Abstract
The quality of shallow groundwater in agricultural areas is being increasingly threatened by nitrogen pollution. However, the complex interactions between natural and anthropogenic sources remain insufficiently studied. In this study, the water chemical characteristics and nitrogen pollution sources in key agricultural areas and counties of the Yangtze River Basin were systematically investigated. Forty-three groundwater samples were analyzed for major ions and nitrides (NH4+, NO2−, NO3−) using hydrogeochemical analysis, spatial interpolation, and positive matrix factorization (PMF) models. The shallow groundwater in the study area is weakly alkaline (pH 7.36) and is dominated by calcium ions (mean 112.67 mg/L) and bicarbonate (mean 361.95 mg/L), which reveals that the hydrogeochemical characteristics are dominated by carbonate. The total hardness has increased, and the nitrogen concentration exhibits significant spatial variability. Nitrates (NO3−) exceed safety thresholds across the entire region and are strongly correlated with Cl−. The PMF analysis identified the following four major pollution factors: Factor 1 represents a combination of anthropogenic pollution and natural processes; Factor 2 is attributed to agricultural fertilizer application and septic tank leakage; Factor 3 is sourced from the weathering of carbonates and the decomposition of organic matter in a reducing environment; and Factor 4 is due to the leakage of domestic sewage or livestock-derived wastewater. Spatial analysis revealed pollution hotspots in the vicinity of urban, agricultural, and livestock areas. This study emphasizes that human activities, such as over-fertilization and inadequate wastewater management, are the main contributors to groundwater nitrogen pollution in the study area. In addition, we compare the groundwater quality of the entire Yangtze River Basin and find that there are distinct regional variations.
1. Introduction
Groundwater is the largest freshwater reservoir on Earth, critical for sustaining agriculture, industry, and domestic water supply [1,2,3]. Its hydrochemical composition archives geological processes, hydrodynamic interactions, and anthropogenic influences [3]. In agro-intensive regions, shallow groundwater quality directly impacts socioeconomic stability and public health [1]. However, anthropogenic activities—excessive nitrogen fertilization, intensive livestock farming, and rapid urbanization—have induced widespread nitrogen contamination in shallow aquifers [4]. Elevated concentrations of nitrate (NO3−), ammonium (NH4+), and nitrite (NO2−)—collectively termed “three nitrogen”—pose a triple threat. Groundwater nitrogen leaching drives ecological damage (e.g., eutrophication) and increases human health risks, including methemoglobinemia and carcinogenic potential [5]. Therefore, systematic hydrochemical characterization of groundwater, including the “three nitrogen”, is essential.
Although traditional hydrogeochemical methods and multivariate statistical tools have enhanced our understanding of groundwater quality dynamics, these methods struggle to address the high-dimensional nonlinear relationships inherent in anthropogenic influences on aquifers [6]. Emerging statistical techniques, particularly positive matrix factorization (PMF), have shown a superior ability to disentangle complex pollution sources by integrating spatiotemporal heterogeneity and measurement uncertainty [7]. However, these advanced methods remain under-utilized in key agricultural regions, which directly impacts regional water security. In this study, the Hexian area, situated in the Yangtze River Basin of Anhui Province, serves as an important agricultural production base. The quality of shallow groundwater significantly influences local economic development and residents’ livelihoods. In recent years, Anhui Province has conducted extensive environment research [8,9,10]. Nevertheless, there remains a substantial gap in the statistical analysis of the hydrochemical characteristics of shallow groundwater in the Yangtze River Basin [11,12]. Currently, the understanding of the groundwater evolution patterns in the Hexian area is inadequate. In this study, a county on the outskirts of the Yangtze River in Anhui Province was systematically investigated using mathematical statistics and factor analysis. In addition, we also conducted a comparative study on groundwater quality in the entire Yangtze River Basin. Through comprehensive analysis, the main hydrochemical controlling factors of groundwater were identified to provide a scientific basis for the rational development and sustainable utilization of local groundwater resources.
2. Study Area
The study area is situated on the northern bank of the Yangtze River in the southeastern part of Anhui Province. It has a northern, subtropical humid monsoon climate, and the annual precipitation is abundant (Figure 1). The study area falls within the Jianghuai undulating plain system, which features diverse topographic characteristics. Topographic variation is obvious across the region. The central and southeastern river plains display relatively flat terrain, whereas the western and northeastern regions are typified by elevated hilly landscapes. The geological framework of the study area is predominantly made up of Quaternary sediments, with thicknesses ranging from 20 to 60 m. It is characterized by a sedimentary sequence of clay, silty clay, silty sand, and fine-grained sand. This sedimentation pattern reflects the dynamic fluvial processes associated with the Yangtze River system and its tributaries.
Figure 1.
(a) Comparative Study of Groundwater Across Different Regions in the Yangtze River Basin; (b) Location of the study area. AQ—Anqing; BS—Baoshan; CQ—Chognqing; DT—Dongting; HX—Hexian; LS—Leshan; LZ—Luzhou; NL—Nanling; PZH—Pangzhihua; QJ—Qianjiang; SB—Sichuan Basin; TH—Taihu; WH—Wuhan; YB—Yibin; YC—Yichang; YGX—Yushu-Ganzi-Xianshuihe.
3. Materials and Methods
A total of 43 shallow groundwater samples were collected from domestic wells in rural households (Figure 1b), with each sample directly obtained from villagers’ self-used boreholes (depth: 5–15 m) using pre-cleaned 500 mL polyethylene bottles. The pH of water samples was measured using a portable multi-parameter instrument (SX731, Shanghai Sanxin Instrument Factory, Shanghai, China). Samples were collected in pre-cleaned, high-density polyethylene bottles, and were washed 3 times with water samples to be taken before sampling. Water samples for metal analysis are acidified to pH < 2.
The anions were tested using an ion chromatograph (type Metrohm 883, Herisau, Switzerland) and the cations were tested using an inductively coupled plasma emitters (type ICAP6300, Suzhou, China) [13]. The analysis error of all elements is controlled within 5%, and the test accuracy is ±0.001 mg·L−1. Twelve water chemical composition indicators (NH4+, NO2−, K+, F, NO3−, Cl−, SO42−, HCO3−, Ca2+, Na+, Mg2+, and pH) of the samples were analyzed at the Geo-Environment Monitoring Institute of Anhui Province. The detailed analysis procedure can be found in reference [14].
Statistical Product and Service Solutions (SPSS, Version IBM SPSS Statistics) and Origin software (Version 2023b) were employed for data analysis. Prior to commencing hydrochemical analysis, it was essential to organize the collected water sample data. The data of each chemical parameter of the water samples were inputted into the SPSS data editor. Each water sample was regarded as a single row record, and each chemical parameter was considered as a distinct variable column. SPSS was utilized to conduct descriptive statistical analysis, while Origin software was used to perform correlation analysis.
The PMF (EPA PMF 5.0) is a multi-factor analysis tool [15]. The most significant advantage of this method is that it does not necessitate a source profile and utilizes uncertainty to evaluate all data. The PMF model is built upon the composite data-set and determines the factors and their respective contributions through the decomposition of the original matrix [15]. The model decomposes the observed concentration matrix (X) into factor contributions (G) and source profiles (F), constrained by non-negativity, to resolve dominant pollution sources and their proportional impacts [15].
4. Results and Discussion
4.1. Characteristics and Control Factors of Groundwater Chemistry
The water chemical composition indicators of 43 groups of shallow groundwater samples in the study area were statistically analyzed (Table 1 and Supplementary Materials Table S1). The results indicated that the inland water exhibited weak alkaline pH characteristics (6.93–7.84, mean 7.36), with minimal variability (coefficient of variation, CV = 0.03). The dominant ionic compositions were calcium (Ca2+: 40.16–302.25 mg/L, mean 112.67 mg/L) and bicarbonate (HCO3−: 90.71–882.06 mg/L, mean 361.95 mg/L), reflecting a carbonate-dominated hydrogeochemical environment. Significant spatial heterogeneity was observed in contaminant parameters. Nitrate (NO3−) concentrations displayed extreme variability (0.81–137.35 mg/L, mean 34.71 mg/L, CV = 1.00), with two sampling points (HL12-03: 137.35 mg/L; HL05-2: 100.33 mg/L) exceeding the drinking water guidelines (>50 mg/L), suggesting intensive agricultural non-point source pollution. Chloride (Cl−) and sulfate (SO42−) maxima occurred at HL12-02 (528.21 mg/L) and HL07-5 (300.1 mg/L), respectively, with high overall dispersions (CV = 0.99 and 0.64), likely linked to industrial discharges or saline water intrusion. Notably, elevated ammonium (NH4+: 9.6 mg/L vs. mean 0.45 mg/L) at HL09-4, combined with sporadic nitrite (NO2−) excess (HL07-15: 1 mg/L), indicated localized organic contamination or impaired nitrification processes. These findings demonstrate that the groundwater quality in the Hexian area is influenced by both natural geochemical processes and anthropogenic activities. High-variability indicators (e.g., NO3−, Cl−) should be prioritized for pollution source tracing, while integrated regional management and long-term monitoring are essential to safeguard drinking water security.
Table 1.
Statistical results of chemical indexes of shallow groundwater of Hexian area.
4.2. Distribution Characteristics of Nitrogen in Groundwater
In order to clarify the spatial distribution of nitrogen compounds in groundwater, the Inverse Distance Weighting (IDW) method [9] in ArcGIS software (Version 10.8) was utilized to interpolate the concentrations of nitrogen compounds in groundwater, and a spatial distribution map was obtained (Figure 2). According to the groundwater standard [16], the results indicate that the NH4+ concentration, which exceeds the grade-III groundwater quality standard (with a limit of 9.6 mg/L), is mainly concentrated in the Linjiang area, southeast of Liyang Town (Figure 2a). The NO2− concentration remained below the Class-III standard threshold, with the highest observed value of 1 mg/L in the northeastern section of the study area (Figure 2b). The NO3− concentration generally exceeded the standard throughout the entire study area, with the highest concentration reaching 137.35 mg/L in the northeastern part of the study area (Figure 2c). It is worth noting that NH4+ and NO3− exhibit a significant spatial correlation, and the increase in their concentrations is concentrated in areas with intensive human activities, such as the urban periphery, agricultural irrigation areas, and animal-husbandry areas. Further analysis revealed a strong correlation between NO3−/NH4+ and Cl−, indicating the presence of anthropogenic pollution sources. These pollutants can originate from agricultural practices (such as fertilizers and pesticides) and organic waste discharges, and are subsequently transported to aquifers through surface leaching processes.
Figure 2.
Distributions of concentrations in (a) NH4+, (b) NO2−, (c) NO3− for the groundwater from the Hexian area, China.
4.3. Source of Nitrogen in Groundwater
The correlation matrix of 12 kinds of water chemistry was constructed as shown in Figure 3. Chloride ion (Cl−) is regarded as a conservative tracer in groundwater systems [17]; this is because it scarcely participates in physical, chemical, or microbial interactions and is highly mobile within aquifers [18]. Its concentration is primarily regulated by natural hydrochemical processes and anthropogenic pollution sources [19]. Thus, Cl− can serve as a reliable indicator for tracing nitrate sources. In this study, SPSS software was employed to analyze the correlation between the concentrations of NO3− and Cl− in the study area. The results indicated that NO3− was positively correlated with Cl− (Figure 3). This synergistic increase pattern strongly implies that nitrate pollution in groundwater mainly stems from domestic sewage and livestock manure [20].
Figure 3.
Pearson’s correlation coefficients for the groundwater chemistry from the Hexian area, China.
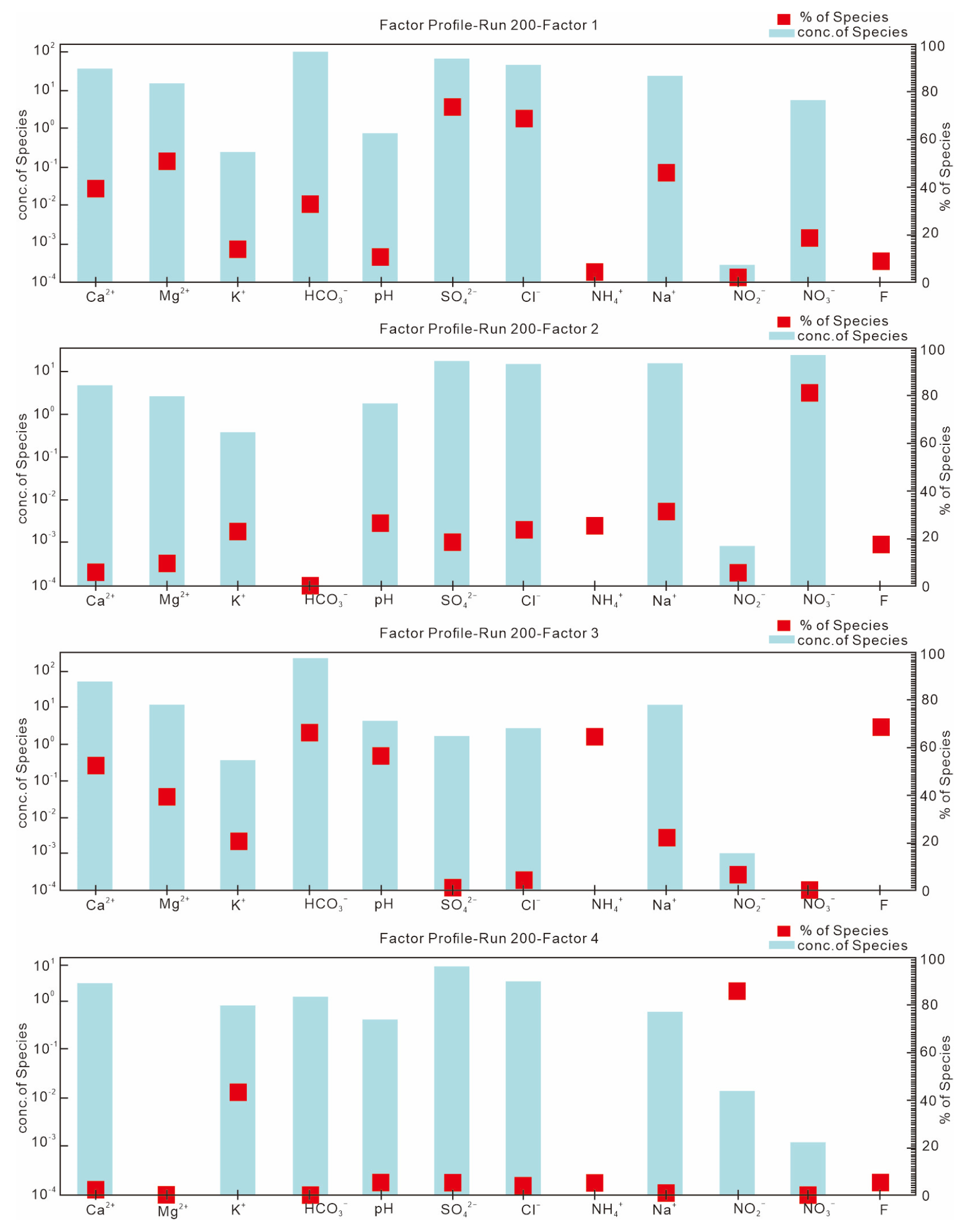
Quantitative insights regarding the sources of diverse terraform elements can be derived through PMF [7]. Building on previous hydrogeological investigations and the literature, this study anticipates three to five potential pollution sources in the study area. In the model implementation, the number of factors was set to 3, 4, and 5, respectively, with 200 iterations per setting. When the number of factors was set to 4, the difference between the q-robust and q-true values was minimized, and the residuals were predominantly in the range of −3 to 3. A strong correlation was observed between the measured and predicted values of water chemistry. This indicates that setting the number of factors to 4 in the PMF model can effectively extract the information embedded in the original data [21]. The results of the quality parameters’ factor profiles for the groundwater of the Hexian area are presented in Figure 4 and Figure 5. Elements with factor loading contributions ≥30% were classified as originating from the same source [22].
Figure 4.
Contributions of each source to quality parameters based on PMF in groundwater from the Hexian area, China.
Figure 5.
Contributions of factors to quality parameters’ factor profiles for the groundwater from the Hexian area, China.
The chemical composition of groundwater is co-influenced by natural geological processes and anthropogenic activities [23,24,25]. Specifically, intensive fertilization of farmland (e.g., nitrogen and phosphorus fertilizers) results in the infiltration of NO3−, while Na+ and K+ are associated with irrigation reflux [26,27,28]. The regional bedrock is predominantly composed of carbonate and silicate rocks, from which weathering and dissolution processes release high concentrations of ions such as Ca2+, Mg2+, and HCO3− [29,30,31,32,33,34]. Additionally, leakages from inadequately treated sewage pipelines introduce characteristic components like NO2− and K+ [35,36,37]. The assessment of underground chemical sources of interest in the region has only been conducted at a broader regional scale, rather than at a localized level [38,39,40].
Factor 1 contributed 39.6%, 51.1%, 33.1%, 74.0%, 68.8%, and 46.2% to Ca2+, Mg2+, HCO3−, SO42−, Cl−, and Na+, respectively. This factor mainly reflects the combined effects of anthropogenic pollution and natural processes. Leakage from sewage/septic tanks is the dominant source for the inputs of Cl−, SO42−, and Na+ [23]. This process may be accompanied by the decomposition of organic matter [24]. Evaporative karst decomposition, as well as the dissolution of gypsum and rock salt, contribute additional SO42− and Cl−, yet these contributions are regulated by hydrogeochemical processes such as Ca2+ precipitation and Na+ adsorption [25].
Factor 2 contributed 30.6% and 81.4% to Na and NO3−, respectively. Factor 2 predominantly reflects the nitrogen pollution in groundwater resulting from human activities. Regarding NO3−, the application of agricultural nitrogen fertilizers is the main source of input [26]. This process may be accompanied by the synergistic influence of sodium-containing fertilizers or sodium salts present in irrigation water [27]. Leakage from domestic sewage/septic tanks contributes NO3− and Na, particularly in regions with high hydrogeological permeability, such as sandy soil areas [28].
Factor 3 contributed 52.8%, 66.5%, 57.3%, 65.1%, and 68.6% to Ca, HCO3−, pH, NH4+, and F, respectively. Geochemical processes such as rock weathering and water–rock interactions facilitate the mobilization and transport of dissolved ions in groundwater systems [29,30,31]. Limestone and dolomite formations are extensively distributed [32]. Their dissolution directly contributes to the presence of HCO3− and Ca in groundwater and increases the groundwater pH [32]. Fluorapatite or fluorite associated with carbonate rocks dissolves under alkaline conditions, releasing F [33]. The enrichment of F occurs as a result of the partial precipitation of Ca, for instance, in the form of CaCO3 or CaF2 [33]. Furthermore, in cases where the aquifer represents a closed reducing environment, such as in deep groundwater or organic-rich sediments, the anaerobic decomposition of organic matter generates NH4+ [34]. This NH4+ simultaneously inhibits the nitrification process (the conversion of NH4+ to NO3−) [34].
Factor 4 contributed 43.2% and 83.6% to K and NO2−, respectively. NO2− serves as an intermediate in the nitrogen cycle [35]. It is typically generated through the incomplete oxidation of nitrogen-containing organic matter, such as feces and sewage, under hypoxic conditions or due to microbial activity [35]. Inadequate anti-seepage measures in domestic sewage fecal ponds and wastewater from livestock and poultry breeding are recognized as typical pollution sources [36]. Livestock manure and potassium-based fertilizers (e.g., potassium chloride) contain abundant potassium, which can infiltrate into groundwater along with sewage [36,37]. Consequently, the primary driver of Factor 4 is the leakage of domestic sewage or livestock-derived wastewater [36,37]. In this process, nitrogenous organic matter (e.g., manure) decomposes in an anaerobic environment, leading to the production of NO2−, concurrently with the release of K (originating from manure or organic fertilizers) [36,37]. This source accounts for both the extremely high contribution of NO2− and the substantial contribution of K, and is consistent with the common pathways of groundwater pollution [36,37].
Nitrogen stable isotope (δ15N) serves as a key fingerprint indicator for identifying “three nitrogen” pollution in groundwater [41]. Distinct human sources, including agricultural fertilizers, domestic sewage, and livestock/poultry manure, exhibit unique δ15N characteristic values [42]. In the future, through high-precision isotope combination technology, Bayesian mixed models, and the construction of regional pollution source databases, the contribution ratios of multi-source pollution can be quantitatively analyzed. This approach will break through the qualitative limitations of traditional water quality monitoring and provide new methods for precise source tracing and targeted governance.
4.4. Hydrochemical Characterization of theYangtze River Basin
The Yangtze River, recognized as the largest river in both Asia and China, and the third-longest river globally, originates from the Tanggula Mountain Range on the Qinghai-Tibet Plateau and discharges into the East China Sea. Spanning latitudes from 24°30′ N to 35°45′ N and longitudes from 90°33′ E to 122°25′ E, the Yangtze River Basin occupies 18.8% of China’s total land area. Based on distinct topographical gradients, the basin is divided into the following three major hydrological regions with west-to-east elevation declines: the Upper Reaches, Middle Reaches, and Lower Reaches (Figure 1a). This study summarized the previous groundwater data in the Yangtze River Basin, as shown in Table 2 and Figure 6, Figure 7 and Figure 8.
Table 2.
Chemical characteristics of groundwater in different areas of Yangtze River Basin.
Figure 6.
Piper diagram of groundwater chemistry in the Hexian area and Yangtze River Basin, China.
Figure 7.
Gibbs diagrams for the classified data into the respective cluster in the Hexian area and Yangtze River Basin, China.
Figure 8.
Comparison of groundwater quality from the Yangtze River Basin of China. AQ—Anqing; BS—Baoshan; CQ—Chognqing; DT—Dongting; HX—Hexian; LS—Leshan; LZ—Luzhou; NL—Nanling; PZH—Pangzhihua; QJ—Qianjiang; SB—Sichuan Basin; TH—Taihu; WH—Wuhan; YB—Yibin; YC—Yichang; YGX—Yushu-Ganzi-Xianshuihe.
The hydrochemical characteristics of groundwater in the Yangtze River Basin exhibit distinct regional variations. In the lower reaches (Taihu, Hexian, etc.), groundwater is characterized by circumneutral to weak alkaline conditions (pH 7.20–7.46) and elevated HCO3− concentrations (mean 235–882 mg/L), reflecting hydrogeochemical processes dominated by carbonate rock dissolution. In contrast, the middle reaches (Qianjiang, Wuhan, etc.) demonstrate enrichment of Cl− (maximum 1071.96 mg/L) and SO42− (maximum 1339 mg/L), likely associated with industrial wastewater discharge or saline intrusion. The upstream areas (e.g., Luzhou, Yushu-Ganzi-Xianshuihe) exhibit significant exceedances of SO42− (maximum 1339 mg/L) and Na+ (mean 206.02 mg/L), which may be attributed to sulfide oxidation, high-sodium geological substrates, and mining activities. Regional hydrochemical variations are primarily controlled by geological conditions and anthropogenic influences, with natural processes dominating in the lower reaches and intensified human disturbances observed in the middle and upper reaches.
Water quality assessments against drinking (Sj(drinking)) and irrigation (Sj(irrigating)) standards reveal significant exceedance risks in specific regions. For potable use, Cl− concentrations in mid-reach Qianjiang (maximum 1071.96 mg/L) and SO42− in upstream Luzhou (maximum 1339 mg/L) exceeded the drinking water limits by three to five times, respectively, posing potential health risks to local populations. In terms of irrigation suitability, downstream Hexian (mean HCO3− 361.95 mg/L) and mid-reach Qianjiang (mean HCO3− 710.73 mg/L) approached or exceeded the irrigation threshold (900 mg/L), indicating that long-term irrigation could induce soil salinization. Additionally, the upstream Yushu-Ganzi-Xianshuihe segment exhibited elevated Na+ (mean 206.02 mg/L) and SO42− (maximum 1339 mg/L), exceeding both drinking water (200 mg/L) and irrigation (1000 mg/L) standards, necessitating caution regarding salt accumulation and potential crop toxicity effects.
Based on regional hydrochemical characteristics, differentiated management strategies are proposed to address specific contamination risks. In the downstream areas, precision irrigation techniques and fertilizer application optimization should be implemented to mitigate HCO3− inputs from agricultural activities. In the midstream regions, stricter regulation of industrial wastewater discharge (e.g., Cl− and SO42− restrictions) is critical to prevent further contamination. Upstream areas require proactive management of acid mine drainage and enhanced monitoring of high-sodium groundwater zones. Future investigations should incorporate isotope tracers and heavy metal analysis to clarify contamination sources (e.g., whether elevated SO42− in Luzhou is linked to metalliferous mining activities) and evaluate long-term irrigation impacts on the soil–crop system. Additionally, establishing a dynamic monitoring network with early-warning capabilities will facilitate balancing water resource development and ecological protection, thereby promoting sustainable groundwater utilization in the Yangtze River Basin.
5. Conclusions
This study elucidates the hydrochemical dynamics and nitrogen contamination mechanisms in the Hexian area’s shallow groundwater. The elevated concentrations of NO3− and NH4+ in human-affected areas (such as irrigated areas and outer urban areas) are consistent with the trends of Cl−, which confirms the dominant influence of human activities. In the PMF model, four factors are identified as follows: Factor 1 mainly reflects the combined effects of anthropogenic pollution and natural processes; Factor 2 is attributed to agricultural fertilizer application and septic tank leakage; Factor 3 is the dissolution of carbonate in a reducing environment; and Factor 4 is the leakage of domestic sewage or livestock-derived wastewater. The groundwater hydrochemistry of the Yangtze River Basin exhibits distinct zonation governed by geological processes (carbonate dissolution in the lower reaches, sulfide oxidation coupled with mining activities in the upper reaches) and anthropogenic influences (industrial effluents and saline intrusion in the middle reaches), with critical water quality exceedances necessitating adaptive management strategies and targeted investigations to ensure sustainable groundwater utilization.
Supplementary Materials
The following supporting information can be downloaded at: https://www.mdpi.com/article/10.3390/w17101410/s1, Table S1: The results of chemical indexes of shallow groundwater of Hexian area.
Author Contributions
Y.X.: formal analysis, investigation, methodology, writing—original draft. L.W.: investigation, methodology. X.L.: supervision, writing—review and editing; D.Y.: investigation, writing—review and editing, funding acquisition. All authors have read and agreed to the published version of the manuscript.
Funding
This work was funded by the Research and Development Fund project of Suzhou University (2021fzji32) and the Integration and Innovation of the Precise Geological Over Detection Technology for Coal Mines Based on Artificial Inteligence (SZKJXM202309).
Data Availability Statement
The raw data supporting the conclusions of this article will be made available by the authors on request.
Acknowledgments
Sincere gratitude is extended to all co-authors for their collaborative efforts and contributions.
Conflicts of Interest
The authors declare no conflicts of interest.
References
- Gleeson, T.; Wada, Y.; Bierkens, M.F.P.; van Beek, L.P.H. Water balance of global aquifers revealed by groundwater footprint. Nature 2012, 488, 197–200. [Google Scholar] [CrossRef] [PubMed]
- Luo, W.T.; Gao, X.B.; Zhang, X. Geochemical processes controlling the groundwater chemistry and fluoride contamination in the Yuncheng Basin, China—An area with complex hydrogeochemical conditions. PLoS ONE 2018, 13, e0199082. [Google Scholar] [CrossRef] [PubMed]
- Michael, I.; Rizzo, L.; McArdell, C.S.; Manaia, C.M.; Merlin, C.; Schwartz, T.; Dagot, C.; Fatta-Kassinos, D. Urban wastewater treatment plants as hotspots for the release of antibiotics in the environment: A review. Water Res. 2013, 47, 957–995. [Google Scholar] [CrossRef] [PubMed]
- Xue, D.M.; Botte, J.; Baets, B.D. Present limitations and future prospects of stable isotope methods for nitrate source identification in surface- and groundwater. Water Res. 2009, 43, 1159–1170. [Google Scholar] [CrossRef]
- Liu, J.W.; Qiao, S.; Zhao, S.L.; Chen, H.; Wu, Y.; Li, D.H.; Liu, P.; Li, L. Quantifying the sources and health risks of groundwater nitrate via dual N-O isotopes and Monte Carlo sim-ulations in a developed planting-breeding area. Ecotoxicol. Environ. Saf. 2025, 290, 117778. [Google Scholar] [CrossRef]
- Kumar, R.; Raza, M.B.; Lenka, S.; Borah, S.; Yadav, A.K.; Yadav, D.K.; Jena, R.K.; Sarkar, D.J.; Singh, D.; Lenka, N.K.; et al. Chemometric Assessment of Anthropogenically Impacted Ancient Artificial Wetland, Bhojtal, India, for its Drinking Water Suitability and Hydrogeochemical Classification. Water Air Soil Pollut. 2025, 236, 139. [Google Scholar] [CrossRef]
- Cai, P.J.; Cai, G.Q.; Yang, J.S.; Li, X.J.; Lin, J.; Li, S.; Zhao, L. Distribution, risk assessment, and quantitative source apportionment of heavy metals in surface sediments from the shelf of the northern South China Sea. Mar. Pollut. Bull. 2023, 187, 114589. [Google Scholar] [CrossRef]
- Ding, H.Z.; Liu, J.W.; Liu, Q.; Guo, L.P.; Hang, Q.Y.; Zhang, Y.; Jia, J.R.; Tao, T.T.; Liu, Q.; Ding, C. Risk assessment and source tracing of heavy metals in major rice-producing provinces of Yangtze River Basin. J. Hazard. Mater. 2024, 480, 136206. [Google Scholar] [CrossRef]
- Chai, L.F.; Wei, L.; Cai, P.J.; Kang, J.; Zhang, Z. Risk assessment of land subsidence based on GIS in the Yongqiao area, Suzhou City, China. Sci. Rep. 2024, 14, 11377. [Google Scholar] [CrossRef]
- Zhang, X.; Ji, D.M.; Zhang, Y.; Ge, L.R.; Xu, S.W.; Peng, Y.Z.; Chen, X.Y.; Ni, J.P.; Wang, G.S.; Ma, Y.B.; et al. Effects of environmental temperature extremes exposure on sperm quality—Evidence from a prospective cohort study in Anhui Province, China. Environ. Res. 2024, 258, 119462. [Google Scholar] [CrossRef]
- Hu, M.Y.; Zhou, P.J.; Chen, C.Q. Hydro-geochemical evolution of groundwater in the central Yangtze River Basin, China. Carbonates Evaporites 2023, 38, 28. [Google Scholar] [CrossRef]
- Xiong, Y.J.; Du, Y.; Deng, Y.M.; Ma, T.; Li, D.; Sun, X.L.; Liu, G.N.; Wang, Y.X. Contrasting sources and fate of nitrogen compounds in different groundwater systems in the Central Yangtze River Basin. Environ. Pollut. 2021, 290, 118119. [Google Scholar] [CrossRef] [PubMed]
- Zhang, Q.Y.; Xu, P.P.; Qian, H. Groundwater Quality Assessment Using Improved Water Quality Index (WQI) and Human Health Risk (HHR) Evaluation in a Semi-arid Region of Northwest China. Expo. Health 2020, 12, 487–500. [Google Scholar] [CrossRef]
- Qian, J.Z.; Wang, X.X.; Ma, L.; Wang, L.P.; Liu, J.K.; Yang, Z.X. Simulation of denitrification in groundwater from Chaohu Lake Catchment, China. Water Sci. Eng. 2018, 11, 114–119. [Google Scholar] [CrossRef]
- Norris, G.; Duvall, R.; Brown, S.; Bai, S. EPA Positive Matrix Factorization (PMF) 5.0 Fundamentals and User Guide; U.S. Environmental Protection Agency: Washington, DC, USA, 2014. [Google Scholar]
- Liao, H.W.; Jiang, Z.C.; Zhou, H.; Qin, X.Q.; Huang, Q. Isotope-Based Study on Nitrate Sources in a Karst Wetland Water, Southwest China. Water 2022, 14, 1533. [Google Scholar] [CrossRef]
- Gaagai, A.; Aouissi, H.A.; Bencedira, S.; Hinge, G.; Athamena, A.; Heddam, S.; Gad, M.; Elsherbiny, O.; Elsayed, S.; Eid, M.H.; et al. Application of Water Quality Indices, Machine Learning Approaches, and GIS to Identify Groundwater Quality for Irrigation Purposes: A Case Study of Sahara Aquifer, Doucen Plain, Algeria. Water 2023, 15, 289. [Google Scholar] [CrossRef]
- Iqbal, J.; Su, C.L.; Rashid, A.; Yang, N.; Baloch, M.Y.J.; Talpur, S.A.; Ullah, Z.; Rahman, G.; Rahman, N.U.; Earjh. Hydrogeochemical Assessment of Groundwater and Suitability Analysis for Domestic and Agricultural Utility in Southern Punjab, Pakistan. Water 2021, 13, 3589. [Google Scholar] [CrossRef]
- Vasanthavigar, M.; Srinivasamoorthy, K.; Vijayaragavan, K.; Ganthi, R.R.; Chidambaram, S.; Anandhan, P.; Manivannan, R.; Vasudevan, S. Application of water quality index for groundwater quality assessment: Thirumanimuttar sub-basin, Tamilnadu, India. Environ. Monit. Assess. 2010, 171, 595–609. [Google Scholar] [CrossRef]
- Cui, R.Y.; Zhang, D.; Hu, W.L.; Zhao, X.M.; Yan, H.; Liu, G.C.; Chen, A.Q. Nitrogen in soil, manure and sewage has become a major challenge in controlling nitrate pollution in groundwater around plateau lakes, Southwest China. J. Hydrol. 2023, 620, 129541. [Google Scholar] [CrossRef]
- Guan, Q.Y.; Wang, F.F.; Xu, C.Q.; Pan, N.H.; Lin, J.K.; Zhao, R.; Yang, Y.Y.; Luo, H.P. Source apportionment of heavy metals in agricultural soil based on PMF: A case study in Hexi Corridor, northwest China. Chemosphere 2018, 193, 189–197. [Google Scholar] [CrossRef]
- Li, T.; Sun, G.H.; Yang, C.P.; Liang, K.; Ma, S.Z.; Huang, L.; Luo, W.D. Source apportionment and source-to-sink transport of major and trace elements in coastal sediments: Combining positive matrix factorization and sediment trend analysis. Sci. Total Environ. 2019, 651, 344–356. [Google Scholar] [CrossRef] [PubMed]
- Ntanganedzeni, B.; Elumalai, V.; Rajmohan, N. Coastal Aquifer Contamination and Geochemical Processes Evaluation in Tugela Catchment, South AfricaGeochemical and Statistical Approaches. Water 2018, 10, 687. [Google Scholar] [CrossRef]
- Ji, Y.F.; Dong, C.X.; Kong, D.A.; Lu, J.H. New insights into atrazine degradation by cobalt catalyzed peroxymonosulfate oxidation: Kinetics, reaction products and transformation mechanisms. J. Hazard. Mater. 2015, 285, 491–500. [Google Scholar] [CrossRef] [PubMed]
- Gong, X.H.; Zhou, Z.F.; Su, D.; Dong, H.; Yan, L.H.; Ding, S.J.; Wang, X.D.; Zhang, Y. Sulfur-oxygen isotope analysis of SO42− sources in cave dripwater and their influence on the karst carbon cycle. Environ. Res. 2024, 240, 117508. [Google Scholar] [CrossRef]
- Ju, X.T.; Kou, C.L.; Zhang, F.S.; Christie, P. Nitrogen balance and groundwater nitrate contamination: Comparison among three intensive cropping systems on the North China Plain. Environ. Pollut. 2006, 143, 117–125. [Google Scholar] [CrossRef]
- Subramani, T.; Elango, L.; Damodarasamy, S. Groundwater quality and its suitability for drinking and agricultural use in Chithar River Basin, Tamil Nadu, India. Environ. Geol. 2005, 47, 1099–1110. [Google Scholar] [CrossRef]
- Shan, Q.; Tian, X.Z.; Xie, H.; Gong, Z.Q.; Lin, Y.S.; Dang, Z.W.; Li, J.; Zou, S.Z.; Zhu, T.L. Hydrogeochemical characteristics, driving factors, and health risk assessment of karst groundwater in Southwest Hubei Province, China. Water Environ. Res. 2024, 96, E11069. [Google Scholar] [CrossRef]
- Cai, P.J.; Lian, D.Y.; Aitchison, J.C.; Cluzel, D.; Zhou, R.J.; Rui, H.C.; Bo, R.Z.; Ma, H.T.; Yang, J.S.; Masoud, A.E. Geochemical constraints on subduction-related mantle metasomatism of the Tiébaghi ophiolitic lherzolite in New Caledonia. Lithos 2025, 496–497, 107948. [Google Scholar] [CrossRef]
- Cai, P.J.; Ma, X.H. Metallogenic regularity and main research progress of cobalt and nickel deposits in China. J. Geochem. Explor. 2024, 266, 107574. [Google Scholar] [CrossRef]
- Chen, X.; Jiang, S.Y.; Palmer, M.R.; Schertl, H.P.; Cambeses, A.; Hernández-Uribe, D.; Zhao, K.D.; Lin, C.G.; Zheng, Y.Y. Tourmaline chemistry, boron, and strontium isotope systematics trace multiple melt–fluid–rock interaction stages in deeply subducted continental crust. Geochim. Cosmochim. Acta 2023, 340, 120–140. [Google Scholar] [CrossRef]
- Jiang, Y.J.; Wu, Y.X.; Groves, C.; Yuan, D.X.; Kambesis, P. Natural and anthropogenic factors affecting the groundwater quality in the Nandong karst underground river system in Yunan, China. J. Contam. Hydrol. 2009, 109, 49–61. [Google Scholar] [CrossRef] [PubMed]
- Raj, D.; Shaji, E. Fluoride contamination in groundwater resources of Alleppey, southern India. Geosci. Front. 2016, 8, 117–124. [Google Scholar] [CrossRef]
- Istok, J.D.; Senko, J.M.; Krumholz, L.R.; Watson, D.; Bogle, M.A.; Peacock, A.; Chang, Y.J.; White, D.C. In situ bioreduction of technetium and uranium in a nitrate-contaminated aquifer. Environ. Sci. Technol. 2004, 38, 468–475. [Google Scholar] [CrossRef] [PubMed]
- Wu, J.H.; Sun, Z.C. Evaluation of Shallow Groundwater Contamination and Associated Human Health Risk in an Alluvial Plain Impacted by Agricultural and Industrial Activities, Mid-west China. Expo. Health 2016, 8, 311–329. [Google Scholar] [CrossRef]
- Gupta, A.B.; Gupta, S.K. Simultaneous carbon and nitrogen removal from high strength domestic wastewater in an aerobic RBC biofilm. Water Res. 2001, 35, 1714–1722. [Google Scholar] [CrossRef]
- Zhai, Y.Z.; Zhao, X.B.; Teng, Y.G.; Li, X.; Zhang, J.J.; Wu, J.; Zuo, R. Groundwater nitrate pollution and human health risk assessment by using HHRA model in an agricultural area, NE China. Ecotoxicol. Environ. Saf. 2017, 137, 130–142. [Google Scholar] [CrossRef]
- Zhou, T.F.; Fan, Y.; Yuan, F.; Cooke, D.; Zhang, X.; Li, L.J. A preliminary investigation and evaluation of the thallium environmental impacts of the unmined Xiangquan thallium-only deposit in Hexian, China. Environ. Geol. 2007, 54, 131–145. [Google Scholar] [CrossRef]
- Qian, J.Z.; Wang, L.L.; Liu, Y.; Wu, B.R.; Wang, X.M. Distribution of nitrate and its implication for the contaminant source in groundwater of Huaibei Plain, Anhui Province. Geosci. J. 2015, 19, 537–545. [Google Scholar] [CrossRef]
- Wang, D.J.; Qian, J.Z.; Zhao, W.D.; Hou, X.L.; Wang, W.; Ma, L. Distribution characteristics and processes along flow paths of shallow groundwater in the Tan-Lu fault zone in Anhui province, China. Geosci. J. 2022, 26, 529–543. [Google Scholar] [CrossRef]
- Yu, L.; Zheng, T.Y.; Zheng, X.L.; Hao, Y.J.; Yuan, R.Y. Nitrate source apportionment in groundwater using Bayesian isotope mixing model based on nitrogen isotope fractionation. Sci. Total Environ. 2020, 718, 137242. [Google Scholar] [CrossRef]
- Mattern, S.; Sebilo, M.; Vanclooster, M. Identification of the nitrate contamination sources of the Brusselian sands groundwater body (Belgium) using a dual-isotope approach. Isot. Environ. Health Stud. 2011, 47, 297–315. [Google Scholar] [CrossRef] [PubMed]
- Chen, Z.; Zhou, Q.; Lv, J.; Jiang, Y.; Yang, H.; Shen, R. Assessment of Groundwater Quality Using APCS-MLR Model: A Case Study in the Pilot Promoter Region of Yangtze River Delta Integration Demonstration Zone, China. Water 2023, 15, 225. [Google Scholar] [CrossRef]
- Chen, Q.H.; Su, X.S.; Wang, S.X.; Zheng, S.D.; Li, Y.F. Hydrochemical Characteristics and Evolution of Groundwater in the Alluvial Plain (Anqing Section) of the Lower Yangtze River Basin: Multivariate Statistical and Inversion Model Analyses. Water 2021, 13, 2403. [Google Scholar] [CrossRef]
- Yan, M.J.; Wang, L.; Wang, Q.; Liu, Z.P. Hydrochemical Characteristics and Origin Analysis of Groundwater in Nanling County, Anhui Province. Water 2024, 16, 1579. [Google Scholar] [CrossRef]
- Yan, Z.Q.; Zhou, H. Hydrochemical Characteristics of Karst Groundwater Systemon the South Bank of the Yangtze River in Yichang. Saf. Environ. Eng. 2022, 29, 139–148. [Google Scholar]
- Zhang, Y.; Hu, Y.P.; Tao, L.; Zhou, F.; Yang, Q.X.; Liu, L.; Wu, B.; Liao, M.F. Hydrochemical characteristic and formation mechanism in the Yangtze River Demonstration District, Wuhan City. Acta Sci. Circumstantiae 2021, 41, 1022–1030. [Google Scholar]
- Zhou, J.; Du, Y.; Deng, Y.M.; Tao, Y.Q.; Leng, Z.C.; Ma, T.; Wang, Y.X. Source identification of groundwater phosphorus under different geological settings in the central Yangtze River basin. J. Hydrol. 2022, 612, 128169. [Google Scholar] [CrossRef]
- Liang, Y.; Ma, R.; Wang, Y.X.; Wang, S.; Qu, L.; Wei, W.H. Hydrogeological controls on ammonium enrichment in shallow groundwater in the central Yangtze River Basin. Sci. Total Environ. 2020, 741, 140350. [Google Scholar] [CrossRef]
- Qi, T.; Yang, P.H.; Groves, C.; Chen, F.; Xie, G.W.; Zhan, Z.J. Natural and anthropogenic factors affecting geochemistry of the Jialing and Yangtze Rivers in urban Chongqing, SW China. Appl. Geochem. 2018, 98, 448–458. [Google Scholar]
- Duan, X.C.; Sun, Z.G.; Li, S.H.; Jiang, Z.C.; Liao, H.W. Hydrogeochemical Characteristics and Environment Quality Assessment of Karst Groundwater in Mengzi Basin of Yunnan Province, China. Water 2023, 15, 2126. [Google Scholar] [CrossRef]
- Xiao, Y.; Zhang, J.H.; Long, A.H.; Xu, S.G.; Guo, T.T.; Gu, X.C.; Deng, X.Y.; Zhang, P. Hydrochemical Characteristics and Formation Mechanism of Quaternary Groundwater in Baoshan Basin, Western Yunnan, China. Water 2023, 15, 2736. [Google Scholar] [CrossRef]
- Li, X.D.; Masuda, H.; Kusakabe, M.; Yanagiawa, F.; Zeng, H.A. Degradation of groundwater quality due to anthropogenic sulfur and nitrogen contamination in the Sichuan Basin, China. Geochem. J. 2006, 40, 309–332. [Google Scholar] [CrossRef]
- Yao, R.W.; Yan, Y.T.; Wei, C.L.; Luo, M.; Xiao, Y.; Zhang, Y.H. Hydrochemical Characteristics and Groundwater Quality Assessment Using an Integrated Approach of the PCA, SOM, and Fuzzy c-Means Clustering: A Case Study in the Northern Sichuan Basin. Front. Environ. Sci. 2022, 10, 907872. [Google Scholar] [CrossRef]
- Liu, W.; Guan, L.F.; Liu, Y.; Xie, X.G.; Zhang, M.L.; Chen, B.Y.; Xu, S.; Sano, Y. Fluid geochemistry and geothermal anomaly along the Yushu-Ganzi-Xianshuihe fault system, eastern Tibetan Plateau: Implications for regional seismic activity. J. Hydrol. 2022, 607, 127554. [Google Scholar] [CrossRef]
- WHO. Guidelines for Drinking-Water Quality; World Health Organization: Geneva, Switzerland, 2022; p. 614. [Google Scholar]
- Drechsel, P.; Zadeh, S.M.; Pedrero-Salcedo, F.; Alcon, F.; Allende, A.; Amerasinghe, P.; Amoah, P.; Ben-Gal, A.; Benes, S.E.; Bruning, B.; et al. Water Quality in Agriculture: Risks and Risk Mitigation; FAO: Rome, Italy, 2023; 192p. [Google Scholar] [CrossRef]
Disclaimer/Publisher’s Note: The statements, opinions and data contained in all publications are solely those of the individual author(s) and contributor(s) and not of MDPI and/or the editor(s). MDPI and/or the editor(s) disclaim responsibility for any injury to people or property resulting from any ideas, methods, instructions or products referred to in the content. |
© 2025 by the authors. Licensee MDPI, Basel, Switzerland. This article is an open access article distributed under the terms and conditions of the Creative Commons Attribution (CC BY) license (https://creativecommons.org/licenses/by/4.0/).







