The Hourly Peak Coefficient of Single-Family and Multi-Family Buildings in Poland: Support for the Selection of Water Meters and the Construction of a Water Distribution System Model
Abstract
1. Introduction
2. Materials and Methods
3. Results and Discussion
3.1. Results of Water Meter Monitoring
- Daily consumption values;
- Flow values for the interval time = 15 min;
- Maximum and minimum flow values during the day;
- Maximum and minimum flow values in each hour.
3.2. Dependence of Characteristic Flows on Daily Water Consumption in the Building
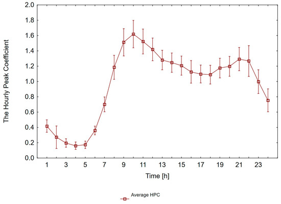
3.3. The Hourly Peak Coefficient
4. Conclusions
- The process of selecting water meters by determining the expected minimum and maximum flows during the day depending on the average daily flow;
- The characteristics can be used for the process of building hydraulic models of water distribution systems and for calibrating the models, indicating the scope of HPC modifications for facilities.
Author Contributions
Funding
Data Availability Statement
Conflicts of Interest
References
- Lee, S.; Kim, J.H. Quantitative Measure of Sustainability for Water Distribution Systems: A Comprehensive Review. Sustainability 2020, 12, 10093. [Google Scholar] [CrossRef]
- Borzì, I. Evaluating Sustainability Improvement of Pressure Regime in Water Distribution Systems Due to Network Partitioning. Water 2022, 14, 1787. [Google Scholar] [CrossRef]
- Giudicianni, C.; Herrera, M.; di Nardo, A.; Adeyeye, K. Automatic Multiscale Approach for Water Networks Partitioning into Dynamic District Metered Areas. Water Resour. Manag. 2020, 34, 835–848. [Google Scholar] [CrossRef]
- Price, E.; Abhijith, G.R.; Ostfeld, A. Pressure Management in Water Distribution Systems through PRVs Optimal Placement and Settings. Water Res. 2022, 226, 119236. [Google Scholar] [CrossRef] [PubMed]
- Grigg, N.S. Water Distribution Systems: Integrated Approaches for Effective Utility Management. Water 2024, 16, 524. [Google Scholar] [CrossRef]
- Alcocer, Y.V.H.; Tzatchkov, V.G.; Buchberger, S.G.; Arreguin, F.I.; Feliciano, D. Stochastic Residential Water Demand Characterization. In Critical Transitions in Water and Environmental Resources Management; ASCE Library: Reston, VA, USA, 2012; pp. 1–10. [Google Scholar] [CrossRef]
- Dadar, S.; Đurin, B.; Alamatian, E.; Plantak, L. Impact of the Pumping Regime on Electricity Cost Savings in Urban Water Supply System. Water 2021, 13, 1141. [Google Scholar] [CrossRef]
- Annus, I.; Vassiljev, A. Different Approaches for Calibration of an Operational Water Distribution System Containing Old Pipes. Procedia Eng. 2015, 119, 526–534. [Google Scholar] [CrossRef]
- Świętochowska, M.; Bartkowska, I. Analysis of Water Age and Flushing of the Water Supply Network of the Pressure Reduction Zone. J. Ecol. Eng. 2022, 23, 229–238. [Google Scholar] [CrossRef]
- Arregui, F.; Cabrera, E.; Cobacho, R.; García-Serra, J. Reducing Apparent Losses Caused By Meters Inaccuracies. Water Pract. Technol. 2006, 1, wpt2006093. [Google Scholar] [CrossRef]
- Cimorelli, L.; Covelli, C.; Molino, B.; Pianese, D. Optimal Regulation of Pumping Station in Water Distribution Networks Using Constant and Variable Speed Pumps: A Technical and Economical Comparison. Energies 2020, 13, 2530. [Google Scholar] [CrossRef]
- Gutiérrez-Bahamondes, J.H.; Mora-Meliá, D.; Iglesias-Rey, P.L.; Martínez-Solano, F.J.; Salgueiro, Y. Pumping Station Design in Water Distribution Networks Considering the Optimal Flow Distribution between Sources and Capital and Operating Costs. Water 2021, 13, 3098. [Google Scholar] [CrossRef]
- Świętochowska, M.; Bartkowska, I. Optimization of Energy Consumption in the Pumping Station Supplying Two Zones of the Water Supply System. Energies 2022, 15, 310. [Google Scholar] [CrossRef]
- Szpak, D.; Tchórzewska-Cieślak, B.; Stręk, M. A New Method of Obtaining Water from Water Storage Tanks in a Crisis Situation Using Renewable Energy. Energies 2024, 17, 874. [Google Scholar] [CrossRef]
- Gwoździej-Mazur, J.; Świętochowski, K. Non-Uniformity of Water Demands in a Rural Water Supply System. J. Ecol. Eng. 2019, 20, 245–251. [Google Scholar] [CrossRef]
- Balacco, G.; Carbonara, A.; Gioia, A.; Iacobellis, V.; Piccinni, A.F. Evaluation of Peak Water Demand Factors in Puglia (Southern Italy). Water 2017, 9, 96. [Google Scholar] [CrossRef]
- Ogiołda, E.; Nowogoński, I.; Pietrzak, P. Characteristics of Water Consumption in Chocianów, Parchów and Pogorzeliska, Lower Silesia Province. Civ. Environ. Eng. Rep. 2019, 29, 13–21. [Google Scholar] [CrossRef]
- Ogiołda, E.; Kozaczek, M. Characteristics of Water Consumption in Water Supply Systems in “Wilków” and “Borek” in Głogów Commune. Zesz. Nauk. Uniw. Zielonogórskiego 2013, 32, 69–77. [Google Scholar]
- Podwójci, P. Inequality of Water Consumption and Distribution in Apartment House Building. Ecol. Eng. 2011, 26, 281–289. [Google Scholar]
- Hernandez-Samaniego, E.; Navarro-Gomez, C.; Sánchez, D.H.; Sánchez-Navarro, J.R. Coefficients and Curves of Hourly and Daily Variations of Water Demand for Improved Operation of Potable Water Distribution Systems: A Case Study of Chihuahua City, Mexico. Water Pract. Technol. 2023, 18, 1991–2001. [Google Scholar] [CrossRef]
- Płoskonka, R.; Beńko, P. Daily changes of water demand in the single water system zone in Krakow. Czas. Tech. 2015, 2014, 35–43. [Google Scholar] [CrossRef]
- Beal, C.D.; Stewart, R.A. Identifying Residential Water End Uses Underpinning Peak Day and Peak Hour Demand. J. Water Resour. Plan. Manag. 2014, 140, 04014008. [Google Scholar] [CrossRef]
- Newfoundland and Labrador Department of Environment and Conservation; CBCL Limited. Study on Water Quality and Demand on Public Water Supplies with Variable Flow Regimes and Water Demand: Final Report; Newfoundland and Labrador Department of Environment and Conservation: St. John’s, NL, Canada, 2011.
- Tkaczukowa, B.; Nowakowska-Błaszczyk, A. Guidelines for Determining Water Demand and Sewage Production in Towns; Institute of Spatial and Municipal Management (Instytut Gospodarki Przestrzennej i Komunalnej): Warsaw, Poland, 1991. (In Polish) [Google Scholar]
- Burgschweiger, J.; Gnädig, B.; Steinbach, M.C. Optimization Models for Operative Planning in Drinking Water Networks. Optim. Eng. 2009, 10, 43–73. [Google Scholar] [CrossRef]
- Lambert, A.O.; Brown, T.G.; Takizawa, M.; Weimer, D. A Review of Performance Indicators for Real Losses from Water Supply Systems. J. Water Supply Res. Technol.-AQUA 1999, 48, 227–237. [Google Scholar] [CrossRef]
- Farley, M.; Wyeth, G.; Ghazali, Z.B.M.; Istandar, A.; Singh, S. The Manager’s Non-Revenue Water Handbook: A Guide to Understanding Water Losses; United States Agency for International Developing and Ranhill Utilities: Waszyngton, DC, USA, 2008. [Google Scholar]
- Directive-2014/32-EN-EUR-Lex. Available online: https://eur-lex.europa.eu/legal-content/EN/TXT/?uri=CELEX:32014L0032 (accessed on 15 March 2024).
- Announcement of the Speaker of the Sejm of the Republic of Poland of 10 March 2023 on the Announcement of the Uniform Text of the Construction Law Act. Available online: https://isap.sejm.gov.pl/isap.nsf/download.xsp/WDU20230000682/T/D20230682L.pdf (accessed on 3 April 2024).
- Gwoździej-Mazur, J. Monitoring of Water Supply Connections as an Element to Reduce Apparent Losses of Water? E3S Web Conf. 2017, 22, 00061. [Google Scholar] [CrossRef]
- Mambretti, S.; Brebbia, C.A. Urban Water; WIT Press: Southampton, UK, 2012; ISBN 978-1-84564-576-2. [Google Scholar]
- Tricarico, C.; de Marinis, G.; Gargano, R.; Leopardi, A. Peak Residential Water Demand. Proc. Inst. Civ. Eng.-Water Manag. 2007, 160, 115–121. [Google Scholar] [CrossRef]
- Walski, T.; Chase, D.; Savic, D.; Grayman, W.; Backwith, S.; Koelle, E. Advanced Water Distribution Modeling and Management; Haestad Press: Waterbury, CT, USA, 2003. [Google Scholar]
- Balacco, G.; Gioia, A.; Iacobellis, V.; Piccinni, A.F. At-Site Assessment of a Regional Design Criterium for Water-Demand Peak Factor Evaluation. Water 2019, 11, 24. [Google Scholar] [CrossRef]
- Myka-Raduj, A.; Jóźwiakowski, K.; Siwiec, T.; Raduj, W. Changes of Water Consumption in a Forester’s Lodge in Polesie National Park (Poland)—Case Study. Water 2023, 15, 3157. [Google Scholar] [CrossRef]
- Bergel, T.; Kaczor, G.; Bugajski, P. Analysis of the Structure of Water Consumption in Rural Households in Terms of Design Guidelines Water and Sewage Systems. Infrastrukt. Ekol. Teren. Wiej. 2016, nr IV/4, 1899–1910. [Google Scholar] [CrossRef]
- Pawełek, J.; Bergel, T.; Woyciechowska, O. Variation in Water Consumption in Rural Households during the Multi-Year Period. Acta Sci. Pol. Form. Circumiectus 2016, 14, 85–94. [Google Scholar] [CrossRef]












| DN [mm] | Qstart [m3/h] | Q1 [m3/h] | Q2 [m3/h] | Q3 [m3/h] | Q4 [m3/h] |
|---|---|---|---|---|---|
| Single-Family Bulidings | |||||
| 15 | 0.003 | 0.0156 | 0.250 | 2.500 | 3.100 |
| 20 | 0.005 | 0.0250 | 0.040 | 4.000 | 5.000 |
| Multi-Family Bulidings | |||||
| 20 | 0.005 | 0.0250 | 0.040 | 4.000 | 5.000 |
| 25 | 0.010 | 0.0394 | 0.063 | 6.300 | 7.800 |
| 32 | 0.012 | 0.0625 | 0.100 | 10.000 | 12.500 |
| 40 | 0.013 | 0.1000 | 0.160 | 16.000 | 20.000 |
Disclaimer/Publisher’s Note: The statements, opinions and data contained in all publications are solely those of the individual author(s) and contributor(s) and not of MDPI and/or the editor(s). MDPI and/or the editor(s) disclaim responsibility for any injury to people or property resulting from any ideas, methods, instructions or products referred to in the content. |
© 2024 by the authors. Licensee MDPI, Basel, Switzerland. This article is an open access article distributed under the terms and conditions of the Creative Commons Attribution (CC BY) license (https://creativecommons.org/licenses/by/4.0/).
Share and Cite
Świętochowski, K.; Andraka, D.; Kalenik, M.; Gwoździej-Mazur, J. The Hourly Peak Coefficient of Single-Family and Multi-Family Buildings in Poland: Support for the Selection of Water Meters and the Construction of a Water Distribution System Model. Water 2024, 16, 1077. https://doi.org/10.3390/w16081077
Świętochowski K, Andraka D, Kalenik M, Gwoździej-Mazur J. The Hourly Peak Coefficient of Single-Family and Multi-Family Buildings in Poland: Support for the Selection of Water Meters and the Construction of a Water Distribution System Model. Water. 2024; 16(8):1077. https://doi.org/10.3390/w16081077
Chicago/Turabian StyleŚwiętochowski, Kamil, Dariusz Andraka, Marek Kalenik, and Joanna Gwoździej-Mazur. 2024. "The Hourly Peak Coefficient of Single-Family and Multi-Family Buildings in Poland: Support for the Selection of Water Meters and the Construction of a Water Distribution System Model" Water 16, no. 8: 1077. https://doi.org/10.3390/w16081077
APA StyleŚwiętochowski, K., Andraka, D., Kalenik, M., & Gwoździej-Mazur, J. (2024). The Hourly Peak Coefficient of Single-Family and Multi-Family Buildings in Poland: Support for the Selection of Water Meters and the Construction of a Water Distribution System Model. Water, 16(8), 1077. https://doi.org/10.3390/w16081077

