Geospatial Approaches to Improve Water Availability through Demand Assessment in Agriculture Based on Treated Wastewater: A Case Study of Weinstadt, Baden-Württemberg
Abstract
1. Introduction
- What is the extent of the agriculture irrigation water requirement (IWR) varied according to agro-climate variable in the CROPWAT model at different crop life stages?
- How can the definition of the urban roof catchment surface yield the volume of the water-retaining capacity for each roof type?
- How to economically compensate the agriculture irrigation and current water supply from the WWTP (wastewater treatment plant) by the urban roof catchment harvesting capacity?
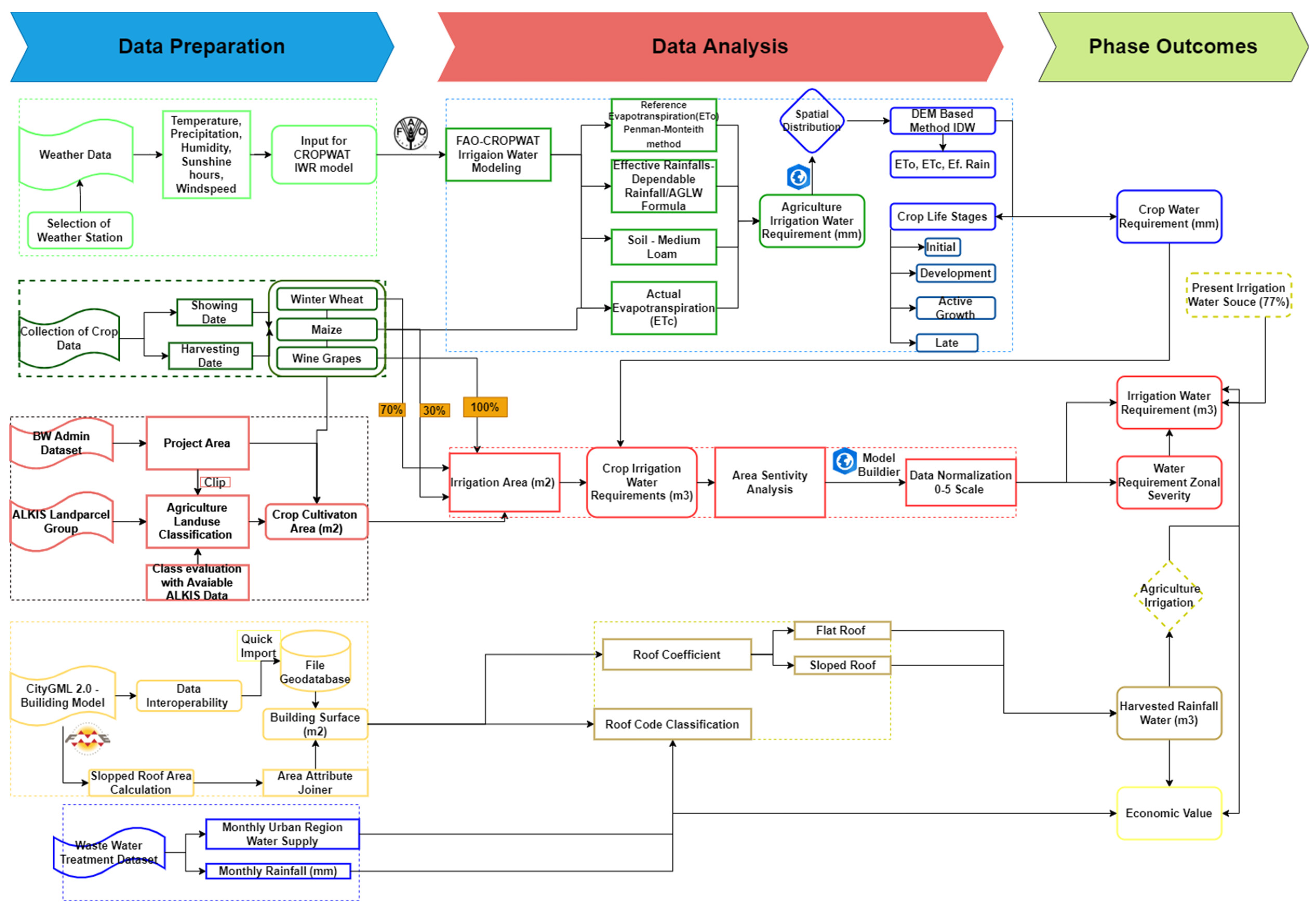
2. Materials and Methods
2.1. Study Area
2.2. Datasets
2.3. Determination of Agriculture Water Requirements
2.3.1. Reference Evapotranspiration
2.3.2. Effective Rainfall
2.3.3. Irrigation Water Requirement (IWR)
2.3.4. Spatial Distribution of Agricultural Water Requirements
2.3.5. Agriculture Water Requirements Zonal Model
2.4. Urban Roof Water Harvesting
2.4.1. Roof Type Definition
2.4.2. Urban Water Catchment Area
2.4.3. Roof Runoff Coefficient
2.4.4. Catchment Water Volume
2.5. Economic Value Assessment
2.6. Visualization Workflow
3. Results
3.1. Agriculture Water Requirements
3.1.1. Spatial Distribution of Calculated CROPWAT Model Parameters
3.1.2. Irrigation Water Requirements (IWR) for Maize
3.1.3. Irrigation Water Requirements (IWR) for Wine Grapes
3.1.4. Irrigation Water Requirements (IWR) for Winter Wheat
3.1.5. Agriculture Irrigation Water Requirements
3.1.6. Zonal Severity for IWR
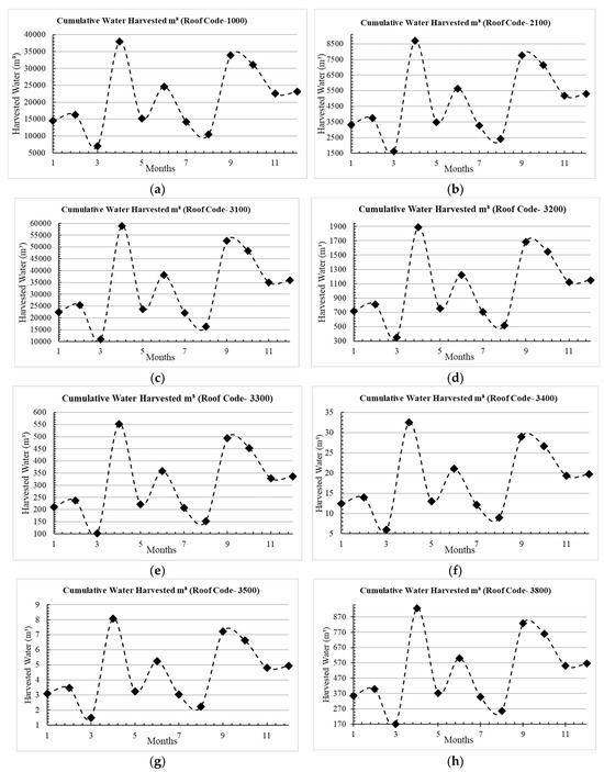
3.2. Urban Rainfall Water Harvesting
3.3. Economic Impact of Water Efficiency
4. Discussion
4.1. Comparative Overview with Related Research
4.2. Influence on Agriculture and Urban Water Demand
5. Conclusions
- ▪
- A comparative analysis can be performed using various methods in the CROPWAT model. In the depth of effective rainfall, other methods would be checked in CROPWAT models for the water sufficient region like Germany.
- ▪
- The snowfall as a water harvesting source could add the more reduced amount of water, which will improve the more proficient amount of potential economic water values.
- ▪
- The proper survey data on the degree of sloping, roof materials and roof covering can have huge impacts on the urban water availability potentials.
Author Contributions
Funding
Data Availability Statement
Acknowledgments
Conflicts of Interest
Appendix A
| Months | Water Harvested in Urban Catchment (Whp) 103 m3 | Water Supply from WWTP (Ws) 103 m3 | Potential Reduced Water Use (Ws − Whp) 103 m3 |
|---|---|---|---|
| January | 4.9 | 33.3 | 28.3 |
| February | 5.6 | 31.7 | 26.1 |
| March | 2.4 | 24.5 | 22.1 |
| April | 13 | 42 | 28.9 |
| May | 5.2 | 30.6 | 25.4 |
| June | 8.4 | 31.6 | 23.1 |
| July | 4.8 | 26.2 | 21.4 |
| August | 3.6 | 22.6 | 19 |
| September | 11.6 | 34.4 | 22.8 |
| October | 10.7 | 36.6 | 25.8 |
| November | 7.7 | 34 | 26.2 |
| December | 7.9 | 32.4 | 24.4 |
| Total | 86 | 380 | 294 |



References
- Helmecke, M.; Fries, E.; Schulte, C. Regulating water reuse for agricultural irrigation: Risks related to organic micro-contaminants. Environ. Sci. Eur. 2020, 32, 4. [Google Scholar] [CrossRef]
- Stoll, J. Water Resource Management in Germany. Umweltbundesamt. 2018. Available online: https://www.umweltbundesamt.de/publikationen/water-resource-management-in-germany (accessed on 3 February 2023).
- Schiller, A. Umweltbundesamt. New EU Regulation on Minimum Requirements for Water Reuse. 2021. Available online: https://www.umweltbundesamt.de/en/topics/water/water-resource-management/water-reuse/new-eu-regulation-on-minimum-requirements-for-water (accessed on 26 September 2022).
- Maaß, O.; Grundmann, P. Governing Transactions and Interdependences between Linked Value Chains in a Circular Economy: The Case of Wastewater Reuse in Braunschweig (Germany). Sustainability 2018, 10, 1125. [Google Scholar]
- Inter3. Wasserwiederverwendung in Deutschland Ermöglichen. Available online: https://www.inter3.de/aktuelles/meldungen (accessed on 6 September 2022).
- Barbagallo, S.; Cirelli, G.L.; Consoli, S.; Licciardello, F.; Marzo, A.; Toscano, A. Analysis of treated wastewater reuse potential for irrigation in Sicily. Water Sci. Technol. 2012, 65, 2024–2033. [Google Scholar] [CrossRef] [PubMed]
- Jodar-Abellan, A.; Fernández-Aracil, P.; Melgarejo-Moreno, J. Assessing Water Shortage through a Balance Model among Transfers, Groundwater, Desalination, Wastewater Reuse, and Water Demands (SE Spain). Water 2019, 11, 1009. [Google Scholar] [CrossRef]
- Jia, H.; Guo, R.; Xin, K.; Wang, J. Research on wastewater reuse planning in Beijing central region. Water Sci. Technol. 2005, 51, 195–202. [Google Scholar] [CrossRef]
- Ramirez, C.; Almulla, Y.; Fuso Nerini, F. Reusing wastewater for agricultural irrigation: A water-energy-food Nexus assessment in the North Western Sahara Aquifer System. Environ. Res. Lett. 2021, 16, 044052. [Google Scholar] [CrossRef]
- Jaramillo, M.; Restrepo, I. Wastewater Reuse in Agriculture: A Review about Its Limitations and Benefits. Sustainability 2017, 9, 1734. [Google Scholar] [CrossRef]
- Moseki, O.; Murray-Hudson, M.; Kashe, K. Crop water and irrigation requirements of Jatropha curcas L. in semi-arid conditions of Botswana: Applying the CROPWAT model. Agric. Water Manag. 2019, 225, 105754. [Google Scholar] [CrossRef]
- Bilibio, C.; Hensel, O. The Water Deficit of Evapotranspiration Covers on Potash Tailing Piles Using CropWat. Agric. Eng. Int. CIGR J. 2021, 23, 75–91. [Google Scholar]
- Surendran, U.; Sushanth, C.M.; Mammen, G.; Joseph, E.J. Modelling the Crop Water Requirement Using FAO-CROPWAT and Assessment of Water Resources for Sustainable Water Resource Management: A Case Study in Palakkad District of Humid Tropical Kerala, India. Aquat. Procedia 2015, 4, 1211–1219. [Google Scholar] [CrossRef]
- Bokke, A.S.; Shoro, K.E. Impact of effective rainfall on net irrigation water requirement: The case of Ethiopia. Water Sci. 2020, 34, 155–163. [Google Scholar] [CrossRef]
- Feng, Z.; Liu, D.; Zhang, Y. Water requirements and irrigation scheduling of spring maize using GIS and CropWat model in Beijing-Tianjin-Hebei region. Chin. Geogr. Sci. 2007, 17, 56–63. [Google Scholar] [CrossRef]
- Al-Najar, H. The integration of FAO-CropWat Model and GIS Techniques for Estimating Irrigation Water Requirement and Its Application in the Gaza Strip. Nat. Resour. 2011, 2, 146–154. [Google Scholar] [CrossRef]
- Bhardwaj, R.K.; Sharma, S.; Kumar, D. Impact of LULC Dynamics on Evapotranspiration using GIS: Case Study of Uttarakhand. J. Mater. Environ. Sci. 2022, 13, 631–639. [Google Scholar]
- Adamala, S.; Rajwade, Y.A.; Krishna Reddy, Y.V. Estimation of wheat crop evapotranspiration using NDVI vegetation index. J. Appl. Nat. Sci. 2016, 8, 159–166. [Google Scholar] [CrossRef]
- Kadkhodazadeh, M.; Valikhan Anaraki, M.; Morshed-Bozorgdel, A.; Farzin, S. A New Methodology for Reference Evapotranspiration Prediction and Uncertainty Analysis under Climate Change Conditions Based on Machine Learning, Multi Criteria Decision Making and Monte Carlo Methods. Sustainability 2022, 14, 2601. [Google Scholar] [CrossRef]
- Farreny, R.; Morales-Pinzón, T.; Guisasola, A.; Tayà, C.; Rieradevall, J.; Gabarrell, X. Roof selection for rainwater harvesting: Quantity and quality assessments in Spain. Water Res. 2011, 45, 3245–3254. [Google Scholar] [CrossRef]
- Maqsoom, A.; Aslam, B.; Ismail, S.; Thaheem, M.J.; Ullah, F.; Zahoor, H.; Musarat, M.A.; Vatin, N.I. Assessing Rainwater Harvesting Potential in Urban Areas: A Building Information Modelling (BIM) Approach. Sustainability 2021, 13, 12583. [Google Scholar] [CrossRef]
- Bao, K.; Padsala, R.; Thrän, D.; Schröter, B. Urban Water Demand Simulation in Residential and Non-Residential Buildings Based on a CityGML Data Model. ISPRS Int. J. Geo-Inf. 2020, 9, 642. [Google Scholar] [CrossRef]
- Climate-Data. Available online: https://en.climate-data.org/ (accessed on 5 October 2022).
- Weater-Data. Available online: https://weatherspark.com/ (accessed on 7 October 2022).
- BGR Geoportal. Available online: https://www.bgr.bund.de/ (accessed on 10 October 2022).
- Rinaldi, S.; Bonamente, E.; Scrucca, F.; Merico, M.; Asdrubali, F.; Cotana, F. Water and Carbon Footprint of Wine: Methodology Review and Application to a Case Study. Sustainability 2016, 8, 621. [Google Scholar] [CrossRef]
- Choudhary, D. Methods of Evapotranspiration. 2018. Available online: http://rgdoi.net/10.13140/RG.2.2.14533.76007 (accessed on 23 January 2023).
- Solangi, G.S.; Shah, S.A.; Alharbi, R.S.; Panhwar, S.; Keerio, H.A.; Kim, T.W.; Memon, J.A.; Bughio, A.D. Investigation of Irrigation Water Requirements for Major Crops Using CROPWAT Model Based on Climate Data. Water 2022, 14, 2578. [Google Scholar] [CrossRef]
- Alemayehu, Y.A.; Steyn, J.M.; Annandale, J.G. FAO-type crop factor determination for irrigation scheduling of hot pepper (Capsicum annuum L.) cultivars. S. Afr. J. Plant Soil. 2009, 26, 186–194. [Google Scholar] [CrossRef]
- Lakshmi, S.E.; Yarrakula, K. Review and critical analysis on digital elevation models. Geofizika 2019, 35, 129–157. [Google Scholar] [CrossRef]
- Rabbi, S.E.; Shant, R.; Karmakar, S.; Habib, A.; Kropp, J.P. Regional mapping of climate variability index and identifying socio-economic factors influencing farmer’s perception in Bangladesh. Environ. Dev. Sustain. 2021, 23, 11050–11066. [Google Scholar] [CrossRef]
- Repository.De. Index of /Schemas/Adv/Citygml/Codelisten/. Available online: https://repository.gdi-de.org/schemas/adv/citygml/Codelisten/ (accessed on 25 January 2023).
- Ugai, T. Evaluation of Sustainable Roof from Various Aspects and Benefits of Agriculture Roofing in Urban Core. Procedia Soc. Behav. Sci. 2016, 216, 850–860. [Google Scholar] [CrossRef]
- Lancaster, B. Rainwater Harvesting for Drylands and Beyond; Rainwater Harvesting for Drylands and Beyond; Rainsource Press: Tucson, Arizona, 2006; Volume 1. [Google Scholar]
- Liaw, C.; Tsai, Y. Optimum Storage Volume of Rooftop Rain Water Harvesting Systems for Domestic Use1. J. Am. Water Resour. Assoc. 2004, 40, 901–912. [Google Scholar] [CrossRef]
- Ward, S.; Memon, F.A.; Butler, D. Harvested rainwater quality: The importance of appropriate design. Water Sci. Technol. 2010, 61, 1707–1714. [Google Scholar] [CrossRef] [PubMed]
- Anane, M.; Bouziri, L.; Limam, A.; Jellali, S. Ranking suitable sites for irrigation with reclaimed water in the Nabeul-Hammamet region (Tunisia) using GIS and AHP-multicriteria decision analysis. Resour. Conserv. Recycl. 2012, 65, 36–46. [Google Scholar] [CrossRef]
- Schoenwiese, G. Umweltbundesamt. WW-R-1: Water Use Index. 2021. Available online: https://www.umweltbundesamt.de/en/topics/climate-energy/climate-impacts-adaptation/impacts-of-climate-change/monitoring-report-2019/indicators-of-climate-change-impacts-adaptation/cluster-water-regime-water-managementmarine-coastal/ww-r-1-water-use-index (accessed on 20 September 2022).
- Germany, Federal Republic of. Available online: https://www.icid.org/i_d_germany.pdf (accessed on 3 February 2023).













| Roof | RC | Reference | |
|---|---|---|---|
| Sloping Roof | Concrete/Asphalt | 0.9 | [34] |
| Metal | 0.95 | [34] | |
| 0.81–0.84 | [35] | ||
| Aluminum | 0.7 | [36] | |
| Flat Roof | Bituminous | 0.7 | [36] |
| Gravel | 0.8–0.85 | [34] | |
| Level Cement | 0.81 | [35] |
| Crop Name | Area (103 m2) | Potential Irrigation Water Requirement (mm) | Total Water Requirement (103 m3) |
|---|---|---|---|
| Maize | 375 | 189.0 | 70.8 |
| Winter Wheat | 875 | 223.3 | 195.3 |
| Wine Grapes | 470 | 60.92 | 28.6 |
| Total | 294.7 |
| References | Datasets and Time Frame | Methodological Philosophy | Research Methods | Findings | Study Regions |
|---|---|---|---|---|---|
| [37] | Wastewater treatment plant nominal flow rate, soil textures and depth, land use, DEM; Time period: 2009/2010 (Landsat TM imagery), 2000 (Google Earth data and land use map) | Analytical hierarchical process for geospatial integration | Study area characterization by classification, standardizing the sub criteria, sensitivity analysis and cross validation | 31% of the aquifer is fitting for irrigation, GIS sensitivity ranking cases 1–5. | Tunisia |
| [28] | Agro climatic data, crop data showing and harvesting; Time period: 2017–2021 (agroclimatic data) | Irrigation water requirement (IWR) and irrigation scheduling for cultivated crops | CROPWAT model for calculation of Eto and effective rainfalls, calculation of evapotranspiration | IWR: 3108.0 mm-sugarcane, 1768.5 mm—banana, 1655.7 mm—cotton, 402.5 mm—wheat | Pakistan |
| [13] | Ago-ecological datasets, crop data; Time periods: Not defined | Total water requirement in various agro-ecological zone in order to estimate ground water balance | CROPWAT model 8.0 used for calculation of evapotranspiration | Net irrigation requirement: Paddy: 442 to 1483 mm; water demand: 1146 mm3 | India |
| [16] | CROPWAT station dataset and crop data; Time period: Not defined | Irrigation water requirement estimation for spatial modeling | CROPWAT model for crop water requirement and water qualitative measurements | IWR: 763 mm/year-citrus, 722 mm/year-almonds, 1083 mm/year-date palm, 591 mm/year-grapes. | Palestine |
| [15] | Meteorological data; Time period: 1961 to 2001 | Spatial distribution of crop water requirement | CROPWAT model for irrigation water requirement and irrigation scheduling, DEM based methods | Spatial distribution of ETc of spring maize 324.57–500.55 mm; water deficit ratio up to 40% | China |
| [21] | Daily rainfall, 2D and 3D model of building; Time period: January 2014–December 2018 (daily rainfall) | Rainwater harvesting assessment through Building Information Modeling (BIM) | Calculation of potential roofing catchment size, rainwater harvesting potential and fixing of tank capacity | Collected harvested rainfall water volume: 8190 L/yr to 103,300 L/yr | Pakistan |
| [22] | CityGML building models; Time period: Not defined | Urban water demand assessment | Implementation of water analysis workflow of SimStadt, log-log model for water demand assessment | Industrial water demand: 397 to 579 m3 and Predicted precipitation: 248 mm by 2030 | Germany |
| Our Proposed Methodology | Climate dataset, wastewater treatment Plant water supply volume, ALKIS maps Time period: 1991–2021 (temperature, humidity, rainfall), 1991–2019 (sunshine hours), 2022 (wind speed), 2021–2022 (WWTP supply), 2021 (ALKIS maps) | Agriculture water demand assessment by using the potentiality of urban rainwater harvesting and wastewater treatment plant supply | Employment of CROPWAT model for IWR, zonal severity analysis, urban roof catchment area measurement, economic value. | IWR estimation: 189 mm-maize, 223.3 mm-winter wheat, 60.92 mm for wine grapes, spatial volume of IWR 294.7 × 103 m3/yearly. Sensitivity phases 0–5. Rainfall water harvested volume: 86 × 103 m3/yearly | Germany |
Disclaimer/Publisher’s Note: The statements, opinions and data contained in all publications are solely those of the individual author(s) and contributor(s) and not of MDPI and/or the editor(s). MDPI and/or the editor(s) disclaim responsibility for any injury to people or property resulting from any ideas, methods, instructions or products referred to in the content. |
© 2024 by the authors. Licensee MDPI, Basel, Switzerland. This article is an open access article distributed under the terms and conditions of the Creative Commons Attribution (CC BY) license (https://creativecommons.org/licenses/by/4.0/).
Share and Cite
Karmaker, S.; Bandyopadhyay, S.; Bauer, S. Geospatial Approaches to Improve Water Availability through Demand Assessment in Agriculture Based on Treated Wastewater: A Case Study of Weinstadt, Baden-Württemberg. Water 2024, 16, 704. https://doi.org/10.3390/w16050704
Karmaker S, Bandyopadhyay S, Bauer S. Geospatial Approaches to Improve Water Availability through Demand Assessment in Agriculture Based on Treated Wastewater: A Case Study of Weinstadt, Baden-Württemberg. Water. 2024; 16(5):704. https://doi.org/10.3390/w16050704
Chicago/Turabian StyleKarmaker, Sourav, Sanchalita Bandyopadhyay, and Sonja Bauer. 2024. "Geospatial Approaches to Improve Water Availability through Demand Assessment in Agriculture Based on Treated Wastewater: A Case Study of Weinstadt, Baden-Württemberg" Water 16, no. 5: 704. https://doi.org/10.3390/w16050704
APA StyleKarmaker, S., Bandyopadhyay, S., & Bauer, S. (2024). Geospatial Approaches to Improve Water Availability through Demand Assessment in Agriculture Based on Treated Wastewater: A Case Study of Weinstadt, Baden-Württemberg. Water, 16(5), 704. https://doi.org/10.3390/w16050704

