The Three-Dimensional Wave-Induced Current Field: An Analytical Model
Abstract
1. Introduction
- A consistent assumption that all terms of higher order than the square of the wave amplitude are negligibly small. This leads, among other things, to the exclusion from the model of wave–current and current–current interactions (unlike, for example, the work of Svendsen and Putrevu [28], in which certain terms of the order of the square of the wave amplitude, a, are omitted, while others—of the order of —are retained).
- The assumption is made that for the problem at hand, it is sufficient to apply the theory of small amplitude waves to describe wave motion. This is a widely accepted practice based on which, for instance, the components of the radiation stress tensor are defined. However, the applicability of this assumption is not suitable for the surf-zone area. A further consequence of adopting linear wave theory in this work is the omission of the average value of products of orthogonal components of wave velocities (i.e., the product of horizontal velocity components with the vertical component), whose role is emphasized in the literature (see, for example, Rivero and Arcilla [29]). For the same reason, the so-called "roller", defined as a mass of water moving between the crest and trough of a breaking wave at phase speed (see, e.g., [30]), which attempts to account for wave nonlinearity in the coastal zone, is also omitted. However, it is worth noting that Svendsen and Lorenz [23] estimated the contribution of the roller to the obtained flow velocity values at only 9%, somewhat justifying its exclusion in the prototype version of the constructed three-dimensional model.
- A new, simplified constitutive relationship defining turbulent stresses specifically for the coastal zone is proposed. To date, turbulence in this area has been poorly understood (see, for example, [31]). Therefore, the most straightforward approach to modeling the considered stresses using turbulent viscosity coefficients (according to the Boussinesq hypothesis) was chosen. However, taking into account the specifics of the coastal zone, certain additional simplifications were made, which consequently led to a significant “thinning” of the turbulent stress tensor, positively affecting the simplicity of the derived equations.
- A theory of distributions to describe momentum transport is adopted, allowing for a completely innovative formulation of the quasi-turbulent stress tensor, which, after integration into the vertical direction (with consideration to the part located on the averaged free surface of the distribution), yields the traditional (classical) radiation stress tensor. It should be noted that the proposed form of the tensor significantly deviates from the concept of vertical variability of radiation stresses published by Xia et al. [15] (as it seems incorrect). The authors of the discussed work omitted the stresses on the averaged free surface in their considerations and obtained vertical variability through the transformation of the traditional definition of radiation stresses proposed by Longuet-Higgins and Stewart [32] into a system of coordinates and through the calculation, in a somewhat convoluted manner, of the values of the integral expression. As for the radiation stresses on the averaged free surface, the results obtained in this work constitute a far-reaching generalization of the pioneering results of Stive and Wind ([33,34]) concerning the undertow.
2. Analytical Model
2.1. Main Assumptions
2.2. Mass Transport Equation
- The upper limit of the first integral can be replaced by 0, provided that integration is approaching zero from below (denoted by )’
- The integral from Z to practically equals the integral from 0 to /
2.3. Momentum Transport Equation
- As Equation (23) is linear and the wave field is known, the whole problem can be reduced to to entirely averaged flow velocities (after turbulent pulsations and wave oscillations have been filtered out) ;
- As parallel flow velocity changes are small, all the derivatives (where ) can be disregarded such that the terms on the main diagonal of the Cauchy tensor vanish;
- As the coastal hydrodynamics is markedly diversified (the horizontal flow differs significantly from the vertical flow), Reynolds stress parameterization can be diversified as well by using the horizontal and vertical turbulent viscosities ( and , respectively), where, in general, ;
- As the averaged vertical flow W is relatively low, it is omitted in the subsequent discussion.
- Kinematic conditions:
- Dynamic conditions:
- The average pressure (the accuracy is that of the terms on the order of , and only for ):
- Fluctuations of pressure related to the wave motion (the accuracy is that of the terms on the order of a):
- Kinematic conditions:
- Dynamic conditions:
3. Model Solutions
3.1. Special Solution
- Removal of all the time derivatives ();
- Removal of all derivatives with respect to coordinate y ();
- An assumption, based on the near-uniformity of alongshore velocity vertical distributions shown by measurements, that all the terms containing derivatives with respect to x only can be expressed as , resulting in the following:It is also assumed that
- The first integration with respect to z, assuming a low bottom slope and being constant vertically, results in the following:
- The second integration (under the same assumptions) produces the following:
- The third integration, within the boundaries from to , leads to the following:
3.2. General Solution
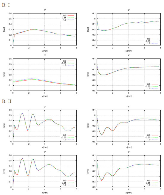
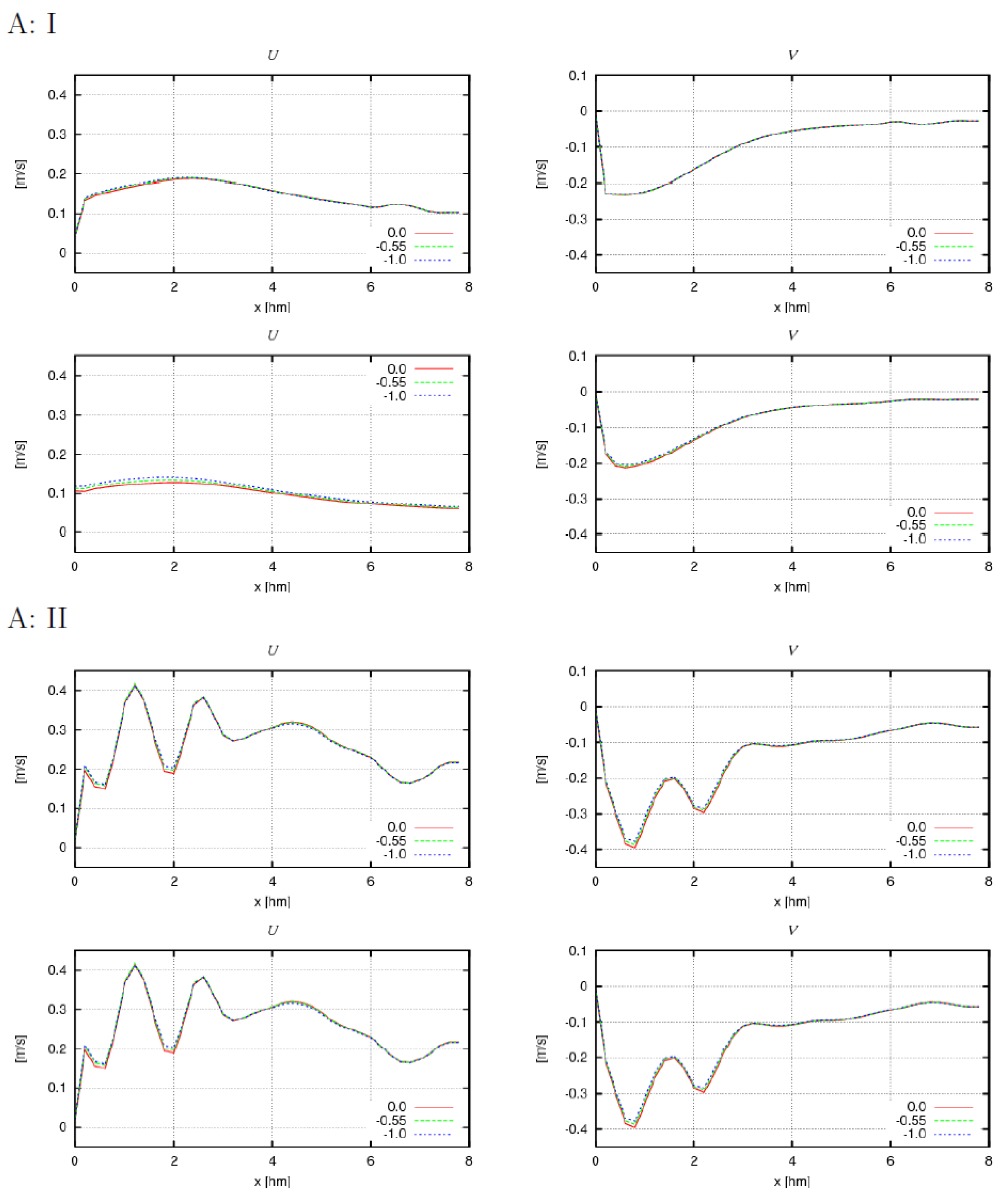
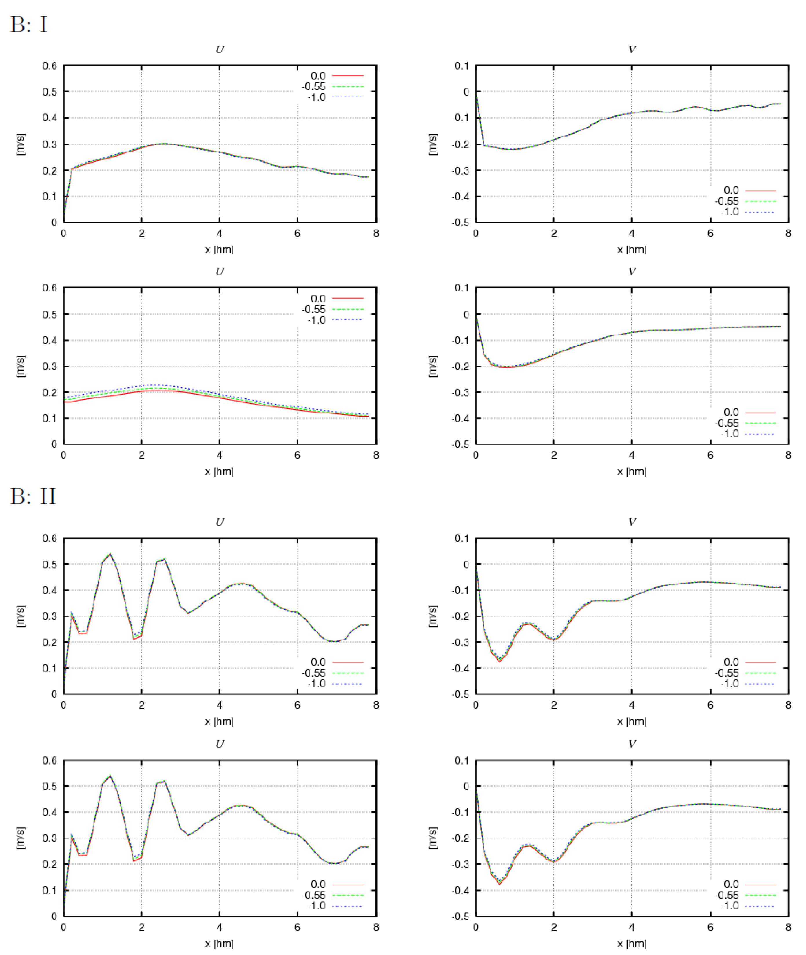
4. Results
5. Summary and Conclusions
- Some new basic simplification rules appropriate for the problem considered were proposed;
- A new simplified relationship (tailored to the nature of the coastal zone) that describes the turbulent stress tensor was formulated and applied to equations describing wave–current interactions;
- Local (quasi-turbulent) wave-induced stresses were identified and treated as components of the three-dimensional radiation stress tensor;
- The distribution of the wave-induced momentum transport (radiation stress) as a function of the depth-independent variable was described;
- The presence of the virtual wave-induced stresses (the distributional part of the radiation stress tensor) at the averaged free surface was identified, and the stresses were quantified;
- A fully three-dimensional model describing the coastal zone hydrodynamics was developed;
- An approximate analytical solution for the special case of a coastal zone homogeneous in the longshore direction (with isobaths parallel to the shoreline) was proposed;
- An approximate analytical solution for the general case was proposed.
Funding
Data Availability Statement
Conflicts of Interest
Appendix A. Main Symbols Used
- A right-handed Cartesian coordinate system () was used; the x-axis is directed toward the open sea with 0 on the shoreline; the y-axis is parallel to the smoothed coastline; the z-axis is vertical, directed upward, with 0 at the mean sea level.
- Differential operators and a few integral operators are denoted in a compact format asand in the case of multiple uses as and asThe case of multiple uses, they are denoted as , .
- All the vectors and tensors are denoted by boldface characters, e.g., , , .
- Quantities determined in the three-dimensional space are underlined, e.g., , , to distinguish them from similar quantities specified in the x;y-plane, e.g., , .
- Parentheses denote averaging over a wave period:Double parentheses denote averaging over the turbulence time scale.
- Quantities averaged over the wave motion time scale are denoted by capital italicized characters (e.g., P, ); wave-generated oscillations are written with lower-case italicized characters (e.g., p, ); turbulent pulsations are written with lower-case italicized characters with apostrophes (e.g., ). Total quantities (the sum of averaged value and wave oscillations) are written with Roman characters (e.g., , ).
- Distributions are denoted by a tilde over the Roman character (e.g., ), while their integrals are written with bold characters (e.g., ), as are the tensors.
Appendix A.1. Physical Quantities
| a | wave amplitude |
| c | phase velocity: |
| group velocity: | |
| D | local water depth |
| E | wave energy: |
| depth-dependent factor in the quasi-turbulent stress tensor equation: | |
| gravitational acceleration | |
| K | coefficient: |
| wave vector | |
| unit vector in the direction of wave propagation: | |
| k | wave number: |
| depth-integrated total wave- and current-generated mass transport: | |
| wave-generated mass transport: | |
| instantaneous pressure: | |
| P | averaged pressure |
| p | pressure fluctuations related to wave motion |
| depth-integrated internal current-generated volumetric transport: | |
| depth-integrated total wave- and current-generated volumetric transport: | |
| wave-generated volumetric transport: | |
| internal radiation stress (modified quasi-turbulent stress tensor): | |
| generalized radiation stress | |
| depth-integrated total radiation stress (classical radiation stress tensor): | |
| depth-integrated radiation stress: | |
| momentum transport at mean surface level: | |
| horizontal vector of instantaneous velocity: | |
| , | |
| three-dimensional vector of instantaneous velocity: | |
| , | |
| horizontal vector of averaged velocity: | |
| three-dimensional vector of averaged velocity: | |
| generalized horizontal averaged velocity: | |
| horizontal vector of orbital velocity: | |
| three-dimensional vector of orbital velocity: | |
| three-dimensional vector of turbulent pulsations: | |
| maximum orbital velocity at the seabed | |
| vertical component of instantaneous velocity | |
| W | vertical component of averaged velocity |
| w | vertical component of orbital velocity |
| instantaneous free surface elevation: | |
| Z | mean surface level |
| wave direction | |
| coefficient: | |
| Dirac delta function | |
| wave-generated free surface fluctuation | |
| molecular viscosity coefficient | |
| kinematic coefficient of turbulent viscosity | |
| kinematic coefficient of horizontal turbulent viscosity | |
| kinematic coefficient of vertical turbulent viscosity | |
| water density | |
| surface stress | |
| bottom stress: |
Appendix A.2. Differential Operators
Appendix A.3. Horizontal Unit Tensor
References
- Longuet-Higgins, M.S. Longshore currents generated by obliquely incident sea waves: 1. J. Geophys. Res. 1970, 75, 6778–6789. [Google Scholar] [CrossRef]
- Longuet-Higgins, M.S. Longshore currents generated by obliquely incident sea waves: 2. J. Geophys. Res. 1970, 75, 6790–6801. [Google Scholar] [CrossRef]
- Dyhr-Nielsen, M.; Sorensen, T. Some sand transport phenomena on coast with bars. In Proceedings of the 12th International Conference on Coastal Engineering, ASCE, Washington, DC, USA, 13–18 September 1970; Volume 2, pp. 855–865. [Google Scholar]
- De Vriend, H.J.; Stive, M.J.F. Quasi-3d modelling of nearshore currents. Coast. Eng. 1987, 11, 565–601. [Google Scholar] [CrossRef]
- Sánchez-Arcilla, A.; Collado, F.; Lemos, M.; Rivero, F. Another quasi-3d model for surf-zone flows. In Proceedings of the 22th International Conference on Coastal Engineering, ASCE, Delft, The Netherlands, 2–6 July 1990; Volume 1, pp. 316–329. [Google Scholar]
- Garcez-Faria, A.F.; Thornton, E.B.; Stanton, T. A quasi-3d model of longshore currents. In Proceedings of the International Conference of Coastal Research in Terms of Large Scale Experiments (Coastal Dynamics ’95), ASCE, Gdansk, Poland, 4–8 September 1995; Volume 1, pp. 389–400. [Google Scholar]
- Nobuoka, H.; Mimura, N.; Kato, H. Three-dimensional nearshore currents model based on vertical distribution of radiation stress. In Proceedings of the 26th International Conference on Coastal Engineering, ASCE, Copenhagen, Denmark, 22–26 June 1998; Volume 1, pp. 829–842. [Google Scholar]
- Mellor, G.L. The three-dimensional current and surface wave equations. J. Phys. Oceanogr. 2003, 33, 1978–1989. [Google Scholar] [CrossRef]
- Mellor, G.L. Some consequences of the three-dimensional currents and surface wave equations. J. Phys. Oceanogr. 2005, 35, 2291–2298. [Google Scholar] [CrossRef]
- Mellor, G.L. The depth-dependent current and wave interaction equations: A revision. Phys. Oceanogr. 2008, 38, 2587–2596. [Google Scholar] [CrossRef]
- Kumar, N.; Voulgaris, G.; Warner, J.C. Implementation and modification of a three-dimensional radiation stress formulation for surf zone and rip-current applications. Coast. Eng. 2011, 58, 1097–1117. [Google Scholar] [CrossRef]
- Chou, Y.-J.; Holleman, R.C.; Fringer, O.B.; Stacey, M.T.; Monismith, S.G.; Koseff, J.R. Three-dimensional wave-coupled hydrodynamics modeling in South San Francisco Bay. Comput. Geosci. 2015, 85, 10–21. [Google Scholar] [CrossRef]
- Ranasinghe, R.S. Modelling of waves and wave-induced currents in the vicinity of submerged structures under regular waves using nonlinear wave-current models. Ocean Eng. 2022, 247, 110707. [Google Scholar] [CrossRef]
- Tang, S.; Yang, Y.; Zhu, L. Directing Shallow-Water Waves Using Fixed Varying Bathymetry Designed by Recurrent Neural Networks. Water 2023, 15, 2414. [Google Scholar] [CrossRef]
- Xia, H.; Xia, Z.; Zhu, L. Vertical variation in radiation stress and wave-induced current. Coast. Eng. 2004, 51, 309–321. [Google Scholar] [CrossRef]
- Kołodko, J.; Gic-Grusza, G. A note on the vertical distribution of momentum transport in water waves. Oceanol. Hydrobiol. Stud. 2015, 44, 563–568. [Google Scholar] [CrossRef]
- Chybicki, W. On Vertical Variations of Wave-Induced Radiation Stress Tensor. Arch. Hydro-Eng. Environ. Mech. 2008, 55, 83–93. [Google Scholar]
- Dolata, L.F.; Rosenthal, W. Wave setup and wave-induced currents in coastal zones. J. Geophys. Res. 1984, 89, 1973–1982. [Google Scholar] [CrossRef]
- Mellor, G.L. On theories dealing with the interaction of surface waves and ocean circulation. J. Geophys. Res. Oceans 2016, 121, 4474–4486. [Google Scholar] [CrossRef]
- Mellor, G.L. A combined derivation of the integrated and vertically-resolved, coupled wave-current equations. J. Phys. Oceanogr. 2015, 45, 1453–1463. [Google Scholar] [CrossRef]
- McWilliams, J.C.; Restrepo, J.M. The wave-driven ocean circulation. J. Phys. Oceanogr. 1999, 29, 2523–2540. [Google Scholar] [CrossRef]
- Mellor, G.L. On Surf Zone Fluid Dynamics. J. Phys. Oceanogr. 2021, 51, 37–46. [Google Scholar] [CrossRef]
- Svendsen, I.A.; Lorenz, R.S. Velocities in combined undertow and longshore currents. Coast. Eng. 1989, 13, 55–79. [Google Scholar] [CrossRef]
- Nobuoka, H.; Mimura, N. 3-D nearshore current model focusing on the effect of sloping bottom on radiation stresse. In Proceedings of the 28th International Conference on Coastal Engineering, ASCE, Cardiff, UK, 7–12 July 2002; Volume 1, pp. 836–848. [Google Scholar]
- Lee, J.L.; Wang, H. A quasi-3D surf zone model. In Proceedings of the 24th Conference on Coastal Engineering, Kobe, Japan, 23–28 October 1994; Volume 2, pp. 2267–2281. [Google Scholar]
- Smith, J.A. Wave-current interactions in finite depth. J. Phys. Oceanogr. 2006, 36, 1403–1419. [Google Scholar] [CrossRef]
- Cieślikiewicz, W.; Gudmestad, O.T. Stochastic characteristics of orbital velocities of random water waves. J. Fluid Mech. 1993, 255, 275–299. [Google Scholar] [CrossRef]
- Svendsen, I.A.; Putrevu, U. Surf-zone hydrodynamics. In Advances in Coastal and Ocean Engineering; Liu, P.L., Ed.; World Scientific: Singapore, 1996; pp. 1–78. [Google Scholar]
- Rivero, F.J.; Arcilla, A.S. On the vertical distribution of huwi. Coast. Eng. 1995, 25, 137–152. [Google Scholar] [CrossRef]
- Mocke, G. Structure and modeling of surf zone turbulence due to wave breaking. J. Geophys. Res. 2001, 106, 17039–17058. [Google Scholar] [CrossRef]
- Bradford, S.F. Numerical simulation of surf zone dynamics. J. Waterw. Port Coast. Ocean Eng. 2000, 126, 1–13. [Google Scholar] [CrossRef]
- Longuet-Higgins, M.S.; Stewart, R.W. Radiation stress in water waves; a physical discussion with applications. Deep-Sea Res. 1964, 11, 529–562. [Google Scholar]
- Stive, M.J.F.; Wind, H.G. A study of radiation stress and set-up in the nearshore region. Coast. Eng. 1982, 6, 1–25. [Google Scholar] [CrossRef]
- Stive, M.J.F.; Wind, H.G. Cross-shore mean flow in the surf zone. Coast. Eng. 1988, 19, 325–340. [Google Scholar] [CrossRef]
- Shi, F.; Svendsen, I.A.; Kirby, J.T.; Smith, J.K. A curvilinear version of a quasi-3d nearshore circulation model. Coast. Eng. 2003, 49, 99–124. [Google Scholar] [CrossRef]
- Battjes, J.A.; Sobey, R.J.; Stive, M.J.F. Nearshore circulation. In The Sea: Ocean Engineering Science, 9; Le Mehaute, B., Hanes, D.M., Eds.; John Wiley & Sons: Hoboken, NJ, USA, 1990; pp. 468–493. [Google Scholar]
- Elsner, J.W. Turbulencja Przepływów; Państwowe Wydawnictwo Naukowe PWN: Warszawa, Poland, 1987. (In Polish) [Google Scholar]
- Longuet-Higgins, M.S.; Stewart, R.W. Radiation stress and mass transport in gravity waves with application to “surf beats”. J. Fluid Mech. 1962, 13, 481–504. [Google Scholar] [CrossRef]
- Kinsman, B. Wind Waves: Their Generation and Propagation on the Ocean Surface; Prentice-Hall, Inc.: Upper Saddle River, NJ, USA, 1965. [Google Scholar]
- Crapper, G.D. Introduction to Water Waves; Elis Horwood Limited: Chichester, UK, 1984. [Google Scholar]
- Philips, O.M. The Dynamics of the Upper Ocean; Cambridge University Press: Cambridge, UK, 1977. [Google Scholar]
- Dudkowska, A.; Boruń, A.; Malicki, J.; Schönhofer, J.; Gic-Grusza, G. Rip currents in the non-tidal surf zone withsandbars: Numerical analysis versus field measurements. Oceanologia 2020, 62, 291–308. [Google Scholar] [CrossRef]
- Booij, N.; Holthuijsen, L.H.; Ris, R.C. A third-generation wave modelfor coastal regions. J. Geophys. Res. 1999, 104, 7649–7666. [Google Scholar] [CrossRef]
- Hsu, T.-H.; Hsu, J.R.-C.; Weng, W.-K.; Wang, S.-K.; Ou, S.-H. Wave setup and setdown generated by obliquely incident waves. Coast. Eng. 2006, 53, 865–877. [Google Scholar] [CrossRef]







| Dataset | H [m] | T [s] | [°] |
|---|---|---|---|
| A | 2.54 | 6.40 | 253.13 |
| B | 1.75 | 6.20 | 233.44 |
| C | 2.64 | 5.33 | 156.00 |
| D | 2.42 | 5.26 | 208.41 |
| E | 1.80 | 4.88 | 202.99 |
| F | 1.32 | 3.96 | 183.07 |
Disclaimer/Publisher’s Note: The statements, opinions and data contained in all publications are solely those of the individual author(s) and contributor(s) and not of MDPI and/or the editor(s). MDPI and/or the editor(s) disclaim responsibility for any injury to people or property resulting from any ideas, methods, instructions or products referred to in the content. |
© 2024 by the author. Licensee MDPI, Basel, Switzerland. This article is an open access article distributed under the terms and conditions of the Creative Commons Attribution (CC BY) license (https://creativecommons.org/licenses/by/4.0/).
Share and Cite
Gic-Grusza, G. The Three-Dimensional Wave-Induced Current Field: An Analytical Model. Water 2024, 16, 1165. https://doi.org/10.3390/w16081165
Gic-Grusza G. The Three-Dimensional Wave-Induced Current Field: An Analytical Model. Water. 2024; 16(8):1165. https://doi.org/10.3390/w16081165
Chicago/Turabian StyleGic-Grusza, Gabriela. 2024. "The Three-Dimensional Wave-Induced Current Field: An Analytical Model" Water 16, no. 8: 1165. https://doi.org/10.3390/w16081165
APA StyleGic-Grusza, G. (2024). The Three-Dimensional Wave-Induced Current Field: An Analytical Model. Water, 16(8), 1165. https://doi.org/10.3390/w16081165

