Abstract
The widespread presence of antibiotics in aquatic environments poses significant ecological and public health risks due to their persistence, antimicrobial activity, and contribution to resistance gene proliferation. This review systematically evaluated the advancements in antibiotic degradation using ionizing radiation (γ-rays and electron beam) from laboratory studies to practical applications. By using keywords such as “antibiotic degradation” and “ionizing irradiation OR gamma radiation OR electron beam,” 328 publications were retrieved from Web of Science, with China contributing 33% of the literature, and a number of global representative studies were selected for in-depth discussion. The analysis encompassed mechanistic insights into oxidative (•OH) and reductive (eaq−) pathways, degradation kinetics influenced by absorbed dose (1–10 kGy), initial antibiotic concentration, pH, and matrix complexity. The results demonstrated ≥90% degradation efficiency for major antibiotic classes (macrolides, β-lactams, quinolones, tetracyclines, and sulfonamides), though mineralization remains suboptimal (<50% TOC removal). Synergistic integration with peroxymonosulfate (PMS), H2O2, or O3 enhances mineralization rates. This review revealed that ionizing radiation is a chemical-free, compatible, and highly efficient technology with effective antibiotic degradation potential. However, it still faces several challenges in practical applications, including incomplete mineralization, matrix complexity in real wastewater, and operating costs. Further improvements and optimization, such as hybrid system development (e.g., coupling electron beam with other conventional technologies, such as flocculation, membrane separation, anaerobic digestion, etc.), catalytic enhancement, and life-cycle assessments of this emerging technology would be helpful for promoting its practical environmental application.
1. Introduction
The widespread use of antibiotics in medical, agricultural, and animal husbandry sectors has led to increasing concerns regarding their environmental residues. While antibiotics are crucial for disease treatment and animal growth promotion, they are not fully metabolized by organisms and are subsequently released into the environment in various forms. Recent studies have detected antibiotics in diverse environmental media, including rivers, lakes, and sediments, at concentrations ranging from nanograms to micrograms per liter [1]. These residual antibiotics not only exert toxic effects on aquatic ecosystems but also promote the emergence and spread of antibiotic-resistant bacteria (ARB) and antibiotic-resistant genes (ARGs), posing a potential threat to human health [2].
Antibiotics, acting as selective pressures, can drive bacteria to acquire antibiotic-resistant genes via horizontal gene transfer (HGT) or other mechanisms, thereby increasing the abundance and diversity of antibiotic-resistant bacteria [3]. These antibiotic-resistant bacteria and genes may enter natural water bodies and soil through sewage discharge, disturbing microbial community structure and function, affecting ecological balance, and spreading to broader environments, thereby increasing the risk of infections in humans and animals. Consequently, the effective removal of antibiotic residues from wastes has emerged as an urgent environmental challenge.
A variety of treatment technologies have been explored for the removal of antibiotics from wastewater, broadly categorized into physical retention/trapping, chemical treatment, and biological treatment (Figure 1). Physical treatment methods, such as coagulation and precipitation [4], adsorption [5], and membrane technology [6], primarily trap and concentrate antibiotics from the aqueous phase, transferring them to another phase without achieving complete degradation. Chemical treatments, in contrast, decompose pollutants through oxidation using oxidizing agents [7]. Advanced oxidation processes (AOPs), including ozone oxidation [8], persulfate oxidation [9], Fenton oxidation [10,11], and photocatalytic oxidation [12], are commonly employed. Biological treatment often relies on the metabolic activities of microorganisms to decompose pollutants in water. However, due to the antimicrobial properties of antibiotics, their efficiency is often not as expected or is significantly influenced by the treatment processes and operating conditions [13,14].
Figure 1.
Antibiotic Removal Technologies: Physical, Chemical, and Biological Treatment Methods.
In recent years, ionizing radiation (IR) has emerged as an advanced oxidation technology. It includes high-energy electron beams (EBs) generated by electron accelerators and γ-rays generated by radioisotope radiation sources, such as 60Co and 137Cs, generating highly oxidative free radicals through both direct and indirect effects and demonstrating excellent performance in treating antibiotic contamination. Compared to traditional treatment technology, ionizing radiation offers several advantages, including the elimination of chemical reagent addition, no secondary pollution, mild reaction conditions, and applicability to a wide range of antibiotics and complex matrices [15]. While ionizing radiation demonstrates significant potential in antibiotic degradation, several limitations must be acknowledged, including high operational costs (e.g., energy-intensive equipment and shielding infrastructure), dependence on specialized personnel for safe handling, suboptimal mineralization efficiency (<50% TOC removal), and environmental risks from persistent by-products like antibiotic resistance genes (ARGs) or toxic intermediates. Additionally, ionizing radiation can be combined with other methods to achieve significant synergistic effects, thereby enhancing the degradation efficiency of target pollutants.
Researchers have contributed significantly to the field of antibiotic removal from wastewater. For instance, some reviews have delved into the mechanisms of antibiotic degradation using various advanced oxidation processes (AOPs), such as photocatalysis, sonocatalysis, and Fenton processes, providing detailed insights into the reaction pathways and influencing factors [16]. Prior reviews from our group in this domain include: an overview of ionizing radiation (IR) for pharmaceutical and personal care product (PPCP) removal in water/wastewater [17]; advances in antibiotic occurrence, distribution, and IR degradation [18]; a comparative analysis of advanced oxidation processes (AOPs) for antibiotic removal [10]; and (4) recent progress in radiation degradation of sulfonamide and quinolone antibiotics [15]. While these works established foundational knowledge, they predominantly focused on laboratory-scale mechanisms or specific antibiotic classes.
In this review, we searched the literature in Web of Science using the keywords “antibiotic degradation” and “ionizing irradiation OR gamma radiation OR electron beam”, and found 328 relevant publications. As illustrated in Figure 2, annual publication counts from 2015 to 2024 demonstrate a rising interest in this field, with a notable increase from eight publications in 2015 to 36 in 2024.
Figure 2.
Annual Publications for “Antibiotic Degradation AND Ionizing Irradiation” (2015–2024).
Geographically, according to our search up to May 2025, contributions are dominated by China (33%), followed by the USA (7%), India (6%), Hungry (6%), South Korea (5%), and Japan (4%), and with emerging participation from Poland, Pakistan, and European nations (Figure 3).
Figure 3.
Proportional Contributions of Top Countries/Regions to Publications on “Antibiotic Degradation AND Ionizing Irradiation”.
In this review, the recent advances in antibiotics degradation by ionizing radiation technology are systematically summarized and analyzed, from laboratory research to practical applications, focusing on the application of ionizing irradiation for antibiotic treatment in industrial wastewater. The principles of radiation technology, key influencing factors, degradation pathways of antibiotics, and the integration of radiation with other technologies are also discussed, which could provide a theoretical basis and technical support for the efficient removal of antibiotic and to promote the broader environmental application of ionizing radiation technology.
2. Commonly Used Antibiotics and Pollution
Antibiotics are a class of pharmaceuticals used to treat infections caused by bacteria and fungi. Based on chemical structure and mechanism of action, they are categorized into several major classes (Figure 4): Macrolides, β-lactams, Quinolones, Tetracyclines, Sulfonamides, and Aminoglycosides, etc. The chemical structures are depicted in Figure 5, which are obtained from MedChemExpress (https://www.medchemexpress.cn/). In China, macrolides, β-lactams, quinolones, tetracyclines, and sulfonamides are the most widely used antibiotics [18,19]. Additionally, cephalosporins, which belong to the β-lactam group, are extensively used in both human and veterinary medicine in China, accounting for 50–70% of total human antibiotic consumption [20].
Figure 4.
Classification of Major Antibiotic Classes and Representative Compounds.
Figure 5.
Chemical Structures of Commonly Used Antibiotics: (a) Macrolides; (b) β-lactams; (c) Quinolones; (d) Tetracyclines; (e) Sulfonamides; (f) Aminoglycosides.
Macrolide antibiotics are characterized by a macrolide ring typically composed of 14 to 16 carbon atoms, including erythromycin, azithromycin, clarithromycin, and roxithromycin. Beta-lactam antibiotics feature a highly reactive four-membered ring in their core structure, including penicillins (e.g., penicillin G, ampicillin), cephalosporins (e.g., cephalexin, ceftriaxone), carbapenems, and monocyclic lactams [21]. Quinolone antibiotics consist of a quinoline ring or a naphthyridine acid ring and inhibit bacterial DNA replication and transcription by targeting bacterial DNA gyrase and topoisomerase IV [22], including ciprofloxacin (CFX/CIP), levofloxacin, and moxifloxacin. Tetracycline antibiotics, containing four ring-like structures, inhibit bacterial protein synthesis by binding to the 30S subunit of the bacterial ribosome, including tetracycline, oxytetracycline, and doxycycline. Sulfonamide antibiotics, characterized by a sulfonamide group, exert antibacterial effects by inhibiting bacterial dihydrofolate synthase and disrupting bacterial folate metabolism [23], including sulfamethoxazole (SMX), sulfadiazine (SDZ), and sulfanilamide (SA), etc. [15].
China is the largest producer and consumer of antibiotics globally, with a significant consumption of 8.99 billion DDDs of human antibiotics in 2020 [24]. This high consumption has led to widespread detection of antibiotics in the environment. Various antibiotics have been detected in the water and sediments of major rivers [25]. A systematic review reported detection rates of 100% in soil, 98.0% in surface water, and 96.4% in coastal waters, with tetracyclines (TCs) and quinolones (QNs) dominating soil matrices (1.55–1.85 mg/kg), while sulfonamides (SAs) and macrolides (MLs) prevailed in surface water (0.230–26.8 mg/L) [26]. Additionally, a study found that the concentrations of tetracyclines, sulfonamides, and β-lactams in the Pearl River Delta ranged from 10 ng/L to 100 µg/L [24]. These findings underscore the urgency of addressing antibiotic pollution in both aquatic and terrestrial environments.
Antibiotics can enter the environment through industrial wastewater or antibiotic fermentation residues during production. Additionally, antibiotic manufacturers, hospitals, sewage treatment plants, and animal husbandry are identified as potential contributors during the application process [24], leading to varying degrees of ecological risk. The Emerging Pollutants Control Action Plan (EPCAP) issued by the State Council of China also prioritized antibiotics as a key category for control in 2022, emphasizing the need to study antibiotic degradation technologies to mitigate environmental antibiotic pollution.
3. Ionizing Radiation Technology for Pollutant Degradation
In recent years, ionizing radiation technology has been applied for the treatment of wastewater, solid waste, and exhaust gas pollution. The International Atomic Energy Agency (IAEA) has recognized its role in environmental protection as a key direction for atomic energy applications in the 21st century. The degradation of pollutants in water by ionizing radiation includes two primary mechanisms: direct interaction between high-energy rays and pollutants, and indirect action involving the generation of reactive species (such as •OH, eaq−) from the radiolysis of water molecules, which subsequently react with pollutants, as shown in Equation (1).
H2O → •OH (2.7) + eaq− (2.6) + H− (0.55) + H2O2 (0.71) + H2 (0.45) + H+ (2.6)
The values in parentheses in Equation (1) represent the chemical yields (G-value) of the reactive species, indicating the quantity of material formed per 100 eV of absorbed energy within the pH range of 6.0–8.5.
Ionizing radiation technology encompasses two main types: high-energy electron beams (electron beam, EB) and γ-rays. Electron beam (EB) radiation, offering higher energy efficiency and operational safety, is predominantly utilized in pilot-scale and industrial applications, while γ-rays, known for their strong penetrating ability, are mainly used in the experimental stage.
Compared with traditional treatment technologies, ionizing radiation offers several significant advantages: (1) no need for chemical reagents, avoiding potential secondary pollution; (2) environmentally friendly, as the degradation process does not generate additional waste; (3) mild reaction conditions, typically occurring at room temperature and ambient pressure, with simple operational requirements; (4) high degradation efficiency; and (5) synergistic effect when combined with other treatments methods.
While ionizing radiation demonstrates significant potential in antibiotic degradation, several limitations must be acknowledged. First, the implementation of ionizing radiation (e.g., γ-rays, electron beams) demands significant financial investment. Industrial-scale electron accelerators alone cost $1–5 million, with additional expenses for radiation shielding, maintenance, and energy consumption [27]. Additionally, it requires qualified personnel to handle the equipment and ensure compliance with radiation safety protocols [2]. This expertise gap further restricts scalability, particularly in regions lacking infrastructure for radiation technology. Furthermore, ionizing radiation struggles with suboptimal mineralization rates (<50% TOC removal) in complex wastewater matrices and the potential environmental risks of degradation by-products. For example, γ-ray treatment of cephalosporin fermentation residues achieved 97.5% antibiotic removal but failed to fully eliminate ARGs [28], necessitating secondary treatments.
Our previous studies have confirmed the feasibility of the degradation of various pollutants by ionizing radiation [29,30,31]. Ionizing radiation can also inactivate antibiotic-resistant bacteria and antibiotic-resistant genes in pharmaceutical wastewater by direct or indirect action leading to DNA strand breaks and base damage [32,33]. It can also be used for the disinfection of water [34] and solid waste [35].
4. Laboratory Studies of Antibiotic Degradation by Ionizing Radiation
In laboratory studies of antibiotic degradation by ionizing radiation, various experimental conditions, such as absorbed dose, initial concentration of antibiotic, initial pH of the solution, etc., affect the efficiency of antibiotic degradation by radiation.
The degradation of antibiotics by ionizing radiation, along with other relevant and important information, is analyzed and summarized in Table 1. Since only a very small percentage of the studies gave an explicit G-value, for instance, 1.2–1.7 μmol/J for CEP-C [36], 0.27 mmol/J (SMX, 0.2 kGy) and 0.24 mmol/J (TMP, 0.2 kGy) [37], and 1.29, 0.74, 0.45, 0.37 mmol/J (at dose of 100, 400, 800 and 1000 Gy) for SMX [38], this value is not listed in Table 1.
Table 1.
Studies of antibiotics degradation using ionizing radiation.
4.1. Key Influencing Factors
4.1.1. Effect of Absorbed Dose
Absorbed dose is one of the key factors influencing the degradation efficiency of antibiotics. In general, the removal efficiency of antibiotics will increase with increasing dose, while the G-value (Radiation Chemical Yield, i.e., the number of molecules formed by changes in the system by absorbing 100 eV of energy) will decrease with increasing dose for a given concentration of contaminant. This may be a result of the competition between the contaminant and the resulting radical intermediates reaction or reorganization between radicals [18,70], as shown in Equations (2)–(5).
•OH+ •OH→ H2O2 (k = 5.5 × 109 L/(mol s)
•OH+ H•→ H2O (k = 7.0 × 109 L/(mol s)
•OH+ eaq− → OH− (k = 3.0 × 1010 L/(mol s)
H2O + H•+ eaq− → H2 + OH− (k = 2.5 × 1010 L/(mol s)
For example, Cho et al. [43] reported that ciprofloxacin (CFX) degradation efficiency increased from 38% to 97% as the absorbed dose rose from 1 to 10 kGy, while TOC removal improved from 2% to 53%, highlighting dose-dependent efficacy. Also, as Chen et al. [36] found in their study of the degradation of cephalosporin C (CEP-C), the degradation efficiency of CEP-C increased significantly with increasing absorbed dose (0.4–2.0 kGy), and an initial concentration of 0.02−0.2 mM of CEP-C could be completely removed. Similarly, the study from Yao et al. [31] on the degradation of sulfanilamide (SA) by ionizing radiation and the study from Changotra et al. [71] on amoxicillin trihydrate (AMT) demonstrated that higher absorbed doses produce more reactive free radicals, which promote antibiotic molecule degradation.
4.1.2. Effect of Initial Antibiotic Concentration
The antibiotic degradation process follows the pseudo-primary kinetic equation, as shown in Equation (6), where C denotes the concentration of the antibiotic after radiation (mg/L), C0 denotes the initial concentration (mg/L), D denotes the absorbed dose (goy, Gy), and k denotes the reaction rate constant/dose constant (1/kGy). It is worth noting that the value of k is not fixed, and is closely related to the initial concentration of the antibiotic, the pH of the solution, the structure of the antibiotic molecule, and other environmental factors, which together affect the rate and efficiency of antibiotic degradation.
Overall, the degradation rate constant k of the antibiotics gradually decreased with increasing initial concentration, and the degradation efficiency and mineralization degree show a decreasing trend. This phenomenon was observed in the degradation experiments of cephalosporin C, sulfonamides, fluoroquinolones, and amoxicillin antibiotics.
In the degradation of cephalosporin C, the k value decreased from 15.2 kGy−1 to 2.7 kGy−1 when the initial concentration was elevated from 0.02 mM to 0.2 mM [36]. This is because antibiotic molecules at high concentrations compete with reactive radicals produced by radiolysis of water (e.g., hydroxyl radicals •OH and water and electrons eaq−). Competition occurs, making each antibiotic molecule less likely to have an effective collision with the free radicals, as confirmed in the degradation experiments of AMT [71].
In addition, the increase in initial concentration may also increase the generation of intermediates, which will not only further react with free radicals and consume more free radicals and energy but will also increase the difficulty of the mineralization process. Cho et al. [43] found that the TOC removal of CFX was only 2% at 100 mg/L of CFX irradiated with γ-rays at 1.5 kGy, whereas the addition of periodate (PI) increased the TOC removal to 53%.The mineralization of AMT [71] was similar, with a TOC removal of 47.3% at a radiation dose of 15.0 kGy, which increased to 56.7% with the addition of H2O2, indicating that the mineralization of intermediates was limited at high concentrations.
4.1.3. Effect of Solution pH
The pH of the solution affects the degradation of antibiotics via ionizing radiation primarily by influencing the radiolytic products of water, the conformation of antibiotic molecules, and the subsequent reactions of intermediates.
First, the solution pH influences the types and concentrations of reactive species generated by water radiolysis, such as hydroxyl radicals (•OH), electrons (eaq−), and hydrogen atoms (H). Under acidic conditions, H+ can react with eaq− to form -H with a reaction rate constant of 2.3 × 1010 L/(mol·s) (Equation (7)), inhibiting the complexation of eaq− with •OH [18]. As a result, more •OH will be present, favoring the degradation of antibiotics.
eaq− + H+ → H (k = 2.3 × 1010 L/(mol s)
Chen et al. [36] found that the degradation rate of CEP-C remained similar in the pH range of 3.5–9.5, but under strongly alkaline conditions, more hydroxide ions (•OH) may be generated, reacting with •OH to decrease the concentration of ·OH, thus significantly reducing the degradation rate. Similarly, Tegze et al. [54] and Changotra et al. [71] showed that eaq− produced by radiolysis of water under acidic conditions is more readily converted to hydrogen atoms (H), increasing the concentration of OH− involved in the reaction and promoting the degradation. Furthermore, pH also affects the reaction between intermediates and active species. For example, under acidic conditions, the generated hydrogen ions (H+) may react with the intermediates, thereby affecting their subsequent degradation and mineralization.
In contrast, under alkaline conditions, higher concentrations of OH− may react with •OH (Equations (4) and (8)), thereby reducing the concentration of •OH. However, this may simultaneously promote the further oxidation of certain intermediates and enhance mineralization.
•OH + OH− → •H2O + O− (k = 1.3 × 1010 L/(mol s)
Moreover, pH influences the protonation state of antibiotic molecules, thereby altering their molecular structure and charge state. Under alkaline conditions, water radiolysis generates a higher concentration of hydroxyl radicals (•OH) and fewer hydroxide ions (OH−). This facilitates the reaction of •OH with sulfamethoxazole (SMX), thereby increasing the degradation rate of SMX [31]. In addition, the molecular structure of sulfonamide antibiotics may undergo protonation or deprotonation at different pH, which affects their reactivity with •OH and hence the degree of mineralization [62]. pH also affects the exposure of reactive sites in the antibiotic molecules. For instance, Trimethoprim (TMP) molecules are neutral under alkaline conditions and •OH is more likely to attack its aromatic ring portion, whereas under acidic conditions, TMP molecules are positively charged and •OH is more likely to attack its trimethoxybenzene unit.
4.1.4. Effect of Inorganic Anions and Organic Compounds
Common anions in polluted water, such as SO42−, NO3−, Cl−, HCO3−, CO32−, and H2PO4−, etc., could inhibit or compete through inhibitory or competitive action with reactive free radicals (e.g., •OH and eaq−) generated by radiolysis of water, consume the free radicals, or indirectly affect the generation and stability of the free radicals by changing the pH value of water, thus reducing the degradation and mineralization of antibiotics [56]. Among them, inorganic anions SO42−, CO32−, HCO3−, and NO3−, which have high reactivity, react with reactive radicals generated by radiolysis of water (e.g., •OH and eaq−) quickly, reducing the chance of collision between free radicals and antibiotic molecules. For example, Chen and Wang [72] found that the rate constant of CEP-C degradation decreased from 4.60 kGy−1 to 3.67 kGy−1 in the presence of SO42−. Yao et al. [31] also observed that the rate constant of SA degradation decreased from 3.00 kGy−1 to 1.22 kGy−1 in the presence of CO32−.
Meanwhile, the complex molecular structure of organic matter, containing a variety of functional groups, can react with free radicals in a variety of reactions, such as addition, substitution, and oxidation, consuming a large number of free radicals, and its presence may also change the physical properties of water, such as polarity, viscosity, and surface tension, which affects the diffusion and transfer of free radicals and reduces the degradation efficiency. Chen et al. [36] compared the degradation of CEP-C in deionized water and groundwater and found that the G-value in deionized water was higher than that in groundwater, which may be due to the fact that groundwater contains a variety of inorganic ions and dissolved organic matter, which competes with CEP-C for active radicals, thus reducing the degradation efficiency. Yao et al. [31] found that SA degraded less efficiently in surface water systems than in deionized water systems for similar reasons.
The presence of inorganic anions and organic matter reduces not only the degradation rate of antibiotics but also the extent of mineralization. Yao et al. [31] reported that the TOC removal rate for sulfanilamide (SA) was only 19.51% under γ-ray irradiation at 1.5 kGy, but it increased to 79.19% following the addition of periodate.
4.1.5. Degradation Effect of Mixing Multiple Classes of Antibiotics
Compared to single antibiotic systems, significant differences in the degradation of mixtures of multiple classes of antibiotics under ionizing radiation are mainly attributed to competitive effects, the complexity of intermediates, differences in antimicrobial activity, and adsorption affinity.
When multiple classes of antibiotics are mixed, the degradation efficiency may be affected by competition from other compounds, and the antimicrobial activity and degradation pathways become more complex. When different classes of antibiotics are mixed, differences in degradability can occur, for example, Chu et al. [59] found that antibiotics with high adsorption affinity, such as norfloxacin and oxytetracycline, resulted in a decrease in their concentration in the aqueous phase and a decrease in the chance of collision of the free radicals with the antibiotic molecules, whereas penicillin and sulfamethoxazole, which are of low affinity, were degraded with higher efficiency.
Additionally, the antimicrobial activities of different antibiotics may interact in a mixed system, resulting in a less significant loss of antimicrobial activity compared to that of a single species. Tominaga et al. [44] found that a tetrameric mixture showed a significant reduction in antimicrobial activity against Escherichia coli and Staphylococcus aureus after electron-beam radiation at 2.5 kGy, but not a complete loss. Additionally, the reduction of TOC was significantly lower than that of a single species of antibiotic. In contrast, Alsager et al. [39] showed that a radiation dose of 7 kGy could achieve complete mineralization of amoxicillin and ciprofloxacin in separate degradation systems.
4.2. Removal of Antimicrobial Activity and Mineralization Effect
4.2.1. Removal of Antibacterial Activity
In most of the studies, antibiotics treated with gamma radiation showed a significant reduction in or complete loss of antimicrobial activity, which correlated positively with degradation efficiency. For example, Takács et al. [40] demonstrated that under aerobic conditions, these reactions can significantly alter the β-lactam fraction, leading to a loss of antimicrobial activity, thereby establishing a direct link between degradation and antimicrobial activity loss. Additionally, the authors noted that benzoxacillin is non-toxic to Vibrio fischeri, suggesting that radiation products are environmentally safe and do not impose additional toxic stress on aquatic ecosystems [40].
Experimentally, researchers often use the Microtox acute toxicity test to assess toxicity by measuring the inhibition of luminescence in Vibrio fischeri. Typically, intermediate products show a significant increase in toxicity after γ-radiation, as reported in previous studies [29,31,36], but the toxicity gradually decreased with an increasing radiation dose. This may be because some oxidation intermediates are more toxic than the parent compound, but further mineralization with increasing radiation dose reduces their toxicity. For example, Takács et al. [40] found 100% inhibition of toxicity at 2 kGy, with a gradual decrease at higher doses.
However, increasing the dose may produce intermediates with more reactive sites, thereby increasing acute toxicity. For example, Chen and Wang [30] found that solutions irradiated at 2 kGy showed increased toxicity, with inhibitory effects increasing to 11% and 19%, respectively. At 4 kGy, the toxicity further increased to 39% for ciprofloxacin and 26% for norfloxacin.
4.2.2. Mineralization Effects
In antibiotic degradation experiments, the mineralization effect— which indicates the extent to which antibiotic molecules are completely decomposed into inorganic substances—is another crucial indicator for evaluating degradation efficiency, beyond the degradation rate.
Previous studies from our group have demonstrated that while typical antibiotics, such as macrolides, sulfonamides, and tetracyclines, can be effectively decomposed by γ-rays or EB radiation, the mineralization rate is usually suboptimal [59,73]. In ionizing radiation treatment of antibiotics, higher mineralization rates are typically closely associated with increased radiation doses, optimized pH, and the combined use of other oxidants.
Generally, higher radiation doses are beneficial for antibiotic mineralization. Cho et al. [43] demonstrated that for a ciprofloxacin (CFX) solution with an initial concentration of 100 mg/L, the degradation rate reached 97% at a radiation dose of 1 kGy, while the mineralization rate was only 2%. The mineralization rate increased to 18% at 5 kGy and further increased to 53% at 10 kGy. Chen and Wang [61] reported mineralization rates for γ-ray radiation treatment of 10.2% at 0.2 kGy for an initial concentration of 10 mg/L, 13.7% at 0.6 kGy for 50 mg/L, and 46.2% at 1.5 kGy for 100 mg/L. These data indicate higher mineralization rates at lower initial concentrations and a significant increase in the mineralization rate with an increasing radiation dose. This was confirmed by the experimental study on the degradation of benzoxacillin (Oxacillin), which showed a reduction of about 50% in COD and 25% in TOC at dose of up to 4 kGy, even though the degradation rate was already 97% at 1 kGy [40]. However, in practical applications, using significantly higher doses to achieve a higher mineralization rate is uneconomical.
Additionally, lower initial concentrations yielded higher mineralization rates, while the presence of inorganic anions and organic matter significantly influenced the mineralization rate. Hu et al. [74] investigated the treatment of CEP-C fermentation residues containing high concentrations of organic matter. They employed secondary radiation and found that the removal rates reached 97.5% and 92.9% after primary radiation, respectively. The mineralization rate increased from 61.5% ± 10.3% to 75–84% following secondary radiation.
Furthermore, the rate of antibiotic mineralization can be enhanced by introducing externally added active species. Changotra et al. [71] found that the rate of mineralization was increased from 47.3% to 56.7% with the addition of 2.5 mM H2O2. Chu et al. [29] also showed that the addition of Fe2+ and H2O2 significantly increased the penicillin G mineralization rate, particularly in substrates with low initial concentrations, achieving a mineralization rate of 56.4% at 10 kGy with the addition of 1.0 mM Fe2+.
Water quality also impacts the antibiotic mineralization effect. Kovács et al. [69] showed that COD decreased by 10–15% at 1 kGy and TOC decreased by 3% in the reaction systems of pure water, tap water, synthetic wastewater, and purified wastewater. The BOD(5)/COD ratio reached 0.4 at 4 kGy dose in pure water, tap water, but only 0.2 at a 6 kGy dose in purified wastewater.
4.3. Ionizing Radiation in Combination with Other AOPs
While single electron beam radiation has shown effectiveness in degrading antibiotics, it often suffers from limited degradation rates and mineralization efficiency. To enhance the degradation efficiency and mineralization and reduce the toxicity of degradation by-products, researchers have explored combining ionizing radiation with other advanced oxidation processes (AOPs), such as peroxymonosulfate (PMS), hydrogen peroxide (H2O2), and ozone (O3), as shown in Table 2.
Table 2.
Synergistic effects of ionizing radiation combined with other AOPs for antibiotic degradation.
4.3.1. PMS-Assisted Processes
Hydroxyl radicals (•OH) generated by ionizing radiation are the primary reactive species responsible for antibiotic degradation. However, peroxymonosulfate (PMS) can be activated by γ-radiation to produce sulfate radicals (SO4•2−), which further enhance the degradation of antibiotics. In some systems, hydrated electrons (eaq−), hydrogen atoms (H), and singlet oxygen (1O2) also play significant roles.
The degradation efficiency of antibiotics is already high when ionizing radiation is used alone. For instance, the degradation rate constant for androstenedione (AD) under gamma radiation was 4.92 kGy−1. With the addition of PMS, the degradation rate constant of AD increased by a factor of 1.23–1.55 [81]. The mineralization efficiency also improved with the addition of PMS. Chu et al. [32] demonstrated that PMS addition enhanced mineralization: at 25 kGy, ERY, TC, and SMX removal reached 87%, 80%, and 48%, respectively, with COD removal increasing from 16.8% (γ-ray alone) to 57.6% (γ-ray + PMS). However, gamma radiation alone achieved only 16.8% COD removal, while the addition of PMS increased COD removal to 57.6% and antibiotic removal to over 90%.
Furthermore, Yao and Zhou [82] demonstrated that sulfathiazole (STZ) could be completely degraded at an absorbed dose of 2.0 kGy, while TOC removal efficiency was only 22.62% at 3.0 kGy. The addition of 1 mM persulfate (PS) increased TOC removal efficiency to 45.00% and the rate constant (k) to 3.76 kGy−1. With the addition of 1 mM periodate (PI), TOC removal efficiency increased to 60.24%, indicating significant enhancement in mineralization. Additionally, the γ/PS and γ/PI systems showed potential advantages in reducing toxicity, with the developmental toxicity index decreasing from 0.82 to 0.02.
4.3.2. H2O2-Assisted Processes
The combination of ionizing radiation with hydrogen peroxide (H2O2) enhances the degradation efficiency and mineralization of pollutants by increasing the generation of hydroxyl radicals (•OH) and promoting synergistic interactions with catalysts.
Liu et al. [83] found that the degradation of carbamazepine (CBZ) by electron beam radiation was significantly improved with the addition of H2O2 from about 90% in the absence of H2O2 to 95% in 10 mM H2O2. The optimal degradation efficiency of CBZ increased from approximately 90% without H2O2 to 95% with 10 mM H2O2. The TOC removal rate reached 41% with 50 mM H2O2, twice the rate achieved without addition of H2O2. The concentration of H2O2 and the molar ratio of Fe2+ also influence the removal capacity of the Fenton-assisted electron-beam process [11,84,85].
The coupling of H2O2 with ionizing radiation can also reduce the risk of toxic intermediate products during the degradation process. Lei et al. [86] validated the degradation pathway using EPR, LC-MS, and XPS, showing that H2O2 coupling helps convert chloramphenicol (CAP) into low or non-toxic intermediate products. Kabasa et al. [84] proposed a degradation pathway for hydroxychloroquine (HCQ) through LC-MS analysis and DFT calculations, demonstrating that H2O2 coupling facilitated the further mineralization of HCQ intermediates into CO2, H2O, and inorganic salts. At a radiation dose of 2 kGy and a concentration of 2 mM H2O2, with an H2O2:Fe2+ molar ratio of 20:1, the degradation rate reached 94%.
Additionally, some researchers have combined Fenton-like catalysts with ionizing radiation to enhance the mineralization of antibiotics by accelerating the decomposition of H2O2 produced by the water radiolysis process. For example, with the assistance of Fe/C nanomaterials (DMOFs), TOC removal increased from 20.2% to 42% for CEP-C and from 4.5% to 51% for SMT [87]. In chloramphenicol (CAP) degradation studies, Lei et al. [86] used a nitrogen-doped bimetallic MOFs derivative (Fe2Ni1@C) catalyst in a radiation-catalyzed process, resulting in a 2.8-fold increase in the degradation rate constant, compared to single electron-beam radiation, with a TOC removal of 56.1%, of which 18.1% was attributed to adsorption and 37.0% to degradation.
4.3.3. O3-Assisted Processes
Chen et al. [88] found that pretreatment with O3 for 30 min followed by radiation treatment increased TOC removal from 5.4% to 34.3%. For SMX, O3 pretreatment for 60 min followed by 5.0 kGy radiation treatment resulted in TOC removal up to 65.7%. In contrast, TOC removal for SMT and SM reached 51% and 52%, respectively, in the O3-radiation co-treatment, which was significantly higher than that achieved by single treatments. Notably, O3 pretreatment before radiation treatment is superior to radiation pretreatment followed by O3, as intermediates formed during radiation pretreatment may react slowly with O3, and the decrease in solution pH may hinder the formation of •OH, leading to lower mineralization efficiency.
Moreover, the combined radiation-O3 treatment can further degrade more toxic intermediates, such as short-chain organic acids (e.g., formic and acetic acids). The reactive species generated during radiation treatment (e.g., •OH, eaq−) can synergistically interact with O3 or O2 to produce more hydroxyl radicals, further mineralizing the intermediates [89].
4.4. Degradation Pathways of Antibiotics
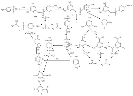
Recent studies on antibiotic degradation pathways have employed advanced analytical techniques to elucidate reaction mechanisms and intermediate formation. High-performance liquid chromatography (HPLC), liquid chromatography-mass spectrometry (LC-MS), ion chromatography (IC), and electron paramagnetic resonance (EPR) are commonly utilized to identify degradation intermediates, reactive species, and mineralization products. For instance, Liu et al. [90] investigated the degradation pathway of sulfamethazine (SMT) via gamma irradiation combined with hydrogen peroxide (H2O2). Using HPLC and IC, key intermediates, such as sulfanilic acid, 4-aminophenol, 4-nitrophenol, and organic acids (formic and acetic acids), were identified (Figure 6). The results revealed that hydroxyl radicals (•OH) predominantly initiated SMT degradation through cleavage of the sulfonamide bond (C–S) and subsequent oxidation of the heterocyclic ring.
Figure 6.
Proposed pathways for Sulfamethazine (SMT) degradation by gamma radiation in aqueous solution.
5. Practical Application of Antibiotics Degradation by Ionizing Radiation
In recent years, ionizing radiation technology has been successfully applied for the treatment of toxic wastewater, such as textile wastewater [91,92], hospital wastewater [93], coking wastewater, chemical wastewater, and oil-field produced wastewater [94,95,96]. In practical applications, ionizing radiation has demonstrated significant potential for the degradation of antibiotics in various environmental matrices, including wastewater, sludge, and fermentation residues. This section summarizes the application of ionizing radiation in practical antibiotic degradation, focusing on its performance in different environmental contexts and its combination with other advanced oxidation processes (AOPs) to enhance degradation efficiency and mineralization. The following table provides an overview of the removal efficiency and mineralization effects of ionizing radiation on various antibiotics in practical applications. As demonstrated in Table 3, ionizing radiation techniques, including γ-rays and electron-beam radiation, serve as an effective pretreatment strategy for antibiotic fermentation residues (AFRs). Studies consistently highlighted its dual capability to degrade residual antibiotics and eliminate resistance genes (ARGs/MRGs) while enhancing subsequent bioprocess performance [97].
Table 3.
Ionizing radiation pretreatment for antibiotic fermentation residues.
Hu et al. [74] found that γ-radiation pretreatment at 50 kGy followed by anaerobic digestion resulted in a degradation of cephalosporin C up to 77.9% and significantly increased the removal efficiency of multidrug resistance genes (MRGs) to 100%. Yin and Wang [99] further confirmed the effectiveness of γ-radiation pretreatment by increasing the production of medium-chain fatty acids (MCFAs) in AFRs to 2.22-fold of that of the control group under pretreatment with 50 kGy radiation. This effect was primarily attributed to the alteration of the microbial community structure by ionizing radiation, which enriched genera positively associated with MCFAs production while reducing the abundance of negatively associated genera. Additionally, enzyme analyses showed that ionizing radiation pretreatment facilitated the production of MCFAs by increasing the activity of functional enzymes involved in acetyl coenzyme A formation and the RBO pathway.
The treatment cost of EB irradiation is mainly derived from electricity consumption. Chu et al. [73] evaluated that the cost of treating antibiotic wastewater by EB irradiation with a dose of 25 kGy was around 2.65 USD/m3. Wang and Wang [91] estimated that the treatment cost for dyeing wastewater treatment using electron beam combined with the Fenton oxidation process was 1.5 ¥/m3 in industrial-scale applications. Ganiyu et al. [101] reported that the operational cost was in the range of 0.4–1.5 USD/m3 for AOPs involving photocatalysis, ozonation, and UV/H2O2 in the treatment of produced wastewater. EB irradiation was competitive for practical applications.
6. Conclusions and Prospects
6.1. Conclusions
Ionizing radiation technology exhibits substantial promise in antibiotic degradation, achieving ≥90% removal efficiency across diverse classes through synergistic oxidative-reductive pathways. Representative studies confirm that absorbed dose (1–10 kGy), optimized pH, and low initial concentrations critically enhance degradation, while inorganic anions and organic matrices hinder performance. Synergistic integration with PMS or H2O2 addresses mineralization limitations, elevating TOC removal. Practical implementations validate the technology’s adaptability to complex matrices, providing ecological benefits like ARG removal, antimicrobial activity reduction, and enhanced medium-chain fatty acid production. Despite these advances, several challenges persist, including environmental risks of by-products, operational costs, and variable mineralization in real wastewater. Strategic advancements—such as hybrid systems (e.g., electron beam coupled with anaerobic digestion), cost-effective catalysts, and standardized protocols for ARG elimination—are pivotal for scaling this technology. By overcoming matrix complexity and reducing economic barriers, ionizing radiation emerges as a cost-effective and promising technology for degrading recalcitrant pollutants in wastewater and sludge.
6.2. Prospects
While promising, three key challenges need to be resolved for the industrial implementation of ionizing radiation:
(1) Water matrix complexity in real applications: there are current limitations in antibiotic mineralization (typically <50% TOC removal). Attention should be paid to the following aspects: systematic studies on competitive interactions in multi-pollutant systems; advanced monitoring of intermediate products toxicity; and the development of secondary radiation protocols for high-organic matrices.
(2) Technical integration needs: priority research areas include hybrid systems combining EB radiation with anaerobic digestion; catalytic enhancement using catalysts (e.g., Fe/C nanomaterials); and dose-response models for ARG elimination during sludge pretreatment.
(3) Sustainability and optimization: emerging focus areas call for a life-cycle assessment of radiation-catalyzed processes; cost-benefit analysis of large-scale electron accelerator deployment; and standardization of radiation protocols across antibiotic classes.
In summary, while ionizing radiation technology, as an emerging advanced oxidation technology, shows good potential and broad application prospects in antibiotic pollution control, further improvement and optimization of this emerging technology would be helpful for promoting its practical environmental applications.
Author Contributions
Yuening Song: Data curation, Formal analysis, Investigation, Writing—original draft; Yulin Wang: Data curation, Investigation; Jianlong Wang: Funding acquisition, Supervision, Writing—review and editing. All authors have read and agreed to the published version of the manuscript.
Funding
This research was supported by the Key Program for Intergovernmental S&T Innovative Cooperation Project of China (2024YFE0101700).
Data Availability Statement
Data are available from the authors upon request.
Acknowledgments
The authors are grateful to the anonymous reviewers for their valuable comments.
Conflicts of Interest
The authors declare no conflicts of interest.
References
- Wang, J.; Chu, L.; Wojnárovits, L.; Takács, E. Occurrence and Fate of Antibiotics, Antibiotic Resistant Genes (ARGs) and Antibiotic Resistant Bacteria (ARB) in Municipal Wastewater Treatment Plant: An Overview. Sci. Total Environ. 2020, 744, 140997. [Google Scholar] [CrossRef]
- Jacobs, G.P. Irradiation of Pharmaceuticals: A Literature Review. Radiat. Phys. Chem. 2022, 190, 109795. [Google Scholar] [CrossRef]
- Manoharan, R.K.; Ishaque, F.; Ahn, Y.-H. Fate of Antibiotic Resistant Genes in Wastewater Environments and Treatment Strategies—A Review. Chemosphere 2022, 298, 134671. [Google Scholar] [CrossRef] [PubMed]
- Saitoh, T.; Shibata, K.; Fujimori, K.; Ohtani, Y. Rapid Removal of Tetracycline Antibiotics from Water by Coagulation-Flotation of Sodium Dodecyl Sulfate and Poly(Allylamine Hydrochloride) in the Presence of Al(III) Ions. Sep. Purif. Technol. 2017, 187, 76–83. [Google Scholar] [CrossRef]
- Mei, Y.; Zhuang, S.; Wang, J. Biochar: A Potential and Green Adsorbent for Antibiotics Removal from Aqueous Solution. Rev. Environ. Sci. Bio/Technol. 2024, 23, 1065–1103. [Google Scholar] [CrossRef]
- Ghalamara, S.; Coscueta, E.R.; Silva, S.; Brazinha, C.; Pereira, C.D.; Pintado, M.E. Integrated Ultrafiltration, Nanofiltration, and Reverse Osmosis Pilot Process to Produce Bioactive Protein/Peptide Fractions from Sardine Cooking Effluent. J. Environ. Manag. 2022, 317, 115344. [Google Scholar] [CrossRef]
- Tang, J.; Wang, J. Metal Organic Framework with Coordinatively Unsaturated Sites as Efficient Fenton-like Catalyst for Enhanced Degradation of Sulfamethazine. Environ. Sci. Technol. 2018, 52, 5367–5377. [Google Scholar] [CrossRef]
- Lim, S.; Shi, J.L.; von Gunten, U.; McCurry, D.L. Ozonation of Organic Compounds in Water and Wastewater: A Critical Review. Water Res. 2022, 213, 118053. [Google Scholar] [CrossRef]
- Peng, Y.; Xie, G.; Shao, P.; Ren, W.; Li, M.; Hu, Y.; Yang, L.; Shi, H.; Luo, X. A Comparison of SMX Degradation by Persulfate Activated with Different Nanocarbons: Kinetics, Transformation Pathways, and Toxicity. Appl. Catal. B Environ. Energy 2022, 310, 121345. [Google Scholar] [CrossRef]
- Wang, J.; Zhuan, R. Degradation of Antibiotics by Advanced Oxidation Processes: An Overview. Sci. Total Environ. 2020, 701, 135023. [Google Scholar] [CrossRef]
- Liu, Y.; Wang, J. Multivalent Metal Catalysts in Fenton/Fenton-like Oxidation System: A Critical Review. Chem. Eng. J. 2023, 466, 143147. [Google Scholar] [CrossRef]
- Wang, L.; Wang, Y.; Wang, Y.; Wang, H.; Wu, H.; Gao, D. Efficient Photocatalytic Degradation of Sulfonamides in Wastewater Using G-C3N4 Heterostructures: A Critical Review. Environ. Technol. Innov. 2024, 36, 103854. [Google Scholar] [CrossRef]
- Ouyang, W.-Y.; Birkigt, J.; Richnow, H.H.; Adrian, L. Anaerobic Transformation and Detoxification of Sulfamethoxazole by Sulfate-Reducing Enrichments and Desulfovibrio Vulgaris. Environ. Sci. Technol. 2020, 55, 271–282. [Google Scholar] [CrossRef] [PubMed]
- Zhao, K.; Kang, P.; Zhang, T.; Ma, Y.; Guo, X.; Wan, J.; Wang, Y. Effect of Minute Amounts of Arsenic on the Sulfamethoxazole Removal and Microbial Community Structure via the SBR System. Water Sci. Technol. 2023, 87, 423–435. [Google Scholar] [CrossRef]
- Huang, X.; Wen, D.; Wang, J. Radiation-Induced Degradation of Sulfonamide and Quinolone Antibiotics: A Brief Review. Radiat. Phys. Chem. 2024, 215, 111373. [Google Scholar] [CrossRef]
- Khan, N.A.; Ahmed, S.; Farooqi, I.H.; Ali, I.; Vambol, V.; Changani, F.; Yousefi, M.; Vambol, S.; Khan, S.U.; Khan, A.H. Occurrence, Sources and Conventional Treatment Techniques for Various Antibiotics Present in Hospital Wastewaters: A Critical Review. TrAC Trends Anal. Chem. 2020, 129, 115921. [Google Scholar] [CrossRef]
- Wang, J.; Chu, L. Irradiation Treatment of Pharmaceutical and Personal Care Products (PPCPs) in Water and Wastewater: An Overview. Radiat. Phys. Chem. 2016, 125, 56–64. [Google Scholar] [CrossRef]
- Wang, J.; Zhuan, R.; Chu, L. The Occurrence, Distribution and Degradation of Antibiotics by Ionizing Radiation: An Overview. Sci. Total Environ. 2019, 646, 1385–1397. [Google Scholar] [CrossRef]
- Huang, F.; An, Z.; Moran, M.; Liu, F. Recognition of Typical Antibiotic Residues in Environmental Media Related to Groundwater in China (2009–2019). J. Hazard. Mater. 2020, 399, 122813. [Google Scholar] [CrossRef]
- Kümmerer, K. Antibiotics in the Aquatic Environment—A Review—Part I. Chemosphere 2009, 75, 417–434. [Google Scholar] [CrossRef]
- Guieu, B.; Jourdan, J.-P.; Dreneau, A.; Willand, N.; Rochais, C.; Dallemagne, P. Desirable Drug–Drug Interactions or When a Matter of Concern Becomes a Renewed Therapeutic Strategy. Drug Discov. Today 2020, 26, 315–328. [Google Scholar] [CrossRef] [PubMed]
- Christian, J.S. The Quinolone Antibiotics. Prim. Care Update OB/GYNS 1996, 3, 87–92. [Google Scholar] [CrossRef]
- Puhlmann, N.; Olsson, O.; Kümmerer, K. Transformation Products of Sulfonamides in Aquatic Systems: Lessons Learned from Available Environmental Fate and Behaviour Data. Sci. Total Environ. 2022, 830, 154744. [Google Scholar] [CrossRef]
- Liu, Y.; Zhang, M.; Wu, Y.; Li, S.; Hu, J.; Sun, W.; Ni, J. Profiles, Drivers, and Prioritization of Antibiotics in China’s Major Rivers. J. Hazard. Mater. 2024, 477, 135399. [Google Scholar] [CrossRef] [PubMed]
- Li, Y.; Zhang, L.; Ding, J.; Liu, X. Prioritization of Pharmaceuticals in Water Environment in China Based on Environmental Criteria and Risk Analysis of Top-Priority Pharmaceuticals. J. Environ. Manag. 2020, 253, 109732. [Google Scholar] [CrossRef]
- Lyu, J.; Yang, L.; Zhang, L.; Ye, B.; Wang, L. Antibiotics in Soil and Water in China—A Systematic Review and Source Analysis. Environ. Pollut. 2020, 266, 115147. [Google Scholar] [CrossRef] [PubMed]
- Townsend-Rose, C.; Buggey, T.; Ivory, J.; Stefanov, K.D.; Holland, A.D. Ionising Radiation Effects in a Soft X-Ray CMOS Image Sensor. Nucl. Instrum. Methods Phys. Res. Sect. A Accel. Spectrometers Detect. Assoc. Equip. 2024, 1059, 169011. [Google Scholar] [CrossRef]
- Chu, L.; Chen, D.; Wang, J.; Yang, Z.; Shen, Y. Degradation of Antibiotics and Antibiotic Resistance Genes in Erythromycin Fermentation Residues Using Radiation Coupled with Peroxymonosulfate Oxidation. Waste Manag. 2019, 96, 190–197. [Google Scholar] [CrossRef]
- Chu, L.; Zhuang, S.; Wang, J. Degradation Kinetics and Mechanism of Penicillin G in Aqueous Matrices by Ionizing Radiation. Radiat. Phys. Chem. 2018, 145, 34–38. [Google Scholar] [CrossRef]
- Chen, X.; Wang, J. Degradation of Norfloxacin in Aqueous Solution by Ionizing Irradiation: Kinetics, Pathway and Biological Toxicity. Chem. Eng. J. 2020, 395, 125095. [Google Scholar] [CrossRef]
- Yao, B.; Qin, T.; Zhao, C.; Zhou, Y. Degradation of Sulfanilamide in Aqueous Solution by Ionizing Radiation: Performance and Mechanism. Environ. Pollut. 2023, 338, 122681. [Google Scholar] [CrossRef]
- Chu, L.; Wang, J.; Chen, C.; Shen, Y.; He, S.; Wojnárovits, L.; Takács, E.; Zhang, Y. Abatement of Antibiotics and Antimicrobial Resistance Genes from Cephalosporin Fermentation Residues by Ionizing Radiation: From Lab-Scale Study to Full-Scale Application. J. Clean. Prod. 2021, 325, 129334. [Google Scholar] [CrossRef]
- Chu, L.; Wang, J.; He, S.; Chen, C.; Wojnárovits, L.; Takács, E. Treatment of Pharmaceutical Wastewater by Ionizing Radiation: Removal of Antibiotics, Antimicrobial Resistance Genes and Antimicrobial Activity. J. Hazard. Mater. 2021, 415, 125724. [Google Scholar] [CrossRef] [PubMed]
- Ranković, B.; Sagatova, A.; Vujčić, I.; Mašić, S.; Veljović, Đ.; Pavićević, V.; Kamberović, Ž. Utilization of Gamma and E-Beam Irradiation in the Treatment of Waste Sludge from a Drinking Water Treatment Plant. Radiat. Phys. Chem. 2020, 177, 109174. [Google Scholar] [CrossRef]
- Mazzei, H.G.; Specchia, S. Latest Insights on Technologies for the Treatment of Solid Medical Waste: A Review. J. Environ. Chem. Eng. 2023, 11, 109309. [Google Scholar] [CrossRef]
- Chen, D.; Chu, L.; Wang, J.; Yang, Z.; Yang, Q.; Shen, Y. Degradation of Antibiotic Cephalosporin c in Aqueous Solution and Elimination of Antimicrobial Activity by Gamma Irradiation. Chem. Eng. J. 2019, 374, 1102–1108. [Google Scholar] [CrossRef]
- Sági, G.; Bezsenyi, A.; Kovács, K.; Klátyik, S.; Darvas, B.; Székács, A.; Mohácsi-Farkas, C.; Takács, E.; Wojnárovits, L. Radiolysis of Sulfonamide Antibiotics in Aqueous Solution: Degradation Efficiency and Assessment of Antibacterial Activity, Toxicity and Biodegradability of Products. Sci. Total Environ. 2018, 622–623, 1009–1015. [Google Scholar] [CrossRef]
- Wang, S.; Wang, J. Radiation-Induced Degradation of Sulfamethoxazole in the Presence of Various Inorganic Anions. Chem. Eng. J. 2018, 351, 688–696. [Google Scholar] [CrossRef]
- Alsager, O.A.; Alnajrani, M.N.; Alhazzaa, O. Decomposition of Antibiotics by Gamma Irradiation: Kinetics, Antimicrobial Activity, and Real Application in Food Matrices. Chem. Eng. J. 2018, 338, 548–556. [Google Scholar] [CrossRef]
- Takács, E.; Wang, J.; Chu, L.; Tóth, T.; Kovács, K.; Bezsenyi, A.; Szabó, L.; Homlok, R.; Wojnárovits, L. Elimination of Oxacillin, Its Toxicity and Antibacterial Activity by Using Ionizing Radiation. Chemosphere 2022, 286, 131467. [Google Scholar] [CrossRef]
- Jang, H.; Kim, T.-H.; Jeon, J. Degradation of Micropollutants by Gamma Irradiation: Insight of Transformation Product Formation Explored by Suspect and Non-Target Screening Using LC-HRMS. J. Environ. Chem. Eng. 2023, 12, 111659. [Google Scholar] [CrossRef]
- Chu, L.; Chen, D.; Wang, J.; Yang, Z.; Yang, Q.; Shen, Y. Degradation of Antibiotics and Inactivation of Antibiotic Resistance Genes (ARGs) in Cephalosporin c Fermentation Residues Using Ionizing Radiation, Ozonation and Thermal Treatment. J. Hazard. Mater. 2020, 382, 121058. [Google Scholar] [CrossRef] [PubMed]
- Cho, J.Y.; Chung, B.Y.; Lee, K.-B.; Lee, G.-H.; Hwang, S.A. Decomposition Reaction of the Veterinary Antibiotic Ciprofloxacin Using Electron Ionizing Energy. Chemosphere 2014, 117, 158–163. [Google Scholar] [CrossRef]
- Tominaga, F.K.; Boiani, N.F.; Silva, T.T.; Gomes, J.; Lebre, D.T.; Leo, P.; Borrely, S.I. Electron Beam Irradiation Applied for the Detoxification and Degradation of Single Ciprofloxacin Aqueous Solution and Multiclass Pharmaceutical Quaternary Mixture. Sep. Purif. Technol. 2022, 307, 122818. [Google Scholar] [CrossRef]
- Sayed, M.; Shah, L.A.; Khan, J.A.; Shah, N.S.; Khan, H.M.; Khan, R.A.; Khan, A.R.; Khan, A.M. Hydroxyl Radical Based Degradation of Ciprofloxacin in Aqueous Solution. Journal of the Chilean Chemical Society 2016, 61(2), 2949–2953. [Google Scholar] [CrossRef]
- Tegze, A.; Sági, G.; Kovács, K.; Tóth, T.; Takács, E.; Wojnárovits, L. Radiation Induced Degradation of Ciprofloxacin and Norfloxacin: Kinetics and Product Analysis. Radiat. Phys. Chem. 2019, 158, 68–75. [Google Scholar] [CrossRef]
- Salem, I.B.; Mezni, M.; Khamassi, M.A.; Lagha, A.; Hosni, F.; Saidi, M. Influence of Ionizing Radiation on the Stability of Clarithromycin Antibiotics. Radiat. Phys. Chem. 2017, 145, 143–147. [Google Scholar] [CrossRef]
- Bujak, I.T.; Pocrnić, M.; Blažek, K.; Bojanić, K.; Trebše, P.; Lebedev, A.T.; Galić, N. Radiation-Induced Degradation of Doxazosin: Role of Reactive Species, Toxicity, Mineralization and Degradation Pathways. J. Water Process Eng. 2022, 51, 103401. [Google Scholar] [CrossRef]
- Salem, S.B.; Mezni, M.; Errami, M.; Amine, K.M.; Salghi, R.; Ismat, H.A.; Chakir, A.; Hammouti, B.; Messali, M.; Fattouch, S. Degradation of Enrofloxacin Antibiotic under Combined Ionizing Radiation and Biological Removal Technologies. Int. J. Electrochem. Sci. 2015, 10, 3613–3622. [Google Scholar] [CrossRef]
- Szabó, L.; Szabó, J.; Illés, E.; Kovács, A.; Belák, Á.; Mohácsi-Farkas, C.; Takács, E.; Wojnárovits, L. Electron Beam Treatment for Tackling the Escalating Problems of Antibiotic Resistance: Eliminating the Antimicrobial Activity of Wastewater Matrices Originating from Erythromycin. Chem. Eng. J. 2017, 321, 314–324. [Google Scholar] [CrossRef]
- Shen, Y.; Chu, L.; Zhuan, Y.; Xiang, X.; Sun, H.; Wang, J. Degradation of Antibiotics and Antibiotic Resistance Genes in Fermentation Residues by Ionizing Radiation: A New Insight into a Sustainable Management of Antibiotic Fermentative Residuals. J. Environ. Manag. 2019, 232, 171–178. [Google Scholar] [CrossRef] [PubMed]
- Muneer, M.; Kanjal, M.I.; Saeed, M.; Jamal, M.A.; ul Haq, A.; Iqbal, M.; ul Haq, E.; Ali, S. Degradation of Moxifloxacin by Ionizing Radiation and Toxicity Assessment. Z. Für Phys. Chem. 2021, 235, 1629–1643. [Google Scholar] [CrossRef]
- Sayed, M.; Khan, J.A.; Shah, L.A.; Shah, N.S.; Khan, H.M.; Rehman, F.; Khan, A.R.; Khan, A.M. Degradation of Quinolone Antibiotic, Norfloxacin, in Aqueous Solution Using Gamma-Ray Irradiation. Environ. Sci. Pollut. Res. 2016, 23, 13155–13168. [Google Scholar] [CrossRef]
- Tegze, A.; Sági, G.; Kovács, K.; Homlok, R.; Tóth, T.; Mohácsi-Farkas, C.; Wojnárovits, L.; Takács, E. Degradation of Fluoroquinolone Antibiotics during Ionizing Radiation Treatment and Assessment of Antibacterial Activity, Toxicity and Biodegradability of the Products. Radiat. Phys. Chem. 2018, 147, 101–105. [Google Scholar] [CrossRef]
- Wojnárovits, L.; Homlok, R.; Kovács, K.; Bezsenyi, A.; Takács, E. Ionizing Radiation Induced Removal of Ofloxacin, Abatement of Its Toxicity and Antibacterial Activity in Various Water Matrices. Appl. Sci. 2023, 13, 7211. [Google Scholar] [CrossRef]
- Wojnárovits, L.; Wang, J.; Chu, L.; Tóth, T.; Kovács, K.; Bezsenyi, A.; Szabó, L.; Homlok, R.; Takács, E. Matrix Effect in the Hydroxyl Radical Induced Degradation of β-Lactam and Tetracycline Type Antibiotics. Radiat. Phys. Chem. 2022, 193, 109980. [Google Scholar] [CrossRef]
- Ji, D.; Song, W.; Liu, X.; Cui, S.; Zhang, Y. Discussion on the Radiolysis Rate of Organic Substances in Oxytetracycline Pharmaceutical Wastewater. J. Radioanal. Nucl. Chem. 2023, 332, 2231–2237. [Google Scholar] [CrossRef]
- Ardestani, S.B.; Akhavan, A.; Kazeminejad, H.; Ahmadi-Roshan, M.; Roozbahani, A. Ionizing Radiation Effect on the Removing of Antibiotic Pollutants from Pharmaceutical Wastewater: Identification of Radio-Degradation Products. J. Radioanal. Nucl. Chem. 2024, 333, 4523–4541. [Google Scholar] [CrossRef]
- Chu, L.; Wang, J. Degradation of Antibiotics in Activated Sludge by Ionizing Radiation: Effect of Adsorption Affinity of Antibiotics. Chem. Eng. J. 2023, 468, 143821. [Google Scholar] [CrossRef]
- Wei, L.; Chu, L.; Wang, J.; Yang, Q. Radiolytic Degradation of β-Lactam and Tetracycline Antibiotics in the Presence of Protein. J. Mol. Liq. 2022, 364, 119965. [Google Scholar] [CrossRef]
- Chen, X.; Wang, J. Degradation Performance and Mechanism of Penicillin G in Aqueous Solution by Ionizing Radiation. J. Clean. Prod. 2021, 328, 129625. [Google Scholar] [CrossRef]
- Zhu, F.; Pan, J.; Zou, Q.; Wu, M.; Wang, H.; Xu, G. Electron Beam Irradiation of Typical Sulfonamide Antibiotics in the Aquatic Environment: Kinetics, Removal Mechanisms, Degradation Products and Toxicity Assessment. Chemosphere 2021, 274, 129713. [Google Scholar] [CrossRef] [PubMed]
- Zhuan, R.; Wang, J. Degradation of Sulfamethoxazole by Ionizing Radiation: Kinetics and Implications of Additives. Sci. Total Environ. 2019, 668, 67–73. [Google Scholar] [CrossRef] [PubMed]
- Sági, G.; Csay, T.; Pátzay, G.; Csonka, E.; Wojnárovits, L.; Takács, E. Oxidative and Reductive Degradation of Sulfamethoxazole in Aqueous Solutions: Decomposition Efficiency and Toxicity Assessment. J. Radioanal. Nucl. Chem. 2014, 301, 475–482. [Google Scholar] [CrossRef]
- Sági, G.; Kovács, K.; Bezsenyi, A.; Csay, T.; Takács, E.; Wojnárovits, L. Enhancing the Biological Degradability of Sulfamethoxazole by Ionizing Radiation Treatment in Aqueous Solution. Radiat. Phys. Chem. 2016, 124, 179–183. [Google Scholar] [CrossRef]
- Sági, G.; Szabacsi, K.; Szabó, L.; Homlok, R.; Kovács, K.; Mohácsi-Farkas, C.; Pillai, S.D.; Takács, E.; Wojnárovits, L. Influence of Ionizing Radiation on the Antimicrobial Activity of the Antibiotics Sulfamethoxazole and Trimethoprim. J. Environ. Sci. Health Part A Toxic/Hazard. Subst. Environ. Eng. 2018, 53, 687–693. [Google Scholar] [CrossRef]
- Kim, H.Y.; Kim, T.-H.; Cha, S.M.; Yu, S. Degradation of Sulfamethoxazole by Ionizing Radiation: Identification and Characterization of Radiolytic Products. Chem. Eng. J. 2017, 313, 556–566. [Google Scholar] [CrossRef]
- He, H.; Wang, S.; Wang, J. Radiolytic Degradation of Thiophene: Performance, Pathway and Toxicity Evaluation. Radiat. Phys. Chem. 2021, 189, 109738. [Google Scholar] [CrossRef]
- Kovács, K.; Székely, D.; Tegze, A.; Homlok, R.; Bezsenyi, A.; Wojnárovits, L. Gamma and Pulse Radiolysis of Trimethoprim in Aqueous Solutions: Intermediate Radicals, Rate of Oxidation, Toxicity. J. Water Process Eng. 2024, 69, 106743. [Google Scholar] [CrossRef]
- Basfar, A.A.; Khan, H.M.; Alshahrani, A.A.; Cooper, W.J. Radiation Induced Decomposition of Methyl Tert-Butyl Ether in Water in Presence of Chloroform: Kinetic Modelling. Water Res. 2005, 39, 2085–2095. [Google Scholar] [CrossRef]
- Changotra, R.; Rajput, H.; Guin, J.P.; Dhir, A. Comparative Assessment of Application of Ionizing Radiations in Degradation of Amoxicillin Trihydrate (AMT) in Aqueous Solutions. Chem. Eng. J. 2021, 421, 127847. [Google Scholar] [CrossRef]
- Chen, X.; Wang, J. Degradation of Antibiotic Cephalosporin c in Different Water Matrices by Ionizing Radiation: Degradation Kinetics, Pathways, and Toxicity. Sci. Total Environ. 2021, 791, 148253. [Google Scholar] [CrossRef] [PubMed]
- Chu, L.; Wang, J.; Chen, C.; He, S.; Wojnárovits, L.; Takács, E. Advanced Treatment of Antibiotic Wastewater by Ionizing Radiation Combined with Peroxymonosulfate/H2O2 Oxidation. J. Clean. Prod. 2021, 321, 128921. [Google Scholar] [CrossRef]
- Hu, Y.; Wang, J.; Shen, Y. Enhanced Performance of Anaerobic Digestion of Cephalosporin c Fermentation Residues by Gamma Irradiation-Induced Pretreatment. J. Hazard. Mater. 2020, 384, 121335. [Google Scholar] [CrossRef] [PubMed]
- Zhang, Z.; Chen, H.; Wang, J.; Zhang, Y. Degradation of Carbamazepine by Combined Radiation and Persulfate Oxidation Process. Radiat. Phys. Chem. 2020, 170, 108639. [Google Scholar] [CrossRef]
- He, J.; Ye, Q.; Zhu, Y.; Yang, M.; Zhao, L. Enhanced Degradation Performance and Mineralization of Ciprofloxacin by Ionizing Radiation Combined with G-C3N4/CDs. Radiat. Phys. Chem. 2023, 208, 110958. [Google Scholar] [CrossRef]
- Yang, G.; Wang, J. Enhanced Antibiotic Degradation and Hydrogen Production of Deacetoxycephalosporin c Fermentation Residue by Gamma Radiation Coupled with Nano Zero-Valent Iron. J. Hazard. Mater. 2021, 424, 127439. [Google Scholar] [CrossRef]
- Chu, L.; Zhuan, R.; Chen, D.; Wang, J.; Shen, Y. Degradation of Macrolide Antibiotic Erythromycin and Reduction of Antimicrobial Activity Using Persulfate Activated by Gamma Radiation in Different Water Matrices. Chem. Eng. J. 2019, 361, 156–166. [Google Scholar] [CrossRef]
- Zhuan, R.; Wang, J. Enhanced Mineralization of Sulfamethoxazole by Gamma Radiation in the Presence of Fe3O4 as Fenton-like Catalyst. Environ. Sci. Pollut. Res. 2019, 26, 27712–27725. [Google Scholar] [CrossRef]
- Zhuan, R.; Wang, J. Enhanced Degradation and Mineralization of Sulfamethoxazole by Integrating Gamma Radiation with Fenton-like Processes. Radiat. Phys. Chem. 2020, 166, 108457. [Google Scholar] [CrossRef]
- Chu, L.; Yin, W.; Dierxiati, A.; Dong, L.; Chen, Q. Degradation of Steroid Androgen in Aqueous Solution Using Ionizing Radiation and Thermal Activation Persulfate Processes. Radiat. Phys. Chem. 2024, 229, 112472. [Google Scholar] [CrossRef]
- Yao, B.; Zhou, Y. Enhanced Degradation of Sulfathiazole by Ionizing Radiation Activated Persulfate and Periodate: Performances and Mechanisms. Chem. Eng. J. 2024, 496, 154284. [Google Scholar] [CrossRef]
- Liu, N.; Lei, Z.-D.; Wang, T.; Wang, J.-J.; Zhang, X.-D.; Xu, G.; Tang, L. Radiolysis of Carbamazepine Aqueous Solution Using Electron Beam Irradiation Combining with Hydrogen Peroxide: Efficiency and Mechanism. Chem. Eng. J. 2016, 295, 484–493. [Google Scholar] [CrossRef]
- Kabasa, S.; Wang, S.; Sun, Y.; Wang, J.; Bulka, S. Degradation of Hydroxychloroquine from Aqueous Solutions under Fenton-Assisted Electron Beam Treatment. Processes 2024, 12, 2860. [Google Scholar] [CrossRef]
- Liu, Y.; Hu, J.; Wang, J. Fe2+ Enhancing Sulfamethazine Degradation in Aqueous Solution by Gamma Irradiation. Radiat. Phys. Chem. 2013, 96, 81–87. [Google Scholar] [CrossRef]
- Lei, Y.; Zhou, Y.; Zhang, S.; Zhou, S.; Ma, N.; Liu, H.; Liu, Y.; Zhang, J.; Miao, H.; Cao, L. Nitrogen-Doped Bimetallic MOFs Derivatives for Efficient Ionizing Radiation Catalytic Degradation of Chloramphenicol. Sep. Purif. Technol. 2023, 326, 124785. [Google Scholar] [CrossRef]
- Yang, Q.; Chen, D.; Chu, L.; Wang, J. Enhancement of Ionizing Radiation-Induced Catalytic Degradation of Antibiotics Using Fe/c Nanomaterials Derived from Fe-Based MOFs. J. Hazard. Mater. 2020, 389, 122148. [Google Scholar] [CrossRef]
- Chen, X.; Zhuan, R.; Wang, J. Assessment of Degradation Characteristic and Mineralization Efficiency of Norfloxacin by Ionizing Radiation Combined with Fenton-like Oxidation. J. Hazard. Mater. 2021, 404, 124172. [Google Scholar] [CrossRef]
- Buxton, G.V.; Greenstock, C.L.; Helman, W.P.; Ross, A.B. Critical Review of Rate Constants for Reactions of Hydrated Electrons, Hydrogen Atoms and Hydroxyl Radicals (⋅OH/⋅O−) in Aqueous Solution. J. Phys. Chem. Ref. Data 1988, 17, 513–886. [Google Scholar] [CrossRef]
- Liu, Y.; Wang, J. Degradation of Sulfamethazine by Gamma Irradiation in the Presence of Hydrogen Peroxide. J. Hazard. Mater. 2013, 250–251, 99–105. [Google Scholar] [CrossRef]
- Wang, S.; Wang, J. Electron Beam Technology Coupled to Fenton Oxidation for Advanced Treatment of Dyeing Wastewater: From Laboratory to Full Application. ACS ES&T Water 2022, 2, 852–862. [Google Scholar]
- Wang, S.; Wang, J.; Chen, C.; He, S.; Hu, J.; Zhang, Y. First Full-Scale Application of Electron Beam Technology for Treating Dyeing Wastewater (30,000 M3/D) in China. Radiat. Phys. Chem. 2022, 196, 110136. [Google Scholar] [CrossRef]
- Wang, J.; Wang, S.; Chen, C.; Hu, J.; He, S.; Zhou, Y.; Zhu, H.; Wang, X.; Hu, D.; Lin, J. Treatment of Hospital Wastewater by Electron Beam Technology: Removal of COD, Pathogenic Bacteria and Viruses. Chemosphere 2022, 308, 136265. [Google Scholar] [CrossRef]
- Fang, L.; Chu, L.; Wang, J.; Yang, Q. Treatment of Polyacrylamide-Containing Wastewater by Ionizing Radiation: Efficient Reduction of Viscosity and Degradation of Polyacrylamide. Radiat. Phys. Chem. 2022, 202, 110547. [Google Scholar] [CrossRef]
- Chu, L.; Wang, J. Treatment of Oil-Field Produced Wastewater by Electron Beam Technology: Demulsification, Disinfection and Oil Removal. J. Clean. Prod. 2022, 378, 134532. [Google Scholar] [CrossRef]
- Chu, L.; Wang, J. Pretreatment of Alkali/Surfactant/Polymer (ASP)-Flooding Produced Wastewater by Electron Beam Radiation to Improve Oil-Water Separation. Chemosphere 2024, 351, 141252. [Google Scholar] [CrossRef]
- Wang, J.; Chen, X. Removal of Antibiotic Resistance Genes (ARGs) in Various Wastewater Treatment Processes: An Overview. Crit. Rev. Environ. Sci. Technol. 2020, 52, 571–630. [Google Scholar] [CrossRef]
- Shen, Y.; Zhuan, R.; Chu, L.; Xiang, X.; Sun, H.; Wang, J. Inactivation of Antibiotic Resistance Genes in Antibiotic Fermentation Residues by Ionizing Radiation: Exploring the Development of Recycling Economy in Antibiotic Pharmaceutical Factory. Waste Manag. 2019, 84, 141–146. [Google Scholar] [CrossRef]
- Yin, Y.; Wang, J. Enhanced Medium-Chain Fatty Acids Production from Cephalosporin c Antibiotic Fermentation Residues by Ionizing Radiation Pretreatment. J. Hazard. Mater. 2022, 440, 129714. [Google Scholar] [CrossRef] [PubMed]
- Chen, D.; Chu, L.; Ding, M. Comparison of the Efficiency of Gamma Irradiation and Pyrolysis on the Reduction of Antibiotic and Cephalosporin Resistance Gene from Cephalosporin Fermentation Residues. Radiat. Phys. Chem. 2020, 176, 109059. [Google Scholar] [CrossRef]
- Ganiyu, S.O.; Sable, S.; Gamal El-Din, M. Advanced Oxidation Processes for the Degradation of Dissolved Organics in Produced Water: A Review of Process Performance, Degradation Kinetics and Pathway. Chem. Eng. J. 2022, 429, 132492. [Google Scholar] [CrossRef]
Disclaimer/Publisher’s Note: The statements, opinions and data contained in all publications are solely those of the individual author(s) and contributor(s) and not of MDPI and/or the editor(s). MDPI and/or the editor(s) disclaim responsibility for any injury to people or property resulting from any ideas, methods, instructions or products referred to in the content. |
© 2025 by the authors. Licensee MDPI, Basel, Switzerland. This article is an open access article distributed under the terms and conditions of the Creative Commons Attribution (CC BY) license (https://creativecommons.org/licenses/by/4.0/).





