Soil Moisture Forecast Using Transfer Learning: An Application in the High Tropical Andes
Abstract
1. Introduction
2. Study Area
3. Methodology
3.1. Data Collection
3.2. Descriptive Analysis of Variables and Data Preprocessing
3.3. Artificial Neural Network Models
3.3.1. The Multilayer Perceptron
3.3.2. Convolutional Neural Networks
3.3.3. Long Short-Term Memory Networks
3.3.4. Transfer Learning
3.4. Design and Implementation of Neural Network Architecture
3.4.1. Data Preprocessing
3.4.2. Setup of the Base Neural Network and Deep Transfer Learning
3.5. Training of the Network Hyperparameters
3.6. Model Performance Measures
- Mean absolute error (MAE): Measures the average absolute difference between predicted () and observed () values.
- Root mean squared error (RMSE): Provides an estimate of the standard deviation of the residuals, indicating the average magnitude of error.
- Mean squared logarithmic error (MSLE): Similar to MSE but particularly useful when target variables vary over several orders of magnitude.
- Nash–Sutcliffe efficiency (NSE): Measures the predictive power of the model by comparing the squared differences between the observed and predicted values with the squared differences between the observed and mean values.
- Kling–Gupta Efficiency (KGE): An index that combines correlation, bias ratio, and variability ratio to evaluate overall model performance.where r is the correlation coefficient, s is the ratio of the standard deviation of simulated to observed values, and b is the ratio of the mean of simulated to observed values.
4. Results
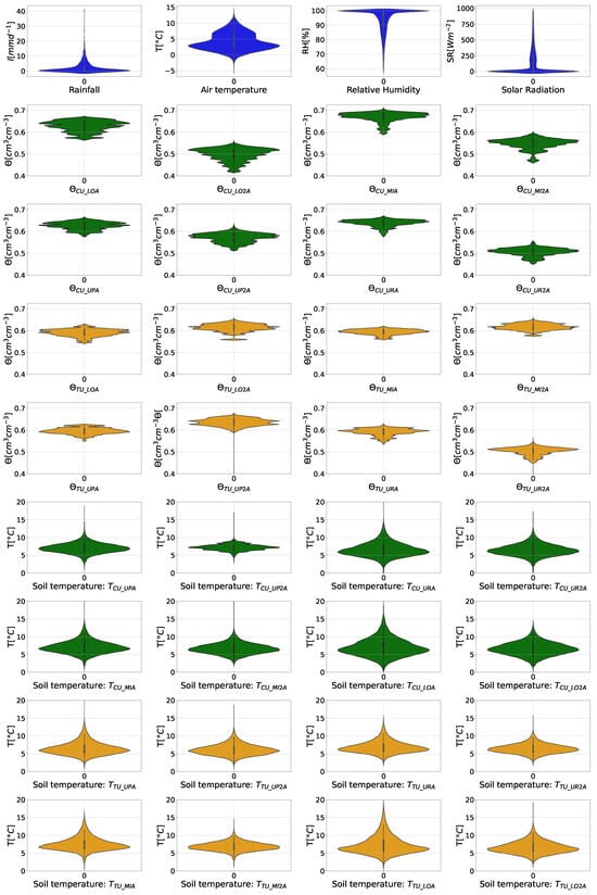
4.1. Observational Data on Weather, Soil Temperature, and Moisture
4.1.1. Descriptive Analysis in Weather Data
4.1.2. Descriptive Analysis of Soil Temperature
4.1.3. Descriptive Analysis of Soil Moisture
4.2. Soil Moisture Forecasting with Neural Network Techniques
4.2.1. Development of the Base Neural Network
4.2.2. Base Network for Forecasting Soil Moisture of the A Horizon at the Foot Slope Topographic Position
4.2.3. Application of the Base Network for Soil Moisture Forecasting under Tussock Grass Using Transfer Learning
4.2.4. Application of the Base Network for Soil Moisture Forecasting under Cushion-Forming Plants Using Transfer-Learning
5. Discussion
6. Conclusions
Author Contributions
Funding
Data Availability Statement
Acknowledgments
Conflicts of Interest
References
- Oki, T.; Kanae, S. Global hydrological cycles and world water resources. Science 2006, 313, 1068–1072. [Google Scholar] [CrossRef] [PubMed]
- Trenberth, K.E.; Fasullo, J.T.; Kiehl, J. Earth’s global energy budget. Bull. Am. Meteorol. Soc. 2009, 90, 311–324. [Google Scholar] [CrossRef]
- Berg, A.; Sheffield, J. Climate Change and Drought: The Soil Moisture Perspective. Curr. Clim. Chang. Rep. 2018, 4, 180–191. [Google Scholar] [CrossRef]
- Seneviratne, S.I.; Corti, T.; Davin, E.L.; Hirschi, M.; Jaeger, E.B.; Lehner, I.; Orlowsky, B.; Teuling, A.J. Investigating soil moisture—Climate interactions in a changing climate: A review. Earth-Sci. Rev. 2010, 99, 125–161. [Google Scholar] [CrossRef]
- Mukhlisin, M.; Astuti, H.W.; Wardihani, E.D.; Matlan, S.J. Techniques for ground-based soil moisture measurement: A detailed overview. Arab. J. Geosci. 2021, 14, 2032. [Google Scholar] [CrossRef]
- Kelly, E.F.; Chadwick, O.A.; Hilinski, T.E. The effect of plants on mineral weathering. Biogeochemistry 1998, 42, 21–53. [Google Scholar] [CrossRef]
- Páez-Bimos, S.; Molina, A.; Calispa, M.; Delmelle, P.; Lahuatte, B.; Villacís, M.; Muñoz, T.; Vanacker, V. Soil-vegetation-water interactions controlling solute flow and chemical weathering in volcanic ash soils of the high Andes. Hydrol. Earth Syst. Sci. 2023, 27, 1507–1529. [Google Scholar] [CrossRef]
- Brück, S.A.; Torres, B.D.M.; de Lourdes Teixeira de Moraes Polizeli, M. The Ecuadorian páramo in danger: What we know and what might be learned from northern wetlands. Glob. Ecol. Conserv. 2023, 47, e02639. [Google Scholar] [CrossRef]
- Patiño, D.T.; Sánchez, P.C.; Rojas, G.M. Umbrales en la respuesta de humedad del suelo a condiciones meteorológicas en una ladera Altoandina. Maskana 2018, 9, 53–65. [Google Scholar] [CrossRef]
- Vanacker, V.; Molina, A.; Torres, R.; Calderon, E.; Cadilhac, L. Challenges for research on global change in mainland Ecuador. Neotrop. Biodivers. 2018, 4, 114–118. [Google Scholar] [CrossRef]
- Tenorio, G.E.; Vanacker, V.; Campforts, B.; Álvarez, L.; Zhiminaicela, S.; Vercruysse, K.; Molina, A.; Govers, G. Tracking spatial variation in river load from Andean highlands to inter-Andean valleys. Geomorphology 2018, 308, 175–189. [Google Scholar] [CrossRef]
- Ruiz-Hernández, J.C.; Condom, T.; Ribstein, P.; Le Moine, N.; Espinoza, J.C.; Junquas, C.; Villacís, M.; Vera, A.; Muñoz, T.; Maisincho, L.; et al. Spatial variability of diurnal to seasonal cycles of precipitation from a high-altitude equatorial Andean valley to the Amazon Basin. J. Hydrol. Reg. Stud. 2021, 38, 100924. [Google Scholar] [CrossRef]
- Molina, A.; Vanacker, V.; Corre, M.D.; Veldkamp, E. Patterns in Soil Chemical Weathering Related to Topographic Gradients and Vegetation Structure in a High Andean Tropical Ecosystem. J. Geophys. Res. Earth Surf. 2019, 124, 666–685. [Google Scholar] [CrossRef]
- Buytaert, W.; Cuesta-Camacho, F.; Tobón, C. Potential impacts of climate change on the environmental services of humid tropical alpine regions. Glob. Ecol. Biogeogr. 2011, 20, 19–33. [Google Scholar] [CrossRef]
- Buytaert, W.; Célleri, R.; De Bièvre, B.; Cisneros, F.; Wyseure, G.; Deckers, J.; Hofstede, R. Human impact on the hydrology of the Andean páramos. Earth-Sci. Rev. 2006, 79, 53–72. [Google Scholar] [CrossRef]
- Bonnesoeur, V.; Locatelli, B.; Guariguata, M.R.; Ochoa-Tocachi, B.F.; Vanacker, V.; Mao, Z.; Stokes, A.; Mathez-Stiefel, S.L. Impacts of forests and forestation on hydrological services in the Andes: A systematic review. For. Ecol. Manag. 2019, 433, 569–584. [Google Scholar] [CrossRef]
- Iñiguez, V.; Morales, O.; Cisneros, F.; Bauwens, W.; Wyseure, G. Analysis of the drought recovery of Andosols on southern Ecuadorian Andean páramos. Hydrol. Earth Syst. Sci. 2016, 20, 2421–2435. [Google Scholar] [CrossRef]
- Gonzalez-Zeas, D.; Erazo, B.; Lloret, P.; Steinschneider, S.; Dangles, O. Linking global climate change to local water availability: Limitations and prospects for a tropical mountain watershed. J. Sci. Tot. Env. 2019, 650, 2577–2586. [Google Scholar] [CrossRef]
- Molina, A.; Govers, G.; Vanacker, V.; Poesen, J.; Zeelmaekers, E.; Cisneros, F. Runoff generation in a degraded Andean ecosystem: Interaction of vegetation cover and land use. Catena 2007, 71, 357–370. [Google Scholar] [CrossRef]
- Molina, A.; Govers, G.; Cisneros, F.; Vanacker, V. Vegetation and topographic controls on sediment deposition and storage on gully beds in a degraded mountain area. Earth Surf. Processes Landforms 2009, 34, 755–767. [Google Scholar] [CrossRef]
- Mosquera, G.M.; Crespo, P.; Breuer, L.; Feyen, J.; Windhorst, D. Water transport and tracer mixing in volcanic ash soils at a tropical hillslope: A wet layered sloping sponge. Hydrol. Processes 2020, 34, 2032–2047. [Google Scholar] [CrossRef]
- Prasad, R.; Deo, R.C.; Li, Y.; Maraseni, T. Weekly soil moisture forecasting with multivariate sequential, ensemble empirical mode decomposition and Boruta-random forest hybridizer algorithm approach. Catena 2019, 177, 149–166. [Google Scholar] [CrossRef]
- Gao, P.; Qiu, H.; Lan, Y.; Wang, W.; Chen, W.; Han, X.; Lu, J. Modeling for the Prediction of Soil Moisture in Litchi Orchard with Deep Long Short-Term Memory. Agriculture 2021, 12, 25. [Google Scholar] [CrossRef]
- Han, H.; Choi, C.; Kim, J.; Morrison, R.R.; Jung, J.; Kim, H.S. Multiple-depth soil moisture estimates using artificial neural network and long short-term memory models. Water 2021, 13, 2584. [Google Scholar] [CrossRef]
- Suebsombut, P.; Sekhari, A.; Sureephong, P.; Belhi, A.; Bouras, A. Field data forecasting using LSTM and Bi-LSTM approaches. Appl. Sci. 2021, 11, 11820. [Google Scholar] [CrossRef]
- Sivasankaran, S.; Mohan, K.J.; Nazer, G.M. Soil Moisture Quantity Prediction using Optimized Deep Learning Supported model for Sustainable cultivation of Groundnut plant. Nat. Volatiles Essent. Oils J. NVEO 2021, 8, 13184–13205. [Google Scholar]
- Liu, D.; Liu, C.; Tang, Y.; Gong, C. A GA-BP Neural Network Regression Model for Predicting Soil Moisture in Slope Ecological Protection. Sustainability 2022, 14, 1386. [Google Scholar] [CrossRef]
- Zhang, L.; Xue, Z.; Zhang, Y.; Ma, J.; Li, H. Enhanced Generalized Regression Neural Network for Soil Moisture Estimation Over the Qinghai-Tibet Plateau. IEEE J. Sel. Top. Appl. Earth Obs. Remote Sens. 2022, 15, 3815–3829. [Google Scholar] [CrossRef]
- Prasad, R.; Deo, R.C.; Li, Y.; Maraseni, T. Soil moisture forecasting by a hybrid machine learning technique: ELM integrated with ensemble empirical mode decomposition. Geoderma 2018, 330, 136–161. [Google Scholar] [CrossRef]
- Rostami, S.; He, J.; Hassan, Q.K. Riverine water quality response to precipitation and its change. Environments 2018, 5, 8. [Google Scholar] [CrossRef]
- Vanacker, V.; Vanderschaeghe, M.; Govers, G.; Willems, E.; Poesen, J.; Deckers, J.; De Bievre, B. Linking hydrological, infinite slope stability and land-use change models through GIS for assessing the impact of deforestation on slope stability in high Andean watersheds. Geomorphology 2003, 52, 299–315. [Google Scholar] [CrossRef]
- Zhao, B.; Dai, Q.; Zhuo, L.; Zhu, S.; Shen, Q.; Han, D. Assessing the potential of different satellite soil moisture products in landslide hazard assessment. Remote Sens. Environ. 2021, 264, 112583. [Google Scholar] [CrossRef]
- Páez-Bimos, S.; Villacís, M.; Morales, O.; Calispa, M.; Molina, A.; Salgado, S.; de Bievre, B.; Delmelle, P.; Muñoz, T.; Vanacker, V. Vegetation effects on soil pore structure and hydraulic properties in volcanic ash soils of the high Andes. Hydrol. Processes 2022, 36, e14678. [Google Scholar] [CrossRef]
- Lahuatte, B.; Mosquera, G.M.; Páez-Bimos, S.; Calispa, M.; Vanacker, V.; Zapata-Ríos, X.; Muñoz, T.; Crespo, P. Delineation of water flow paths in a tropical Andean headwater catchment with deep soils and permeable bedrock. Hydrol. Processes 2022, 36, e14725. [Google Scholar] [CrossRef]
- Empresa Pública Metropolitana de Agua Potable y Saneamiento (EPMAPS) y Fideicomiso Mercantil Fondo Ambiental para la Protección de las Cuencas y Agua (FONAG). Actualización del Plan de Manejo del Área de Conservación Hídrica Antisana; EPMAPS-FONAG: Quito, Ecuador, 2018. [Google Scholar]
- Fideicomiso Mercantil Fondo Ambiental para la Protección de las Cuencas y Agua (FONAG). Plan estrategico 2021-2025; FONAG: Quito, Ecuador, 2020. [Google Scholar]
- Espinosa, J.; Moreno, J.; Bernal, G. The Soils of Ecuador; World Soils Book Series; Springer International: Cham, Switzerland, 2017. [Google Scholar]
- Hall, M.L.; Mothes, P.A.; Samaniego, P.; Militzer, A.; Beate, B.; Ramón, P.; Robin, C. Antisana volcano: A representative andesitic volcano of the eastern cordillera of Ecuador: Petrography, chemistry, tephra and glacial stratigraphy. J. South Am. Earth Sci. 2017, 73, 50–64. [Google Scholar] [CrossRef]
- Zhuang, F.; Qi, Z.; Duan, K.; Xi, D.; Zhu, Y.; Zhu, H.; Xiong, H.; He, Q. A comprehensive survey on transfer learning. Proc. IEEE 2020, 109, 43–76. [Google Scholar] [CrossRef]
- Alpaydin, E. Machine Learning: The New AI; MIT Press: Cambridge, MA, USA, 2016. [Google Scholar]
- Kelleher, J.D.; Tierney, B.; Tierney, B. Data Science; MIT Press: Cambridge, MA, USA, 2018. [Google Scholar]
- Goodfellow, I.; Bengio, Y.; Courville, A. Deep Learning; MIT Press: Cambridge, MA, USA, 2016. [Google Scholar]
- Sit, M.; Demiray, B.Z.; Xiang, Z.; Ewing, G.J.; Sermet, Y.; Demir, I. A comprehensive review of deep learning applications in hydrology and water resources. Water Sci. Technol. 2020, 82, 2635–2670. [Google Scholar] [CrossRef]
- Tan, C.; Sun, F.; Kong, T.; Zhang, W.; Yang, C.; Liu, C. A survey on deep transfer learning. In Proceedings of the International Conference on Artificial Neural Networks, Rhodes, Greece, 4–7 October 2018; Springer: Cham, Switzerland, 2018; pp. 270–279. [Google Scholar]














| Soil Profile | Coordinates | Altitude (m.a.s.l) | Slope (%) | Dominant Vegetation Species (%) | Horizon Depth A (cm) | Horizon Depth 2A (cm) | 
|---|---|---|---|---|---|---|
| 0°29′1.90″ S / 78°14′38.15″ W | 4197 | 2.5 | 51.4 ± 23.6, Azorella pedunculata | 8–30 | 30–60 | |
| 0°29′1.69″ S / 78°14′37.69″ W | 4196 | 2 | 78.4 ± 6.9, Azorella pedunculata | 8–30 | 30–55 | |
| 0°29′4.22″ S / 78°14′36.51″ W | 4185 | 12 | 41.6 ± 34.8, Azorella pedunculata | 8–32 | 32–70 | |
| 0°29′6.89″ S / 78°14′35.08″ W | 4174 | 10 | 54.2 ± 38.4, Azorella pedunculata | 10–40 | 40–75 | |
| 0°29′27.94″ S / 78°14′37.07″ W | 4225 | 6.5 | 55.8 ± 21.6, Calamagrostis intermedia | 5–30 | 30–60 | |
| 0°29′26.99″ S / 78°14′38.14″ W | 4227 | 10.5 | 15.3 ± 5.5, Calamagrostis intermedia | 5–40 | 40–70 | |
| 0°29′22.36″ S / 78°14′34.01″ W | 4186 | 22 | 3.6 ± 9.9, Calamagrostis intermedia | 5–27 | 27–70 | |
| 0°29′19.08″ S / 78°14′31.42″ W | 4161 | 20 | 83.9 ± 9.8, Calamagrostis intermedia | 7–45 | 45–92 | 
| Site | Variable | Sensor | Accuracy | Range | 
|---|---|---|---|---|
| JTU_AWS | Precipitation | TE252MM | ±1% | 0 to 50 mmh−1 | 
| Air Temperature | CS215 | ±0.9 °C | −40 to +70 °C | |
| Relative Humidity | CS215 | ±4% | 0 to 100% | |
| Solar Radiation | CS300 | ±5 Wm−2 | 0 to 2000 Wm−2 | 
| mean | 7 | 7.21 | 6.55 | 6.44 | 7.06 | 6.62 | 6.96 | 6.6 | 
| std | 1.37 | 0.86 | 1.94 | 1.61 | 1.77 | 1.46 | 2.47 | 1.83 | 
| min | 0.76 | 2.9 | 0 | 0.01 | 0.6 | 1.83 | 0.01 | 0.22 | 
| max | 18.76 | 16.9 | 23.6 | 17.1 | 23.4 | 20.9 | 19.4 | 14.3 | 
| 1.67 | 1.07 | 2.38 | 2.01 | 2.1 | 1.84 | 3.1 | 2.37 | 
| mean | 6.48 | 6.1 | 6.86 | 6.41 | 7.54 | 6.86 | 7.27 | 6.59 | 
| std | 1.82 | 1.51 | 1.68 | 1.31 | 1.89 | 1.22 | 2.56 | 1.7 | 
| min | 0.79 | 0.74 | 1.79 | 1.81 | 0.39 | 1.11 | 0.34 | 1.21 | 
| max | 20.9 | 18.5 | 15.57 | 15.56 | 16.91 | 14.45 | 20.9 | 19 | 
| 2.1 | 1.88 | 1.96 | 1.64 | 2.1 | 1.52 | 2.94 | 2.15 | 
| mean | 0.63 | 0.5 | 0.67 | 0.55 | 0.63 | 0.57 | 0.64 | 0.51 | 
| std | 0.03 | 0.03 | 0.02 | 0.03 | 0.02 | 0.02 | 0.02 | 0.02 | 
| min | 0.57 | 0.42 | 0.59 | 0.46 | 0.58 | 0.51 | 0.58 | 0.45 | 
| max | 0.67 | 0.56 | 0.71 | 0.6 | 0.67 | 0.63 | 0.67 | 0.56 | 
| mean | 0.59 | 0.61 | 0.59 | 0.62 | 0.6 | 0.64 | 0.59 | 0.5 | 
| std | 0.02 | 0.02 | 0.01 | 0.01 | 0.01 | 0.02 | 0.02 | 0.02 | 
| min | 0.54 | 0.56 | 0.56 | 0.57 | 0.55 | 0.16 | 0.54 | 0.16 | 
| max | 0.63 | 0.66 | 0.62 | 0.66 | 0.63 | 0.68 | 0.63 | 0.56 | 
| Training | Validation | Evaluation | |
|---|---|---|---|
| Loss | |||
| MAE | 0.0025 | 0.0033 | 0.0039 | 
| RMSE | 0.0036 | 0.0045 | 0.005 | 
| MSLE | |||
| NSE | 0.97 | 0.89 | −21.4 | 
| KGE | 0.97 | 0.94 | 0.87 | 
| Metrics | |||||
|---|---|---|---|---|---|
| Target Variable | Dataset | Loss | MAE | RMSE | MSLE | 
| Training | |||||
| Validation | |||||
| Evaluation | |||||
| Training | |||||
| Validation | |||||
| Evaluation | |||||
| Training | |||||
| Validation | |||||
| Evaluation | |||||
| Training | |||||
| Validation | |||||
| Evaluation | |||||
| Training | |||||
| Validation | |||||
| Evaluation | |||||
| Training | |||||
| Validation | |||||
| Evaluation | |||||
| Training | |||||
| Validation | |||||
| Evaluation | |||||
| Training | |||||
| Validation | |||||
| Evaluation | |||||
| Metrics | |||||
|---|---|---|---|---|---|
| Target Variable | Dataset | Loss | MAE | RMSE | MSLE | 
| Training | |||||
| Validation | |||||
| Evaluation | |||||
| Training | |||||
| Validation | |||||
| Evaluation | |||||
| Training | |||||
| Validation | |||||
| Evaluation | |||||
| Training | |||||
| Validation | |||||
| Evaluation | |||||
| Training | |||||
| Validation | |||||
| Evaluation | |||||
| Training | |||||
| Validation | |||||
| Evaluation | |||||
| Training | |||||
| Validation | |||||
| Evaluation | |||||
| Disclaimer/Publisher’s Note: The statements, opinions and data contained in all publications are solely those of the individual author(s) and contributor(s) and not of MDPI and/or the editor(s). MDPI and/or the editor(s) disclaim responsibility for any injury to people or property resulting from any ideas, methods, instructions or products referred to in the content. | 
© 2024 by the authors. Licensee MDPI, Basel, Switzerland. This article is an open access article distributed under the terms and conditions of the Creative Commons Attribution (CC BY) license (https://creativecommons.org/licenses/by/4.0/).
Share and Cite
Escobar-González, D.; Villacís, M.; Páez-Bimos, S.; Jácome, G.; González-Vergara, J.; Encalada, C.; Vanacker, V. Soil Moisture Forecast Using Transfer Learning: An Application in the High Tropical Andes. Water 2024, 16, 832. https://doi.org/10.3390/w16060832
Escobar-González D, Villacís M, Páez-Bimos S, Jácome G, González-Vergara J, Encalada C, Vanacker V. Soil Moisture Forecast Using Transfer Learning: An Application in the High Tropical Andes. Water. 2024; 16(6):832. https://doi.org/10.3390/w16060832
Chicago/Turabian StyleEscobar-González, Diego, Marcos Villacís, Sebastián Páez-Bimos, Gabriel Jácome, Juan González-Vergara, Claudia Encalada, and Veerle Vanacker. 2024. "Soil Moisture Forecast Using Transfer Learning: An Application in the High Tropical Andes" Water 16, no. 6: 832. https://doi.org/10.3390/w16060832
APA StyleEscobar-González, D., Villacís, M., Páez-Bimos, S., Jácome, G., González-Vergara, J., Encalada, C., & Vanacker, V. (2024). Soil Moisture Forecast Using Transfer Learning: An Application in the High Tropical Andes. Water, 16(6), 832. https://doi.org/10.3390/w16060832
 
         
                                                


 
       