Next Article in Journal
Investigation of Water Use and Trends in South Africa: A Case Study for the Mzimvubu to Tsitsikamma Water Management Area 7 (WMA7)
Previous Article in Journal
Groundwater Potential Mapping Using Optimized Decision Tree-Based Ensemble Learning Model with Local and Global Explainability
 
 
Font Type:
Arial Georgia Verdana
Font Size:
Aa Aa Aa
Line Spacing:
Column Width:
Background:
Article

A Comparison of Daily and Hourly Evapotranspiration and Transpiration Rate of Summer Maize with Contrast Canopy Size

1
Institute of Advanced Agricultural Science and Technology, Tianjin Agricultural University, Tianjin 300384, China
2
Tianjin Key Laboratory of Crop Genetics and Breeding, Institute of Crop Sciences, Tianjin Academy of Agricultural Sciences, Tianjin 300380, China
3
Research Center of Intelligent Equipment for Agriculture, Beijing Academy of Agriculture and Forestry Sciences, Beijing 100097, China
*
Author to whom correspondence should be addressed.
Water 2025, 17(10), 1521; https://doi.org/10.3390/w17101521
Submission received: 28 February 2025 / Revised: 31 March 2025 / Accepted: 25 April 2025 / Published: 18 May 2025
(This article belongs to the Section Water Use and Scarcity)

Abstract

A detailed characterization of evapotranspiration (ET) patterns is of paramount importance for optimizing irrigation scheduling and enhancing water-use efficiency in the North China Plain. To delve into this, a two-season study was conducted at the National Experimental Station for Precise Agriculture in Beijing. Using 12 weighing lysimeters, the study compared two summer maize varieties with contrasting canopy sizes: Jingke 968 (JK), characterized by a large canopy, and CF 1002 (CF), with a small canopy. The comprehensive analysis yielded the following significant findings: (1) The daily average ET rates exhibited consistent trends across cultivars, yet with notable disparities in magnitude. JK consistently demonstrated higher water consumption throughout the growth seasons. In the first season, at the V13–R1 stage, the peak daily ET of JK and CF reached 5.91 mm/day and 5.52 mm/day, respectively. In the second season, during the R1–R3 stage, these values were 5.21 mm/day for JK and 5.22 mm/day for CF, highlighting the nuanced differences in water use between the varieties under varying growth conditions. (2) Regardless of canopy size, the hourly ET fluctuations across different growth stages followed similar temporal patterns. However, the most striking inter-varietal differences in ET emerged during the R1–R3 reproductive stages, when both cultivars had achieved peak canopy development (leaf area index, LAI > 4.5). Notably, the ET differences between JK and CF adhered to a characteristic diurnal “increase–decrease” pattern. These differences peaked during mid-morning (09:00–11:00) and early afternoon (13:00–15:00), while minimal divergence was observed at solar noon. This pattern suggests complex interactions between canopy structure, microclimate, and plant physiological processes that govern water loss over the course of a day. (3) Analysis of the pooled data pinpointed two critical time periods that significantly contributed to the cumulative ET differences between the varieties. The first period was from 12:00–17:00 during the R1–R3 (anthesis) stage, and the second was from 08:00–16:00 during the R3–R5 (grain filling) stage. JK maintained significantly higher transpiration rates (Tr) compared to CF, especially during the morning hours (09:00–12:00). On average, the Tr of JK exceeded that of CF by 5.3% during the pre-anthesis stage and by 16.0% during the post-anthesis stage. These observed Tr differentials strongly indicate that canopy architecture plays a pivotal role in modulating stomatal regulation patterns. Maize varieties with large canopies, such as JK, demonstrated enhanced morning photosynthetic activity, which likely contributed to increased transpiration. At the same time, both varieties seemed to employ similar midday water conservation strategies, possibly as an adaptive response to environmental stress. In summary, this study has comprehensively elucidated the intricate relationship between the leaf area index and the evapotranspiration of summer maize across multiple timescales, encompassing periodic, daily, and hourly variations. The findings provide invaluable data-driven insights that can underpin the development of precise and quantitative irrigation strategies, ultimately promoting sustainable and efficient maize production in the North China Plain.

1. Introduction

Maize production in the North China Plain (NCP) is critical for national food security because it accounts for 32.9% of the corn yield in China [1]. However, further development of maize production in the NCP needs to consider further deterioration in regional water resource carrying capacity [2], which results from (1) an increase in evaporative demand, (2) a reduction in water availability due to decreased precipitation during summer, and (3) increased runoff loss from short-duration extreme precipitation events [3,4,5,6,7].
Determination of ET can provide data support for making decisions regarding the global water budget and local irrigation management [8,9]. Knowledge of the total ET is essential for terrestrial hydrological cycle research, because irrigation accounts for approximately 70% of the world’s total freshwater withdrawals [10]. Similar ET determinations of summer maize in NCP were reported by Liu [11] and by Kang [12], which were 423 mm and 424 mm, respectively. Further determination of daily ET at various spatial scales while upgrading measuring equipment helps agricultural producers develop more precise irrigation schemes and better match moisture to the daily water demand of crops [13,14]. The development of a better understanding of the ET process is of great importance for the improvement of agricultural water utilization and is critical for the sustainability of agricultural production [15,16]. With the development of precise irrigation technology, gathering knowledge regarding crop ET on smaller time scales is an urgent task for regional maize production in NCP; however, deep knowledge of ET for consecutive determinations of the daily and hourly ET of maize is still limited in this region.
Many studies have focused on the effects of climate change and its variability on ET [17,18,19,20] and have tried to devise more precise or alternative methods to estimate ET [21,22]. Similarly, ET can also be influenced by cultivation management [23]. Among many agronomic measures, soil management practices can affect ET by increasing the soil’s water holding capacity and precipitation infiltration, thereby improving the capacity of roots to extract water from the soil profile and decreasing leach losses [24]; these practices are associated with some types of soil manipulation, e.g., by tillage and residue management and mulching. ET estimations have shown no significant differences between reduced tillage and conventional tillage [25]. Zero tillage and reservoir tillage result in higher water potential than conventional tillage [26], but a better method to store water in the soil profile—which has widely been applied in northwest China—involves the use of straw or plastic mulch.
Another agronomic measure widely applied in northwest China is plastic mulch, which has a greater influence on water consumption than tillage [27]. Mulch can prevent the vast majority of soil evaporation. Meanwhile, an optimized rhizosphere water environment can lead to greater transpiration through better developed crop canopies. However, the stored heat accelerates crop growth and causes a shorter growth period, which decreases transpiration. In a comprehensive survey, mulch was observed to change the ratio of evaporation to transpiration [28], as well as the distribution of evapotranspiration before and after anthesis [29]. Such an approach showed a positive or no obvious effect on ET [30].
Fertilizer application is also strongly related to ET, regardless of the type of compost or chemical fertilizer used, and can significantly increase cumulative water use and daily transpiration [31]; however, other studies have provided evidence that the effect is not significant from the viewpoint of water balance and mean recharge rate [32]. Nitrogen fertilizer has strong relationship with canopy establishment and function [33,34]. Evaporation declines while transpiration increases with N addition [35], and, as a result, ET is affected [36]. A significant interaction with water and N in terms of ET and soil profile water extraction patterns was observed by Lenka et al. for maize and wheat [37].
In maize production, the actual ET is predominantly influenced by the amount of irrigation. ET increases as the irrigation quantity rises until a certain threshold is reached, beyond which irrigation is considered excessive [38]. Conversely, when soil water deficiency occurs, actual ET experiences a significant decline [39]. Moreover, it has been found that actual ET is affected more by irrigation amount than by irrigation frequency [40]. Payero [41] also pointed out that the timing of irrigation can have a substantial impact on actual ET.
Apart from meteorological factors and the previously reported cultivation measures, canopy size is a crucial factor influencing ET. This is because the canopy not only serves as the site where transpiration (T) takes place but also acts as a barrier to soil evaporation. Consequently, the characteristics of the canopy play a vital role as a mediator among the various factors affecting ET. Xu [42] explored the impact of canopy size on the ET and crop coefficient of summer maize. In a semi-arid region, investigating ET on a small time scale is essential for achieving better water management and enhancing water productivity, as water scarcity severely restricts the development of maize production in such areas. The objectives of this study are as follows: (1) to accurately estimate maize ET on both daily and hourly scales and to determine the transpiration rate before and after anthesis; (2) to compare the characteristics of maize ET and the transpiration rate of two maize varieties with contrasting canopy sizes across different time scales; and (3) to assess the influence of canopy size on maize ET. A comprehensive and detailed analysis of ET will provide support for maize production in the North China Plain (NCP) by enabling the formulation of precise irrigation plans, especially considering that water deficiency is an increasingly significant constraint in this region.

2. Materials and Methods

2.1. Experimental Site

The experiment was carried out at the National Experiment Station for Precision Agriculture of the Beijing Academy of Agricultural and Forestry Sciences, situated in Xiaotangshan Town, Changping District, Beijing, China (latitude 40.17′ N, longitude 116.39′ E, altitude 50 m). Atmospheric parameters such as air temperature, relative humidity, and solar radiation were comparable during the two growth seasons. However, the first growth season featured higher precipitation levels, longer sunshine duration, and faster wind speeds compared to the second season. This disparity is likely attributable to the increased occurrence of extreme weather events in 2023. For instance, an extreme precipitation event that took place from 30 July to 1 August 2023 (see Table 1).

2.2. Growth Process

Maize (Zea mays L.) was cultivated from 15 June to 7 October in 2022, and from 15 June to 1 October in 2023. Two maize varieties were employed in the experiment: Jingke 968 (JK), which is one of the top ten national corn varieties, and CF 1002 (CF), a regional corn variety predominantly cultivated in Hebei province. For all treatments, the plant density was meticulously controlled at 60,000 plants per hectare, with a row spacing of 50 cm. Each treatment utilized six lysimeters as replicates. To mitigate the impact of previous experimental treatments on soil moisture, 40 mm of water was irrigated. The quantities of mineral fertilizers, including urea, phosphoric anhydride, and potassium sulfate, applied in each lysimeter were 38 g per square meter, 18 g per square meter, and 18 g per square meter, respectively. One day prior to sowing, 50% of the urea, along with 100% of the phosphoric anhydride and 100% of the potassium sulfate, was applied. The remaining 50% of the urea was used as topdressing when the maize reached the 13-leaf stage. Furthermore, crops of the same variety and plant density were cultivated in the fields surrounding the lysimeters to ensure a comparable environment. The cultivation practices, such as tillage depth, fertilizer application time and dosage, sowing date, and weed management, implemented within the lysimeters, were entirely consistent with those outside the lysimeters.
The phenological process of summer maize was recorded in accordance with the standards of corn growth and development proposed by Chad Lee from the University of Kentucky during the period of 2005–2011. The diurnal period was considered to span 12 h, specifically defined as from 6 a.m. to 6 p.m. The nocturnal period commenced at 6 p.m. and extended until 5 a.m. on the following day.

2.3. Experimental Procedures

Each of the weighing lysimeters employed in this study consisted of a steel box with dimensions of length × width × depth being 1 m × 0.75 m × 2.3 m. These lysimeters were suspended above the floor in the basement. The steel boxes were filled with undisturbed soil sourced from a nearby field to preserve the original soil properties. To reduce the potential for microclimatic disruptions and hydraulic interactions between the soil profile within the lysimeter and the adjacent ground conditions as much as possible, the experimental arrangement ensured that the elevation of the soil column contained in the lysimeter precisely corresponded to that of the natural terrain. Additionally, a slight perimeter elevation (roughly 2–3 cm) was established around the boundary of each lysimeter.
The evapotranspiration of maize in each season was measured by the weighing lysimeters at 5-min intervals, with a measurement precision of 0.05 mm. After the maize crop had been harvested, calibration of the lysimeters was carried out to ensure their measurement accuracy.
At the growth stages of V3, V9, V13, R1, R3, R5, and maturity, the leaf length and width were measured with a ruler. The leaf area index (LAI) was calculated by multiplying the measured leaf length and width, then multiplying the product by a coefficient of 0.70, and finally dividing the result by the area of the lysimeter [43]. To ensure consistency in the phenotypic monitoring, a representative maize plant was selected for observation during each sampling interval.
In the first growing season, on July 15th and August 23rd, the instantaneous transpiration rate of the ear leaf was measured using a portable gas exchange system (Li-Cor 6400, Li-Cor Inc., Lincoln, NE, USA). The measurements were taken at nine specific time points throughout the day, namely, 8:00, 9:00, 10:00, 11:00, 12:00, 13:00, 14:00, 15:00, and 16:00.
Atmospheric environmental parameters, including solar radiation, sunshine duration, precipitation, air temperature, air humidity, air pressure, and wind speed at a height of 2 m above the ground, were continuously recorded at half-hour intervals in a standard weather station situated at the experimental site, adjacent to the lysimeters. Owing to the uniform terrain profile throughout the experimental area, the microclimatic data obtained from the weather station demonstrated a direct spatial representativeness for the microenvironment of the lysimeters.
In each growth season, three or four lysimeters exhibiting relatively low variability were selected to serve as replicates representing different maize varieties. Prior to conducting the analysis of variance (ANOVA), the data were filtered based on the degree of dispersion. Group comparisons were then carried out using One-Way ANOVA analysis followed by a Least Significant Difference (LSD) test, with the assistance of the SPSS 22.0 software package (IBM Corp., Chicago, IL, USA).

3. Results

3.1. The Development Process of LAI During Total Growth Stage

As depicted in Figure 1, throughout both growth seasons, the leaf area index (LAI) of both JK and CF maize varieties increased from the emergence stage, peaked at the R1 stage, and subsequently started to decline until reaching the maturity stage. An analysis of the pooled data revealed that in the V9, V13, and R3 stages, the LAI of JK was significantly higher than that of CF, with respective increases of 18.1%, 5.0%, and 10.4%.
The differences in LAI between JK and CF across each season were as follows: (1) There were varying rates of LAI increase during the vegetative stage. For example, at the V9 growth stage in both growing seasons, the LAI of JK was significantly higher (p < 0.05) than that of CF, i.e., by 19.5% and 16.5%, respectively. In the first growing season, at the V13 stage, the LAI of JK was 14.5% (p < 0.05) higher than that of CF. (2) Although the peak LAI of both JK and CF occurred in the R1 stage, there were significant disparities between the two. In the first growing season, the LAI of JK was 18.3% (p < 0.05) higher than that of CF, while in the second growing season, it was 5.3% (p < 0.05) lower. (3) Different rates of LAI decline during the reproductive stage were also observed. For instance, in the second growing season, in the R3 stage, the LAI of JK was 16.6% (p < 0.05) lower than that of CF, while in the Maturity stage, it was 11.2% (p < 0.05) lower.
Regarding the inter-annual variation of LAI, during the vegetative period, JK and CF exhibited similar trends. In both genotypes, the LAI in the V9 stage was significantly higher in the first season compared to the second season, with increases of 77.4% (p < 0.05) for JK and 73.1% (p < 0.05) for CF. Similarly, in the V13 stage, the LAI in the first season was 43.1% (p < 0.05) higher for JK and 21.5% (p < 0.05) higher for CF than in the second season. However, during the reproductive period, the inter-annual variation patterns differed between JK and CF. For JK, the LAI in the R1 stage in the first season increased by 19.7% (p < 0.05) compared to the second season, while no significant differences were observed in the R3 and Maturity stages. In contrast, for CF, the LAI in the R3 and Maturity stages was 12.3% (p < 0.05) and 12.8% (p < 0.05) higher in the first season than in the second season, with no significant difference in the R1 stage.

3.2. Daily Evapotranspiration at Different Growth Stages in Two Seasons

The daily ET averaged for different growth periods and for total growth season is shown in Figure 2.
The temporal distribution of the average daily ET for JK and CF differed in the first season. For JK, the order of ET values across different growth stages was V13–R1 > R1–R3 > V6–V13 > R3–R5 > R5–M > S–V6. For CF, the order was V13–R1 > R1–R3 > R3–R5 ≈ V6–V13 > R5–M > S–V6. However, in the second season, the temporal distribution of average daily ET for both JK and CF followed the same pattern: R1–R3 > V13–R1 > R3–R5 > R5–M > V6–V13 > S–V6.The highest daily ET values for JK and CF were 5.91 mm/day and 5.52 mm/day, respectively; these occurred in the V13–R1 stage during the first growth season. In the second growth season, the highest daily ET values for JK and CF were 5.21 mm/day and 5.22 mm/day, respectively, and were recorded in the R1–R3 stage. As illustrated in Figure 1, these findings indicate that peak water consumption took place around the R1 stage, which coincides with the time when the canopy size reached its maximum.
During the first season, the daily ET of JK was higher than that of CF across various growth periods. Notably, in the R1–R3 period, the daily ET of JK exceeded that of CF by 1.03 mm/day (p < 0.05). Additionally, in the first growth season, the decline in the average daily ET from the V13–R1 stage to the R1–R3 stage for JK was significantly smaller compared to that for CF. In the second growth season, in the S–V6 period, the daily ET of JK was 0.15 mm/day higher than that of CF (p < 0.05). In other growth periods, the daily ET of JK was comparable to that of CF. From the Sowing–V6 stage to the V6–V13 stage in the second growth season, the increase in the average daily ET for JK was 0.90 mm/day, which was significantly lower than the 1.16 mm/day increase observed for CF. It can be deduced that the disparity in daily ET around the R1 stage likely exerted a more substantial impact on the difference in the average daily ET over the entire growth stage, as opposed to the corresponding differences in other growth periods.
Compared with the daily ET in the corresponding stages in the second growth season, for each maize variety, the daily ET significantly increased in three growth stages in the first growth season, i.e., in the S–V6 stage, the V6–V13 stage, and the V13–R1 stage. Conversely, it decreased in the last two growth stages. Specifically, there was a decrease in the R3–R5 stage (with p > 0.05 indicating no significant difference statistically), and a significant decrease in the R5–Maturity stage. An interesting aspect regarding the unfavorable annual variation of daily ET in the R1–R3 stage was that, when compared with the corresponding daily ET in the second season, in the first growth season, the daily ET of JK increased (p > 0.05, suggesting a non-significant increase), while the daily ET of CF significantly decreased in the R1–R3 stage.

3.3. Hourly Evapotranspiration Averaged for Total Growth Stage

The hourly ET averaged over the entire growth stage is presented in Figure 3. In each season, the patterns of variation in hourly ET were similar for both JK and CF maize varieties. During the first season, the hourly ET of JK was significantly higher than that of CF at specific times, i.e., 5:00, 7:00, 8:00, 9:00, 10:00, 15:00, and 16:00. Conversely, at 20:00, 22:00, and 23:00 in the first season, the hourly ET of JK was significantly lower than that of CF. In the second season, there was no significant difference in ET between JK and CF at each individual hour. The hourly ET difference reached its first extreme values of −0.0153 mm/h and 0.0426 mm/h at 9:00 and its second extreme values of 0.0214 mm/h and 0.0252 mm/h at 15:00. It is important to note that even though the time period from 11:00 to 14:00 is generally regarded as the peak of daily ET, in this study, the difference in individual hourly ET between JK and CF was not significant during this time frame.
Based on our observations, in both seasons, over 50% of the diurnal ET took place in the afternoon, specifically between 12:00 and 17:00. Nevertheless, there were notable differences in the accumulated hourly ET between JK and CF. In the second season, this accumulated difference was significant during the afternoon hours of 12:00 to 17:00, while in the first season, it was significant in the morning, from 6:00 to 11:00. A more in-depth investigation revealed that in both seasons, the majority of the daily ET occurred during the daytime. In the first season, the accumulated difference in hourly ET between JK and CF during the daytime was 0.31 mm (p < 0.05), indicating a statistically significant disparity. In the second season, this accumulated difference during the daytime was 0.05 mm (p > 0.05), suggesting no significant statistical difference. On the other hand, regarding the nighttime accumulation of hourly ET, between JK and CF, the values were 0.08 mm in the first season and −0.04 mm in the second season. These figures highlight the contrasting patterns of ET accumulation during nocturnal hours across the two seasons for the two maize varieties.
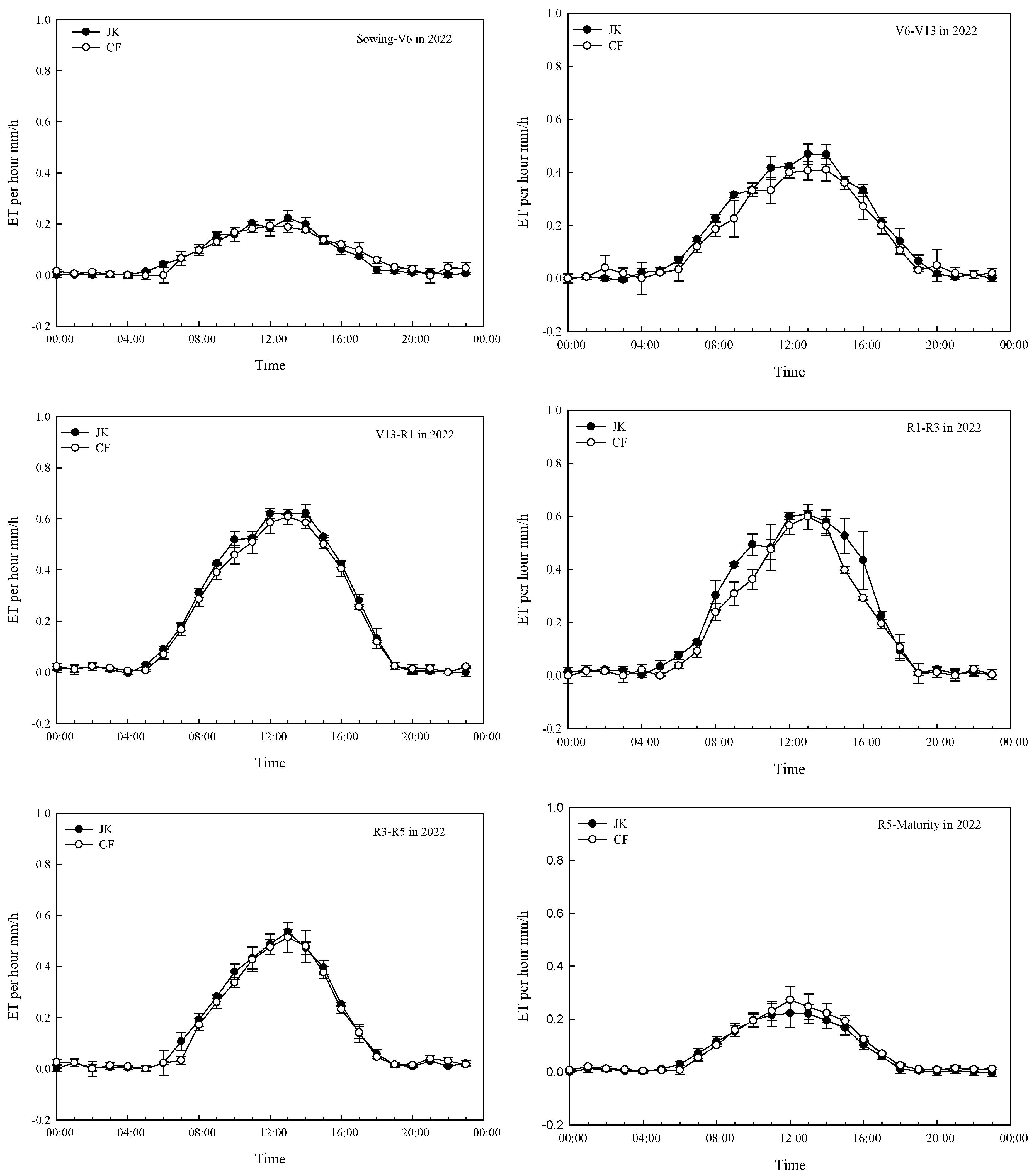
The fluctuations of hourly evapotranspiration (HET) of summer maize at various growth stages in the first and second growth seasons are illustrated in Figure 4 and Figure 5, respectively. The peak of hourly ET was more likely to occur at 11:00 and 13:00 compared to other hours. As the canopy developed, the peaks in hourly ET for both maize varieties increased. In the first growth season, for JK, it increased from 0.26 mm/h in the S–V6 stage to 0.62 mm/h in the V13–R1 stage, and for CF, it rose from 0.27 mm/h in the S–V6 stage to 0.61 mm/h in the V13–R1 stage. In the second growth season, for JK, the peak of hourly ET increased from 0.16 mm/h in the S–V6 stage to 0.61 mm/h in the R1–R3 stage, while for CF, it grew from 0.15 mm/h in the S–V6 stage to 0.61 mm/h in the R1–R3 stage. Conversely, as leaf senescence progressed, the peak of hourly ET for both maize varieties decreased. In the first growth season, for JK, it dropped from 0.62 mm/h in the R1–R3 stage to 0.22 mm/h in the R5–M stage, and for CF, it declined from 0.60 mm/h in the R1–R3 stage to 0.27 mm/h in the R5–M stage. In the second growth season, for JK, the peak of hourly ET decreased from 0.59 mm/h in the R3–R5 stage to 0.45 mm/h in the R5–M stage, and for CF, it went from 0.48 mm/h in the R3–R5 stage to 0.43 mm/h in the R5–M stage. During most growth stages, except for the final R5–Maturity stage, the peak value of hourly ET was higher in the first growth season than in the second growth season. This phenomenon might be attributed to the fact that the harvest in the second growth season occurred six days earlier.
Among all growth stages, the most significant difference in the peaks of hourly evapotranspiration (ET) between the two maize varieties showed a one-hour time-lag. In the first growth season, this difference was 0.0593 mm/h in the V6–V13 stage, while in the second growth season, it was 0.0783 mm/h in the R3–R5 stage. Notably, the maximum difference in the peak values of hourly ET was smaller than the maximum difference in hourly ET itself. In the first growth season, the largest difference in hourly ET was 0.1425 mm/h, observed at 16:00 during the R1–R3 stage; in the second growth season, it was 0.0999 mm/h, recorded at 13:00 during the R3–R5 stage. The decrease in the difference of hourly ET between maize varieties as the hourly ET increased may suggest the existence of a limit or a ceiling for the hourly ET of summer maize.
Averaged over two years, during the R1–R3 stage, there were 7 h (3:00, 5:00, 7:00, 9:00, 10:00, 15:00, and 16:00) when the hourly evapotranspiration (ET) of JK was significantly higher than that of CF. In the R3–R5 stage, this occurred for 3 h (12:00, 13:00, and 19:00). These disparities in hourly ET (HET) resulted in significant accumulated differences in HET from 12:00 to 17:00. Ultimately, this led to a significant accumulated difference in 24-h HET at both stages.
For JK and CF, the annual differences in hourly evapotranspiration (ET) were significant during the afternoon hours in various growth stages. Specifically, significant differences were observed at 13:00 and 16:00 during the Sowing–V6 stage; from 12:00 to 17:00 during the V6–V13 stage; from 13:00 to 16:00 during the V13–R1 stage; at 16:00 during the R3–R5 stage; and from 12:00 to 16:00 during the R5–Maturity stage.

3.4. Transpiration Rate at Plant Level

The transpiration rates (Tr) of summer JK and CF maize genotypes during the pre-anthesis and post-anthesis periods are depicted in Figure 6 and Figure 7. Across both developmental stages, the Tr of JK exceeded that of CF at 9:00, 10:00, 11:00, 12:00, and 15:00, whereas it was lower than that of CF at 8:00, 13:00, 14:00, and 16:00. Notably, from 9:00 to 12:00, significant disparities in Tr were observed between the two varieties. During the pre-anthesis phase, the differences were 16.8%, 31.8%, 23.0%, and 20.7% at 9:00, 10:00, 11:00, and 12:00, respectively. In the post-anthesis period, these discrepancies increased to 57.0%, 46.5%, 21.5%, and 22.2% at the corresponding hours. Additionally, at 14:00, the Tr of JK was lower than that of CF by 16.1% during pre-anthesis, while at 15:00, it was higher by 41.7% during post-anthesis.
Compared to the pre-anthesis stage, the transpiration rate (Tr) of both JK and CF maize genotypes increased significantly at each hour during the post-anthesis stage. Specifically, the diurnally averaged Tr (from 8:00 to 16:00) for JK was 5.3% higher than that of CF during the pre-anthesis stage; this margin widened to 16.0% during the post-anthesis stage. The forenoon-averaged Tr (from 8:00 to 12:00) of JK was greater than that of CF by 20.0% during the pre-anthesis stage and by 28.7% during the post-anthesis stage. Conversely, during the afternoon hours (from 13:00 to 16:00), the Tr of JK was 9.0% lower than that of CF during the pre-anthesis stage and only 1.5% higher during the post-anthesis stage. Consequently, the disparity in transpiration rates between the two maize genotypes was largely attributable to the differences that emerged during the forenoon period.

4. Discussion

Daily ET, a crucial parameter for optimizing irrigation schedules, displays pronounced spatial heterogeneity. In the present study, the observed daily ET fluctuations were consistent with the range reported for summer maize in the North China Plain [11,44]. Across most growth stages, JK, characterized by a larger canopy size, exhibited higher daily ET values. During the second growing season, the JK daily ET was marginally greater than that of CF. This was because prior to the R1 stage, the canopy sizes of the two genotypes were comparable. In contrast, during the first season, the significantly elevated JK daily ET relative to CF during the V9–R1 period was attributable to its substantially larger canopy size and leaf area index (LAI) (Figure 1). This positive correlation between daily ET and LAI underscores the pivotal role of individual canopy dimensions in modulating maize evapotranspiration processes.
Although there is limited research on the impact of individual canopy size on maize evapotranspiration, studies on the positive effect of canopy size under different planting densities on maize ET can provide valuable references. Previous research has shown that, except during the initial growth stage when canopy differences are negligible [45], higher plant densities lead to increased evapotranspiration throughout the entire growth season [46]. Notably, under medium- and high-density planting treatments, significant increases in ET occur during the V10–R1 stage, concurrently with substantial enhancements in canopy size [47]. In the present study, 48.2% of the average daily ET difference over the two growth seasons could be attributed to the significant disparity in daily ET during the R1–R3 stage. This stage is recognized as a period of high water consumption and heightened water sensitivity for maize [48]. Additionally, it is a time when the maximum difference in the LAI occurs, as the canopy, once fully developed, maintains its high transpiration and photosynthesis capabilities [49]. Our findings indicate that, despite significant LAI differences in other stages, such as V9, V13, and R3, the lack of a significant LAI difference in the R1 stage (when the annual variation in daily ET was significant for JK but not for CF) was the primary factor contributing to the temporal variation in ET. This phenomenon is observed in the North China Plain (NCP), where maize plants maintain large canopy sizes under favorable meteorological conditions for evapotranspiration, including ample radiation and sunshine duration.
The difference in LAI at the critical growth stage also had an impact on the proportion of the diurnal ET difference within the daily ET difference. Diurnal ET constitutes a major component of daily ET [50]. In the current study, diurnal ET accounted for 93.7–97.3% of the daily ET when averaged over the entire growth season (Figure 3). Consequently, it is logical that the diurnal ET difference would make up 87.2% of the daily ET difference. Nevertheless, this proportion varied significantly between the two seasons, being 24.7% and 117.1%, respectively. Based on our findings, the primary cause of this variation was the substantial disparity in diurnal ET between the two maize varieties during the R1–R3 stage in the first season. We can further infer that a reduction in the diurnal difference of hourly ET might have resulted in an increase in the nocturnal ET difference. This is because less water being consumed during the daytime implies that more available soil moisture is conserved for nighttime, and conversely, more daytime water consumption would lead to less available moisture at night.
Transpiration constitutes the predominant portion of maize evapotranspiration, accounting for 65.0%, 78.3%, 81.8%, and 50.0% during the four distinct growth stages, i.e., jointing, booting, tasseling, and filling maturity, respectively [29]. As the plant density escalated from 52,500/60,000 plants per hectare to 97,500/90,000 plants per hectare [45,51], transpiration increased correspondingly. Analogously, the individual canopy size exerts a positive influence on the hourly transpiration rate at the whole-plant level (denoted as Tr×LA). This effect is evident when averaging over the diurnal period (8:00–16:00) for both the pre-anthesis and post-anthesis stages. During the daytime, transpiration is propelled by radiative energy and evaporative demand, specifically, the vapor pressure deficit (VPD) [52]. Consequently, a larger canopy enhances the transpiration response to solar radiation. It has been widely documented that as a plant progresses in its growth, the dependence of transpiration on leaf area becomes more pronounced [53,54,55,56]. Notably, seasonal transpiration has been shown to exhibit a positive and strong correlation with the maximum LAI across various plant densities and seasons [57]. In this study, we also observed that for both maize varieties, the hourly values of Tr×LA, as well as the averages of Tr×LA for the forenoon (8:00–12:00), afternoon (13:00–16:00), and diurnal (8:00–16:00) periods, significantly increased during the post-anthesis stage when the canopy had fully developed.
Although the patterns of transpiration rate variations were comparable among maize varieties with different canopy sizes (Figure 6 and Figure 7), several notable disparities emerged: (1) JK exhibited a more rapid initiation of transpiration rate early in the morning, whereas CF had a higher final transpiration rate at 16:00; (2) There was a one-hour time lag in the occurrence of the maximum hourly ET, with JK reaching its peak at 12:00 and CF at 13:00; (3) During the afternoon, for JK, the declining transpiration rate (Tr) briefly increased at 15:00 before resuming its downward trend, a phenomenon not observed in CF. The transpiration rate, whether measured at the leaf level or calculated at the individual plant level by multiplying the leaf area, is defined as the transient transpiration rate. This rate is governed by the hydraulic conductivity at the plant–soil interface or the vapor pressure deficit under conditions of water stress [58]. For example, during the early morning hours, such as 9:00 or 10:00, the transient transpiration rate remains relatively high when the evapotranspiration demand is lower compared to that at noon [59]. Our analysis indicates that intense transpiration under a large canopy results in the rapid depletion of soil moisture. Subsequently, the reduced soil water content acts as a limiting factor for subsequent transpiration [60]. Consequently, it becomes evident that the positive impact of canopy size on transpiration is more significantly manifested in the marked difference in the average Tr during the forenoon (8:00–12:00) than during the afternoon (13:00–16:00), particularly in the significant disparities of the hourly transpiration rates over the four consecutive hours of 9:00, 10:00, 11:00, and 12:00. We hypothesize that the available water in the rhizosphere soil is sufficient to support transpiration during the forenoon. It is likely to take approximately two hours for the soil water potential to recover, either through the horizontal transfer of water from adjacent soil regions with higher water potential or through the vertical movement of water from deeper soil layers via processes such as capillarity [61,62,63]. In our view, a more in-depth analysis of the temporal dynamics of plant transpiration and its intricate coupling relationship with soil water dynamics in both horizontal and vertical directions is warranted.
However, upon examining the measurement data, we observed sporadic instances of temporal consistency between the disparity in daily ET and the difference in the product of the transpiration rate and leaf area (Tr×LA). This consistency was evident only at 10:00, 11:00, and 12:00 during the pre-anthesis stage. In this study, ET was measured at the field level, while Tr was determined at the leaf level. The process of scaling up ET from the leaf level to the plant level and then to field level is of great significance for a more comprehensive understanding of efficient water utilization in the cultivation of summer maize because it establishes a connection between transpiration and photosynthesis through stomatal movement [64,65]. Herein, Tr×LA represents a commonly employed statistical method for scaling up the representation of ET from the leaf level to the plant level. Nevertheless, this approach overlooks the variations in canopy structure and functionality, such as leaf angle, orientation, and stomatal density, among others, as well as the water transport processes within the stem. Furthermore, when attempting to scale up the representation of ET to the field level, it is essential to consider soil evaporation and the resulting spatial and temporal distribution of the soil water content.

5. Conclusions

An analysis of the pooled data unveiled the superiority of the maize variety with a large canopy size, as evidenced by the significantly higher leaf area index (LAI) of JK compared to that of CF. The R1 stage is of paramount importance in the water management of corn fields, as a larger canopy size in this stage can give rise to a substantial disparity in daily evapotranspiration (ET) between JK and CF. Notably, despite the proportion of diurnal ET within daily ET, the diurnal ET difference accounted for 24.7% and 117.1% of the daily ET difference, respectively. The difference in hourly ET diminished to nearly 0 mm/h at noon, contrasting sharply with the occurrence of the peak hourly ET. Consequently, the hourly ET difference exhibited an “increase–decrease” pattern during both the forenoon and the afternoon. In the first season, the hourly ET of JK was consistently higher than that of CF throughout the 12-h diurnal period. The inter-annual variations in the accumulated difference of hourly ET between JK and CF were analogous in the afternoon (12:00–17:00), yet the corresponding inter-annual variations diverged in the morning (6:00–11:00). The disparity in transpiration rate between the two maize varieties during the morning hours (from 9:00 to 12:00) was pronounced during the pre-anthesis stage and further widened during the post-anthesis stage. When averaged over the diurnal period (8:00–16:00), the transpiration rate (Tr) of JK was higher than that of CF for both the pre-anthesis and post-anthesis stages. Moreover, the forenoon-averaged Tr (8:00–12:00) of JK was significantly greater than that of CF. In contrast, during the afternoon (13:00–16:00), the Tr of JK was 9.0% lower than that of CF during the pre-anthesis stage and only 1.5% higher during the post-anthesis stage. In light of these findings, there is an urgent need to formulate precise farmland irrigation schedules, underpinned by water consumption data across various time scales, to address the impending water scarcity in this region. Additionally, when policymakers and agricultural producers devise plans for farmland water usage, it is imperative to take into account the factor of canopy size.

Author Contributions

Conceptualization, G.X. and X.X.; Methodology, X.L. and Z.Y.; Software, H.T.; Validation, G.X. and Z.Y.; Formal analysis, G.X., R.Z. and X.L.; Investigation, G.X.; Resources, Y.W. and X.X.; Data curation, H.T., X.L. and Z.Y.; Writing—original draft, G.X.; Writing—review & editing, X.X.; Visualization, R.Z.; Supervision, Y.W. All authors have read and agreed to the published version of the manuscript.

Funding

This research was funded by the National Natural Science Foundation of China (32101831) and the Innovative Research and Experiment Project for Young Researchers of Tianjin Academy of Agricultural Sciences (2022013).

Data Availability Statement

Data are contained within the article.

Acknowledgments

Authors are grateful to all the staff of the National Experiment Station for Precise Agriculture.

Conflicts of Interest

The authors declare no conflict of interest.

References

  1. Shan, L.; Wu, P.T.; Kang, S.Z.; Feng, H.; Zhang, S.Q. Study on agricultural water-saving countermeasures and feasibility of implementing semi-dryland farmingin the Huang-Huai-Hai Region. Chin. Eng. Sci. 2011, 13, 37–41. (In Chinese) [Google Scholar]
  2. Mei, X.R.; Kang, S.Z.; Yu, Q.; Huang, Y.F.; Zhong, X.L.; Gong, D.Z.; Huo, Z.L.; Liu, E.K. Pathways to synchronously improving crop productivity and field water use efficiency in the North China Plain. Sci. Agric. Sin. 2012, 46, 1149–1157. (In Chinese) [Google Scholar]
  3. Ding, R.; Kang, S.; Li, F.; Zhang, Y.; Tong, L.; Sun, Q. Evaluating eddy covariance method by large-scale weighing lysimeter in a maize field of northwest China. Agric. Water Manag. 2010, 98, 87–95. [Google Scholar] [CrossRef]
  4. Huang, J.; Sun, S.; Xue, Y.; Zhang, J. Changing characteristics of precipitation during 1960–2012 in Inner Mongolia, northern China. Meteorol. Atmos. Phys. 2015, 127, 257–271. [Google Scholar] [CrossRef]
  5. Liu, Y.B.; De Smedt, F. Flood modeling for complex terrain using GIS and remote sensed information. Water Resour. Manage. 2005, 19, 605–624. [Google Scholar] [CrossRef]
  6. Ren, P.; Rossi, S.; Gricar, J.; Liang, E.; Cufar, K. Is precipitation a trigger for the onset of xylogenesis in Juniperus przewalskii on the north-eastern Tibetan Plateau? Ann. Bot. 2015, 115, 629–639. [Google Scholar] [CrossRef] [PubMed]
  7. Sun, H.; Shen, Y.; Yu, Q.; Flerchinger, G.N.; Zhang, Y.; Liu, C.; Zhang, X. Effect of precipitation change on water balance and WUE of the winter wheat–summer maize rotation in the North China Plain. Agric. Water Manag. 2010, 97, 1139–1145. [Google Scholar] [CrossRef]
  8. De Fraiture, C.; Wichelns, D. Satisfying future water demands for agriculture. Agric. Water Manag. 2010, 97, 502–511. [Google Scholar] [CrossRef]
  9. Ding, R.S.; Kang, S.Z.; Zhang, Y.Q.; Hao, X.M.; Tong, L.; Du, T.S. Partitioning evapotranspiration into soil evaporation and transpiration using a modified dual crop coefficient model in irrigated maize field with ground-mulching. Agric. Water Manag. 2012, 127, 85–96. [Google Scholar] [CrossRef]
  10. Wada, Y.; Flörke, M.; Hanasaki, N.; Eisner, S.; Fischer, G.; Tramberend, S.; Satoh, Y.; Van Vliet, M.T.H.; Yillia, P.; Ringler, C.J.G.M.D.; et al. Modeling global water use for the 21st century: The Water Futures and Solutions (WFaS) initiative and its approaches. Geosci. Model Dev. 2016, 9, 175–222. [Google Scholar] [CrossRef]
  11. Liu, C.M.; Zhang, X.Y.; Zhang, Y.Q. Determination of daily evaporation and evapotranspiration of winter wheat and maize by large-scale weighting lysimeter and macro-lysimeter. Agric. For. Meteorol. 2002, 111, 109–120. [Google Scholar] [CrossRef]
  12. Kang, S.; Gu, B.; Du, T.; Zhang, J. Crop coefficient and ratio of transpiration to evapotranspiration of winter wheat and maize in a semi-humid region. Agric. Water Manag. 2003, 59, 239–254. [Google Scholar] [CrossRef]
  13. Cammalleri, C.; Anderson, M.C.; Gao, F.; Hain, C.R.; Kustas, W.P. A data fusion approach for mapping daily evapotranspiration at field scale. Water Resour. Res. 2013, 49, 4672–4686. [Google Scholar] [CrossRef]
  14. Ma, Y.; Liu, S.; Song, L.; Xu, Z.; Liu, Y.; Xu, T.; Zhu, Z. Estimation of daily evapotranspiration and irrigation water efficiency at a Landsat-like scale for an arid irrigation area using multi-source remote sensing data. Remote Sens. Environ. 2018, 216, 715–734. [Google Scholar] [CrossRef]
  15. Ranatunga, K. Soil-tree-atmosphere water relations. In Atmospheric Model Applications; Bureau of Metorology: Cranberra, Australia, 2012; pp. 157–194. [Google Scholar]
  16. Tognetti, R.; Giovannelli, A.; Lavini, A.; Morelli, G.; Fragnito, F.; d’Andria, R. Assessing environmental controls over conductances through the soil–plant–atmosphere continuum in an experimental olive tree plantation of southern Italy. Agric. For. Meteorol. 2009, 149, 1229–1243. [Google Scholar] [CrossRef]
  17. Baguis, P.; Roulin, E.; Willems, P.; Ntegeka, V. Climate change scenarios for precipitationand potential evapotranspiration over central Belgium. Theor. Appl. Climatol. 2010, 99, 273–286. [Google Scholar] [CrossRef]
  18. Harmsen, E.W.; Miller, N.L.; Schlegel, N.J.; Gonzalez, J.E. Seasonal climate change impacts on evapotranspiration, precipitation deficit and crop yield in Puerto Rico. Agric. Water Manag. 2009, 96, 1085–1095. [Google Scholar] [CrossRef]
  19. Liang, L.; Li, L.; Liu, Q. Temporal variation of reference evapotranspiration during 1961–2005 in the Taoer River basin of Northeast China. Agric. For. Meteorol. 2010, 150, 298–306. [Google Scholar] [CrossRef]
  20. Zhang, X.Y.; Chen, S.Y.; Sun, H.Y.; Shao, L.W.; Wang, Y.Z. Changes in evapotranspiration over irrigated winter wheat and maize in North China Plain over three decades. Agric. Water Manag. 2011, 98, 1097–1104. [Google Scholar] [CrossRef]
  21. Galleguillos, M.; Jacob, F.; Prévot, L.; Faúndez, C.; Bsaibes, A. Estimation of actual evapotranspiration over a rainfed vineyard using a 1-D water transfer model: A case study within a Mediterranean watershed. Agric. Water Manag. 2017, 184, 67–76. [Google Scholar] [CrossRef]
  22. Valipour, M. Analysis of potential evapotranspiration using limited weather data. Appl. Water Sci. 2017, 7, 187–197. [Google Scholar] [CrossRef]
  23. Allen, R.G.; Pereira, L.S.; Raes, D.; Smith, M. Crop Evapotranspiration: Guidelines for Computing Crop Water Requirements. In FAO Irrigation and Drainage; Paper 56; FAO: Rome, Italy, 1998; p. 56. [Google Scholar]
  24. Hatfield, J.L.; Sauer, T.J.; Prueger, J.H. Managing soils to achieve greater water use efficiency. Agron. J. 2001, 93, 271–280. [Google Scholar] [CrossRef]
  25. Tan, C.S.; Drury, C.F.; Gaynor, J.D.; Welacky, T.W.; Reynolds, W.D. Effect of tillage and water table control on evapotranspiration, surface runoff, tile drainage and soil water content under maize on a clay loam soil. Agric. Water Manag. 2002, 54, 173–188. [Google Scholar] [CrossRef]
  26. Salem, H.M.; Valero, C.; Muñoz, M.Á.; Rodríguez, M.G.; Silva, L.L. Short-term effects of four tillage practices on soil physical properties, soil water potential, and maize yield. Geoderma. 2015, 237, 60–70. [Google Scholar] [CrossRef]
  27. Tao, Z.; Li, C.; Li, J.; Ding, Z.S.; Xu, J.; Sun, X.F.; Zhou, P.L.; Zhao, M. Tillage and straw mulching impacts on grain yield and water use efficiency of spring maize in Northern Huang–Huai–Hai Valley. Crop J. 2015, 3, 445–450. [Google Scholar] [CrossRef]
  28. Li, S.X.; Wang, Z.H.; Li, S.Q.; Gao, Y.J.; Tian, X.H. Effect of plastic sheet mulch, wheat straw mulch, and maize growth on water loss by evaporation in dryland areas of China. Agric. Water Manag. 2012, 116, 39–49. [Google Scholar] [CrossRef]
  29. Zhang, S.; Sadras, V.; Chen, X.; Zhang, F.S. Water use efficiency of dryland maize in the Loess Plateau of China in response to crop management. Field Crops Res. 2014, 163, 55–63. [Google Scholar] [CrossRef]
  30. Xu, X.; Sun, C.; Qu, Z.Y.; Huang, Q.Z.; Ramos, T.B.; Huang, G.H. Groundwater recharge and capillary rise in irrigated areas of the upper Yellow River basin assessed by an agro-hydrological mode. Irrig. Drain. 2015, 64, 587–599. [Google Scholar] [CrossRef]
  31. Adamtey, N.; Cofie, O.; Ofosu-Budu, K.G.; Ofosu-Anim, J.; Laryea, K.B.; Forster, D. Effect of N-enriched co-compost on transpiration efficiency and water-use efficiency of maize (Zea mays L.) under controlled irrigation. Agric. Water Manag. 2010, 97, 995–1005. [Google Scholar] [CrossRef]
  32. Stumpp, C.; Stichler, W.; Kandolf, M.; Imneka, J. Effects of land cover and fertilization method on water flow and solute transport in five lysimeters: A long-term study using stable water isotopes. Vadose Zone J. 2013, 11, vzj2011-0075. [Google Scholar] [CrossRef]
  33. Kitonyo, O.M.; Sadras, V.O.; Yi, Z.; Denton, M.D. Nitrogen supply and sink demand modulate the patterns of leaf senescence in maize. Field Crops Res. 2018, 225, 92–103. [Google Scholar] [CrossRef]
  34. Lv, L.H.; Zhao, M.; Zhao, J.R.; Tao, H.B.; Wang, P. Canopy structure andphotosynthesis of summer maize under different nitrogen fertilizerapplication rates. Sci. Agric. Sin. 2008, 41, 2624–2632. (In Chinese) [Google Scholar]
  35. Li, S.X.; Wang, Z.H.; Li, S.Q.; Gao, Y.J. Effect of nitrogen fertilization under plastic mulched and non-plastic mulched conditions on water use by maize plants in dryland areas of China. Agric. Water Manag. 2015, 162, 15–32. [Google Scholar] [CrossRef]
  36. Rudnick, D.R.; Irmak, S. Impact of nitrogen fertilizer on maize evapotranspiration crop coefficients under fully irrigated, limited irrigation, and rainfed settings. J. Irrig. Drain. Eng. 2014, 140, 04014039. [Google Scholar] [CrossRef]
  37. Lenka, S.; Singh, A.K.; Lenka, N.K. Water and nitrogen interaction on soil profile water extraction and ET in maize–wheat cropping system. Agric. Water Manag. 2009, 96, 195–207. [Google Scholar] [CrossRef]
  38. Payero, J.O.; Tarkalson, D.D.; Irmak, S.; Davison, D.; Petersen, J.L. Effect of irrigation amounts applied with subsurface drip irrigation on corn evapotranspiration, yield, water use efficiency, and dry matter production in a semiarid climate. Agric. Water Manag. 2008, 95, 895–908. [Google Scholar] [CrossRef]
  39. Zhang, Y.; Kendy, E.; Qiang, Y.; Shao, L.W.; Wang, Y.Z. Effect of soil water deficit on evapotranspiration, crop yield, and water use efficiency in the North China Plain. Agric. Water Manag. 2004, 64, 107–122. [Google Scholar] [CrossRef]
  40. Irmak, S.; Djaman, K.; Rudnick, D.R. Effect of full and limited irrigation amount and frequency on subsurface drip-irrigated maize evapotranspiration, yield, water use efficiency and yield response factors. Irrig. Sci. 2016, 34, 271–286. [Google Scholar] [CrossRef]
  41. Payero, J.O.; Tarkalson, D.D.; Irmak, S.; Davison, D.; Petersen, J.L. Effect of timing of a deficit-irrigation allocation on corn evapotranspiration, yield, water use efficiency and dry mass. Agric. Water Manag. 2009, 96, 1387–1397. [Google Scholar] [CrossRef]
  42. Xu, G.P.; Xue, X.Z.; Wang, P.; Yang, Z.S.; Yuan, W.Y.; Liu, X.F.; Lou, C.J. A lysimeter study for the effects of different canopy sizes on evapotranspiration and crop coefficient of summer maize. Agric. Water Manag. 2018, 208, 1–6. [Google Scholar] [CrossRef]
  43. Sezer, I.; Oner, F.; Mut, Z. Non-destructive leaf area measurement in maize (Zea mays L.). J. Environ. Biol. 2009, 30, 785–790. [Google Scholar] [PubMed]
  44. Liu, Y.J.; Luo, Y.A. A consolidated evaluation of the FAO-56 dual crop coefficient approach using the lysimeter data in the North China Plain. Agric. Water Manag. 2010, 97, 31–40. [Google Scholar] [CrossRef]
  45. Chen, Z.J.; Sun, S.J.; Zhu, Z.C.; Jiang, H.; Zhang, X.D. Assessing the effects of plant density and plastic film mulch on maize evaporation and transpiration using dual crop coefficient approach. Agric. Water Manag. 2019, 225, 105765. [Google Scholar] [CrossRef]
  46. Jiang, X.L.; Kang, S.Z.; Tong, L.; Li, F.S.; Ding, R.S.; Qiu, R. Crop coefficient and evapotranspiration of grain maize modified by planting density in an arid region of northwest China. Agric. Water Manag. 2014, 142, 135–143. [Google Scholar] [CrossRef]
  47. Wang, Q.M.; Fan, Z.L.; Zhao, Y.H.; Yin, W.; Chai, Q. Effect of Planting Density on Water Consumption Characteristics of Maize in Oasis Irrigation Area. Acta Agron. Sin. 2017, 43, 1347–1356. [Google Scholar] [CrossRef]
  48. Wang, F.; Xiao, J.F.; Ming, B.; Xie, R.Z.; Wang, K.R.; Hou, P.; Liu, G.Z.; Zhang, G.Q.; Chen, J.L.; Liu, W.M.; et al. Grain yields and evapotranspiration dynamics of drip-irrigated maize under high plant density across arid to semi-humid climates. Agric. Water Manag. 2021, 247, 106726. [Google Scholar] [CrossRef]
  49. Li, J.; Xie, R.Z.; Wang, K.R.; Hou, P.; Li, S.K. Response of canopy structure, light interception and grain yield to plant density in maize. J. Agric. Sci. 2018, 156, 785–794. [Google Scholar] [CrossRef]
  50. Irmak, S. Dynamics of nocturnal, daytime, and sum-of-hourly evapotranspiration and other surface energy fluxes over nonstressed maize canopy. J. Agric. Sci. 2011, 137, 475–490. [Google Scholar] [CrossRef]
  51. Ren, X.M.; Sun, D.B.; Wang, Q.S. Modeling the effects of plant density on maize productivity and water balance in the Loess Plateau of China. Agric. Water Manag. 2016, 171, 40–48. [Google Scholar] [CrossRef]
  52. Kukal, M.S.; Irmak, S.; Clothier, B.E.; Dierickx, W.; Oster, J.; Wichelns, D. Nocturnal transpiration in field crops: Implications for temporal aggregation and diurnal weighing of vapor pressure deficit. Agric. Water Manag. 2022, 266, 107578. [Google Scholar] [CrossRef]
  53. Basso, B.; Ritchie, J.T. Assessing the impact of management strategies on water use efficiency using soil–plant–atmosphere models. Vadose Zone J. 2015, 11, vzj2011-0173. [Google Scholar]
  54. Herbst, M.; Kappen, L.; Thamm, F.; Vanselow, R. Simultaneous measurements of transpiration, soil evaporation and total vaporation in a maize field in Germany. J. Exp. Bot. 1996, 47, 1957–1962. [Google Scholar] [CrossRef]
  55. Steduto, P.; Hsiao, T.C. Maize canopies under two soil water regimes II. Seasonal trends of evapotranspiration, carbon dioxide assimilation and canopy conductance, and as related to leaf area index. Agric. For. Meteorol. 1998, 89, 185–200. [Google Scholar] [CrossRef]
  56. Villalobos, F.J.; Fereres, E. Evaporation measurements beneath corn, cotton and sunflower canopies. Agron. J. 1990, 82, 1153–1159. [Google Scholar] [CrossRef]
  57. Hernández, M.D.; Alfonso, C.; Echarte, M.M.; Cerrudo, A.; Echarte, L. Maize transpiration efficiency increases with n supply or higher plant densities. Agric. Water Manag. 2021, 250, 106816. [Google Scholar] [CrossRef]
  58. Hayat, F.; Ahmed, M.A.; Zarebanadkouki, M.; Javaux, M.; Carminati, A. Transpiration reduction in maize (Zea mays L.) in response to soil drying. Front. Plant Sci. 2019, 10, 1695. [Google Scholar] [CrossRef]
  59. Wu, Y.Z.; Huang, M.B.; Warrington, D.N. Growth and transpiration of maize and winter wheat in response to water deficits in pots and plots. Environ. Exp. Bot. 2011, 71, 65–71. [Google Scholar] [CrossRef]
  60. Novák, V.; Hurtalová, T.; Matejka, F. Predicting the effects of soil water content and soil water potential on transpiration of maize. Agric. Water Manag. 2005, 76, 211–223. [Google Scholar] [CrossRef]
  61. Ramos, T.B.; Simionesei, L.; Jauch, E.; Almeida, C.; Neves, R. Modelling soil water and maize growth dynamics influenced by shallow groundwater conditions in the sorraia valley region, Portugal. Agric. Water Manag. 2017, 185, 27–42. [Google Scholar] [CrossRef]
  62. Wang, X.W.; Guan, H.D.; Huo, Z.L.; Guo, P.; Du, J.L.; Wang, W.S. Maize transpiration and water productivity of two irrigated fields with varying groundwater depths in an arid area. Agric. For. Meteorol. 2020, 281, 107849. [Google Scholar] [CrossRef]
  63. Wu, Y.; Liu, T.; Paredes, P.; Duan, L.; Pereira, L.S. Water use by a groundwater dependent maize in a semi-arid region of inner mongolia: Evapotranspiration partitioning and capillary rise. Agric. Water Manag. 2015, 152, 222–232. [Google Scholar] [CrossRef]
  64. Jones, H.G. Stomatal control of photosynthesis and transpiration. J. Exp. Bot. 1998, 49, 387–398. [Google Scholar] [CrossRef]
  65. Katul, G.; Manzoni, S.; Palmroth, S. A stomatal optimization theory to describe the effects of atmospheric CO2 on leaf photosynthesis and transpiration. Ann. Bot. 2010, 105, 431–442. [Google Scholar] [CrossRef] [PubMed]
Figure 1. Leaf area index (LAI) of two summer maize varieties during two growth seasons.
Figure 1. Leaf area index (LAI) of two summer maize varieties during two growth seasons.
Water 17 01521 g001
Figure 2. Averaged daily ET of summer maize in two growth seasons.
Figure 2. Averaged daily ET of summer maize in two growth seasons.
Water 17 01521 g002
Figure 3. Hourly ET averaged for total growth season of summer maize in different seasons.
Figure 3. Hourly ET averaged for total growth season of summer maize in different seasons.
Water 17 01521 g003
Figure 4. Hourly ET averaged for total growth season of summer maize in the first growth season.
Figure 4. Hourly ET averaged for total growth season of summer maize in the first growth season.
Water 17 01521 g004
Figure 5. Hourly ET averaged for total growth season of summer maize in the second growth season.
Figure 5. Hourly ET averaged for total growth season of summer maize in the second growth season.
Water 17 01521 g005
Figure 6. Leaf transpiration rate during the pre−anthesis period.
Figure 6. Leaf transpiration rate during the pre−anthesis period.
Water 17 01521 g006
Figure 7. Leaf transpiration rate during the post−anthesis period.
Figure 7. Leaf transpiration rate during the post−anthesis period.
Water 17 01521 g007
Table 1. Environmental parameters averaged for the growing season.
Table 1. Environmental parameters averaged for the growing season.
Environmental Parameter20222023
Air temperature (°C)23.923.8
Relative humidity (%)70.669.6
Solar radiation (W/m2)181.3187.5
Precipitation (mm/day)3.14.1
Sun duration (h)5.06.4
Wind speed (m/s)0.60.9
Disclaimer/Publisher’s Note: The statements, opinions and data contained in all publications are solely those of the individual author(s) and contributor(s) and not of MDPI and/or the editor(s). MDPI and/or the editor(s) disclaim responsibility for any injury to people or property resulting from any ideas, methods, instructions or products referred to in the content.

Share and Cite

MDPI and ACS Style

Xu, G.; Tong, H.; Zhang, R.; Lu, X.; Yang, Z.; Wang, Y.; Xue, X. A Comparison of Daily and Hourly Evapotranspiration and Transpiration Rate of Summer Maize with Contrast Canopy Size. Water 2025, 17, 1521. https://doi.org/10.3390/w17101521

AMA Style

Xu G, Tong H, Zhang R, Lu X, Yang Z, Wang Y, Xue X. A Comparison of Daily and Hourly Evapotranspiration and Transpiration Rate of Summer Maize with Contrast Canopy Size. Water. 2025; 17(10):1521. https://doi.org/10.3390/w17101521

Chicago/Turabian Style

Xu, Gaoping, Hui Tong, Rongxue Zhang, Xin Lu, Zhaoshun Yang, Yi Wang, and Xuzhang Xue. 2025. "A Comparison of Daily and Hourly Evapotranspiration and Transpiration Rate of Summer Maize with Contrast Canopy Size" Water 17, no. 10: 1521. https://doi.org/10.3390/w17101521

APA Style

Xu, G., Tong, H., Zhang, R., Lu, X., Yang, Z., Wang, Y., & Xue, X. (2025). A Comparison of Daily and Hourly Evapotranspiration and Transpiration Rate of Summer Maize with Contrast Canopy Size. Water, 17(10), 1521. https://doi.org/10.3390/w17101521

Note that from the first issue of 2016, this journal uses article numbers instead of page numbers. See further details here.

Article Metrics

Back to TopTop