Approximate Solutions for Horizontal Unconfined Aquifers in the Buildup Phase
Abstract
1. Introduction
2. Steady-State Fluid Flow in Horizontal Unconfined Aquifers
2.1. Mass Balance in Lumped Quantities
2.2. Early Time Solution at Buildup Phase and Dimensional Analysis of the Problem
3. Novel Approximate Solutions for the Buildup Phases of Horizontal Unconfined Aquifers
3.1. Dimensionless Form of the Boussinesq Equation
3.2. Wave Approximate Solution
3.3. Self-Similar Approximate Solution
3.4. Linearizations
3.4.1. Linear Approximation
3.4.2. Quadratic Approximation
4. Conclusions
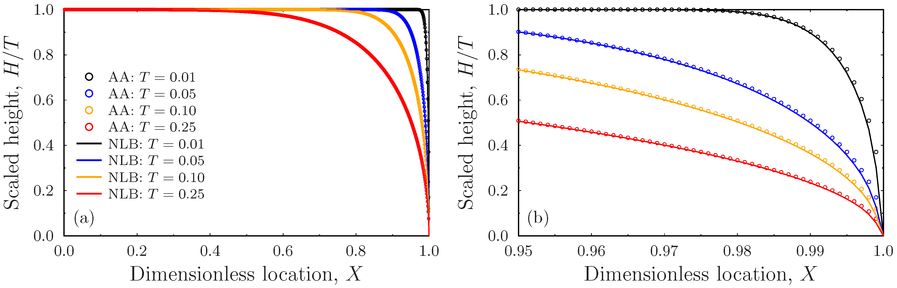
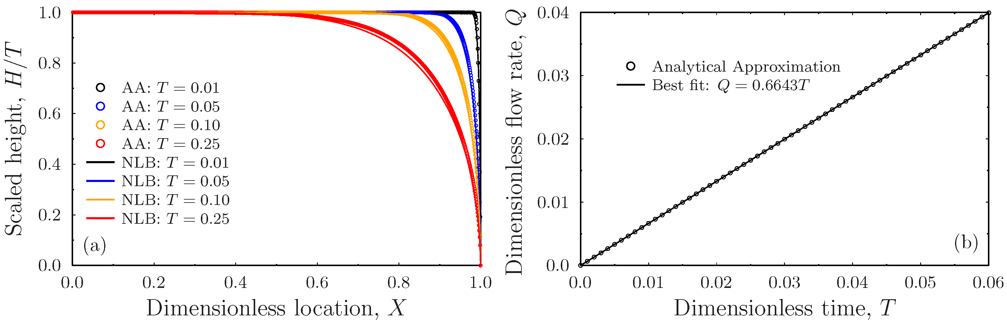
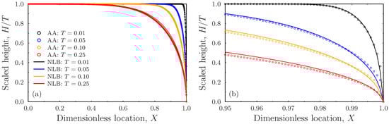
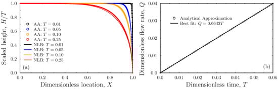
- The linear wave approximation amounts to a constant velocity disturbance traveling from the outlet toward the inlet, where the form is dictated by the singular boundary condition. The discharge associated with this solution turns out to vary linear with time, as expected from the results in [39], while the water table’s profile encapsulates very well the behavior of the nonlinear Boussinesq equation at early times;
- The self-similarity approximation employs the linearization of an exact self-similarity equation deduced from the Boussinesq equation applicable for early times. This approximate solution also produces a linear discharge rate, although the water table profiles have some visible discrepancies from that of the nonlinear Boussinesq equation. This is due to an outlet boundary behavior, which is somewhat inconsistent with the Boussinesq equation;
- The classical linear approximation of the Boussinesq equation leads to an equation that can be solved using Fourier series. Although the early time asymptotic of the discharge is linear in time, the water table’s profile has significant deviations from that of the Boussinesq equation because of a boundary behavior at the outlet, which is inconsistent with the square-root singularity of the problem. This is characteristic of the linear approximation of the Boussinesq equation. The quadratic approximation of the Boussinesq equation is naturally consistent with the square-root singular behavior of the water table at the outlet; hence, the profiles have relatively small deviations from those of the nonlinear equation. The discharge also turns out to be a linear function of time in this case, although it underestimates by some 10% the slope of the discharge according to the exact nonlinear equation.
Author Contributions
Funding
Data Availability Statement
Conflicts of Interest
Nomenclature
| h | water table’s height |
| H | dimensionless water table height |
| k | hydraulic conductivity |
| L | aquifer’s length |
| n | porosity |
| q | Darcy flux |
| Q | outflow |
| dimensionless outflow | |
| r | recharge rate |
| S | storage |
| dimensionless storage | |
| t | time |
| T | dimensionless time |
| u | wave speed |
| x | coordinate along the bed from the inlet |
| X | dimensionless coordinate along the bed |
| Δ | travel distance (range) of the wave |
| Φ | modeled water table profile |
Appendix A
Appendix B
Appendix C
References
- Boussinesq, J. Essai sur la theorie des eaux courantes du mouvement nonpermanent des eaux souterraines. Acad. Sci. Inst. Fr. 1877, 23, 252–260. [Google Scholar]
- Boussinesq, J. Recherches theoriques sur l’ecoulement des nappes d’eau infiltrees dans le sol et sur debit de sources. J. Math. Pures Appl. 1904, 10, 5–78. [Google Scholar]
- Dupuit, J. Etudes Theoriques et Practiques sur le Mouvement des Eaux dans les Canaux Decouverts et a Travers les Terrains Permeables, 2nd ed.; Dunod: Paris, France, 1863. [Google Scholar]
- Forchheimer, P. Über die Ergiebigkeit von Brunnen-Anlagen und Sickerschlitzen. Z. Architekt. Ing.-Ver. Hann. 1886, 32, 539–563. [Google Scholar]
- Wooding, R.A.; Chapman, T.G. Groundwater flow over a sloping impermeable layer: 1. Application of the Dupuit-Forchheimer assumption. J. Geophys. Res. 1966, 71, 2895–2902. [Google Scholar] [CrossRef]
- Barenblatt, G.I. On some unsteady fluid and gas motions in a porous medium. J. Appl. Math. Mech. 1952, 16, 67–78. [Google Scholar]
- Polubarinova-Kochina, P.Y. Theory of Ground Water Movement; Princeton University Press: Princeton, NJ, USA, 1962. [Google Scholar]
- Barenblatt, G.I.; Entov, V.M.; Ryzhik, V.M. Theory of Fluid Flows through Natural Rocks; Kluwer Academic Publishers: Dordrecht, The Netherlands, 1990. [Google Scholar]
- Chen, Z.X.; Bodvarsson, G.S.; Witherspoon, P.A.; Yortsos, Y.C. An integral equation formulation for the unconfined flow of groundwater with variable inlet conditions. Trans. Porous Media 1995, 18, 15–36. [Google Scholar] [CrossRef]
- Lockington, D.A.; Parlange, J.Y.; Parlange, M.B.; Selker, J. Similarity solution of the Boussinesq equation. Adv. Water Resour. 2000, 23, 725–729. [Google Scholar] [CrossRef][Green Version]
- Parlange, J.Y.; Hogarth, W.L.; Govindaraju, R.S.; Parlange, M.B.; Lockington, D. On an exact analytical solution of the Boussinesq equation. Trans. Porous Media 2000, 39, 339–345. [Google Scholar] [CrossRef]
- Telyakovskiy, A.S.; Braga, G.A.; Furtado, F. Approximate similarity solutions to the Boussinesq equation. Adv. Water Resour. 2002, 25, 191–194. [Google Scholar] [CrossRef]
- Pistiner, A. Similarity solution to unconfined flow in an aquifer. Trans. Porous Media 2008, 71, 265–272. [Google Scholar] [CrossRef]
- Moutsopoulos, N. Solutions of the Boussinesq equation subject to a nonlinear Robin boundary condition. Water Resour. Res. 2013, 49, 7–18. [Google Scholar] [CrossRef]
- Basha, H.A. Traveling wave solution of the Boussinesq equation for groundwater flow in horizontal aquifers. Water Resour. Res. 2013, 49, 1668–1679. [Google Scholar] [CrossRef]
- Basha, H.A. Perturbation solutions of the Boussinesq equation for horizontal flow in finite and semi-infinite aquifers. Adv. Water Resour. 2021, 155, 104016. [Google Scholar] [CrossRef]
- Chor, T.; Ruiz de Zarate, A.; Dias, N.L. A generalized series solution for the Boussinesq equation with constant boundary conditions. Water Resour. Res. 2019, 55, 3567–3575. [Google Scholar] [CrossRef]
- Chor, T.; Dias, N.L.; Ruiz de Zárate, A. An exact series and improved numerical and approximate solutions for the Boussinesq equation. Water Resour. Res. 2013, 49, 7380–7387. [Google Scholar] [CrossRef]
- Tzimopoulos, C.; Papadopoulos, K.; Papadopoulos, B.; Samarinas, N.; Evangelides, C. Fuzzy solution of nonlinear Boussinesq equation. J. Hydroinformatics 2022, 24, 1127–1147. [Google Scholar] [CrossRef]
- Hayek, M. A simple and accurate closed-form analytical solution to the Boussinesq equation for horizontal flow. Adv. Water Resour. 2024, 185, 104628. [Google Scholar] [CrossRef]
- Tzimopoulos, C.; Samarinas, N.; Papadopoulos, K.; Evangelides, C. Fuzzy Analytical Solution for the Case of a semi-Infinite Unconfined Aquifer. Environ. Sci. Proc. 2023, 25, 70. [Google Scholar] [CrossRef]
- Ceretani, A.; Falcini, F.; Garra, R. Exact solutions for the fractional nonlinear Boussinesq equation. In Proceedings of the INdAM Workshop on Fractional Differential Equations: Modeling, Discretization, and Numerical Solvers, Singapore, 8 March 2023; Springer Nature: Singapore, 2023. [Google Scholar]
- Daly, E.; Porporato, A. A note on groundwater flow along a hillslope. Water Resour. Res. 2004, 40, W01601. [Google Scholar] [CrossRef]
- Barenblatt, G.I. Scaling, Self-Similarity, and Intermediate Asymptotics, 1st ed.; Cambridge Univ. Press: New York, NY, USA, 1996. [Google Scholar]
- Bear, J. Dynamics of Fluids in Porous Media, 1st ed.; Dover Publications: New York, NY, USA, 1972. [Google Scholar]
- Gravanis, E.; Sarris, E. A working model for estimating CO2-induced uplift of cap rocks under different flow regimes in CO2 sequestration. Geomech. Energy Environ. 2023, 33, 100433. [Google Scholar] [CrossRef]
- Telyakovskiy, A.S.; Allen, M.B. Polynomial approximate solutions to the Boussinesq equation. Adv. Water Resour. 2006, 29, 1767–1779. [Google Scholar] [CrossRef]
- Telyakovskiy, A.S.; Braga, G.A.; Kurita, S.; Mortensena, J. On a power series solution to the Boussinesq equation. Adv. Water Resour. 2010, 33, 1128–1129. [Google Scholar] [CrossRef]
- Olsen, J.S.; Telyakovskiy, A.S. Polynomial approximate solutions of a generalized Boussinesq equation. Water Resour. Res. 2013, 49, 3049–3053. [Google Scholar] [CrossRef]
- Dias, N.L.; Chor, T.L.; de Zarate, A.R. A semi-analytical solution of the Boussinesq equation with nonhomogeneous constant boundary conditions. Water Resour. Res. 2014, 50, 6549–6556. [Google Scholar] [CrossRef]
- Tolikas, P.K.; Sidiropoulos, E.G.; Tzimopoulos, C.D. A simple analytical solution for the Boussinesq one-dimensional groundwater flow equation. Water Resour. Res. 1984, 20, 24–28. [Google Scholar] [CrossRef]
- Hayek, M. Accurate approximate semi-analytical solutions to the Boussinesq groundwater flow equation for recharging and discharging of horizontal unconfined aquifers. J. Hydrol. 2019, 570, 411–422. [Google Scholar] [CrossRef]
- Akylas, E.; Koussis, A.D. Response of sloping unconfined aquifer to stage changes in adjacent stream I. Theoretical analysis and derivation of system response functions. J. Hydrol. 2007, 338, 85–95. [Google Scholar] [CrossRef]
- Beven, K. Kinematic subsurface stormflow. Water Resour. Res. 1981, 17, 1419–1424. [Google Scholar] [CrossRef]
- Henderson, F.M.; Wooding, R.A. Overland flow and groundwater flow from a steady rainfall of finite duration. J. Geophys. Res. 1964, 69, 1531–1540. [Google Scholar] [CrossRef]
- Akylas, E.; Gravanis, E.; Koussis, A.D. Quasi-steady flow in sloping aquifers. Water Resour. Res. 2015, 51, 9165–9181. [Google Scholar] [CrossRef][Green Version]
- Lighthill, M.J.; Whitham, G.B. On kinematic waves. I. Flood movement in long rivers. In Proceedings of the Royal Society of London A: Mathematical, Physical and Engineering Sciences, 10 May 1955; Volume 229, pp. 281–316. [Google Scholar]
- Akylas, E.; Koussis, A.D.; Yannacopoulos, A.N. Analytical solution of transient flow in a sloping soil layer with recharge. J. Hydrol. Sci. 2006, 51, 626–641. [Google Scholar] [CrossRef]
- Gravanis, E.; Akylas, E. Early-time solution of the horizontal unconfined aquifer in the buildup phase. Water Resour. Res. 2017, 53, 8310–8326. [Google Scholar] [CrossRef]
- Moutsopoulos, K.N. The analytical solution of the Boussinesq equation for flow induced by a step change of the water table elevation revisited. Trans. Porous Med. 2010, 85, 919–940. [Google Scholar] [CrossRef]
- Verhoest, N.E.; Troch, P.A. Some analytical solutions of the linearized Boussinesq equation with recharge for a sloping aquifer. Water Resour. Res. 2000, 36, 793–800. [Google Scholar] [CrossRef]
- Jiang, Q.; Tang, Y. A general approximate method for the groundwater response problem caused by water level variation. J. Hydrol. 2015, 529, 398–409. [Google Scholar] [CrossRef]
- Lockington, D.A. Response of unconfined aquifer to sudden change in boundary head. J. Irrig. Drain. Eng. 1997, 123, 24–27. [Google Scholar] [CrossRef]
- Chapman, T.G. Steady recharge-induced groundwater flow over a plane bed: Nonlinear and linear solutions. In Proceedings of the MODSIM 2003 International Congress on Modelling and Simulation, Townsville, Australia, 14–17 July 2003. [Google Scholar]
- Childs, E.C. Drainage of groundwater resting on a sloping bed. Water Resour. Res. 1971, 7, 1256–1263. [Google Scholar] [CrossRef]
- Brutsaert, W.; John, L.N. Regionalized drought flow hydrographs from a mature glaciated plateau. Water Resour. Res. 1977, 13, 637–643. [Google Scholar] [CrossRef]
- Arfken, G.B. Mathematical Methods for Physicists; Elsevier Academic Press: Cambridge, MA, USA, 2005. [Google Scholar]
- Gratton, J.; Minotti, F. Self-similar viscous gravity currents: Phase-plane formalism. J. Fluid Mech. 1990, 210, 155–182. [Google Scholar] [CrossRef]
- Van Dyke, M. Perturbation Methods in Fluid Mechanics; Parabolic Press: Stanford, CA, USA, 1975. [Google Scholar]
- Chapman, T.G. Modeling groundwater flow over sloping beds. Water Resour. Res. 1980, 16, 1114–1118. [Google Scholar] [CrossRef]
- Chapman, T.G. Comment on: The unit response of groundwater outflow from a hillslope. Water Resour. Res. 1995, 31, 2376–2777. [Google Scholar] [CrossRef]
- Koussis, A.D.; Lien, L.T. Linear theory of subsurface stormflow. Water Resour. Res. 1982, 18, 1738–1740. [Google Scholar] [CrossRef]
- Koussis, A.D. A linear conceptual subsurface storm flow model. Water Resour. Res. 1992, 28, 1047–1052. [Google Scholar] [CrossRef]
- Basha, H.A.; Maalouf, S.F. Theoretical and conceptual models of subsurface hillslope flows. Water Resour. Res. 2005, 41, W07018. [Google Scholar] [CrossRef]







Disclaimer/Publisher’s Note: The statements, opinions and data contained in all publications are solely those of the individual author(s) and contributor(s) and not of MDPI and/or the editor(s). MDPI and/or the editor(s) disclaim responsibility for any injury to people or property resulting from any ideas, methods, instructions or products referred to in the content. |
© 2024 by the authors. Licensee MDPI, Basel, Switzerland. This article is an open access article distributed under the terms and conditions of the Creative Commons Attribution (CC BY) license (https://creativecommons.org/licenses/by/4.0/).
Share and Cite
Gravanis, E.; Akylas, E.; Sarris, E.N. Approximate Solutions for Horizontal Unconfined Aquifers in the Buildup Phase. Water 2024, 16, 1031. https://doi.org/10.3390/w16071031
Gravanis E, Akylas E, Sarris EN. Approximate Solutions for Horizontal Unconfined Aquifers in the Buildup Phase. Water. 2024; 16(7):1031. https://doi.org/10.3390/w16071031
Chicago/Turabian StyleGravanis, Elias, Evangelos Akylas, and Ernestos Nikolas Sarris. 2024. "Approximate Solutions for Horizontal Unconfined Aquifers in the Buildup Phase" Water 16, no. 7: 1031. https://doi.org/10.3390/w16071031
APA StyleGravanis, E., Akylas, E., & Sarris, E. N. (2024). Approximate Solutions for Horizontal Unconfined Aquifers in the Buildup Phase. Water, 16(7), 1031. https://doi.org/10.3390/w16071031

