Distributed Composite Drought Index Based on Principal Component Analysis and Temporal Dependence Assessment
Abstract
1. Introduction
2. Materials and Methods
2.1. Study Area
2.2. Data Sources
- ○
- Long-term time series of daily average streamflow from the Cunhas and Torrão do Alentejo hydrometric stations, covering 31 years (1950–2011) and 12 years (1961–1992), respectively, were obtained from the Sistema Nacional de Recursos Hídricos (SNIRH), Portugal.
- ○
- E-OBS gridded land-only observational dataset for daily precipitation, and the minimum and maximum air temperatures at 0.1° spatial resolution was downloaded from https://surfobs.climate.copernicus.eu (accessed on 20 November 2023).
- ○
- Long-term monthly Normalized Difference Vegetation Index (NDVI) with a spatial resolution of 0.05° (5 km) were obtained from https://zenodo.org/records/4320407 (accessed on 25 February 2024). The monthly NDVI products were computed from daily AVHRR images (NOAA/CDR/AVHRR/NDVI/V5).
- ○
- Daily soil moisture estimation data corresponding to topmost soil layer (0–10 cm) with 0.25° spatial resolution was retrieved from the European Space Agency (ESA) with the gridded soil moisture products derived from radiometrically calibrated backscatter or brightness temperature measurements. The product is provided as global daily images, expressed in volumetric units [m3 m−3], and was downloaded from https://climate.esa.int/en/projects/soil-moisture/data/ (accessed on 29 November 2023).
- ○
- The high-resolution TerraClimate global PDSI dataset retrieved from https://climatedataguide.ucar.edu/climate-data/terraclimate-global-high-resolution-gridded-temperature-precipitation-and-other-water/ (accessed on 5 November 2024).
2.3. General Methodology
- (i)
- Daily precipitation, maximum and minimum air temperature datasets, derived from the E-OBS gridded observational dataset at 0.1° spatial resolution [23], were collected and transformed into a monthly time scale to be used for the SSPI and SSPEI calculations. The daily soil moisture dataset provided as a regular 0.25° grid was averaged into a monthly basis and a monthly NDVI at 0.05°spatial resolution was extracted for the respective study areas. Finally, the monthly values of streamflow time series were first obtained by accumulating the observed daily flows from SNIRH and taking into account each basin area, then the Témez water balance model [24] was fitted by considering weighted precipitation and evapotranspiration for both basins within the same available streamflow time periods. Then, the adjusted hydrological models were used to extend the historical monthly streamflow within the 1982–2019 time window considered for the analysis, in accordance with the recommendations of the World Meteorological Organization for drought calculations [25].
- (ii)
- A regridding process based on the bilinear method was conducted to interpolate all datasets to a common spatial resolution of 0.05° (5 km), using the methodology described in [26].
- (iii)
- The new Simplified Standardized Precipitation Index (SSPI) and Simplified Standardized Precipitation Evapotranspiration Index (SSPEI), developed by [20], were calculated for each grid cell. These are computationally simplified versions of the SPI and SPEI but are equivalent and allow comparisons over time and space as they are standardized. In order to use the same normalization procedure to standardize all the indices and variables used as inputs to the PCA, the Box–Cox standardization method [27] was applied to the other drought-related variables used in the analysis, allowing all PCA inputs to follow a normal distribution with a mean of zero and a standard deviation of one. This improves the performance of the PCA by preventing the result of the PCA from being biased towards variables with larger scales thus producing a more reliable and unbiased result.
- (iv)
- In order to ensure that the best temporal relationships between the indices are taken into account before the PCA is applied, a TDA procedure was conducted for each grid cell and the matrix of indices was cross correlated at several lag times to identify the lag time at which each drought index has the strongest association with the SSPI. The SSPI was chosen as the base to simplify the calculation of the lag correlations between the indices used as input matrix to the PCA.
- (v)
- After applying TDA to the matrix of indices, the time series of each PCA input were temporarily moved k steps up or down relative to the SSPI. This reordering removes the lagged correlations between the indices and allows them to covary simultaneously. Then, for each grid cell, PCA was applied to the rearranged matrix of drought indices, with the aim of identifying the main principal component (PC) that explains most of the variance in the correlation matrix of the indices.
- (vi)
- For each grid cell and time scale, the first unrotated PC from the PCA was selected, and the corresponding PC score was normalized and represented as the CDI for that grid cell. The computed CDI was then compared and validated with the other drought indices to ascertain the performance of the new index.
2.4. Drought Indices
2.4.1. Simplified Standardized Precipitation Index and Simplified Standardized Precipitation Evapotranspiration Index (SSPI and SSPEI)
2.4.2. Normalized Difference Vegetation Index (NDVI)
2.4.3. Soil Moisture (SM)
2.4.4. Basins Streamflows
2.5. Regridding Data
2.6. Box–Cox Normalization
2.7. Temporal Dependence Assessment Between Indices
2.8. CDI Computation
3. Results
3.1. Streamflow Modeling
3.2. Cross and Lag Correlation Between Drought Indices
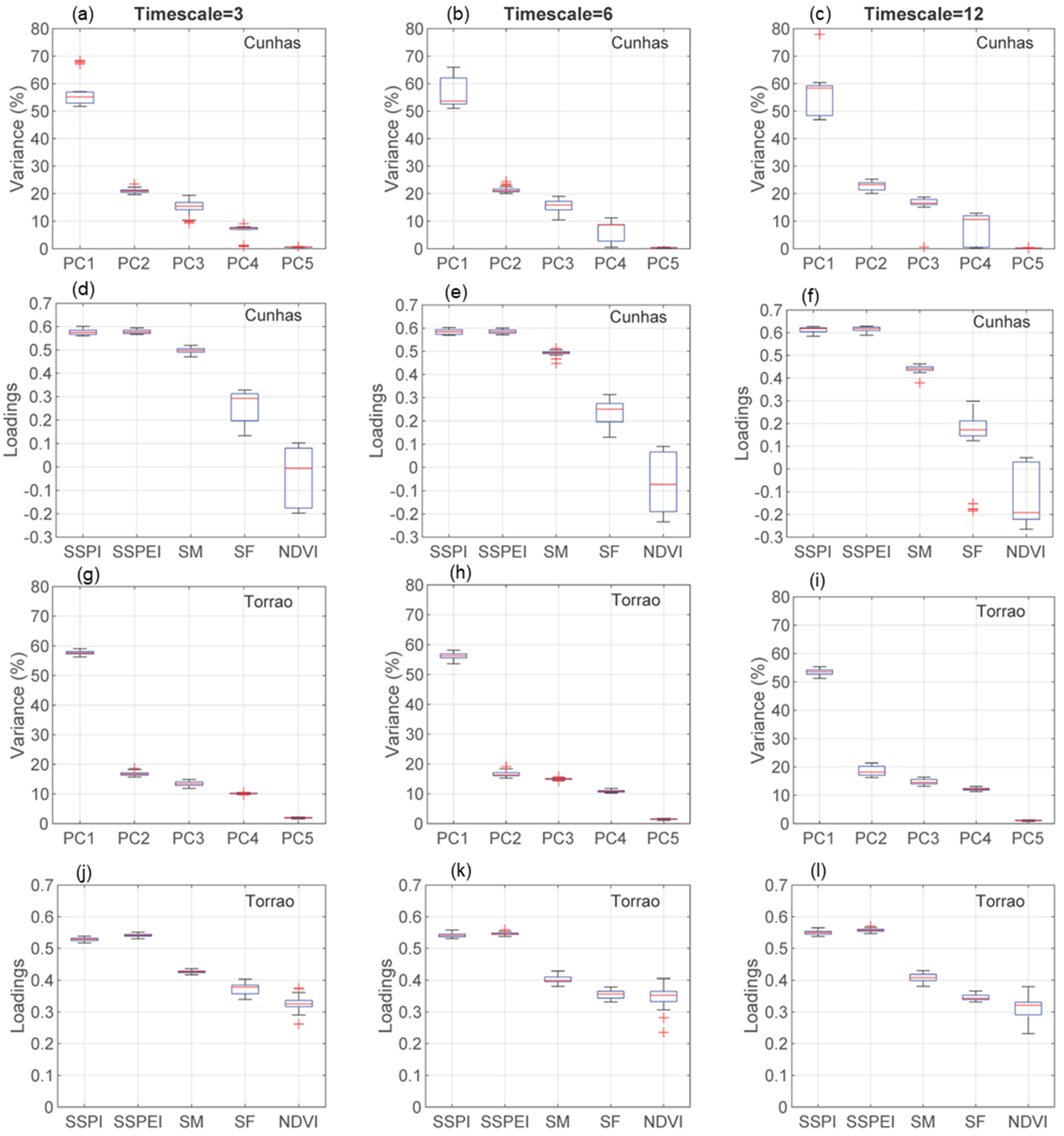
3.3. PCA-Based Composite Drought Index
4. Discussion
5. Conclusions
- (1)
- There is no real ‘‘ground truth’’ measure of drought events in the basin to compare with the CDI. Although the SSPI, SSPEI, and SM indices were used as the ‘‘ground truth’’ measures of drought in the basin, they might not be truly representative of drought conditions in the area. Therefore, we are not able to provide a reliable and confident validation on the CDI.
- (2)
- None of the indicators (e.g., univariate, multivariate, or composite) are inherently superior to the others, but each may be more appropriate than the others for its specific application. For example, if the monitoring of meteorological drought conditions is of particular interest, the SPI/SSPI would still be the first choice.
- (3)
- According to the studies on drought monitoring, the results derived from satellite data depend on the time and place of the studies, so these indicators work regionally, and their results may differ from one climatic region to another, as observed in the studied basins.
- (4)
- The cloud contamination in remote sensing images and their low spatial resolution may also affect the results, as observed in this study.
- (5)
- While deeper soil moisture measurement is ideal for monitoring long-term drought impacts and water availability for deep-rooted plants, near-surface soil moisture (0–10 cm) is more suitable for agricultural drought monitoring. This is because many plant roots are concentrated in the upper soil layers, where the topmost unsaturated surface layer supplies natural vegetation and non-irrigated crops with essential moisture [66]. This approach is particularly effective in arid and semi-arid regions and areas with low tree cover. In these regions, plants rely heavily on near-surface soil moisture, which responds rapidly to drying events such as flash droughts. However, considering that vegetation in arid and semi-arid regions is more susceptible to fluctuations in near-surface soil moisture compared to vegetation in humid regions [67], the inclusion of both deeper and near-surface soil moisture in CDI computation is recommended for a comprehensive drought analysis applicable to all climate regions.
Author Contributions
Funding
Institutional Review Board Statement
Data Availability Statement
Conflicts of Interest
References
- Wilhite, D.A.; Glantz, M.H. Understanding: The Drought Phenomenon: The Role of Definitions. Water Int. 1985, 10, 111–120. [Google Scholar] [CrossRef]
- Lloyd-Hughes, B. The Impracticality of a Universal Drought Definition. Theor. Appl. Clim. 2014, 117, 607–611. [Google Scholar] [CrossRef]
- Dadson, S.; Penning-Rowsell, E.; Garrick, D.; Hope, R.; Hall, J.; Hughes, J. Water Science, Policy, and Management: A Global Challenge; Wiley Blackwell: Hoboken, NJ, USA; Chichester, West Sussex, UK, 2020; ISBN 978-1-119-52060-3. [Google Scholar]
- Naumann, G.; Alfieri, L.; Wyser, K.; Mentaschi, L.; Betts, R.A.; Carrao, H.; Spinoni, J.; Vogt, J.; Feyen, L. Global Changes in Drought Conditions Under Different Levels of Warming. Geophys. Res. Lett. 2018, 45, 3285–3296. [Google Scholar] [CrossRef]
- IPCC Summary for Policymakers. Climate Change 2013—The Physical Science Basis: Working Group I Contribution to the Fifth Assessment Report of the Intergovernmental Panel on Climate Change, 1st ed.; Intergovernmental Panel On Climate Change, Ed.; Cambridge University Press: Cambridge, UK, 2014; ISBN 978-1-107-05799-9. [Google Scholar]
- Intergovernmental Panel On Climate Change (IPCC). Climate Change 2022—Impacts, Adaptation and Vulnerability: Working Group II Contribution to the Sixth Assessment Report of the Intergovernmental Panel on Climate Change, 1st ed.; Cambridge University Press: Cambridge, UK, 2023; ISBN 978-1-00-932584-4. [Google Scholar]
- McKee, T.B.; Doesken, N.J.; Kleist, J. The Relationship of Drought Frequency and Duration to Time Scales. In Proceedings of the 8th Conference on Applied Climatology, Anaheim, CA, USA, 17–22 January 1993; Volume 17, pp. 179–183. [Google Scholar]
- Palmer, W.C. Meteorological Drought; Technological Report Weather Bureau Research Paper No 45; US Department of Commerce Weather Bureau: Washington, DC, USA, 1965. [Google Scholar]
- Vicente-Serrano, S.M.; Beguería, S.; López-Moreno, J.I. A Multiscalar Drought Index Sensitive to Global Warming: The Standardized Precipitation Evapotranspiration Index. J. Clim. 2010, 23, 1696–1718. [Google Scholar] [CrossRef]
- Mengoli, G.; Harrison, S.P.; Prentice, I.C. A Global Function of Climatic Aridity Accounts for Soil Moisture Stress on Carbon Assimilation. EGUsphere 2023, 2023, 1–19. [Google Scholar]
- Fu, Z.; Ciais, P.; Wigneron, J.-P.; Gentine, P.; Feldman, A.F.; Makowski, D.; Viovy, N.; Kemanian, A.R.; Goll, D.S.; Stoy, P.C.; et al. Global Critical Soil Moisture Thresholds of Plant Water Stress. Nat. Commun. 2023, 15, 4826. [Google Scholar] [CrossRef]
- Huang, S.; Tang, L.; Hupy, J.P.; Wang, Y.; Shao, G. A Commentary Review on the Use of Normalized Difference Vegetation Index (NDVI) in the Era of Popular Remote Sensing. J. For. Res. 2021, 32, 1–6. [Google Scholar] [CrossRef]
- Svoboda, M.D.; Fuchs, B.A. Handbook of Drought Indicators and Indices; World Meteorological Organization: Geneva, Switzerland, 2016; ISBN 978-92-63-11173-9. [Google Scholar]
- Kim, J.E.; Yu, J.; Ryu, J.-H.; Lee, J.-H.; Kim, T.-W. Assessment of Regional Drought Vulnerability and Risk Using Principal Component Analysis and a Gaussian Mixture Model. Nat. Hazards 2021, 109, 707–724. [Google Scholar] [CrossRef]
- Wei, W.; Yan, P.; Zhou, L.; Zhang, H.; Xie, B.; Zhou, J. A Comprehensive Drought Index Based on Spatial Principal Component Analysis and Its Application in Northern China. Environ. Monit. Assess. 2024, 196, 193. [Google Scholar] [CrossRef]
- Prajapati, V.K.; Khanna, M.; Singh, M.; Kaur, R.; Sahoo, R.N.; Singh, D.K. PCA–Based Composite Drought Index for Drought Assessment in Marathwada Region of Maharashtra State, India. Theor. Appl. Climatol. 2022, 149, 207–220. [Google Scholar] [CrossRef]
- Kim, S.-H.; Lee, M.-H.; Bae, D.-H. Estimation and Assessment of Natural Drought Index Using Principal Component Analysis. J. Korea Water Resour. Assoc. 2016, 49, 565–577. [Google Scholar] [CrossRef]
- Fan, J.; Sun, Q.; Zhou, W.; Zhu, Z. Principal Component Analysis for Big Data. In Wiley StatsRef: Statistics Reference Online; Kenett, R.S., Longford, N.T., Piegorsch, W.W., Ruggeri, F., Eds.; Wiley: Hoboken, NJ, USA, 2018; pp. 1–13. ISBN 978-1-118-44511-2. [Google Scholar]
- Greenacre, M.; Groenen, P.J.F.; Hastie, T.; D’Enza, A.I.; Markos, A.; Tuzhilina, E. Principal Component Analysis. Nat. Rev. Methods Primers 2022, 2, 100. [Google Scholar] [CrossRef]
- Raziei, T.; Miri, M. An Alternative Approach for Computing the Standardized Precipitation-Evapotranspiration Index (SPEI). Water Resour. Manag. 2023, 37, 4123–4141. [Google Scholar] [CrossRef]
- Raziei, T. Improving the Normalization Procedure of the Simplified Standardized Precipitation Index (SSPI) Using Box–Cox Transformation. Stoch. Environ. Res. Risk Assess. 2023, 37, 925–951. [Google Scholar] [CrossRef]
- Beck, H.E.; McVicar, T.R.; Vergopolan, N.; Berg, A.; Lutsko, N.J.; Dufour, A.; Zeng, Z.; Jiang, X.; Van Dijk, A.I.J.M.; Miralles, D.G. High-Resolution (1 Km) Köppen-Geiger Maps for 1901–2099 Based on Constrained CMIP6 Projections. Sci. Data 2023, 10, 724. [Google Scholar] [CrossRef] [PubMed]
- Cornes, R.C.; Van Der Schrier, G.; Van Den Besselaar, E.J.M.; Jones, P.D. An Ensemble Version of the E-OBS Temperature and Precipitation Data Sets. J. Geophys. Res. Atmos. 2018, 123, 9391–9409. [Google Scholar] [CrossRef]
- Témez, J.R. Modelo Matemático de Trasformación “Precipitación-Escorrentía”; Grupo de Trabajo de Predicción de Precipitaciones y Relación Entre Precipitaciones y Caudales; Asociación de Investigación Industrial Eléctrica (ASINTEL): Madrid, Spain, 1977. [Google Scholar]
- World Meteorological Organization. Standardized Precipitation Index User Guide; World Meteorological Organization: Geneva, Switzerland, 2012; ISBN 978-92-63-11091-6. [Google Scholar]
- Jones, P.W. First- and Second-Order Conservative Remapping Schemes for Grids in Spherical Coordinates. Mon. Wea. Rev. 1999, 127, 2204–2210. [Google Scholar] [CrossRef]
- Osborne, J. Improving Your Data Transformations: Applying the Box-Cox Transformation. Pract. Assess. Res. Eval. 2010, 15, 12. [Google Scholar]
- Liu, C.; Yang, C.; Yang, Q.; Wang, J. Spatiotemporal Drought Analysis by the Standardized Precipitation Index (SPI) and Standardized Precipitation Evapotranspiration Index (SPEI) in Sichuan Province, China. Sci. Rep. 2021, 11, 1280. [Google Scholar] [CrossRef]
- Hargreaves, G.H.; Zohrab, A. Samani Reference Crop Evapotranspiration from Temperature. Appl. Eng. Agric. 1985, 1, 96–99. [Google Scholar] [CrossRef]
- Baez-Villanueva, O.M.; Zambrano-Bigiarini, M.; Miralles, D.G.; Beck, H.E.; Siegmund, J.F.; Alvarez-Garreton, C.; Verbist, K.; Garreaud, R.; Boisier, J.P.; Galleguillos, M. On the Timescale of Drought Indices for Monitoring Streamflow Drought Considering Catchment Hydrological Regimes. Hydrol. Earth Syst. Sci. 2024, 28, 1415–1439. [Google Scholar] [CrossRef]
- Parente, L.; Hengl, T. Monthly Global NDVI at 5 Km Based on AVHRR Product—1982 to 2019. NIAID Data Ecosystem; Wageningen, The Netherlands, 2020. [Google Scholar]
- Kulawardhana, R.W. Remote Sensing of Vegetation: Principles, Techniques and Applications. By Hamlyn G. Jones and Robin A Vaughan: Book Review. J. Veg. Sci. 2011, 22, 1151–1153. [Google Scholar] [CrossRef]
- Miyoshi, S.; Matsuyama, H. Investigating the Effects of Drought on the Vegetation Activity Using Remote Sensing Data: A Case Study at Chichi-Jima, Ogasawara (Bonin) Islands. J. Geogr. 2022, 131, 365–380. [Google Scholar] [CrossRef]
- Boitumelo, M.; Stričević, R.; Gregorić, E.; Zivotić, L. Spatial and Temporal Changes in Plant Water Supply Obtained by NDVI in Tinja and Kozlica Watersheds. Zemljište i Biljka 2022, 71, 45–64. [Google Scholar] [CrossRef]
- Kang, Y.; Guo, E.; Wang, Y.; Bao, Y.; Zhao, S.; A, R. Spatiotemporal Variation in Compound Dry and Hot Events and Its Effects on NDVI in Inner Mongolia, China. Remote Sens. 2022, 14, 3977. [Google Scholar] [CrossRef]
- Ali, S.; Xu, Z.T.; Henchirli, M.; Wilson, K.; Zhang, J. Studying of Drought Phenomena and Vegetation Trends over South Asia from 1990 to 2015 by Using AVHRR and NASA’s MERRA Data. Environ. Sci. Pollut. Res. 2020, 27, 4756–4768. [Google Scholar] [CrossRef] [PubMed]
- Afshar, M.H.; Bulut, B.; Duzenli, E.; Amjad, M.; Yilmaz, M.T. Global Spatiotemporal Consistency between Meteorological and Soil Moisture Drought Indices. Agric. For. Meteorol. 2022, 316, 108848. [Google Scholar] [CrossRef]
- Eswar, R.; Das, N.; Poulsen, C.; Behrangi, A.; Swigart, J.; Svoboda, M.; Entekhabi, D.; Yueh, S.; Doorn, B.; Entin, J. SMAP Soil Moisture Change as an Indicator of Drought Conditions. Remote Sens. 2018, 10, 788. [Google Scholar] [CrossRef]
- Zeri, M.; Williams, K.; Cunha, A.P.M.A.; Cunha-Zeri, G.; Vianna, M.S.; Blyth, E.M.; Marthews, T.R.; Hayman, G.D.; Costa, J.M.; Marengo, J.A.; et al. Importance of Including Soil Moisture in Drought Monitoring over the Brazilian Semiarid Region: An Evaluation Using the JULES Model, in Situ Observations, and Remote Sensing. Clim. Resil. 2022, 1, e7. [Google Scholar] [CrossRef]
- Gruber, A.; Scanlon, T.; Van Der Schalie, R.; Wagner, W.; Dorigo, W. Evolution of the ESA CCI Soil Moisture Climate Data Records and Their Underlying Merging Methodology. Earth Syst. Sci. Data 2019, 11, 717–739. [Google Scholar] [CrossRef]
- Ulaby, F.; Long, D. Microwave Radar and Radiometric Remote Sensing; University of Michigan Press: Ann Arbor, MI, USA, 2014; ISBN 978-0-472-11935-6. [Google Scholar]
- Zazo, S.; Molina, J.-L.; Ruiz-Ortiz, V.; Vélez-Nicolás, M.; García-López, S. Modeling River Runoff Temporal Behavior through a Hybrid Causal–Hydrological (HCH) Method. Water 2020, 12, 3137. [Google Scholar] [CrossRef]
- Proença De Oliveira, R.; Simões, J. Acerca Dos Modelos de Balanço Hídrico Propostos Por Thornthwaite e Mather, Temez e Soil Conservation Service. J. Water Resour. Recur. Hídricos 2022, 43, 57–78. [Google Scholar] [CrossRef]
- Box, G.E.P.; Cox, D.R. An Analysis of Transformations. J. R. Stat. Soc. Ser. B Stat. Methodol. 1964, 26, 211–243. [Google Scholar] [CrossRef]
- Karimi, M.; Shahedi, K.; Raziei, T.; Miryaghoubzadeh, M. Meteorological and Agricultural Drought Monitoring in Southwest of Iran Using a Remote Sensing-Based Combined Drought Index. Stoch. Environ. Res. Risk Assess. 2022, 36, 3707–3724. [Google Scholar] [CrossRef]
- Yu, J.; Kim, J.E.; Lee, J.-H.; Kim, T.-W. Development of a PCA-Based Vulnerability and Copula-Based Hazard Analysis for Assessing Regional Drought Risk. KSCE J. Civ. Eng. 2021, 25, 1901–1908. [Google Scholar] [CrossRef]
- Santos, J.F.; Tadic, L.; Portela, M.M.; Espinosa, L.A.; Brleković, T. Drought Characterization in Croatia Using E-OBS Gridded Data. Water 2023, 15, 3806. [Google Scholar] [CrossRef]
- Bayissa, Y.; Srinivasan, R.; Joseph, G.; Bahuguna, A.; Shrestha, A.; Ayling, S.; Punyawardena, R.; Nandalal, K.D.W. Developing a Combined Drought Index to Monitor Agricultural Drought in Sri Lanka. Water 2022, 14, 3317. [Google Scholar] [CrossRef]
- Li, S.; Zhai, L.; Zou, B.; Sang, H.; Fang, X. A Generalized Additive Model Combining Principal Component Analysis for PM2.5 Concentration Estimation. ISPRS Int. J. Geo-Inf. 2017, 6, 248. [Google Scholar] [CrossRef]
- Ren, H.; Du, L.; Peng, C.; Yang, J.; Gao, W. The Composite Drought Index Incorporated Solar-Induced Chlorophyll Fluorescence Enhances the Monitoring Capability of Short-Term Drought. J. Hydrol. 2024, 637, 131361. [Google Scholar] [CrossRef]
- Li, J.; Li, Y.; Yin, L.; Zhao, Q. A Novel Composite Drought Index Combining Precipitation, Temperature and Evapotranspiration Used for Drought Monitoring in the Huang-Huai-Hai Plain. Agric. Water Manag. 2024, 291, 108626. [Google Scholar] [CrossRef]
- Raziei, T. A Precipitation Regionalization and Regime for Iran Based on Multivariate Analysis. Theor. Appl. Climatol. 2018, 131, 1429–1448. [Google Scholar] [CrossRef]
- Páscoa, P.; Gouveia, C.M.; Russo, A.; Trigo, R.M. Drought Trends in the Iberian Peninsula over the Last 112 Years. Adv. Meteorol. 2017, 2017, 1–13. [Google Scholar] [CrossRef]
- Costa, A.C. Local Patterns and Trends of the Standard Precipitation Index in Southern Portugal (1940–1999). Adv. Geosci. 2011, 30, 11–16. [Google Scholar] [CrossRef][Green Version]
- Abatzoglou, J.T.; Dobrowski, S.Z.; Parks, S.A.; Hegewisch, K.C. TerraClimate, a High-Resolution Global Dataset of Monthly Climate and Climatic Water Balance from 1958–2015. Sci. Data 2018, 5, 170191. [Google Scholar] [CrossRef]
- Liu, Q.; Yang, S.; Li, S.; Zhang, H.; Zhang, J.; Fan, H. The Optimal Applications of scPDSI and SPEI in Characterizing Meteorological Drought, Agricultural Drought and Terrestrial Water Availability on a Global Scale. Sci. Total Environ. 2024, 952, 175933. [Google Scholar] [CrossRef] [PubMed]
- Liu, Q.; Yang, S. Macroscopic Evaluation of scPDSI and SPEI Links to Vegetation Water Stress Factors. In Proceedings of the EGU General Assembly 2024, Vienna, Austria, 14–19 April 2024. [Google Scholar]
- Wong, J.S.; Yassin, F.; Famiglietti, J.S.; Pomeroy, J.W. A Streamflow-Oriented Ranking-Based Methodological Framework to Combine Multiple Precipitation Datasets across Large River Basins. J. Hydrol. 2021, 603, 127174. [Google Scholar] [CrossRef]
- Ariyanto, D.P.; Aziz, A.; Komariah, K.; Sumani, S.; Abara, M. Comparing the Accuracy of Estimating Soil Moisture Using the Standardized Precipitation Index (SPI) and the Standardized Precipitation Evapotranspiration Index (SPEI). Sains Tanah J. Soil Sci. Agroclimatol. 2020, 17, 23. [Google Scholar] [CrossRef]
- Zhu, C.; Tian, J.; Tian, Q.; Wang, X.; Li, Q. Using NDVI-NSSI Feature Space for Simultaneous Estimation of Fractional Cover of Non-Photosynthetic Vegetation and Photosynthetic Vegetation. Int. J. Appl. Earth Obs. Geoinf. 2023, 118, 103282. [Google Scholar] [CrossRef]
- Khalil, R.; Khan, M.S.; Hasan, Y.; Nacer, N.; Khan, S. Supervised NDVI Composite Thresholding for Arid Region Vegetation Mapping. Eng. Technol. Appl. Sci. Res. 2024, 14, 14420–14427. [Google Scholar] [CrossRef]
- Rohde, C.; Iraheta, A.; Beyer, M.; Demir, G.; Dubbert, M. Understanding Water Use Strategies of Central European Tree Species in Dependency on Groundwater Depth. In Proceedings of the EGU General Assembly 2024, Vienna, Austria, 14–19 April 2024. [Google Scholar]
- Mao, Y.; Van Niel, T.G.; McVicar, T.R. Reconstructing Cloud-Contaminated NDVI Images with SAR-Optical Fusion Using Spatio-Temporal Partitioning and Multiple Linear Regression. ISPRS J. Photogramm. Remote Sens. 2023, 198, 115–139. [Google Scholar] [CrossRef]
- Julien, Y.; Sobrino, J.A. CloudSim: A Fair Benchmark for Comparison of Methods for Times Series Reconstruction from Cloud and Atmospheric Contamination. In Proceedings of the 2015 8th International Workshop on the Analysis of Multitemporal Remote Sensing Images (Multi-Temp), Annecy, France, 22–24 July 2015; pp. 1–4. [Google Scholar]
- Hashim, M.; Pour, A.B.; Onn, C.H. Optimizing Cloud Removal from Satellite Remotely Sensed Data for Monitoring Vegetation Dynamics in Humid Tropical Climate. IOP Conf. Ser. Earth Environ. Sci. 2014, 18, 012010. [Google Scholar] [CrossRef]
- Tramblay, Y.; Koutroulis, A.; Samaniego, L.; Vicente-Serrano, S.M.; Volaire, F.; Boone, A.; Le Page, M.; Llasat, M.C.; Albergel, C.; Burak, S.; et al. Challenges for Drought Assessment in the Mediterranean Region under Future Climate Scenarios. Earth-Sci. Rev. 2020, 210, 103348. [Google Scholar] [CrossRef]
- Xie, X.; He, B.; Guo, L.; Miao, C.; Zhang, Y. Detecting Hotspots of Interactions between Vegetation Greenness and Terrestrial Water Storage Using Satellite Observations. Remote Sens. Environ. 2019, 231, 111259. [Google Scholar] [CrossRef]

















| Simulated Streamflow | Performance Metrics | |||||
|---|---|---|---|---|---|---|
| Basins | Model Parameters (Témez) | Periods | Mean (mm) | r (-) | RMSE (mm) | MAE (mm) | 
| Cunhas | C = 0.034 Hmax = 47.5 mm Imax = 320 mm α = 0.017 | 1950/51 to 2010/11 (global) | 59.98 | 0.88 | 25.36 | 46.59 | 
| 1950/51 to 1989/90 (calibration) | 70.47 | 0.93 | 22.35 | 32.83 | ||
| 1990/91 to 2010/11 (validation) | 40.00 | 0.88 | 31.09 | 65.20 | ||
| Torrão do Alentejo | C = 0.59 Hmax = 187 mm Imax = 477 mm α = 0.185 | 1961/62 to 1991/92 (global) | 11.85 | 0.92 | 11.99 | 11.99 | 
| 1961/62 to 1980/81 (calibration) | 13.33 | 0.93 | 5.93 | 13.44 | ||
| 1981/82 to 1991/92 (validation) | 9.15 | 0.92 | 3.68 | 8.74 | ||
| Disclaimer/Publisher’s Note: The statements, opinions and data contained in all publications are solely those of the individual author(s) and contributor(s) and not of MDPI and/or the editor(s). MDPI and/or the editor(s) disclaim responsibility for any injury to people or property resulting from any ideas, methods, instructions or products referred to in the content. | 
© 2024 by the authors. Licensee MDPI, Basel, Switzerland. This article is an open access article distributed under the terms and conditions of the Creative Commons Attribution (CC BY) license (https://creativecommons.org/licenses/by/4.0/).
Share and Cite
Santos, J.F.; Carriço, N.; Miri, M.; Raziei, T. Distributed Composite Drought Index Based on Principal Component Analysis and Temporal Dependence Assessment. Water 2025, 17, 17. https://doi.org/10.3390/w17010017
Santos JF, Carriço N, Miri M, Raziei T. Distributed Composite Drought Index Based on Principal Component Analysis and Temporal Dependence Assessment. Water. 2025; 17(1):17. https://doi.org/10.3390/w17010017
Chicago/Turabian StyleSantos, João F., Nelson Carriço, Morteza Miri, and Tayeb Raziei. 2025. "Distributed Composite Drought Index Based on Principal Component Analysis and Temporal Dependence Assessment" Water 17, no. 1: 17. https://doi.org/10.3390/w17010017
APA StyleSantos, J. F., Carriço, N., Miri, M., & Raziei, T. (2025). Distributed Composite Drought Index Based on Principal Component Analysis and Temporal Dependence Assessment. Water, 17(1), 17. https://doi.org/10.3390/w17010017
 
        





 
       