Tree-Ring Inferred Drought Variations in the Source Region of the Yangtze, Yellow, and Mekong Rivers over the Past Five Centuries
Abstract
1. Introduction
2. Materials and Methods
2.1. Tree-Ring Data

2.2. Meteorological Data
2.3. Methods
3. Results
3.1. Characteristics of Tree-Ring Width Data
3.2. Regional Tree-Ring Width Chronology
3.3. Relationships between Regional Tree-Ring Width Chronology and Regional Climate
3.4. Reconstruction of May–June PDSI
4. Discussion
4.1. Climate–Growth Relationships
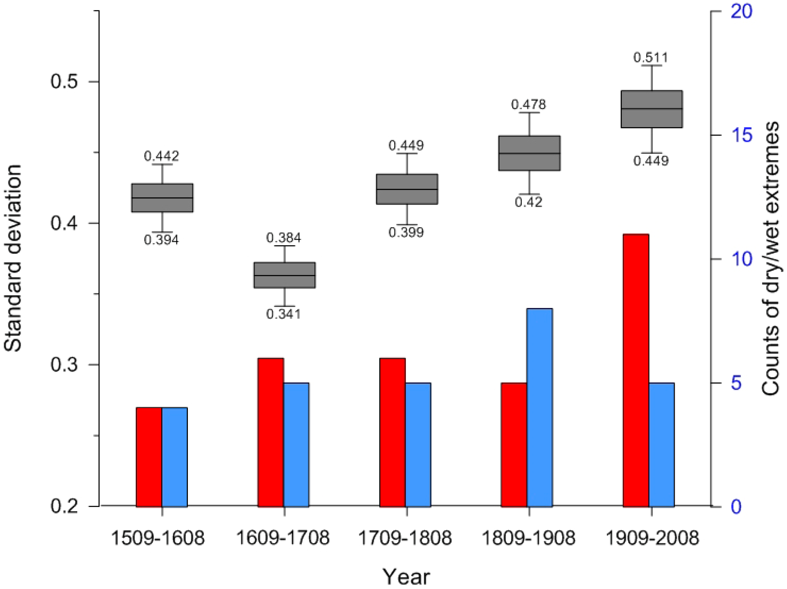
4.2. The Characteristics of PDSI Variation in the Recent Century
4.3. Comparison of Our Reconstruction with Other Records
4.4. Atmospheric Teleconnection
5. Conclusions
Author Contributions
Funding
Data Availability Statement
Acknowledgments
Conflicts of Interest
References
- Xu, X.; Lu, C.; Shi, X.; Gao, S. World water tower: An atmospheric perspective. Geophys. Res. Lett. 2008, 35, 5. [Google Scholar] [CrossRef]
- Zhao, Z.L.; Zhang, Y.L.; Liu, L.S.; Liu, F.G.; Zhang, H.F. Recent changes in wetlands on the Tibetan Plateau: A review. J. Geogr. Sci. 2015, 25, 879–896. [Google Scholar] [CrossRef]
- Chen, D.J.; Zhong, L.S.; Fan, J.; Yu, H.; Yang, D.; Zeng, Y.X. Evaluation and structural analysis of the functions of the Tibetan Plateau National Park Cluster. J. Geogr. Sci. 2022, 32, 957–980. [Google Scholar] [CrossRef]
- Pan, Y.; Zhu, J.; Zhang, Y.J.; Li, Z.N.; Wu, J.X. Poverty eradication and ecological resource security in development of the Tibetan Plateau. Resour. Conserv. Recycl. 2022, 186, 106552. [Google Scholar] [CrossRef]
- Fan, J.W.; Shao, Q.Q.; Liu, J.Y.; Wang, J.B.; Harris, W.; Chen, Z.Q.; Zhong, H.P.; Xu, X.L.; Liu, R.G. Assessment of effects of climate change and grazing activity on grassland yield in the Three Rivers Headwaters Region of Qinghai-Tibet Plateau, China. Environ. Monit. Assess. 2010, 170, 571–584. [Google Scholar] [CrossRef] [PubMed]
- Bibi, S.; Wang, L.; Li, X.P.; Zhou, J.; Chen, D.L.; Yao, T.D. Climatic and associated cryospheric, biospheric, and hydrological changes on the Tibetan Plateau: A review. Int. J. Climatol. 2018, 38, e1–e17. [Google Scholar] [CrossRef]
- Kuang, X.X.; Jiao, J.J. Review on climate change on the Tibetan Plateau during the last half century. J. Geophys. Res.-Atmos. 2016, 121, 3979–4007. [Google Scholar] [CrossRef]
- Bai, Y.F.; Guo, C.C.; Degen, A.A.; Ahmad, A.A.; Wang, W.Y.; Zhang, T.; Li, W.Y.; Ma, L.; Huang, M.; Zeng, H.J. Climate warming benefits alpine vegetation growth in Three-River Headwater Region, China. Sci. Total Environ. 2020, 742, 140574. [Google Scholar] [CrossRef]
- Feng, A.Q.; Li, Y.Z.; Gao, J.B.; Wu, S.H.; Feng, A.X. The determinants of streamflow variability and variation in Three-River Source of China: Climate change or ecological restoration? Environ. Earth Sci. 2017, 76, 696. [Google Scholar] [CrossRef]
- Jiang, Y.; Li, S.; Shen, D.; Chen, W. Climate change and its impact on the regional environment in the source regions of the Yangtze, Yellow and Lantsang rivers in Qinghai-Tibetan Plateau during 1971–2008. J. Mt. Sci. 2012, 30, 461–469. [Google Scholar]
- Zhou, D.G.; Huang, R.H. Response of water budget to recent climatic changes in the source region of the Yellow River. Chin. Sci. Bull. 2012, 57, 2155–2162. [Google Scholar] [CrossRef]
- Lan, Y.; Zhao, G.; Zhang, Y.; Wen, J.; Liu, J.; Hu, X. Response of runoff in the source region of the Yellow River to climate warming. Quat. Int. 2010, 226, 60–65. [Google Scholar] [CrossRef]
- Zhang, Y.; Zhang, S.; Zhai, X.; Xia, J. Runoff variation and its response to climate change in the Three Rivers Source Region. J. Geog. Sci. 2012, 22, 781–794. [Google Scholar] [CrossRef]
- Xu, W.; Gu, S.; Su, W.; Jiang, S.; Xiao, R.; Xiao, J.; Zhang, J. Spatial pattern and its variations of aridity/humidity during 1971–2010 in Three-River Source Region on the Qinghai-Tibet Plateau. Arid. Land Geogr. 2012, 35, 46–55. (In Chinese) [Google Scholar]
- Ji, P.; Yuan, X. High-resolution land surface modeling of hydrological changes over the Sanjiangyuan region in the eastern Tibetan Plateau: 2. Impact of climate and land cover change. J. Adv. Model. Earth Syst. 2018, 10, 2829–2843. [Google Scholar] [CrossRef]
- Zheng, D.F.; Wang, Y.H.; Hao, S.; Xu, W.J.; Lv, L.T.; Yu, S. Spatial-temporal variation and tradeoffs/synergies analysis on multiple ecosystem services: A case study in the Three -River Headwaters region of China. Ecol. Indic. 2020, 116, 3086. [Google Scholar] [CrossRef]
- Zhao, Q.; Ding, Y.H.; Wang, J.; Gao, H.; Zhang, S.; Zhao, C.; Xu, J.; Han, H.; Shangguan, D. Projecting climate change impacts on hydrological processes on the Tibetan Plateau with model calibration against the glacier inventory data and observed streamflow. J. Hydrol. 2019, 573, 60–81. [Google Scholar] [CrossRef]
- Cook, E.R.; Anchukaitis, K.J.; Buckley, B.M.; D’Arrigo, R.D.; Jacoby, G.C.; Wright, W.E. Asian monsoon failure and megadrought during the last millennium. Science 2010, 328, 486–489. [Google Scholar] [CrossRef] [PubMed]
- Yang, B.; Qin, C.; Wang, J.; He, M.; Melvin, T.M.; Osborn, T.J.; Briffa, K.R. A 3,500-year tree-ring record of annual precipitation on the northeastern Tibetan Plateau. Proc. Natl. Acad. Sci. USA 2014, 111, 2903–2908. [Google Scholar] [CrossRef]
- Yao, T.D.; Duan, K.; Xu, B.; Wang, N.; Guo, X.; Yang, X. Precipitation record since AD 1600 from ice cores on the central Tibetan Plateau. Clim. Past 2008, 4, 175–180. [Google Scholar] [CrossRef]
- Gou, X.H.; Chen, F.H.; Cook, E.; Jacoby, G.; Yang, M.; Li, J. Streamflow variations of the Yellow River over the past 593 years in western China reconstructed from tree rings. Water Resour. Res. 2007, 43, W06434. [Google Scholar] [CrossRef]
- Tian, Q.H.; Zhou, X.J.; Gou, X.H.; Zhao, P.; Fan, Z.X.; Helama, S. Analysis of reconstructed annual precipitation from tree-rings for the past 500 years in the middle Qilian Mountain. Sci. China Earth Sci. 2012, 55, 770–778. [Google Scholar] [CrossRef]
- Ham, Y.G.; Kim, J.H.; Min, S.K.; Kim, D.; Li, T.M.; Timmermann, A.; Stuecker, M.F. Anthropogenic fingerprints in daily precipitation revealed by deep learning. Nature 2023, 622, 301–307. [Google Scholar] [CrossRef] [PubMed]
- Liu, X.H.; Shao, X.M.; Wang, L.L.; Liang, E.; Qin, D.H.; Ren, J.W. Response and dendroclimatic implications of δ13C in tree rings to increasing drought on the northeastern Tibetan Plateau. J. Geophys. Res. Biogeosci. 2008, 113, 11. [Google Scholar] [CrossRef]
- Zhang, Y.; Shao, X.M.; Yin, Z.Y.; Liang, E.Y.; Tian, Q.; Xu, Y. Characteristics of extreme droughts inferred from tree-ring data in the Qilian Mountains, 1700–2005. Clim. Res. 2011, 50, 141–159. [Google Scholar] [CrossRef]
- Shao, X.M.; Huang, L.; Liu, H.B.; Liang, E.Y.; Fang, X.Q.; Wang, L.L. Reconstruction of precipitation variation from tree rings in recent 1000 years in Delingha, Qinghai. Sci. China Earth Sci. 2005, 48, 939–949. [Google Scholar] [CrossRef]
- Liu, J.; Qin, N.S.; Li, J.J.; Zhou, B.; Luo, Y. Characteristics of reconstructed runoff variation and its response to climate change in the source region of Yangtze River from 1374 to 2012. Quat. Sci. 2021, 41, 1683–1696. [Google Scholar]
- Shao, X.M.; Xu, Y.; Yin, Z.Y.; Liang, E.; Zhu, H.; Wang, S. Climatic implications of a 3585-year tree-ring width chronology from the northeastern Qinghai-Tibetan Plateau. Quat. Sci. Rev. 2010, 29, 2111–2122. [Google Scholar] [CrossRef]
- Zhang, Q.B.; Evans, M.N.; Lyu, L. Moisture dipole over the Tibetan Plateau during the past five and a half centuries. Nat. Commun. 2015, 6, 8062. [Google Scholar] [CrossRef]
- Stokes, M.A.; Smiley, T.L. An Introduction to Tree-Ring Dating; University of Arizona Press: Tucson, AZ, USA, 1996. [Google Scholar]
- Cook, E.R. A Time Series Analysis Approach to Tree-Ring Standardization. Ph.D. Dissertation, University of Arizona, Tucson, AZ, USA, 1985. [Google Scholar]
- Dai, A.G.; Trenberth, K.E.; Qian, T. A global dataset of palmer drought severity index for 1870–2002: Relationship with soil moisture and effects of surface warming. J. Hydrometeorol. 2004, 5, 1117–1130. [Google Scholar] [CrossRef]
- Cook, E.R.; Briffa, K.R.; Jones, P.D. Spatial regression methods in dendroclimatology: A review and comparison of two techniques. Int. J. Climatol. 1994, 14, 379–402. [Google Scholar] [CrossRef]
- Fritts, H.C. Tree Rings and Climate; Academic Press: New York, NY, USA, 1976. [Google Scholar]
- Huang, J.G.; Zhang, Q.B. Tree rings and climate for the last 680 years in Wulan area of northeastern Qinghai-Tibetan Plateau. Clim. Chang. 2007, 80, 369–377. [Google Scholar] [CrossRef]
- Li, J.; Cook, E.R.; D’Arrigo, R.; Chen, F.; Gou, X.; Peng, J.; Huang, J. Common tree growth anomalies over the northeastern Tibetan Plateau during the last six centuries: Implications for regional moisture change. Global. Chang. Biol. 2008, 14, 2096–2107. [Google Scholar] [CrossRef]
- Yin, Z.Y.; Shao, X.M.; Qin, N.S.; Liang, E.Y. Reconstruction of a 1436-year soil moisture and vegetation water use history based on tree-ring widths from Qilian junipers in northeastern Qaidam Basin, northwestern China. Int. J. Climatol. 2008, 28, 37–53. [Google Scholar] [CrossRef]
- Zhang, Y.; Shao, X.M.; Xu, Y.; Wilmking, M. Process-based modeling analyses of Sabina przewalskii growth response to climate factors around the northeastern Qaidam Basin. Chin. Sci. Bull. 2011, 56, 1518–1525. [Google Scholar] [CrossRef][Green Version]
- Ding, Y.H.; Sun, Y.; Wang, Z.Y.; Zhu, Y.X.; Song, Y.F. Inter-decadal variation of the summer precipitation in China and its association with decreasing Asian summer monsoon Part II: Possible causes. Int. J. Climatol. 2009, 29, 1926–1944. [Google Scholar] [CrossRef]
- Fang, K.Y.; Gou, X.H.; Chen, F.H.; Frank, D.; Liu, C.; Li, J.B.; Kazmer, M. Precipitation variability during the past 400 years in the Xiaolong Mountain (central China) inferred from tree rings. Clim. Dynam. 2012, 39, 1697–1707. [Google Scholar] [CrossRef]
- Xiong, J.N.; Yong, Z.W.; Wang, Z.G.; Cheng, W.M.; Li, Y.; Zhang, H.; Ye, C.C.; Yang, Y.M. Spatial and Temporal Patterns of the Extreme Precipitation across the Tibetan Plateau (1986–2015). Water 2019, 11, 1453. [Google Scholar] [CrossRef]
- IPCC. Climate Change 2013: The Physical Science Basis. Contribution of Working Group I to the Fifth Assessment Report of the Intergovernmental Panel on Climate Change; Cambridge University Press: Cambridge, UK, 2013. [Google Scholar]
- Seager, R.; Naik, N.; Vogel, L. Does global warming cause intensified interannual hydroclimate variability? J. Clim. 2012, 25, 3355–3372. [Google Scholar] [CrossRef]
- Fang, K.Y.; Gou, X.H.; Chen, F.H.; Li, J.B.; D’Arrigo, R.; Cook, E.; Yang, T.; Davi, N. Reconstructed droughts for the southeastern Tibetan Plateau over the past 568 years and its linkages to the Pacific and Atlantic Ocean climate variability. Clim. Dynam. 2010, 35, 577–585. [Google Scholar] [CrossRef]
- Gou, X.H.; Chen, F.H.; Jacoby, G.; Cook, E.; Yang, M.X.; Peng, H.F.; Zhang, Y. Rapid tree growth with respect to the last 400 years in response to climate warming, northeastern Tibetan Plateau. Int. J. Climatol. 2007, 27, 1497–1503. [Google Scholar] [CrossRef]
- Liang, E.Y.; Shao, X.M.; Xu, Y. Tree-ring evidence of recent abnormal warming on the southeast Tibetan Plateau. Theor. Appl. Climatol. 2009, 98, 9–18. [Google Scholar] [CrossRef]
- Fang, K.Y.; Gou, X.H.; Chen, F.H.; Cook, E.; Li, J.B.; Buckley, B.; D’Arrigo, R. Large-scale precipitation variability over northwest China inferred from tree rings. J. Clim. 2011, 24, 3457–3468. [Google Scholar] [CrossRef]
- Fang, K.Y.; Davi, N.; Gou, X.H.; Chen, F.H.; Cook, E.; Li, J.B.; D’Arrigo, R. Spatial drought reconstructions for central High Asia based on tree rings. Clim. Dynam. 2010, 35, 941–951. [Google Scholar] [CrossRef]
- Fang, K.Y.; Gou, X.H.; Chen, F.H.; Liu, C.Z.; Davi, N.; Li, J.B.; Zhao, Z.Q.; Li, Y.J. Tree-ring based reconstruction of drought variability (1615–2009) in the Kongtong Mountain area, northern China. Glob. Planet. Chang. 2012, 80, 190–197. [Google Scholar] [CrossRef]
- Zhang, D.E. A Compendium of Chinese Meteorological Records of the Last 3000 Years; Jiangsu Education Press: Nanjing, China, 2004; p. 366. [Google Scholar]
- Zhang, D.E.; Liang, Y. A long lasting and extensive drought event over China during 1876–1878. Adv. Clim. Chang. Res. 2010, 6, 106–112. [Google Scholar]
- Fang, K.Y.; Gou, X.H.; Chen, F.H.; D’Arrigo, R.; Li, J.B. Tree-ring based drought reconstruction for the Guiqing Mountain (China): Linkages to the Indian and Pacific Oceans. Int. J. Climatol. 2010, 30, 1137–1145. [Google Scholar] [CrossRef]
- Peng, J.F.; Liu, Y.Z. Reconstructed droughts for the northeastern Tibetan Plateau since AD 1411 and its linkages to the Pacific, Indian and Atlantic Oceans. Quat. Int. 2013, 283, 98–106. [Google Scholar] [CrossRef]
- Tian, L.D.; Masson-Delmotte, V.; Stievenard, M.; Yao, T.D.; Jouzel, J. Tibetan Plateau summer monsoon northward extent revealed by measurements of water stable isotopes. J. Geophys. Res. Atmos. 2001, 106, 28081–28088. [Google Scholar] [CrossRef]
- Wang, J.L.; Yang, B.; Ljungqvist, F.C. Moisture and Temperature Covariability over the Southeastern Tibetan Plateau during the Past Nine Centuries. J. Clim. 2020, 33, 6583–6598. [Google Scholar] [CrossRef]
- Wang, J.B.; Wen, Z.P.; Wu, R.G.; Guo, Y.Y.; Chen, Z.S. The mechanism of growth of the low-frequency East Asia-Pacific teleconnection and the triggering role of tropical intraseasonal oscillation. Clim. Dynam. 2016, 46, 3965–3977. [Google Scholar] [CrossRef]
- Ling, S.N.; Lu, R.Y. Tropical Cyclones over the Western North Pacific Strengthen the East Asia-Pacific Pattern during Summer. Adv. Atmos. Sci. 2022, 39, 249–259. [Google Scholar] [CrossRef]
- Yu, S.Q.; Shi, X.H.; Lin, X.C. Interannual variation of East Asian summer monsoon and its impacts on general circulation and precipitation. J. Geogr. Sci. 2009, 19, 67–80. [Google Scholar] [CrossRef]









| Site | Code | Latitude | Longitude | Elev. (m) | Cores |
|---|---|---|---|---|---|
| Angsai | AS | 32°39′ | 95°41′ | 4051 | 34 |
| Jungong | JG | 34°44′ | 100°33′ | 3538 | 30 |
| Ningmute | NMT | 34°37′ | 100°57′ | 3575 | 34 |
| Xiaersi | XES | 33°44′ | 96°15′ | 4234 | 39 |
| Zhongtie | ZT | 35°03′ | 100°07′ | 3831 | 31 |
| Site | Period (EPS > 0.85) | MS | SD | AC1 | Rbar | SNR | EPS | PC1 Variance |
|---|---|---|---|---|---|---|---|---|
| AS | 1605–2008 | 0.12 | 0.168 | 0.591 | 0.237 | 7.456 | 0.882 | 29.5% |
| JG | 1810–2008 | 0.232 | 0.224 | 0.218 | 0.476 | 21.8 | 0.956 | 50.9% |
| NMT | 1605–2008 | 0.13 | 0.158 | 0.481 | 0.201 | 8.03 | 0.889 | 25.3% |
| XES | 1660–2008 | 0.185 | 0.197 | 0347 | 0.23 | 10.17 | 0.91 | 27.5% |
| ZT | 1590–2008 | 0.155 | 0.183 | 0.439 | 0.293 | 10.37 | 0.912 | 33.1% |
| JG | NMT | XES | ZT | ||
|---|---|---|---|---|---|
| AS | r | 0.142 * | 0.239 ** | 0.415 ** | 0.145 ** |
| n | 199 | 404 | 349 | 404 | |
| JG | r | 0.401 ** | 0.362 ** | 0.395 ** | |
| n | 199 | 199 | 199 | ||
| NMT | r | 0.230 ** | 0.383 ** | ||
| n | 349 | 404 | |||
| XES | r | 0.305 ** | |||
| n | 349 |
| Calibration (Model: PDSIM-J = 3.631 × RC − 3.521) | Leave-One-Out Verification | |||||||
|---|---|---|---|---|---|---|---|---|
| Period | r | R2 | R2adj | F | r | RE | Sign Test | Pmt |
| 1955–2005 | 0.676 | 45.7% | 44.6% | 41.2 | 0.628 | 0.393 | 37+/14− ** | 2.42 ** |
Disclaimer/Publisher’s Note: The statements, opinions and data contained in all publications are solely those of the individual author(s) and contributor(s) and not of MDPI and/or the editor(s). MDPI and/or the editor(s) disclaim responsibility for any injury to people or property resulting from any ideas, methods, instructions or products referred to in the content. |
© 2024 by the authors. Licensee MDPI, Basel, Switzerland. This article is an open access article distributed under the terms and conditions of the Creative Commons Attribution (CC BY) license (https://creativecommons.org/licenses/by/4.0/).
Share and Cite
Xing, P.; Bai, M.; Zhang, Q.-B.; Lyu, L. Tree-Ring Inferred Drought Variations in the Source Region of the Yangtze, Yellow, and Mekong Rivers over the Past Five Centuries. Water 2024, 16, 1186. https://doi.org/10.3390/w16081186
Xing P, Bai M, Zhang Q-B, Lyu L. Tree-Ring Inferred Drought Variations in the Source Region of the Yangtze, Yellow, and Mekong Rivers over the Past Five Centuries. Water. 2024; 16(8):1186. https://doi.org/10.3390/w16081186
Chicago/Turabian StyleXing, Pei, Mengxin Bai, Qi-Bin Zhang, and Lixin Lyu. 2024. "Tree-Ring Inferred Drought Variations in the Source Region of the Yangtze, Yellow, and Mekong Rivers over the Past Five Centuries" Water 16, no. 8: 1186. https://doi.org/10.3390/w16081186
APA StyleXing, P., Bai, M., Zhang, Q.-B., & Lyu, L. (2024). Tree-Ring Inferred Drought Variations in the Source Region of the Yangtze, Yellow, and Mekong Rivers over the Past Five Centuries. Water, 16(8), 1186. https://doi.org/10.3390/w16081186

