Next Article in Journal
China’s Inequality in Urban and Rural Residential Water Consumption—A New Multi-Analysis System
Next Article in Special Issue
Forecasting Climate Change Impacts on Water Security Using HEC-HMS: A Case Study of Angat Dam in the Philippines
Previous Article in Journal
Review on Repair Technologies for Underwater Concrete Structure Damage of Infrastructures
Previous Article in Special Issue
A Novel Rainfall Classification for Mapping Rainwater Harvesting: A Case Study in Kalar, Iraq
 
 
Font Type:
Arial Georgia Verdana
Font Size:
Aa Aa Aa
Line Spacing:
Column Width:
Background:
Article

Wind, Wave, and Ice Impacts on the Coastal Zone of the Sea of Azov

by
Natalia Yaitskaya
* and
Anastasiia Magaeva
Federal Research Centre the Subtropical Scientific Centre of the Russian Academy of Sciences, Sochi 354002, Russia
*
Author to whom correspondence should be addressed.
Water 2025, 17(1), 36; https://doi.org/10.3390/w17010036
Submission received: 1 November 2024 / Revised: 1 December 2024 / Accepted: 16 December 2024 / Published: 26 December 2024
(This article belongs to the Special Issue Hydroclimate Extremes: Causes, Impacts, and Mitigation Plans)

Abstract

The coastal zone of the Sea of Azov is a dynamic environment influenced by various natural and anthropogenic factors, including wind, wave action, beach material removal, and cultivation on cliff edges. The coastal zone of freezing seas is also influenced by ice cover during winter. This study investigates the dynamics of the Sea of Azov’s coastal zone during winter (2014–2023), focusing on the impacts of waves and ice, to identify the most vulnerable coastal areas. We analyzed high-resolution satellite imagery and employed mathematical modeling to obtain data on ice pile-up, fast ice formation, wind patterns, and storm wave dynamics within the shallow coastal zone. Long-term wind data revealed an increase in maximum wind speeds in December and January, while February and March showed a decrease or no significant trend across most coastal observation stations. Storm waves (significant wave height) during the cold season can reach heights of 3.26 m, contributing to coastal erosion and instability. While the overall ice cover in the Sea of Azov is decreasing, with fast ice rarely exceeding 0.85% of the total sea area, ice pile-up still occurs almost annually, with the eastern part of Taganrog Bay exhibiting the highest probability of these events. Our analysis identified the primary impacts affecting the shallow coastal zone of the Sea of Azov between 2014 and 2023. A map was generated to illustrate these impacts, revealing that nearly the entire coastline is subject to varying degrees of wave and ice impact. Exceptions include the eastern coast, which experiences minimal fast ice and ice pile-up, with average or lower dynamic loads, and the southern coast, where wind–wave action is the dominant factor.

1. Introduction

The coastal zone is a complex natural environment where the lithosphere, hydrosphere, and biosphere interact, making it susceptible to constant dynamic forces from both natural and human-induced changes. According to the UN’s Second World Ocean Assessment [1], approximately 40% of the global population lives within 100 km of the coast, and this number is steadily increasing.
Coastal erosion and landslides, while natural processes, can cause significant damage to infrastructure, including industrial and transportation systems, buildings, and coastal communities. This destruction can lead to substantial economic losses for countries [2]. In Russia, about 20 million people live within 30 km of the coast [3], where the average rate of coastal erosion is approximately 1.2 m per year [4].
Coastal erosion rates are influenced by a complex interplay of environmental, climatic, geological, biological, and anthropogenic factors. These include soil erodibility, the presence of fractures, the shape of the adjacent seabed (bathymetry), the composition of cliff faces (lithology), wave action, wind patterns, and vegetation cover [5].
A detailed analysis of the factors determining the dynamics of the coastal zone of the Sea of Azov and studies devoted to this problem is presented in the work [6]. Lithological deposits of the coastal zone undergo significant changes under the influence of prevailing winds. The sandy deposits of the coastal slope are characterized by weak variability of mechanical composition. This feature reflects the comparative uniformity of hydrodynamic conditions [7].
All spits and bay bars of the Sea of Azov are classified as accumulative formations without signs of abrasive destruction. The greatest dynamics in sedimentation processes are noted for the spits of the northern coast of the Sea of Azov from the northeast to the southwest and depend on wind activity, coastal relief, sea level fluctuations, and seiches. The depth of location and height of accumulative sediments in the Azov Sea spit system depend on the maximum water level. For example, underwater banks with an upper edge at a depth of about 1 m are formed by a flow at a water level not lower than the normal one. Numerous shallows at the ends of the spits in the near-surface layer line up at near-zero water levels [8].
One of the factors influencing the coastal dynamics in the Sea of Azov are storm surges. Extreme events occur when southwest or northeast winds blow at speeds of 15 m/s. Storm surges often cover the entire water area and have devastating consequences, including casualties and the destruction of coastal infrastructure. One of the strongest storm surges was observed on 24 September 2014 and was more than 3 m. The amplitude of surge fluctuations in the sea level in these areas of the Sea of Azov often reaches values of 2.0–3.5 m. Maximum current velocities caused by storm surges can reach 2.45 m/s, according to numerical modeling [9]. Water transport characteristics are very different in different areas of the sea. The dominance of runoff transport, despite the pronounced wave nature of the current field, complements the estuarine characteristics of the Taganrog Bay [8]. At the same time, seiche amphidromic systems are manifested both in cyclic changes in sea level and in current directions [10].
The book [11] analyzes long-term series of sea level and abrasion rate observation data. Thus, the periods 2004–2006 and 2010–2014 are characterized by an intensification of abrasion processes (up to 6 m/year in 2014), which is associated with an increase in the frequency of storm surges of the western component.
Another key factor of the coastal erosion is storm waves. The maximum surface waves develop in the central part of the sea. In this region, the average values of significant heights of wind waves are 0.70–0.75 m, while swell waves are two times smaller and do not exceed 0.30 m [12].
Sea ice plays a significant role in coastal dynamics in freezing waters. While it can protect the coastal zone from wind and wave action [13,14,15], the reduction in sea ice and subsequent increase in the open water period have led to accelerated coastal erosion in the Arctic region [16,17]. Conversely, sea ice can also exert destructive forces on coastlines and the seafloor due to its mobility, ridging, and the formation of stamukhi (grounded ice hummocks) driven by hydrometeorological factors [18].
In freezing seas with unstable ice cover, where fast ice either fails to form or frequently breaks up, the coastal zone is vulnerable to ice pile-up and ridging. Ice pile-up events, with formations reaching heights of 0.5 to 10 m, have been documented on the southern coast of the Baltic Sea [19]. These ice formations, particularly grease ice ridges, can protect the shore, beach, dunes, and cliffs from storm erosion, effectively preserving the coastal zone from destruction throughout the winter [20]. Ice pile-up is also widespread in the North Caspian Sea, where it buries numerous islands and shoals. These features can persist long after the sea ice has melted in spring [19].
Ice pile-up has been observed along the coast of the Sea of Azov during various winters, including 2009/2010, 2010/2011, and 2019/2020. The gently sloping coastline and seabed, combined with winter wind activity and unstable ice cover, create conditions conducive to these ice formations. However, these phenomena are not regularly monitored, and the research on their impact on the Sea of Azov’s shores remains limited.
This study investigates the factors influencing coastal dynamics in the Sea of Azov during winter, focusing on the impacts of waves and ice in the shallow coastal zone between 2014 and 2023. Our goal is to identify the most vulnerable coastal areas to prioritize future reconnaissance surveys and establish regions for regular monitoring.

2. Materials and Methods

2.1. Study Area

The Sea of Azov is located in Eastern Europe and is recognized as the shallowest sea in the world. Its maximum depth does not exceed 13.5 m, with an average depth of approximately 7.4 m [21] (Figure 1).
The Sea of Azov’s coastline is characterized by spits, barrier beaches, lagoons, and bays. These spits, primarily composed of quartz sand and shell fragments, range in length from 4 to 40 km [22]. Bays, reaching depths of up to 10 m, are situated between the spits. The coastal zone also features flat underwater terraces that extend onshore as eroding cliffs. Erosion rates along the coastline average 1–2 m per year, but can reach 4–5 m per year in certain areas.
Sea ice forms in the Sea of Azov every winter, but the extent, thickness, and duration of the ice cover vary significantly from year to year. This variability is largely dependent on the total amount of freezing degree days (the sum of daily average temperatures below 0 °C). During warmer winters (with fewer than 400 freezing degree days), ice cover is primarily limited to Taganrog Bay and other shallow areas of the sea. In colder winters (with more than 850 freezing degree days), ice extends across the entire Sea of Azov. Our previous research has shown a decline in the ice-covered area of the Sea of Azov since the 1990s [23].
The prevailing wind directions over the Sea of Azov are southwest and northeast throughout the year. From October to April, the Sea of Azov is influenced by an extension of the Siberian anticyclone, resulting in predominantly easterly and northeasterly winds. The average wind speed over the Sea of Azov during winter is 4.5 m/s. These months are also the stormiest [24].
Wind and sea level fluctuations can break up ice cover during winter. Sustained winds exceeding 7 m/s cause ice compression and ridging in the open sea and can sometimes lead to ice pile-up on the coast. Wind-driven sea level fluctuations create stationary ice near the coast to repeatedly break up, compress, and ridge, followed by refreezing throughout the winter. In spring, after the final break up, this ice becomes drift ice [24].

2.2. Initial Data

Regular observations on ice piles on the Sea of Azov’s coast are not conducted. Information on this dangerous phenomenon could be obtained in three ways: from the literature the historical data of observations; from satellite observation data; and from open news channels and observations of local residents. In this work, we used all three sources.
These documented events are crucial for understanding ice dynamics in the shallow coastal zone and for validating satellite imagery analysis. This study used 111 high-resolution satellite images from Sentinel-2 (10 m resolution) and Landsat 8 (15 m resolution) to assess ice conditions. However, winter cloud cover often obscures the Sea of Azov, hindering optical imagery. Therefore, radar images from Sentinel-1 (10 m resolution) were also incorporated, bringing the total number of images initially used to 565. Ice pile-ups no wider than 10–15 m do not have an effect on coastal abrasion.
Accurately identifying ice pile-up requires precise shoreline data for the Sea of Azov. For Taganrog Bay, the 2022 shoreline was derived from satellite imagery from work [25]. For other areas, a multi-year average shoreline was used [26].
Beach width varies significantly along the Sea of Azov coastline due to coastal processes and sea level fluctuations. To account for this variability, a buffer zone of 100–200 m was established on both sides of the multi-year average shoreline to define the shallow water area for sea ice analysis.
A digital elevation model (DEM) of the Sea of Azov seabed was used for calculations in the SWAN model. This DEM was constructed using a bathymetric map of the Sea of Azov [27,28], nautical hydrological maps at scales of 1:500,000 and 1:25,000, and remote sensing data acquired by the Landsat 8 satellite [29]. A computational grid with a spatial resolution of 0.01 × 0.01 degrees was developed from this DEM [30], and calculations were performed for each grid cell at each time step.
Wave data were obtained through a reanalysis using the SWAN spectral wave model [21]. Wind forcing was derived from the European Centre for Medium-Range Weather Forecasts ERA-Interim reanalysis [31], which provides hourly zonal and meridional wind data at 10 m above sea level from 1 January 1979 to 31 August 2019, at a spatial resolution of approximately 80 km.
To avoid introducing errors, the wind data were not interpolated onto a finer grid. The wind fields over the Sea of Azov exhibit limited variation over time, so using a higher-resolution wind grid or reanalysis with a greater number of nodes was unnecessary. There are very few observational data on wind waves in the Sea of Azov for model verification. For this reason, verification was performed for individual observations made on ships or at coastal hydrometeorological stations. The correlation coefficient with observational data varies from 0.76 in the Taganrog Bay to 0.82 in the Sea of Azov.
The SWAN model incorporated the following basic processes and parameters: wind input; linear wave growth, modeled according to the approach outlined in [32]; dissipation by bottom friction, parameterized using the JONSWAP spectrum constant [33]; white-capping; nonlinear wave–wave interactions, including quadruplet and triad interactions; an a wave-induced setup.
Calculations in the SWAN model were performed at 15 min intervals, starting from 1 January 1979. At each time step, the values of the desired parameters were computed for each grid cell and stored in output files. The values of external forcing factors, such as wind speed and direction, were updated hourly. The SWAN model calculated the values of wind–wave characteristics, including significant wave height; average wave period (calculated from the zeroth and first moments of the wave spectrum); wave direction and length; and swell parameters.

2.3. Methods

To identify ice in the shallow coastal zone of the Sea of Azov, this study employed the Normalized Difference Snow Index (NDSI) using Sentinel-2 and Landsat 8 satellite imagery. This index, calculated as the normalized difference between the green and shortwave infrared (SWIR) spectral bands, is widely used for detecting snow and ice [34,35], including sea ice [36,37].
NDSI = (Green − SWIR1)/(Green + SWIR1),
where:
Green—green spectral band;
SWIR1—shortwave infrared spectral band.
The NDSI values range from −1 to 1, with values closer to 1 indicating a higher probability of ice or snow presence [38]. NDSI calculations were performed for 111 images spanning 53 dates between 2014 and 2023. A threshold value of 0.4 was used to delineate ice cover extent, and all values greater than 0.4 within the shallow coastal zone were extracted.
To enhance accuracy, this study incorporated a manual interpretation of optical images, excluding cases where ice or snow presence on the beach could not be definitively determined. In addition, an analysis of Sentinel-1 polarization combinations (VH:VV:VH/VV or HV:HH:HV/HH) was performed using the “BS IKI-Monitoring” service [39]. These images facilitated the identification of ice ridges in the shallow coastal zone based on their distinctive characteristics: brightness, texture, and geometric shape.
To calculate meteorological characteristics, including zonal and meridional wind components, for the period from 2014 to 2023, this study employed the Weather Research and Forecasting (WRF) model [40]. This regional, non-hydrostatic atmospheric model was implemented for the entire Azov–Black Sea region (Figure 1A) with a spatial resolution of 10 km using a Lambert conformal conic projection. This specific WRF implementation has been previously used and validated in other studies [41,42,43], demonstrating sufficient accuracy for practical applications.
The WRF model was configured with MODIS land surface data at a spatial resolution of 5 arc minutes. Key physical parameterizations employed include:
Microphysics: Thompson graupel scheme [44];
Convection: Betts–Miller–Janjic scheme [45];
Longwave and shortwave radiation: Rapid Radiative Transfer Model for GCMs (RRTMG) [46];
Boundary layer: Mellor–Yamada–Janjić (MYJ) scheme [47];
Land surface: Unified Noah land–surface model [48];
Precipitation: Kain–Fritsch (KF) scheme [49].
The model was integrated with a time step of 60 s, with initial and boundary conditions derived from the ERA5 global reanalysis [50]. Each simulation consisted of a 30 h run, with the first 6 h discarded as spin-up. The subsequent 24 h, with an hourly temporal resolution, provided the atmospheric forcing data. A continuous dataset was created by concatenating consecutive 24 h simulations, forming a longer time series for analysis. The wind speed and direction calculated by the WRF model were verified using station data—Taganrog, Mariupol, Primorsko-Akhtarsk, Kerch, and Genichesk.
The results show that there are high values of the correlation coefficient and low values of the standard deviation both for the wind speed module, 0.77 (correlation)/1.35 (standard deviation), and for its components −0.88/1.32 for the zonal wind component and 0.85/1.43 for the meridional wind component [42].
Standard statistical analysis was performed for the winter period (November to March), including calculations of mean and maximum wind speeds, as well as the frequency and speed of winds from different directions.
Following the findings of [24], sustained winds exceeding 7 m/s can lead to ice break up, ridging, and pile-up on the coast. To analyze ice pile-up events, dates with clear evidence of ice in the satellite imagery were compared with wind conditions (speeds of 7 m/s or greater and onshore wind directions, based on the WRF model output). This comparison considered wind conditions on the date of the observed ice pile-up and during the 10 days preceding the event, ultimately identifying 28 cases for further analysis.
In addition to these satellite-derived cases, 13 instances of ice pile-up were identified from the literature and episodic observations, resulting in a total of 41 dates with ice pile-up events included in the analysis.
The calculation of wave impact loads (ton-force/m2) on the coast from storm waves and surges is based on previous research [51,52] and was carried out using a series of equations presented in [53,54]:
p = 3 π ρ · h C R 2 4 λ C R + ρ · h C R 2 + 0.09 · T 2
where:
T is the wave period at the moment of breaking;
h C R is the wave height at the critical depth;
λ C R is the wave length at the critical depth.
The calculation of wave impact loads utilized the results of SWAN model simulations, providing parameters for non-deformed wind waves specific to the Sea of Azov (mean wave length, significant wave height, and mean wave period), and digital elevation models (DEMs) of the seabed. The parameters of the non-deformed wave were taken from the SWAN grid node closest to the shore along the normal direction. The DEMs provided data on seabed slopes, shoreline coordinates, and the angles of the normal direction to the shore.

3. Results

3.1. Sea Ice in 2014–2023

Sea ice typically covers between 2% and 67% of the Sea of Azov during an average ice season, which lasts approximately 2.5 months, and in some cases, up to 5 months. These characteristics are primarily determined by air temperature during the winter.
This study analyzed temperature and ice conditions in the Sea of Azov for 30-year periods, following the World Meteorological Organization (WMO) recommendations for climate change assessments. While previous analyses focused on the period 1961–1990, standard climate norms are now calculated for 1991–2020. Our results (Table 1) indicate a significant reduction in ice cover for the period 2014–2023, with the average seasonal ice extent not exceeding 12% of the total sea area. This finding highlights a notable shift in the sea ice regime compared to the historical norm.
Fast ice, defined as a stable ice cover that forms 5–7 days after the initial appearance of ice, has also exhibited a decreasing trend in the Sea of Azov. While the multi-year average area of fast ice for the period 2000–2020 was 1800 km2 (according to [23]), this study found a reduced multi-year average of 335 km2 for the period 2014–2023. This latter value constitutes only 0.85% of the total area of the Sea of Azov (Figure 2), indicating a substantial decline in fast ice extent.
The role of currents and river tributaries is not considered in this paper. The ice cover of the Sea of Azov is unstable and has a low thickness. In the Sea of Azov, the main direction of currents capable of carrying ice to the shore corresponds to the wind direction from the SW to NE and back. Only continuously and strong winds could lead to the dynamic redistribution and piled-up of ice. All ice piles on the shore primarily occur under the influence of these winds. But, at some stations, in some months, a different direction of ice drift was noted: Taganrog—NE and E (December), Strelkovoe—SE, and Primorsko-Akhtarsk—S. However, the general direction of ice to the W and SW prevails. River tributaries in the Sea of Azov play a minimal role in the scheme of currents [55].

3.2. Ice Pile-Up Events

Table 2 and Figure 3 present observed instances of ice pile-ups along the Sea of Azov coastline, associated with maximum wind speeds ranging from 6.3 to 17.2 m/s. The analysis of potential ice pile-up events identified in satellite imagery revealed maximum wind speeds ranging from 6.3 to 14.4 m/s, either on the date of the event or in the preceding days. The predominant wind directions associated with these events were easterly, northeasterly, and southerly.
Figure 4 presents the probability of ice pile-up events in the shallow coastal zone of the Sea of Azov for the period 2014–2023, based on the results of this study. The highest number of events occurred in January and February, coinciding with the period of maximum sea ice extent. These events were primarily concentrated in the eastern part of Taganrog Bay, characterized by shallow depths and a high susceptibility to ice formation. This area features an average underwater slope depth of 0.7 m within the first 500 m from the shoreline, with a corresponding slope angle of 0.16 degrees [56].
The geomorphological characteristics of the seabed make the spits of the Sea of Azov susceptible to ice pile-up. While this study indicates the western part of the sea has the lowest probability of these events, largely due to the low probability of ice formation during the 2014–2023 period, previous research suggests the Arabat Spit region (in the western part of the sea) experiences a high degree of ice ridging due to drift ice transport. This discrepancy highlights the need for further investigation into ice ridging dynamics in this region, considering contemporary ice conditions.
Furthermore, the lack of data for the southern and southwestern parts of the sea should not be interpreted as an absence of ice pile-up. Previous observations have documented significant ice pile-up, ridging, and hummocking in the Kerch Strait near the Chushka Spit and Tuzla Island, with ice formations reaching heights of 5 m or more.

3.3. Wind

Th eanalysis of daily wind speeds across the Sea of Azov from 2014 to 2023 reveals an average winter range of 4.5 to 6.2 m/s. Spatially, wind speeds exhibit a general increase from northwest to southeast, with average daily values of 3 m/s recorded at the Mariupol station (northwestern coast) and 6 m/s or greater at stations in Taganrog Bay (southeastern coast). The highest average daily values, reaching up to 16 m/s, are observed along the southern coast of Taganrog Bay.
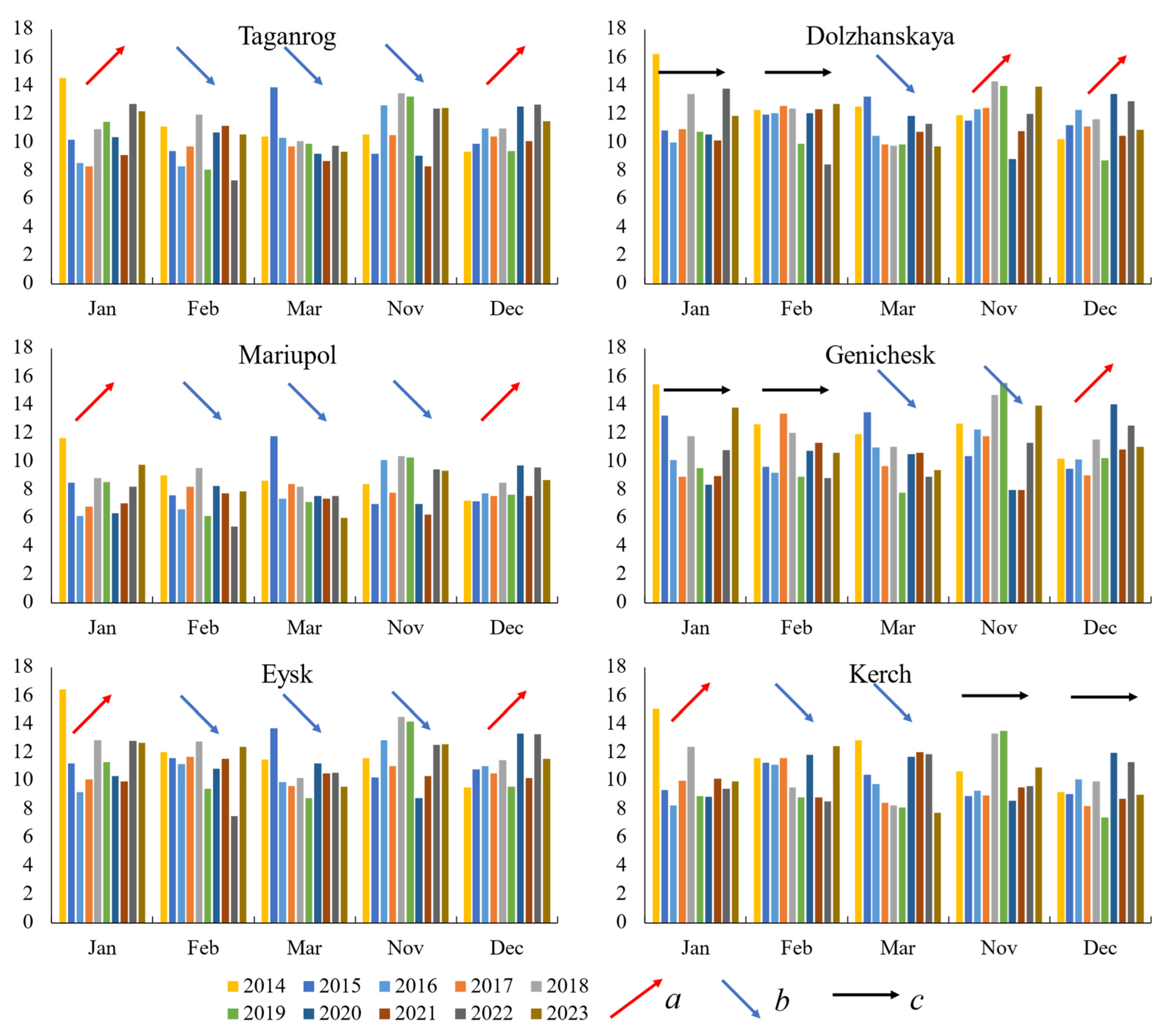
Long-term trends (Figure 5) demonstrate a consistent pattern across most stations, characterized by an increase in maximum wind speeds in December and January, and a decrease in or absence of a trend in February and March.
Given the observed trend of increasingly strong winds in December and January, coupled with the later formation of stable ice cover in the Sea of Azov (now typically occurring in late December), it is likely that storm waves will pose an increasingly significant threat to the Azov coastline in the coming decades. This heightened wave activity during the initial ice formation period may lead to increased ice pile-up, exacerbating coastal erosion and potentially causing significant damage to infrastructure and coastal ecosystems.
Wind patterns across the Sea of Azov exhibit notable consistency from November to March, with predominantly easterly and northeasterly winds along the entire coastline (Figure 6). The analysis of wind speed frequency reveals that the Dolzhanskaya station experienced the highest number of days with wind speeds exceeding 7 m/s (11 days), while the Mariupol station recorded the fewest (4 days).

3.4. Waves and Coastal Impact

Model calculations for the period 2010–2020 indicate a maximum significant wave height of 3.26 m in the Sea of Azov (Figure 7). In Taganrog Bay, the maximum wave height reached 2.0 m at the bay’s mouth, decreasing to less than 0.5 m in the shallow coastal areas. Interestingly, the highest wave activity was concentrated in the western part of the sea, a finding that deviates from the main isobaths and suggests a predominance of easterly winds during this decade. Along the northern coast, maximum wave heights of 2.0 m or more were observed on the line 1 km from the shore and spits. This magnitude of wave activity, particularly in the presence of ice cover, could significantly increase the likelihood of ice pile-up events along the coast.
Calculated dynamic load on the Sea of Azov coastline (Figure 8) aligns well with the previously discussed wind–wave data. The lowest values (up to 2 tf/m2) occur in the Don River delta and along the eastern coast of the sea. The highest values (from 15 tf/m2) are found along the spits of the northern coast, the western coast, and parts of the southern coast.

4. Discussion

Coastal erosion in the Sea of Azov during winter can occur in the absence of ice cover or ice pile-up events, particularly when there is a high storm-induced dynamic load on the coast. Based on our findings, we identified the primary impacts affecting different sections of the Sea of Azov coastline during the winter period of 2014–2023 (Figure 9).
Almost the entire coast of the Sea of Azov is characterized by a combination of storm waves and ice phenomena with varying degrees of impact. The exceptions are the eastern coast of the sea, where fast ice and ice pile-up on the shore are not observed, and the dynamic load values are medium or lower, and the southern coast, where the main impact is wind–wave action. The obtained results are consistent with the findings of colleagues. The work [57] indicates a gradual reduction in the ice season in the Sea of Azov and Taganrog Bay to 52 days or less, and the formation of piled sea ice in the 21st century is a rare phenomenon.
According to [55], along the coastal zone and in the southwestern part of the Sea of Azov the ice hummocks and ice piles are formed due to wind ice drift. Our study indicates the western part of the sea has the lowest probability of these events, largely due to the low probability of ice formation in the 2014–2023 period.
The calculated maximum dynamic load values allowed us to identify coastal areas that are highly susceptible to wind–wave-induced erosion. In the work [11], abrasion rates based on observations over 50 years are presented. A comparison of the results of this study and the abrasion rates from [11] shows that areas with high dynamic loads do not always correspond to areas with high abrasion rates. Thus, the southwestern coast of the Sea of Azov, subject to frequent storms, is practically not destroyed because landslide or accumulative shores are located here. The eastern region of the Don River delta experiences significant ice pile-up and high dynamic loading. The coast of the Kerch Peninsula is characterized by the absence of ice piled sea ice on the shore, fast ice, and high dynamic loads. Abrasion rates here reach 1.9 m/year [11].
However, erosion processes are not pronounced in this area due to the presence of extensive, periodically flooded wetlands. At the same time, in the presence of partially broken ice cover, ice pile-up can form with greater intensity in areas with the highest dynamic loads. For example, the coast of the Taganrog Bay. Here, due to the abrasion–landslide structure of the coast, even with small storms up to 2 m, significant degradation processes occur.
During the winter months, the coast of Taganrog Bay is predominantly impacted by ice, with abrasion and abrasion–landslide processes being the primary drivers of erosion. The rate of coastal retreat in this area ranges from 1.0 to 1.8 m per year, reaching a maximum of 6.4 m per year.
Further west, the coastline from Eysk to Dolzhanskaya experiences a high probability of ice accumulation coupled with a significant dynamic load. Consequently, coastal abrasion rates in this region reach 2.4 m per year, with maximum values of 3.0 to 3.5 m per year [25].
According to the results of the study, all spits along the northern coast of the Sea of Azov are subject to high environmental impact during the winter period, experiencing the combined effects of ice formation, strong winds, and elevated wave activity. The impact of wind waves on all spits, with the exception of the northernmost one, Belosarayskaya, can be considered as stabilizing, leading to smoothing out the unevenness of the coastline. This occurs due to the dominance of wave directions close to normal in the coastal zone of the spits [58].
On the western and southern coasts of the Sea of Azov, despite experiencing the highest dynamic impact, ice accumulations do not form due to the near absence of ice cover in these regions over recent decades.
On the coast of the Sea of Azov, coastal hydraulic engineering developments have both a positive protective effect and a negative effect when sedimentation processes are disrupted. The latter includes longitudinal coastal structures—the longitudinal axis of which coincides with the coastline or is parallel to it.
The main task of protecting the shores of the Sea of Azov is not only the destruction of storm waves, but also the retention of beach accumulations and the formation of a wide beach strip. The achieved effect in the Sea of Azov is discussed in detail in the work of Russian researchers [11].
Most of the coastal hydraulic engineering developments are currently destroyed. The time of their construction mainly dates back to the 1970s. Areas with new hydraulic protective developments are mainly located in large cities. Here, the rate of abrasion has significantly decreased in recent years, according to [11] and our own observations. In other areas of the seacoast, protective structures have practically lost their functions. Therefore, high rates of abrasion can be observed.
Against the backdrop of climate change, the factors influencing the wintertime dynamics of the Sea of Azov’s coastal zone, as well as the extent of their impact, are undergoing transformations. Sea ice cover is shrinking, while wind speeds are increasing during winter months, resulting in higher storm-induced dynamic loads on the coast. Should these trends persist in the coming decades, storm waves could exert an increasingly negative and destructive influence, becoming a key factor driving coastal changes. The map generated in this study will remain relevant and can be used for planning socio-economic and commercial activities in coastal regions.

5. Conclusions

This study analyzed the main factors influencing coastal morphology in the Sea of Azov during the winter period of 2014–2023, with a particular focus on the interplay between ice dynamics and wind–wave action.
Based on the results of the study, we can conclude that, despite an overall trend of decreasing ice cover, ice pile-up events remain prevalent, offering a degree of protection against wave erosion. However, the extent of fast ice is also diminishing, increasing the vulnerability of certain coastal areas.
The highest probability of ice pile-up observed on the eastern part of Taganrog Bay, while the northern coastline and areas near the Dolzhanskaya Spit are particularly susceptible to the combined impacts of storm waves and ice formation.
Storm waves during the cold season can reach significant heights, up to 3.26 m, contributing to dynamic impacts and erosion along the coastline. Along the northern coast, maximum wave heights of 2.0 m or more were observed on the line 1 km from the shore and spits. In the presence of ice cover, this can increase the likelihood of ice pile-up events, potentially exacerbating coastal erosion.
The analysis of wind patterns revealed increasing maximum wind speeds in December and January, coinciding with the later formation of stable ice cover.
Based on the results of the analysis of ice on the shore, storms, and dynamic load on the shore, a map of on the coastal zone of the Sea of Azov during winter periods in 2014–2023 was compiled. The areas with the greatest impact on the factors under consideration, as well as areas with the greatest danger, were identified. According to the results of the study, all spits along the northern coast of the Sea of Azov are subject to high environmental impact during the winter period, experiencing the combined effects of ice formation, strong winds, and elevated wave activity. At the same time the impact of wind waves on all spits can be considered as stabilizing, leading to smoothing out the unevenness of the coastline.
The generated map, highlighting areas most vulnerable to winter impacts, can inform socio-economic and commercial activities in coastal regions. Future research will involve reconnaissance surveys of these vulnerable areas and a detailed assessment of the impact of dynamic and ice loading on coastal abrasion processes.
This study provides a valuable foundation for understanding the evolving coastal dynamics of the Sea of Azov. The methodology and results of this work may be useful for similar scientific studies of periodically freezing seas with intensive abrasion processes and large shallow areas, for example, the Caspian Sea (northern part), the Aral Sea, and the Baltic Sea, as well as other water areas with similar hydrometeorological conditions. For the development of research, coastal winter expeditions for observing ice allocation and the speed of abrasion in the winter will be carried out. This will create reliable conclusions about the factors contributing to the destruction of the coast without involving mathematical models.

Author Contributions

Conceptualization, N.Y. and A.M.; methodology, N.Y. and A.M.; formal analysis, N.Y. and A.M.; investigation, N.Y. and A.M.; resources, N.Y. and A.M.; data curation, N.Y. and A.M.; writing—original draft preparation, A.M.; writing—review and editing, N.Y. and A.M.; visualization, N.Y. and A.M.; supervision, N.Y.; project administration, N.Y.; funding acquisition, N.Y. All authors have read and agreed to the published version of the manuscript.

Funding

The study was funded by the Russian Science Foundation (project No. 24-17-20015, https://rscf.ru/en/project/24-17-20015/). The research was supported by the Kuban Science Foundation (project No. 24-17-20015).

Data Availability Statement

Data are contained within the article.

Acknowledgments

The authors are grateful to O.A. Khoroshev for the photographs (Figure 3b,c). The rights to photographs in Figure 3a,d belong to the authors (https://www.yaplakal.com/forum2/topic512864.html) and (https://lamut.livejournal.com/74983.html) (accessed on 1 December 2024).

Conflicts of Interest

The authors declare no conflicts of interest.

References

  1. The Second World Ocean Assessment (Volume II); United Nations: New York, NY, USA, 2021; 520p, ISBN 978-92-1-1-130422-0. Available online: https://www.un.org/regularprocess/sites/www.un.org.regularprocess/files/2011859-e-woa-ii-vol-ii.pdf (accessed on 18 September 2024).
  2. The U.S. Climate Resilience Toolkit/U.S. Geological Survey. Available online: https://toolkit.climate.gov/topics/coastal-flood-risk/coastal-erosion (accessed on 18 September 2024).
  3. Ivlieva, O.V.; Bespalova, E.V.; Sheverdyaev, I.V.; Sushko, K.S.; Matishov, G.G.; Berdnikov, S.V.; Khartiev, S.M.; Tsygankova, A.E.; Kropyanko, L.V.; Ioshpa, A.R.; et al. Modern Dangerous Exogenous Processes in the Coastal Zone of the Sea of Azov; Sfedu: Rostov-on-Don, Russia, 2015; 321p, ISBN 978-5-9275-1835-7. [Google Scholar]
  4. Kutepov, V.I.; Sheko, A.I. (Eds.) Natural Dangers of Russia. Volume 3. Exogenic Geological Dangers; KRUK: Moscow, Russia, 2002; 348p. [Google Scholar]
  5. Ogorodov, S.; Badina, S.; Bogatova, D. Sea Coast of the Western Part of the Russian Arctic under Climate Change: Dynamics, Technogenic Influence and Potential Economic Damage. Climate 2023, 11, 143. [Google Scholar] [CrossRef]
  6. Kosyan, R.D.; Krylenko, M.V. Modern state and dynamics of the Sea of Azov coasts. Estuar. Coast. Shelf Sci. 2019, 224, 314–323. [Google Scholar] [CrossRef]
  7. Krylenko, M.V.; Krylenko, V.V.; Volkova, T.A. Development prospects of natural-territorial complex of the Dolgaya spit. Ocean. Coast. Manag. 2018, 166, 98–102. [Google Scholar] [CrossRef]
  8. Matishov, G.G.; Grigorenko, K.S. Seiche Dynamics in the Azov Sea Current System. Russ. J. Earth Sci. 2024, 24, ES1001. [Google Scholar] [CrossRef]
  9. Cherkesov, L.V.; Shul’ga, T.Y.; Dyakov, N.N.; Stanichnaya, R.R. Numerical Study of Storm Surge Processes and Currents of the Sea of Azov During a Period of Extreme Winds. Phys. Oceanogr. 2017, 5, 3–18. [Google Scholar] [CrossRef][Green Version]
  10. Matishov, G.G.; Grigorenko, K.S. Seiche Currents in the Sea of Azov Based on Field Observations. Oceanology 2023, 63, 27–34. (In Russian) [Google Scholar] [CrossRef]
  11. Bespalova, L.A.; Ivlieva, O.V.; Tsygankova, A.E. Shores of the Sea of Azov: 100 Years of Observations; Publishing House of the Southern Scientific Center of the Russian Academy of Sciences: Rostov-on-Don, Russia, 2023; 364p. [Google Scholar]
  12. Divinsky, B.V.; Kosyan, R.D.; Fomin, V.V. Climatic Fields of Sea Currents and Wind Waves in the Sea of Azov. Dokl. Earth Sci. 2021, 501, 976–988. [Google Scholar] [CrossRef]
  13. Barnhart, K.; Overeem, I.; Anderson, R. The effect of changing sea ice on the physical vulnerability of Arctic coasts. Cryosphere 2014, 8, 1777–1799. [Google Scholar] [CrossRef]
  14. Thomson, J.; Rogers, W.E. Swell and sea in the emerging Arctic Ocean. Geophys. Res. Lett. 2014, 41, 3136–3140. [Google Scholar] [CrossRef]
  15. Shabanova, N.N.; Ogorodov, S.A.; Romanenko, F.A. Russian arctic coastal dynamics hydrometeorological forcing: Half-century his-tory and current state. In Proceedings of the Coastal Dynamics 2017, Helsingør, Denmark, 12–16 June 2017; pp. 108–116. Available online: http://coastaldynamics2017.dk/onewebmedia/196_shabanova.pdf (accessed on 1 October 2024).
  16. Irrgang, A.M.; Bendixen, M.; Farquharson, L.M.; Baranskaya, A.V.; Erikson, L.H.; Gibbs, A.E.; Ogorodov, S.A.; Overduin, P.P.; Lantuit, H.; Grigoriev, M.N.; et al. Drivers, dynamics and impacts of changing Arctic coasts. Nat. Rev. Earth Environ. 2022, 3, 39–54. [Google Scholar] [CrossRef]
  17. Nielsen, D.M.; Dobrynin, M.; Baehr, J.; Razumov, S.; Grigoriev, M. Coastal erosion variability at the southern Laptev Sea linked to winter sea ice and the Arctic oscillation. Geophys. Res. Lett. 2020, 47, e2019GL086876. [Google Scholar] [CrossRef]
  18. Ogorodov, S.A. The Role of Sea Ice in Coastal Dynamics; Moscow University Press: Moscow, Russia, 2011; 173p, ISBN 978-5-211-06275-7. [Google Scholar]
  19. Girjatowicz, J.P.; Łabuz, T.A.; Świątek, M. Meteorological and hydrological conditions impacting grease ice ridges formation along the southern Baltic shore. Reg. Stud. Mar. Sci. 2022, 53, 102395. [Google Scholar] [CrossRef]
  20. Girjatowicz, J.P.; Łabuz, T.A. Forms of piled ice at the southern coast of the Baltic Sea. Estuar. Coast. Shelf Sci. 2020, 239, 106746. [Google Scholar] [CrossRef]
  21. Yaitskaya, N. The Wave Climate of the Sea of Azov. Water 2022, 14, 555. [Google Scholar] [CrossRef]
  22. Matshiov, G.G. Geomorphological features of the shelf of the Sea of Azov. Bull. S. Sci. Cent. Russ. Acad. Sci. 2006, 2, 44–48. [Google Scholar]
  23. Magaeva, A.A.; Yaitskaya, N.A. Dynamics of fast ice in the Sea of Azov in the 21st century. InterCarto. InterGIS 2021, 27, 74–84. [Google Scholar] [CrossRef]
  24. Dumanskaya, I.O. Ice Conditions of the Seas of the European Part of Russia; IG SOTSIN: Moscow, Russia, 2014; 608p, ISBN 978-5-91070-064-6. [Google Scholar]
  25. Berdnikov, S.V.; Bespalova, L.A.; Khavansky, A.D.; Khoroshev, O.A.; Magaeva, A.A.; Misirov, S.A.; Merinova, Y.; Kulygin, V.V.; Tsygankova, A.E.; Ioshpa, A.R.; et al. Hazardous Abrasion and Landslide Processes in the Sea of Azov Coastal Zone and Socio-Economic Consequences of Their Impact: [Monograph]; SSC RAS Publishing: Rostov-on-Don, Russia, 2022; 288p, ISBN 978-5-4358-0224-5. [Google Scholar]
  26. Krylenko, V.V.; Krylenko, M.V.; Aleynikov, A.A. Specifying the length of the Sea of Azov coastline using satellite data Sentinel-2. Vestnik SGUGiT 2019, 24, 78–92. [Google Scholar] [CrossRef]
  27. Matishov, G. Bathymetry and patterns of formation of the bottom relief of the Sea of Azov. In Ecosystem Studies of the Azov, Black, Caspian Seas; Matishov, G., Ed.; Kola Scientific Centre of the Russian Academy of Sciences: Apatity, Russia, 2006; pp. 31–42. [Google Scholar]
  28. Matishov, G.; Levitus, S.; Matishov, D.; Gargopa, Y.; Dashkevich, L.; Berdnikov, S.; Kulygin, V.; Arkhipova, O.; Chikin, A.; Shabas, I.; et al. Climatic Atlas of the Sea of Azov 2008; NOAA/NESDIS: Washington, DC, USA, 2008; p. 103.
  29. Magaeva, A.A.; Tretyakova, I.A. Creation of a digital elevation model of the Sea of Azov bottom. In Ecology Economy Informatics; Matishov, G., Ed.; Southern Federal University: Rostov-on-Don, Russia, 2015; pp. 266–269. [Google Scholar]
  30. Yaitskaya, N.A. The results of hindcasting experiments of wind wave in the Sea of Azov (as illustrated by winters 2015–2017). Sci. South Russ. 2017, 13, 60–70. [Google Scholar] [CrossRef]
  31. The ERA-Interim Archive Version 2.0. Available online: http://www.ecmwf.int/node/8174 (accessed on 28 December 2021).
  32. Komen, G.; Hasselmann, S.; Hasselmann, K. On the existence of a fully developed wind sea spectrum. J. Phys. Oceanogr. 1984, 14, 1271–1285. [Google Scholar] [CrossRef]
  33. Hasselmann, K.; Barnett, T.P.; Bouws, E.; Carlson, H.; Cartwright, D.E.; Enke, K.; Ewing, J.A.; Gienapp, H.; Hasselmann, D.E.; Kruseman, P.; et al. Measurements of Wind-Wave Growth and Swell Decay during the Joint North Sea Wave Project (JONSWAP). Ergänzungsheft Zur Dtsch. Hydrogr. Z. 1973, 8, 1–95. [Google Scholar]
  34. Wang, G.; Jiang, L.; Xiong, C.; Zhang, Y. Characterization of NDSI variation: Implications for snow cover mapping. IEEE Trans. Geosci. Remote Sens. 2022, 60, 1–18. [Google Scholar] [CrossRef]
  35. Zhang, H.; Yao, X.; Wei, Q.; Duan, H.; Zhang, Y. Comparison of Lake Ice Extraction Methods Based on MODIS Images. Remote Sens. 2022, 14, 4740. [Google Scholar] [CrossRef]
  36. Dashkevich, L.V.; Nemtseva, L.D.; Berdnikov, S.V. Assessment of the Sea of Azov ice cover in the XXI century using Terra/Aqua MODIS images and numerical modelling. Curr. Probl. Remote Sens. Earth Space 2016, 13, 91–100. [Google Scholar] [CrossRef]
  37. Wang, Z.; Sun, P.; Wang, L.; Zhang, M.; Wang, Z. Monitoring Sea Ice in Liaodong Bay of Bohai Sea during the Freezing Period of 2017/2018 Using Sentinel-2 Remote Sensing Data. J. Spectrosc. 2021, 2021, 9974845. [Google Scholar] [CrossRef]
  38. Sojka, M.; Ptak, M.; Zhu, S. Use of Landsat Satellite Images in the Assessment of the Variability in Ice Cover on Polish Lakes. Remote Sens. 2023, 15, 3030. [Google Scholar] [CrossRef]
  39. Loupian, E.; Burtsev, M.; Proshin, A.; Kashnitskii, A.; Balashov, I.; Bartalev, S.; Konstantinova, A.; Kobets, D.; Radchenko, M.; Tolpin, V.; et al. Usage Experience and Capabilities of the VEGA-Science System. Remote Sens. 2022, 14, 77. [Google Scholar] [CrossRef]
  40. Skamarock, W.C.; Klemp, J.B.; Dudhia, J.; Gill, D.O.; Liu, Z.; Berner, J.; Wang, W.; Powers, J.G.; Duda, M.G.; Barker, D.M. A Description of the Advanced Research WRF Model Version 4; National Center for Atmospheric Research: Boulder, CO, USA, 2019; p. 145. [Google Scholar]
  41. Fomin, V.V.; Diansky, N.A. Simulation of extreme surges in the Taganrog Bay with atmosphere and ocean circulation models. Russ. Meteorol. Hydrol. 2018, 43, 843–851. [Google Scholar] [CrossRef]
  42. Diansky, N.A.; Fomin, V.V.; Korshenko, E.A.; Kabatchenko, I.M. System of marine retrospective calculations and forecasts of hydrometeorological characteristics of the Sea of Azov and the Kerch Strait. Ekon. Inf. Ser. Geoinf. Tekhnol. Kosm. Monit. 2020, 2, 131–140. [Google Scholar]
  43. Fomin, V.V.; Korshenko, E.A.; Kabatchenko, I.M.; Gusev, A.V.; Diansky, N.A. Reproduction of hydrometeorological conditions of the Kerch Strait. Part 1: Technology verification. J. Oceanol. Res. 2022, 50, 50–72. [Google Scholar] [CrossRef]
  44. Thompson, G.; Rasmussen, R.M.; Manning, K. Explicit forecasts of winter precipitation using an improved bulk microphysics scheme. Part I: Description and sensitivity analysis. Mon. Weather. Rev. 2004, 132, 519–542. [Google Scholar] [CrossRef]
  45. Betts, A.K.; Miller, M.J. The Betts-Miller scheme. In The Representation of Cumulus Convection in Numerical Models; Emanuel, K.A., Raymond, D.A., Eds.; Springer: Berlin/Heidelberg, Germany, 1993; pp. 107–121. [Google Scholar] [CrossRef]
  46. Iacono, M.J.; Delamere, J.S.; Mlawer, E.J.; Shephard, M.W.; Clough, S.A.; Collins, W.D. Radiative forcing by longlived greenhouse gases: Calculations with the AER radiative transfer models. J. Geophys. Res. Atmos. 2008, 113, D13103. [Google Scholar] [CrossRef]
  47. Janjic, Z.I. The step-mountain coordinate: Physical package. Mon. Weather. Rev. 1990, 118, 1429–1443. [Google Scholar] [CrossRef]
  48. Ek, M.B.; Mitchell, K.E.; Lin, Y.; Rogers, E.; Grummann, P.; Koren, V.; Gayno, G.; Tarpley, J.D. Implementation of Noah land surface model advances in the National Centers for Environmental Prediction operational Mesoscale Eta Model. J. Geophys. Res. Atmos. 2003, 108, 8851. [Google Scholar] [CrossRef]
  49. Kain, J.S. The Kain—Fritsch convective parameterization: An update. J. Appl. Meteorol. 2004, 43, 170–181. [Google Scholar] [CrossRef]
  50. Hersbach, H.; Bell, B.; Berrisford, P.; Hirahara, S.; Horányi, A.; Muñoz-Sabater, J.; Nicolas, J.; Peubey, C.; Radu, R.; Schepers, D.; et al. The ERA5 global reanalysis. Q. J. R. Meteorol. Soc. 2020, 146, 1999–2049. [Google Scholar] [CrossRef]
  51. Kushnir, V.; Dushko, V.; Kramar, V. Impact of surface gravity waves on coastal ocean-technical facilities. East. Eur. J. Enterp. Technol. 2013, 5, 36–41. [Google Scholar]
  52. Fedorov, S.V. Software module for forecast of dynamic wave loads on the sea of Azov’s shore. Ecol. Saf. Coast. Shelf Zones Sea 2016, 2, 75–80. [Google Scholar]
  53. Shuleikin, V.V. Physics of the Sea; Publishing House USSR Academy of Sciences: Moscow, Russia, 1953; 989p. [Google Scholar]
  54. Loads and Impacts on Hydraulic Structures (Wave, Ice and from Ships); SNiP 2.06.04-82; VNIIG im. B.E. Vedeneyev of the USSR Ministry of Energy; TsITP Gosstroy USSR: Moscow, Russia, 1986; 176p.
  55. Hydrometeorology and hydrochemistry of the USSR Seas. In The Sea of Azov; Goptarev, N.P., Simonova, A.I., Zatuchnaya, B.M., Gershanovich, D.E., Eds.; Gidrometeoizdat: St. Petersburg, Russia, 1991; Volume 5, p. 237. [Google Scholar]
  56. Misirov, S.A. Modern morphometric data of the coastal zone of the Taganrog Bay (within the Rostov Region) according to the data of the expedition research of the Southern Scientific Centre of The Russian Academy of Sciences. Ekon. Inf. Ser. Geoinf. Tekhnol. Kosm. Monit. 2023, 2, 56–62. [Google Scholar]
  57. Matishov, G.G.; Dashkevich, L.V.; Kirillova, E.E. Cyclicity of Climate in the Sea of Azov Region: The Holocene and the Current Period (19th to 21st Centuries). Dokl. Earth Sci. 2021, 498, 436–440. [Google Scholar] [CrossRef]
  58. Divinsky, B.V.; Kosyan, R.D. Formation of sand spit on the northern coast of the Sea of Azov. In Proceedings of the XXIX Coastal Conference: Natural and Theoretical Research—Into Coastal Management Practice, Kaliningrad, Russia, 18–24 April 2022; pp. 86–87. [Google Scholar]
Figure 1. Study area. (A) Geographical location of the study area on the map of Europe and the boundaries of the computational grid used for the WRF model. (B) Boundaries of the computational grid used for the SWAN model and the geographical locations of coastal hydrometeorological stations.
Figure 1. Study area. (A) Geographical location of the study area on the map of Europe and the boundaries of the computational grid used for the WRF model. (B) Boundaries of the computational grid used for the SWAN model and the geographical locations of coastal hydrometeorological stations.
Water 17 00036 g001
Figure 2. Frequency of fast ice occurrence in the Sea of Azov (2014–2023).
Figure 2. Frequency of fast ice occurrence in the Sea of Azov (2014–2023).
Water 17 00036 g002
Figure 3. Ice pile-up events along the Sea of Azov coastline: (a) January 2012; (b) 24 December 2022; (c) 17 February 2023; (d) 22 March 2012.
Figure 3. Ice pile-up events along the Sea of Azov coastline: (a) January 2012; (b) 24 December 2022; (c) 17 February 2023; (d) 22 March 2012.
Water 17 00036 g003
Figure 4. Frequency of ice pile-up events along the Sea of Azov coastline.
Figure 4. Frequency of ice pile-up events along the Sea of Azov coastline.
Water 17 00036 g004
Figure 5. Maximum daily average wind speeds (m/s) along the Sea of Azov coast during winter months (2014–2023). a—Positive long-term trend; b—negative long-term trend; c—no trend.
Figure 5. Maximum daily average wind speeds (m/s) along the Sea of Azov coast during winter months (2014–2023). a—Positive long-term trend; b—negative long-term trend; c—no trend.
Water 17 00036 g005
Figure 6. Frequency of days with average daily wind speeds ≥ 7 m/s along the Sea of Azov coast during winter months (2014–2023).
Figure 6. Frequency of days with average daily wind speeds ≥ 7 m/s along the Sea of Azov coast during winter months (2014–2023).
Water 17 00036 g006
Figure 7. Maximum significant wave height (m) in the Sea of Azov (2010–2020).
Figure 7. Maximum significant wave height (m) in the Sea of Azov (2010–2020).
Water 17 00036 g007
Figure 8. Maximum dynamic load (tf/m2) from wind waves in the Sea of Azov (2010–2020).
Figure 8. Maximum dynamic load (tf/m2) from wind waves in the Sea of Azov (2010–2020).
Water 17 00036 g008
Figure 9. Impacts on the coastal zone of the Sea of Azov during winter (2014–2023).
Figure 9. Impacts on the coastal zone of the Sea of Azov during winter (2014–2023).
Water 17 00036 g009
Table 1. Long-term changes in temperature and ice conditions in the Sea of Azov.
Table 1. Long-term changes in temperature and ice conditions in the Sea of Azov.
Parameter/Period1961–19901991–20202014–2023
Σ−Taganrog, °C−605−460−290
Mean annual ice cover, %332512
Ice duration, days (Taganrog)118 19682
Note: 1 calculated for the period 1965–1990.
Table 2. Observed cases of ice pile-up on the shores of the Sea of Azov.
Table 2. Observed cases of ice pile-up on the shores of the Sea of Azov.
No.LocationDate dd.mm.yearV avg (m/s)V max (m/s)Number of Days with Speed > 7 m/sIce Thickness (cm)
1Mariupol30.01.20086.59.5330
2Port-Katon05.02.20085.711.3230
3Mariupol01.02.20106.69.7610–15
4Mariupol22.02.20105.89.22No data
5Mariupol01.02.20114.46.3010–15
6Genichesk21–31 January 2012 110.617.27<10
7Mariupol03.01.20134.16.3015–30
8Mariupol05.01.20145.46.50No data
9Eysk27.12.20205.77.62<10
10Krasny Desant14.03.20216.910.72<10
11Zaymo-Obryv20.01.20226.813.85<10
12Petrushino24.12.20227.011.910<10
13Taganrog17.02.20236.210.5610–15
Note: 1 the exact date is unknown.
Disclaimer/Publisher’s Note: The statements, opinions and data contained in all publications are solely those of the individual author(s) and contributor(s) and not of MDPI and/or the editor(s). MDPI and/or the editor(s) disclaim responsibility for any injury to people or property resulting from any ideas, methods, instructions or products referred to in the content.

Share and Cite

MDPI and ACS Style

Yaitskaya, N.; Magaeva, A. Wind, Wave, and Ice Impacts on the Coastal Zone of the Sea of Azov. Water 2025, 17, 36. https://doi.org/10.3390/w17010036

AMA Style

Yaitskaya N, Magaeva A. Wind, Wave, and Ice Impacts on the Coastal Zone of the Sea of Azov. Water. 2025; 17(1):36. https://doi.org/10.3390/w17010036

Chicago/Turabian Style

Yaitskaya, Natalia, and Anastasiia Magaeva. 2025. "Wind, Wave, and Ice Impacts on the Coastal Zone of the Sea of Azov" Water 17, no. 1: 36. https://doi.org/10.3390/w17010036

APA Style

Yaitskaya, N., & Magaeva, A. (2025). Wind, Wave, and Ice Impacts on the Coastal Zone of the Sea of Azov. Water, 17(1), 36. https://doi.org/10.3390/w17010036

Note that from the first issue of 2016, this journal uses article numbers instead of page numbers. See further details here.

Article Metrics

Back to TopTop