fuentes, L.; Gavilán, J.F.; Huaquín, L.; Martínez, G.; Meléndez, R.; Pequeño, G.; Ponce, F.; et al. Categorías de conservación de peces nativos de aguas continentales de Chile. Boletín Mus. Nac. Hist. Nat. Chile 1998, 47, 101–122. [Google Scholar] [CrossRef]
- Habit, E.; Belk, M.C.; Tuckfield, R.C.; Parra, O. Response of the fish community to human-induced changes in the Biobío River in Chile. Freshwater Biol. 2006, 51, 1–11. [Google Scholar] [CrossRef]
- Díaz, G.; Górski, K.; Heino, J.; Arriagada, P.; Link, O.; Habit, E. The longest fragment drives fish beta diversity in fragmented river networks: Implications for river management and conservation. Sci. Total Environ. 2021, 766, 144323. [Google Scholar] [CrossRef]
- Arroyo, M.T.K.; Marquet, P.; Marticorena, C.; Simonetti, J.; Lohengrin, C.; Squeo, F.; Rozzi, R. Chilean Winter Rainfall-Valdivian Forest. Hotspots Revisit. 2004, 99–103. [Google Scholar]
- Myers, N.; Mittermeier, R.A.; Mittermeier, C.G.; da Fonseca, G.A.B.; Kent, J. Biodiversity hotspots for conservation priorities. Nature 2000, 403, 853–858. [Google Scholar] [CrossRef]
- Dyer, B. Systematic review and biogeography of the freshwater fishes of Chile. Estud. Oceanol. 2000, 19, 77–98. [Google Scholar]
- Muñoz-Ramírez, C.P.; Colin, N.; Canales-Aguirre, C.B.; Manosalva, A.; López-Rodríguez, R.; Sukumaran, J.; Górski, K. Species tree analyses and speciation-based species delimitation support new species in the relict catfish family Diplomystidae and provide insights on recent glacial history in Patagonia. Mol. Phylogenet. Evol. 2023, 189, 107932. [Google Scholar] [CrossRef] [PubMed]
- Vila, I.; Habit, E. Current situation of the fish fauna in the Mediterranean region of Andean river systems in Chile. Fishes in Mediterr. Environ. 2015, 2015. [Google Scholar] [CrossRef]
- Habit, E.; Górski, K.; Vila, I.; Manosalva, A.; Díaz, G.; Toledo, B.; Rojas, P.; Zurita, A. The effects of anthropogenic pressures on native Chilean fish and lamprey fauna. Gayana 2024, 88, 76–104. [Google Scholar]
- INE. Resultados CENSO 2017. Available online: http://resultados.censo2017.cl (accessed on 12 January 2024).
- Vega-Retter, C.; Muñoz-Rojas, P.; Vila, I.; Copaja, S.; Véliz, D. Genetic effects of living in a highly polluted environment: The case of the silverside Basilichthys microlepidotus (Jenyns) (Teleostei: Atherinopsidae) in the Maipo River basin, central Chile. Popul. Ecol. 2014, 56, 569–579. [Google Scholar] [CrossRef]
- Figueroa, R.; Parra, O.; Díaz, M.E. La cuenca hidrográfica del río Biobío. In EULA-CHILE Evolución y Perspectivas a 30 Años de su Creación; Universidad de Concepción: Concepción, Chile, 2020; pp. 91–137. [Google Scholar]
- Díaz, G.; Arriagada, P.; Górski, K.; Link, O.; Karelovic, B.; González, J.; Habit, E. Fragmentation of Chilean Andean rivers: Expected effects of hydropower development. Rev. Chil. Hist. Nat. 2019, 92, 1–13. [Google Scholar] [CrossRef]
- Ministerio de Energía. Infraestructura de Datos Espaciales. Available online: https://ide-energia.minenergia.cl/portal/apps/webappviewer/index.html?id=5c526a138b1449458e0667b2235d2b19 (accessed on 12 January 2024).
- Ruiz, V.; Marchant, M. Ictiofauna de Aguas Continentales de Chile; Facultad de Ciencias Naturales y Oceanográficas, Universidad de Concepción: Concepción, Chile, 2004; 356p. [Google Scholar]
- Salas, D.; Véliz, D.; Scott, S. Morphological differentiation in the genus Cheirodon (Ostariophysi: Characidae) using both traditional and geometric morphometrics. Gayana 2012, 76, 142–152. [Google Scholar] [CrossRef]
- Clarke, K.R.; Warwick, R.M. Change in Marine Communities: An Approach to Statistical Analysis and Interpretation, 2nd ed.; PRIMER-E: Plymouth, UK, 2001; p. 172. [Google Scholar]
- Anderson, M.J.; Gorley, R.N.; Clarke, K.R. PERMANOVA+ Primer V7: User Manual; Primer-E Ltd.: Plymouth, UK, 2008; p. 214. [Google Scholar]
- Anderson, M.J.; Willis, T.J. Canonical analysis of principal coordinates: A useful method of constrained ordination for ecology. Ecology 2003, 84, 511–525. [Google Scholar] [CrossRef]
- Clarke, K.R. Non-parametric multivariate analyses of changes in community structure. Aust. J. Ecol. 1993, 18, 117–143. [Google Scholar] [CrossRef]
- Baker, C.F.; Jellyman, D.J.; Reeve, K.; Crow, S.; Stewart, M.; Buchinger, T.; Li, W. First observations of spawning nests in the pouched lamprey (Geotria australis). Can. J. Fish. Aquat. Sci. 2017, 74, 1603–1611. [Google Scholar] [CrossRef]
- Campos, H. Reproducción del Aplochiton taeniatus Jenyns. Bol. Mus. Nac. Hist. Nat. 1969, 29, 207–222. [Google Scholar]
- Campos, H. Galaxias maculatus (Jenyns) en Chile, con especial referencia a su reproducción. Bol. Mus. Nac. Hist. Nat. 1970, 31, 5–20. [Google Scholar] [CrossRef]
- Chiang, G.; Munkittrick, K.R.; McMaster, M.E.; Tucca, F.; Saavedra, M.F.; Ancalaf, A.; Gavilán, J.F.; Unzueta, L.; Barra, R. Seasonal changes in oocyte development, growth and population size distribution of Percilia gillissi and Trichomycterus areolatus in the Itata basin, Chile. Gayana 2012, 76, 131–141. [Google Scholar] [CrossRef][Green Version]
- Estay, F.J.; Colihueque, N.; Yáñez, M. Reproductive performance assessed during three spawning seasons in a naturalized rainbow trout population from southern Chile. Fish. Res. 2021, 244, 106107. [Google Scholar] [CrossRef]
- Ferriz, R.A.; Bentos, C.A.; Gómez, S.E. Fecundidad en Jenynsia lineata y Cnesterodon decemmaculatus (Pisces, Cyprinodontiformes) de la Pampasia Argentina. Acta Biol. Venez. 1999, 19, 33–39. [Google Scholar]
- Golusda, P. Aclimatación y cultivo de especies salmonídeas en Chile. Bol. Soc. Biol. Concepción 1927, 1, 80–100. [Google Scholar]
- Habit, E.; Victoriano, P. Peces de agua dulce de la Cordillera de la Costa. In Historia, Biodiversidad y Ecología de la Cordillera de la Costa de Chile; Smith-Ramírez, C., Armesto, J., Valdovinos, C., Eds.; Editorial Universitaria: Santiago, Chile, 2005; pp. 392–406. [Google Scholar]
- Habit, E.; Jara, A.; Colin, N.; Oyanedel, A.; Victoriano, P.; Gonzalez, J.; Solis-Lufí, K. Threatened fishes of the world: Diplomystes camposensis Arratia, 1987 (Diplomystidae). Environ. Biol. Fish. 2009, 84, 393–394. [Google Scholar] [CrossRef]
- Manriquez, A.; Huaqúin, L.; Arellano, M.; Arratia, G. Aspectos Reproductivos de Trichomycterus areolatus Valenciennes, 1846 (Pisces: Teleostei: Siluriformes) en Río Angostura, Chile. Stud. Neotrop. Fauna Environ. 1988, 23, 89–102. [Google Scholar] [CrossRef]
- Montoya, G.; Jara, A.; Solis-Lufí, K.; Colin, N.; Habit, E. Primeros estadios del ciclo de vida de peces nativos del río San Pedro (cuenca del río Valdivia, Chile). Gayana 2012, 76, 86–100. [Google Scholar] [CrossRef]
- Oyanedel, A.; Habit, E.; Belk, M.C.; Solis-Lufí, K.; Colin, N.; Gonzalez, J.; Jara, A.; Muñoz-Ramírez, C.P. Movement patterns and home range in Diplomystes camposensis (Siluriformes: Diplomystidae), an endemic and threatened species from Chile. Neotrop. Ichthyol. 2018, 16, e170134. [Google Scholar] [CrossRef]
- Patimar, R.; Ghorbani, M.; Gol-Mohammadi, A.; Azimi-Glugahi, H. Life history pattern of mosquitofish Gambusia holbrooki (Girard, 1859) in the Tajan River (Southern Caspian Sea to Iran). Chin. J. Oceanol. Limnol. 2011, 29, 167–173. [Google Scholar] [CrossRef]
- Prochelle, O.; Campos, H. The biology of the introduced carp Cyprinus carpio L., in the river Cayumapu, Valdivia, Chile. Stud. Neotrop. Fauna Environ. 1985, 20, 65–82. [Google Scholar] [CrossRef]
- Ruiz, V. Ictiofauna del río Andalién (Concepción, Chile). Gayana Zool. 1993, 57, 109–278. [Google Scholar]
- Serezli, R.; Guzel, S.; Kocabas, M. Fecundity and egg size of three salmonid species (Oncorhynchus mykiss, Salmo labrax, Salvelinus fontinalis) cultured at the same farm condition in North-Eastern, Turkey. J. Anim. Vet. Adv. 2010, 9, 576–580. [Google Scholar] [CrossRef][Green Version]
- Clarke, K.R.; Gorley, R.N. Getting started with PRIMER v7. Primer-E 2015, 1, 20. Available online: https://www.primer-e.com (accessed on 14 December 2022).
- Anderson, M.J.; Ellingsen, K.E.; McArdle, B.H. Multivariate dispersion as a measure of beta diversity. Ecol. Lett. 2006, 9, 683–693. [Google Scholar] [CrossRef] [PubMed]
- R Core Team. R: A Language and Environment for Statistical Computing; R Foundation for Statistical Computing: Vienna, Austria, 2020; Available online: https://www.R-project.org/ (accessed on 19 July 2022).
- Jaiswal, D.; Pandey, U.; Mishra, V.; Pandey, J. Integrating resilience with functional ecosystem measures: A novel paradigm for management decisions under multiple-stressor interplay in freshwater ecosystems. Glob. Chang. Biol. 2021, 27, 3699–3717. [Google Scholar] [CrossRef]
- Quinlan, A.E.; Berbés-Blázquez, M.; Haider, L.J.; Peterson, G.D. Measuring and assessing resilience: Broadening understanding through multiple disciplinary perspectives. J. Appl. Ecol. 2016, 53, 677–687. [Google Scholar] [CrossRef]
- Standish, R.J.; Hobbs, R.J.; Mayfield, M.M.; Bestelmeyer, B.T.; Suding, K.N.; Battaglia, L.L.; Eviner, V.; Hawkes, C.V.; Temperton, V.M.; Cramer, V.A.; et al. Resilience in ecology: Abstraction, distraction, or where the action is? Biol. Conserv. 2014, 177, 43–51. [Google Scholar] [CrossRef]
- Downing, A.L.; Leibold, M.A. Species richness facilitates ecosystem resilience in aquatic food webs. Freshwater Biol. 2010, 55, 2123–2137. [Google Scholar] [CrossRef]
- Tracy, E.E.; Infante, D.M.; Cooper, A.R.; Taylor, W.W. An ecological resilience index to improve conservation action for stream fish habitat. Aquat. Conserv. Mar. Freshw. Ecosyst. 2022, 32, 951–966. [Google Scholar] [CrossRef]
- Bouska, W.W.; Houser, J.N.; De Jager, N.R. Applying concepts of general resilience to large river ecosystems: A case study from the Upper Mississippi and Illinois rivers. Ecol. Indic. 2019, 101, 785–796. [Google Scholar] [CrossRef]
- Jaiswal, D.; Pandey, J. Hypoxia and associated feedbacks at sediment-water interface as an early warning signal of resilience shift in an anthropogenically impacted river. Environ. Res. 2019, 178, 108712. [Google Scholar] [CrossRef]
- Kremer, C.T.; Williams, A.K.; Finiguerra, M.; Fong, A.A.; Kellerman, A.; Paver, S.F.; Tolar, B.B.; Toscano, B.J. Realizing the potential of trait-based aquatic ecology: New tools and collaborative approaches. Limnol. Oceanogr. 2017, 62, 253–271. [Google Scholar] [CrossRef]
- Streit, R.P.; Bellwood, D.R. To harness traits for ecology, let’s abandon ‘functionality’. Trends Ecol. Evol. 2023, 38, 402–411. [Google Scholar] [CrossRef]
- Parsons, M.; Thoms, M.C. From academic to applied: Operationalising resilience in river systems. Geomorphology 2018, 305, 242–251. [Google Scholar] [CrossRef]
- Thorp, J.H.; Thoms, M.C.; Delong, M.D.; Maasri, A. The ecological nature of whole river macrosystems: New perspectives from the riverine ecosystem synthesis. Front. Ecol. Evol. 2023, 11, 1184433. [Google Scholar] [CrossRef]
- Arratia, G.; Quezada-Romegialli, C. The South American and Australian percichthyids and perciliids. What is new about them? Neotrop. Ichthyol. 2020, 17, e180102. [Google Scholar] [CrossRef]
- Baldan, D.; Cunillera-Montcusí, D.C.; Funk, A.; Piniewski, M.; Cañedo-Argüelles, M.; Hein, T. The effects of longitudinal fragmentation on riverine beta diversity are modulated by fragmentation intensity. Sci. Total Environ. 2023, 903, 166703. [Google Scholar] [CrossRef]
- Edge, C.B.; Fortin, M.J.; Jackson, D.A.; Lawrie, D.; Stanfield, L.; Shrestha, N. Habitat alteration and habitat fragmentation differentially affect beta diversity of stream fish communities. Landsc. Ecol. 2017, 32, 647–662. [Google Scholar] [CrossRef]
- Gauthier, M.; Launay, B.; Le Goff, G.; Pella, H.; Douady, C.J.; Datry, T. Fragmentation promotes the role of dispersal in determining intermittent headwater stream metacommunities. Freshwater Biol. 2020, 65, 2169–2185. [Google Scholar] [CrossRef]
- Xia, Z.; Heino, J.; Yu, F.; He, Y.; Liu, F.; Wang, J. Spatial patterns of site and species contributions to β diversity in riverine fish assemblages. Ecol. Indic. 2022, 145, 109728. [Google Scholar] [CrossRef]
- van Puijenbroek, P.J.T.M.; Buijse, A.D.; Kraak, M.H.S.; Verdonschot, P.F.M. Species and river specific effects of river fragmentation on European anadromous fish species. River Res. Appl. 2019, 35, 68–77. [Google Scholar] [CrossRef]
- Díaz, G.; Górski, K.; Manosalva, A.; Toledo, B.; Habit, E. Fragmentation level drives local fish assemblage diversity patterns in fragmented river basins. Diversity 2023, 15, 352. [Google Scholar] [CrossRef]
- Arismendi, I.; Sanzana, J.; Soto, D. Seasonal age distributions and maturity stage in a naturalized rainbow trout (Oncorhynchus mykiss Walbaum) population in southern Chile reveal an ad-fluvial life history. Ann. Limnol. 2011, 47, 133–140. [Google Scholar] [CrossRef]
- González, C.; Gortázar, J.; García De Jalón, D. Trucha común—Salmo trutta. In Enciclopedia Virtual de los Vertebrados Españoles, 1st ed.; Salvador, A., Elvira, B., Eds.; Museo Nacional de Ciencias Naturales: Chamartín, Madrid, 2012; Available online: https://digital.csic.es/bitstream/10261/107793/1/saltru_v2.pdf (accessed on 11 June 2022).
- Tyler, C.R.; Pottinger, T.G.; Santos, E.; Sumpter, J.P.; Price, S.A.; Brooks, S.; Nagler, J.J. Mechanisms controlling egg size and number in the rainbow trout, Oncorhynchus mykiss. Biol. Reprod. 1996, 54, 8–15. [Google Scholar] [CrossRef]
- Arismendi, I.; Soto, D.; Penaluna, B.; Jara, C.; Leal, C.; León-Muñoz, J. Aquaculture, non-native salmonid invasions and associated declines of native fishes in Northern Patagonian lakes. Freshwater Biol. 2009, 54, 1135–1147. [Google Scholar] [CrossRef]
- Habit, E.; González, J.; Ortiz-Sandoval, J.; Elgueta, A.; Sobenes, C. Efectos de la invasión de salmónidos en ríos y lagos de Chile. Ecosistemas 2015, 24, 43–51. [Google Scholar] [CrossRef]
- Belk, M.C.; Habit, E.; Ortiz-Sandoval, J.J.; Sobenes, C.; Combs, E.A. Ecology of Galaxias platei in a depauperate lake. Ecol. Freshwater Fish 2014, 23, 615–621. [Google Scholar] [CrossRef]
- Correa, C.; Bravo, A.P.; Hendry, A.P. Reciprocal trophic niche shifts in native and invasive fish: Salmonids and galaxiids in Patagonian lakes. Freshwater Biol. 2012, 57, 1769–1781. [Google Scholar] [CrossRef]
- Habit, E.; Victoriano, P. Composición, origen y valor de conservación de la ictiofauna del río San Pedro (cuenca del río Valdivia, Chile). Gayana 2012, 76, 10–23. [Google Scholar] [CrossRef]
- Allan, E.; Manning, P.; Alt, F.; Binkenstein, J.; Blaser, S.; Blüthgen, N.; Böhm, S.; Grassein, F.; Hölzel, N.; Klaus, V.H.; et al. Land use intensification alters ecosystem multifunctionality via loss of biodiversity and changes to functional composition. Ecol. Lett. 2015, 18, 834–843. [Google Scholar] [CrossRef]
- Cardinale, B.J.; Duffy, J.E.; González, A.; Hooper, D.U.; Perrings, C.; Venail, P.; Narwani, A.; MacE, G.M.; Tilman, D.; Wardle, D.A.; et al. Biodiversity loss and its impact on humanity. Nature 2012, 486, 59–67. [Google Scholar] [CrossRef] [PubMed]
- Gossner, M.M.; Lewinsohn, T.M.; Kahl, T.; Grassein, F.; Boch, S.; Prati, D.; Birkhofer, K.; Renner, S.C.; Sikorski, J.; Wubet, T.; et al. Land-use intensification causes multitrophic homogenization of grassland communities. Nature 2016, 540, 266–269. [Google Scholar] [CrossRef]
- Murphy, G.E.P.; Romanuk, T.N. A meta-analysis of declines in local species richness from human disturbances. Ecol. Evol. 2014, 4, 91–103. [Google Scholar] [CrossRef]
- Powers, R.P.; Jetz, W. Global habitat loss and extinction risk of terrestrial vertebrates under future land-use-change scenarios. Nat. Clim. Chang. 2019, 9, 323–329. [Google Scholar] [CrossRef]
- Simkin, R.D.; Seto, K.C.; McDonald, R.I.; Jetz, W. Biodiversity impacts and conservation implications of urban land expansion projected to 2050. Proc. Natl. Acad. Sci. USA 2022, 119, e2117297119. [Google Scholar] [CrossRef] [PubMed]
- Esse, C.; Ríos, N.; Saavedra, P.; Fonseca, D.; Encina-Montoya, F.; Santander-Massa, R.; De los Ríos-Escalante, P.; Figueroa-Muñoz, G.; López-Pérez, A.; Correa-Araneda, F. Effects of land use change on water availability and water efficiency in the temperate basins of south-central Chile. J. King Saud Univ. Sci. 2021, 33, 101650. [Google Scholar] [CrossRef]
- Fierro, P.; Valdovinos, C.; Arismendi, I.; Díaz, G.; Ruiz De Gamboa, M.; Arriagada, L. Assessment of anthropogenic threats to Chilean Mediterranean freshwater ecosystems: Literature review and expert opinions. Environ. Impact Assess. Rev. 2019, 77, 114–121. [Google Scholar] [CrossRef]
- Miserendino, M.L.; Casaux, R.; Archangelsky, M.; Di Prinzio, C.Y.; Brand, C.; Kutschker, A.M. Assessing land-use effects on water quality, in-stream habitat, riparian ecosystems, and biodiversity in Patagonian northwest streams. Sci. Total Environ. 2011, 409, 612–624. [Google Scholar] [CrossRef]
- Price, E.L.; Sertić Perić, M.; Romero, G.Q.; Kratina, P. Land use alters trophic redundancy and resource flow through stream food webs. J. Anim. Ecol. 2019, 88, 677–689. [Google Scholar] [CrossRef] [PubMed]
- Bassem, S.M. Water pollution and aquatic biodiversity. Biodivers. Int. J. Rev. 2020, 4, 10–16. [Google Scholar] [CrossRef]
- Gómez, J.; De La Maza, C.; Melo, Ó. Restoring environmental flow: Buy-back costs and pollution-dilution as a compliance with water quality standards. Water Policy 2014, 16, 864–879. [Google Scholar] [CrossRef]
- Groh, K.; vom Berg, C.; Schirmer, K.; Tlili, A. Anthropogenic chemicals as underestimated drivers of biodiversity loss: Scientific and societal implications. Environ. Sci. Technol. 2022, 56, 707–710. [Google Scholar] [CrossRef]
- Magurran, A.E.; Phillip, D.A.T. Implications of species loss in freshwater fish assemblages. Ecography 2001, 24, 645–650. Available online: https://www.jstor.org/stable/3683766 (accessed on 6 March 2024). [CrossRef]
- Ngor, P.B.; Uy, S.; Sor, R.; Chan, B.; Holway, J.; Null, S.E.; So, N.; Grenouillet, G.; Chandra, S.; Hogan, Z.S.; et al. Predicting fish species richness and abundance in the Lower Mekong Basin. Front. Ecol. Evol. 2023, 11, 1131142. [Google Scholar] [CrossRef]
- Paruch, L.; Paruch, A.M.; Eiken, H.G.; Sørheim, R. Faecal pollution affects abundance and diversity of aquatic microbial community in anthropo-zoogenically influenced lotic ecosystems. Sci. Rep. 2019, 9, 19469. [Google Scholar] [CrossRef]
- Sun, Z.; Sokolova, E.; Brittain, J.E.; Saltveit, S.J.; Rauch, S.; Meland, S. Impact of environmental factors on aquatic biodiversity in roadside stormwater ponds. Sci. Rep. 2019, 9, 5994. [Google Scholar] [CrossRef]
- Aguayo, M.; Pauchard, P.; Azócar, G.; Parra, O. Cambio del uso del suelo en el centro sur de Chile a fines del siglo XX. Entendiendo la dinámica espacial y temporal del paisaje. Rev. Chil. Hist. Nat. 2009, 82, 361–374. [Google Scholar] [CrossRef]
- Henríquez-Dole, L.; Usón, T.J.; Vicuña, S.; Henríquez, C.; Gironás, J.; Meza, F. Integrating strategic land use planning in the construction of future land use scenarios and its performance: The Maipo River Basin, Chile. Land Use Policy 2018, 78, 353–366. [Google Scholar] [CrossRef]
- Hermosilla-Palma, K.; Pliscoff, P.; Folchi, M. Sixty years of land-use and land-cover change dynamics in a global biodiversity hotspot under threat from global change. J. Land Use Sci. 2021, 16, 467–478. [Google Scholar] [CrossRef]
- Puertas, O.L.; Henríquez, C.; Meza, F.J. Assessing spatial dynamics of urban growth using an integrated land use model. Application in Santiago Metropolitan Area, 2010–2045. Land Use Policy 2014, 38, 415–425. [Google Scholar] [CrossRef]
- Vila, I.; Contreras, M.; Montecino, V.; Pizarro, J.; Adams, D.D. Rapel: A 30 years temperate reservoir. Eutrophication or contamination? Spec. Issues Adv. Limnol. 2000, 55, 31–44. [Google Scholar]
- Keppel, G.; Van Niel, K.P.; Wardell-Johnson, G.W.; Yates, C.J.; Byrne, M.; Mucina, L.; Schut, A.G.T.; Hopper, S.D.; Franklin, S.E. Refugia: Identifying and understanding safe havens for biodiversity under climate change. Glob. Ecol. Biogeogr. 2012, 21, 393–404. [Google Scholar] [CrossRef]
- Habit, E.; Belk, M.C.; Parra, O. Response of the riverine fish community to the construction and operation of a diversion hydropower plant in central Chile. Aquat. Conserv. Mar. Freshw. Ecosyst. 2007, 17, 37–49. [Google Scholar] [CrossRef]
- Bernery, C.; Bellard, C.; Courchamp, F.; Brosse, S.; Gozlan, R.E.; Jarić, I.; Teletchea, F.; Leroy, B. Freshwater Fish Invasions: A Comprehensive Review. Annu. Rev. Ecol. Evol. Syst. 2022, 53, 427–456. [Google Scholar] [CrossRef]
- Costantini, M.L.; Kabala, J.P.; Sporta Caputi, S.; Ventura, M.; Calizza, E.; Careddu, G.; Rossi, L. Biological Invasions in Fresh Waters: Micropterus salmoides, an American Fish Conquering the World. Water 2023, 15, 3796. [Google Scholar] [CrossRef]
- Hou, G.; Bai, L.; Si, S. Ecosystem resilience and stability analysis against alien species invasion patterns. Physica A Stat. Mech. Appl. 2023, 619, 128728. [Google Scholar] [CrossRef]







| Basin | Latitude (° ′) | Longitude (° ′) | Area (km2) | Maximum Altitude (m) | Predominant Climate | Flow Regime | PPMA (mm) | QMA (m3/s) | Fragmentation Index |
|---|---|---|---|---|---|---|---|---|---|
| Maipo | 32°55′–34°18′ S | 69°48′–71°38′ W | 15,273 | 6546 | Csa-Csb | Snowmelt | 650 | 134 | 0.393 |
| Rapel | 33°54′–35°00′ S | 70°01′–71°51′ W | 13,766 | 5138 | Csa-Csb | Snowmelt-rain | 882 | 169 | 0.463 |
| Mataquito | 34°48′–35°38′ S | 70°24′–72°11′ W | 6332 | 4058 | Csb | Snowmelt-rain | 1373 | 113 | 0.080 |
| Maule | 35°06′–36°35′ S | 70°21′–72°27′ W | 21,052 | 3931 | Csb | Snowmelt-rain | 1400 | 495 | 0.361 |
| Itata | 36°12′–37°20′ S | 71°02′–72°52′ W | 11,326 | 3178 | Csb | Snowmelt-rain | 1764 | 331 | 0.044 |
| Biobío | 36°52′–38°54′ S | 70°50′–73°12′ W | 24,369 | 3487 | Csb | Rain | 1873 | 971 | 0.436 |
| Imperial | 37°49′–38°58′ S | 71°27′–73°30′ W | 12,668 | 3066 | Csb-Cfb | Rain | 2056 | 264 | 0.002 |
| Toltén | 38°36′–39°38′ S | 71°24′–73°14′ W | 8448 | 3710 | Cfb | Rain | 2062 | 540 | 0.016 |
| Mechanism | Resources | Recruitment | Refugia |
|---|---|---|---|
| Taxonomic indices | * Richness ↑ | * Beta diversity (Sørensen) ↓ | † Richness by taxonomic order ↑ |
| * Total abundance ↑ | † Shannon diversity index by taxonomic order ↑ | ||
| * Shannon diversity index ↑ | * Beta diversity (Bray–Curtis) ↓ | † Pielou evenness index by taxonomic order ↑ | |
| † Pielou evenness index ↑ | |||
| Functional traits | * Trophic guilds | * Migratory life history | † Vertical position |
| † Abundance-weighted average size | |||
| † Sexual maturity | |||
| * Fecundity | |||
| † Floodplain use | † Spawning | † Velocity preference | |
| † Egg size | |||
| † Parental care |
| Factor | df | SS | Pseudo-F | p (perm) | Unique Perms |
|---|---|---|---|---|---|
| Basin | 7 | 55,789 | 2.9212 | 0.0001 | 9885 |
| FPZ (Basin) | 8 | 21,840 | 2.0736 | 0.0003 | 9861 |
| Res | 30 | 39,496 | - | - | - |
| Resources Mechanism | F/H | p-Value |
|---|---|---|
| Richness (S) | F = 5.284 | 0.000282 |
| Total abundance (N) | H = 16.888 | 0.018130 |
| Shannon diversity index (H′) | F = 2.98 | 0.013600 |
| Pielou evenness index (J′) | H = 3.0509 | 0.880300 |
| Trophic guilds | F = 1.559 | 0.178000 |
| Floodplain use | H = 4.2598 | 0.749400 |
| Recruitment Mechanism | F/H | p |
|---|---|---|
| Beta diversity (Sørensen) | Pseudo-F = 2.8644 | p (perm) = 0.0819 |
| Beta diversity (Bray–Curtis) | Pseudo-F = 2.3564 | p (perm) = 0.1855 |
| Migratory life history | F = 6.1954 | 0.5060000 |
| Abundance-weighted average size | H = 24.641 | 0.0008784 |
| Rapid sexual maturity | H = 20.374 | 0.0048150 |
| High fecundity | H = 21.502 | 0.0030940 |
| Multiple spawning | F = 6.1770 | 0.0000797 |
| Small egg size | H = 15.264 | 0.0327600 |
| Parental care | H = 18.024 | 0.0118600 |
| Refugia Mechanism | F/H | p-Value |
|---|---|---|
| Richness by taxonomic order | F = 3.5410 | 0.00503 |
| Shannon diversity index by taxonomic order | F = 2.3450 | 0.04300 |
| Pielou evenness index by taxonomic order | H = 2.3511 | 0.93790 |
| Vertical position | F = 1.5230 | 0.18900 |
| Velocity preference | F = 2.9840 | 0.01350 |
Disclaimer/Publisher’s Note: The statements, opinions and data contained in all publications are solely those of the individual author(s) and contributor(s) and not of MDPI and/or the editor(s). MDPI and/or the editor(s) disclaim responsibility for any injury to people or property resulting from any ideas, methods, instructions or products referred to in the content. |
© 2025 by the authors. Licensee MDPI, Basel, Switzerland. This article is an open access article distributed under the terms and conditions of the Creative Commons Attribution (CC BY) license (https://creativecommons.org/licenses/by/4.0/).
Share and Cite
Vega, P.; Górski, K.; Habit, E. River Resilience: Assessment Using Empirical Fish Assemblage Traits. Water 2025, 17, 1749. https://doi.org/10.3390/w17121749
Vega P, Górski K, Habit E. River Resilience: Assessment Using Empirical Fish Assemblage Traits. Water. 2025; 17(12):1749. https://doi.org/10.3390/w17121749
Chicago/Turabian StyleVega, Paulina, Konrad Górski, and Evelyn Habit. 2025. "River Resilience: Assessment Using Empirical Fish Assemblage Traits" Water 17, no. 12: 1749. https://doi.org/10.3390/w17121749
APA StyleVega, P., Górski, K., & Habit, E. (2025). River Resilience: Assessment Using Empirical Fish Assemblage Traits. Water, 17(12), 1749. https://doi.org/10.3390/w17121749

