Enhanced Tropical Cyclone Precipitation Prediction in the Northwest Pacific Using Deep Learning Models and Ensemble Techniques
Abstract
1. Introduction
2. Data and Methods
2.1. Data
2.2. U-Net-Based Models
2.3. Ensemble Method for TC Precipitation Forecasts
2.4. Evaluation Metrics
2.5. Feature Importance Analysis
2.6. Case Study
3. Results
3.1. Basic Performance
3.2. Case Study
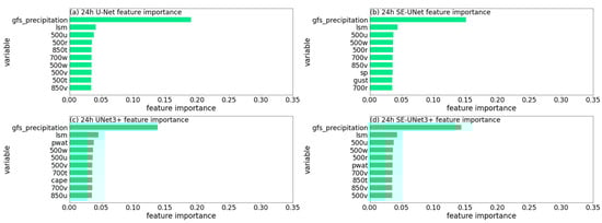
3.3. Feature Importance Analysis
4. Conclusions
Supplementary Materials
Author Contributions
Funding
Data Availability Statement
Conflicts of Interest
References
- Ren, F.; Wang, Y.; Wang, X.; Li, W. Estimating tropical cyclone precipitation from station observations. Adv. Atmos. Sci. 2007, 24, 700–711. [Google Scholar] [CrossRef]
- Yao, D.; Song, X.; Yang, L.; Ma, Y. Contribution of Tropical Cyclones to Precipitation around Reclaimed Islands in the South China Sea. Water 2020, 12, 3108. [Google Scholar] [CrossRef]
- Cai, Y.; Zheng, F.; Yao, C.; Lu, Q.; Qin, W.; He, H.; Huang, C. Spatiotemporal Distributions and Related Large-Scale Environmental Conditions of Extreme Rainfall from Tropical Cyclones with Different Tracks and Seasons in Guangxi, South China: A Comparative Climatological Study. Atmosphere 2023, 14, 1277. [Google Scholar] [CrossRef]
- Maxwell, J.T.; Bregy, J.C.; Robeson, S.M.; Knapp, P.A.; Soulé, P.T.; Trouet, V. Recent increases in tropical cyclone precipitation extremes over the US east coast. Proc. Natl. Acad. Sci. USA 2021, 118, e2105636118. [Google Scholar] [CrossRef]
- Hamill, T.M. Hypothesis tests for evaluating numerical precipitation forecasts. Weather Forecast. 1999, 14, 155–167. [Google Scholar] [CrossRef]
- Lin, C.; Vasić, S.; Kilambi, A.; Turner, B.; Zawadzki, I. Precipitation forecast skill of numerical weather prediction models and radar nowcasts. Geophys. Res. Lett. 2005, 32. [Google Scholar] [CrossRef]
- Zhang, P.; Zhang, L.; Leung, H.; Wang, J. A deep-learning based precipitation forecasting approach using multiple environmental factors. In Proceedings of the 2017 IEEE International Congress on Big Data (BigData Congress), Honolulu, HI, USA, 25–30 June 2017; pp. 193–200. [Google Scholar]
- Zhou, Y.; Lau, K.M.; Reale, O.; Rosenberg, R. AIRS impact on precipitation analysis and forecast of tropical cyclones in a global data assimilation and forecast system. Geophys. Res. Lett. 2010, 37, L02806. [Google Scholar] [CrossRef]
- Chen, Y.; Ebert, E.E.; Davidson, N.E.; Walsh, K.J. Application of contiguous rain area (CRA) methods to tropical cyclone rainfall forecast verification. Earth Space Sci. 2018, 5, 736–752. [Google Scholar] [CrossRef]
- Ray, K.; Balachandran, S.; Dash, S. Challenges of forecasting rainfall associated with tropical cyclones in India. Meteorol. Atmos. Phys. 2022, 134, 8. [Google Scholar] [CrossRef]
- Newman, K.M.; Brown, B.; Gotway, J.H.; Bernardet, L.; Biswas, M.; Jensen, T.; Nance, L. Advancing Tropical Cyclone Precipitation Forecast Verification Methods and Tools. Weather Forecast. 2023, 38, 1589–1603. [Google Scholar] [CrossRef]
- Huang, C.-L.; Hsu, N.-S.; Wei, C.-C.; Lo, C.-W. Using artificial intelligence to retrieve the optimal parameters and structures of adaptive network-based fuzzy inference system for typhoon precipitation forecast modeling. Adv. Meteorol. 2015, 2015, 472523. [Google Scholar] [CrossRef]
- Han, Y.; Zhang, G.J.; Huang, X.; Wang, Y. A moist physics parameterization based on deep learning. J. Adv. Model. Earth Syst. 2020, 12, e2020MS002076. [Google Scholar] [CrossRef]
- Reichstein, M.; Camps-Valls, G.; Stevens, B.; Jung, M.; Denzler, J.; Carvalhais, N.; Prabhat, f. Deep learning and process understanding for data-driven Earth system science. Nature 2019, 566, 195–204. [Google Scholar] [CrossRef]
- Sun, D.; Huang, W.; Yang, Z.; Luo, Y.; Luo, J.; Wright, J.S.; Fu, H.; Wang, B. Deep learning improves GFS wintertime precipitation forecast over southeastern China. Geophys. Res. Lett. 2023, 50, e2023GL104406. [Google Scholar] [CrossRef]
- Hu, Y.F.; Yin, F.K.; Zhang, W.M. Deep learning-based precipitation bias correction approach for Yin–He global spectral model. Meteorol. Appl. 2021, 28, e2032. [Google Scholar] [CrossRef]
- Wang, X.; Wang, W.; Yan, B. Tropical Cyclone Intensity Change Prediction Based on Surrounding Environmental Conditions with Deep Learning. Water 2020, 12, 2685. [Google Scholar] [CrossRef]
- Marchok, T.; Rogers, R.; Tuleya, R. Validation schemes for tropical cyclone quantitative precipitation forecasts: Evaluation of operational models for US landfalling cases. Weather Forecast. 2007, 22, 726–746. [Google Scholar] [CrossRef]
- Feng, Z.; Lv, S.; Sun, Y.; Feng, X.; Zhai, P.; Lin, Y.; Shen, Y.; Zhong, W. Skillful Seasonal Prediction of Typhoon Track Density Using Deep Learning. Remote Sens. 2023, 15, 1797. [Google Scholar] [CrossRef]
- Pradhan, R.; Aygun, R.S.; Maskey, M.; Ramachandran, R.; Cecil, D.J. Tropical cyclone intensity estimation using a deep convolutional neural network. IEEE Trans. Image Process. 2017, 27, 692–702. [Google Scholar] [CrossRef] [PubMed]
- Chen, R.; Zhang, W.; Wang, X. Machine learning in tropical cyclone forecast modeling: A review. Atmosphere 2020, 11, 676. [Google Scholar] [CrossRef]
- Wang, Z.; Zhao, J.; Huang, H.; Wang, X. A review on the application of machine learning methods in tropical cyclone forecasting. Front. Earth Sci. 2022, 10, 902596. [Google Scholar] [CrossRef]
- Gao, Y.; Guan, J.; Zhang, F.; Wang, X.; Long, Z. Attention-unet-based near-real-time precipitation estimation from fengyun-4A satellite imageries. Remote Sens. 2022, 14, 2925. [Google Scholar] [CrossRef]
- Kaparakis, C.; Mehrkanoon, S. WF-UNet: Weather Fusion UNet for Precipitation Nowcasting. arXiv 2023, arXiv:2302.04102. [Google Scholar]
- Trebing, K.; Staǹczyk, T.; Mehrkanoon, S. SmaAt-UNet: Precipitation nowcasting using a small attention-UNet architecture. Pattern Recognit. Lett. 2021, 145, 178–186. [Google Scholar] [CrossRef]
- Rasp, S.; Lerch, S. Neural networks for postprocessing ensemble weather forecasts. Mon. Weather Rev. 2018, 146, 3885–3900. [Google Scholar] [CrossRef]
- Ronneberger, O.; Fischer, P.; Brox, T. U-net: Convolutional networks for biomedical image segmentation. In Proceedings of the Medical Image Computing and Computer-Assisted Intervention–MICCAI 2015: 18th International Conference, Munich, Germany, 5–9 October 2015; pp. 234–241. [Google Scholar]
- Rozas Larraondo, P.; Renzullo, L.J.; Inza, I.; Lozano, J.A. A data-driven approach to precipitation parameterizations using convolutional encoder-decoder neural networks. arXiv 2019, arXiv:1903.10274. [Google Scholar]
- Dupuy, F.; Mestre, O.; Serrurier, M.; Burdá, V.K.; Zamo, M.; Cabrera-Gutiérrez, N.C.; Bakkay, M.C.; Jouhaud, J.-C.; Mader, M.-A.; Oller, G. ARPEGE cloud cover forecast postprocessing with convolutional neural network. Weather Forecast. 2021, 36, 567–586. [Google Scholar] [CrossRef]
- Singh, M.; Kumar, B.; Rao, S.; Gill, S.S.; Chattopadhyay, R.; Nanjundiah, R.S.; Niyogi, D. Deep learning for improved global precipitation in numerical weather prediction systems. arXiv 2021, arXiv:2106.12045. [Google Scholar]
- Honghan, Z.; Liu, D.C.; Jingyan, L.; Liu, P.; Yin, H.; Peng, Y. RMS-SE-UNet: A segmentation method for tumors in breast ultrasound images. In Proceedings of the 2021 IEEE 6th International Conference on Computer and Communication Systems (ICCCS), Chengdu, China, 23–26 April 2021; pp. 328–334. [Google Scholar]
- Liu, H.; Luo, J.; Huang, B.; Yang, H.; Hu, X.; Xu, N.; Xia, L. Building extraction based on SE-Unet. J. Geo-Inf. Sci. 2019, 21, 1779–1789. [Google Scholar]
- Sofla, R.A.D.; Alipour-Fard, T.; Arefi, H. Road extraction from satellite and aerial image using SE-Unet. J. Appl. Remote Sens. 2021, 15, 014512. [Google Scholar] [CrossRef]
- Zhang, G.; Yan, H.; Zhang, D.; Zhang, H.; Cheng, T.; Hu, G.; Shen, S.; Xu, H. Enhancing model performance in detecting lodging areas in wheat fields using UAV RGB Imagery: Considering spatial and temporal variations. Comput. Electron. Agric. 2023, 214, 108297. [Google Scholar] [CrossRef]
- Lv, M.; Zhang, Y.; Liu, S. Fast forward approximation and multitask inversion of gravity anomaly based on UNet3+. Geophys. J. Int. 2023, 234, 972–984. [Google Scholar] [CrossRef]
- Ono, S.; Komatsu, M.; Sakai, A.; Arima, H.; Ochida, M.; Aoyama, R.; Yasutomi, S.; Asada, K.; Kaneko, S.; Sasano, T. Automated endocardial border detection and left ventricular functional assessment in echocardiography using deep learning. Biomedicines 2022, 10, 1082. [Google Scholar] [CrossRef]
- Yin, M.; Wang, P.; Ni, C.; Hao, W. Cloud and snow detection of remote sensing images based on improved Unet3+. Sci. Rep. 2022, 12, 14415. [Google Scholar] [CrossRef] [PubMed]
- Lu, X.; Yu, H.; Ying, M.; Zhao, B.; Zhang, S.; Lin, L.; Bai, L.; Wan, R. Western North Pacific tropical cyclone database created by the China Meteorological Administration. Adv. Atmos. Sci. 2021, 38, 690–699. [Google Scholar] [CrossRef]
- Li, Q.; Xu, P.; Wang, X.; Lan, H.; Cao, C.; Li, G.; Zhang, L.; Sun, L. An operational statistical scheme for tropical cyclone induced wind gust forecasts. Weather Forecast. 2016, 31, 1817–1832. [Google Scholar] [CrossRef]
- Huffman, G.J.; Bolvin, D.T.; Braithwaite, D.; Hsu, K.; Joyce, R.; Xie, P.; Yoo, S.-H. NASA global precipitation measurement (GPM) integrated multi-satellite retrievals for GPM (IMERG). Algorithm Theor. Basis Doc. (ATBD) Version 2015, 4, 30. [Google Scholar]
- NCEP GFS 0.25 Degree Global Forecast Grids Historical Archive. Available online: https://rda.ucar.edu/datasets/ds084.1/dataaccess/ (accessed on 12 September 2023).
- Pradhan, R.K.; Markonis, Y.; Godoy, M.R.V.; Villalba-Pradas, A.; Andreadis, K.M.; Nikolopoulos, E.I.; Papalexiou, S.M.; Rahim, A.; Tapiador, F.J.; Hanel, M. Review of GPM IMERG performance: A global perspective. Remote Sens. Environ. 2022, 268, 112754. [Google Scholar] [CrossRef]
- Huang, H.; Lin, L.; Tong, R.; Hu, H.; Zhang, Q.; Iwamoto, Y.; Han, X.; Chen, Y.-W.; Wu, J. Unet 3+: A full-scale connected unet for medical image segmentation. In Proceedings of the ICASSP 2020—2020 IEEE International Conference on Acoustics, Speech and Signal Processing (ICASSP), Barcelona, Spain, 4–8 May 2020; pp. 1055–1059. [Google Scholar]
- Varshaneya, V.; Balasubramanian, S.; Gera, D. Res-SE-Net: Boosting Performance of ResNets by Enhancing Bridge Connections. In Machine Learning Algorithms and Applications; Wiley: Hoboken, NJ, USA, 2021; pp. 61–75. [Google Scholar]
- Yu, X.; Jin, F.; Luo, H.; Lei, Q.; Wu, Y. Gross tumor volume segmentation for stage III NSCLC radiotherapy using 3D ResSE-Unet. Technol. Cancer Res. Treat. 2022, 21, 15330338221090847. [Google Scholar] [CrossRef]
- Kingma, D.P.; Ba, J. Adam: A method for stochastic optimization. arXiv 2014, arXiv:1412.6980. [Google Scholar]
- Leith, C.E. Theoretical skill of Monte Carlo forecasts. Mon. Weather Rev. 1974, 102, 409–418. [Google Scholar] [CrossRef]
- Murphy, A.H. Skill scores based on the mean square error and their relationships to the correlation coefficient. Mon. Weather Rev. 1988, 116, 2417–2424. [Google Scholar] [CrossRef]
- Speer, M.; Leslie, L. An example of the utility of ensemble rainfall forecasting. Aust. Meteorol. Mag. 1997, 46, 75–78. [Google Scholar]
- Warner, T.T. Numerical Weather and Climate Prediction; Cambridge University Press: Cambridge, UK, 2010. [Google Scholar]
- Clark, A.J.; Gallus, W.A.; Chen, T.-C. Contributions of mixed physics versus perturbed initial/lateral boundary conditions to ensemble-based precipitation forecast skill. Mon. Weather Rev. 2008, 136, 2140–2156. [Google Scholar] [CrossRef]
- Ebert, E.E. Ability of a poor man’s ensemble to predict the probability and distribution of precipitation. Mon. Weather Rev. 2001, 129, 2461–2480. [Google Scholar] [CrossRef]
- Hamill, T.M.; Engle, E.; Myrick, D.; Peroutka, M.; Finan, C.; Scheuerer, M. The US National Blend of Models for statistical postprocessing of probability of precipitation and deterministic precipitation amount. Mon. Weather Rev. 2017, 145, 3441–3463. [Google Scholar] [CrossRef]
- Berenguer, M.; Surcel, M.; Zawadzki, I.; Xue, M.; Kong, F. The diurnal cycle of precipitation from continental radar mosaics and numerical weather prediction models. Part II: Intercomparison among numerical models and with nowcasting. Mon. Weather Rev. 2012, 140, 2689–2705. [Google Scholar] [CrossRef]
- Clark, A.J.; Gallus, W.A.; Xue, M.; Kong, F. A comparison of precipitation forecast skill between small convection-allowing and large convection-parameterizing ensembles. Weather Forecast. 2009, 24, 1121–1140. [Google Scholar] [CrossRef]
- Novak, D.R.; Bailey, C.; Brill, K.F.; Burke, P.; Hogsett, W.A.; Rausch, R.; Schichtel, M. Precipitation and temperature forecast performance at the Weather Prediction Center. Weather Forecast. 2014, 29, 489–504. [Google Scholar] [CrossRef]
- Xue, M.; Kong, F.; Tomas, K.; Wang, Y.; Brewster, K.; Gao, J.; Wang, X.; Weiss, S.; Clark, A.; Kain, J. Realtime convection-permitting ensemble and convection-resolving deterministic forecasts of CAPS for the Hazardous Weather Testbed 2010 Spring Experiment. In Proceedings of the 24th Conference on Weather and Forecasting/20th Conference on Numerical Weather Prediction, Seattle, WA, USA, 23–27 January 2011. [Google Scholar]
- Donaldson, R.; Dyer, R.M.; Kraus, M.J. An objective evaluator of techniques for predicting severe weather events. In Proceedings of the Ninth Conference on Severe Local Storms, Norman, OK, USA, 21–23 October 1975. [Google Scholar]
- Fisher, A.; Rudin, C.; Dominici, F. All Models are Wrong, but Many are Useful: Learning a Variable’s Importance by Studying an Entire Class of Prediction Models Simultaneously. J. Mach. Learn. Res. 2019, 20, 1–81. [Google Scholar]
- Mitamura, M. Rainfall Characteristics of Severe Tropical Storm Talas and Topographical and Geological Features of the Kii Peninsula. In Intensified Sediment Disasters in Japan; CRC Press: Boca Raton, FL, USA, 2023; pp. 34–52. [Google Scholar]
- Shen, W.; Jin, Y.; Cong, P.; Li, G. Dynamic Coupling Model of Water Environment of Urban Water Network in Pearl River Delta Driven by Typhoon Rain Events. Water 2023, 15, 1084. [Google Scholar] [CrossRef]










| Intensity | Test Set | Training Set |
|---|---|---|
| TD | 73 | 651 |
| TS | 56 | 545 |
| STS | 31 | 232 |
| TY | 34 | 151 |
| SSTY | 46 | 265 |
| all | 240 | 1844 |
| Variable Name | Physical Meaning |
|---|---|
| gfs_precipitation | GFS cumulative precipitation prediction |
| Gust | Gust intensity |
| Sp | Sea pressure |
| Cape | Convective available potential energy |
| Cin | Convective inhibition |
| Pwat | Precipitable water |
| 500t | 500 hPa temperature |
| 700t | 700 hPa temperature |
| 850t | 850 hPa temperature |
| 500r | 500 hPa relative humidity |
| 700r | 700 hPa relative humidity |
| 850r | 850 hPa relative humidity |
| 500w | 500 hPa vertical velocity |
| 700w | 700 hPa vertical velocity |
| 850w | 850 hPa vertical velocity |
| 500u | 500 hPa zonal wind speed |
| 700u | 700 hPa zonal wind speed |
| 850u | 850 hPa zonal wind speed |
| 500v | 500 hPa meridional wind speed |
| 700v | 700 hPa meridional wind speed |
| 850v | 850 hPa meridional wind speed |
| 500absv | 500 hPa absolute vorticity |
| 700absv | 700 hPa absolute vorticity |
| 850absv | 850 hPa absolute vorticity |
| Lsm | Land and sea mask (1 means land, 0 means sea) |
Disclaimer/Publisher’s Note: The statements, opinions and data contained in all publications are solely those of the individual author(s) and contributor(s) and not of MDPI and/or the editor(s). MDPI and/or the editor(s) disclaim responsibility for any injury to people or property resulting from any ideas, methods, instructions or products referred to in the content. |
© 2024 by the authors. Licensee MDPI, Basel, Switzerland. This article is an open access article distributed under the terms and conditions of the Creative Commons Attribution (CC BY) license (https://creativecommons.org/licenses/by/4.0/).
Share and Cite
He, L.; Li, Q.; Zhang, J.; Deng, X.; Wu, Z.; Wang, Y.; Chan, P.-W.; Li, N. Enhanced Tropical Cyclone Precipitation Prediction in the Northwest Pacific Using Deep Learning Models and Ensemble Techniques. Water 2024, 16, 671. https://doi.org/10.3390/w16050671
He L, Li Q, Zhang J, Deng X, Wu Z, Wang Y, Chan P-W, Li N. Enhanced Tropical Cyclone Precipitation Prediction in the Northwest Pacific Using Deep Learning Models and Ensemble Techniques. Water. 2024; 16(5):671. https://doi.org/10.3390/w16050671
Chicago/Turabian StyleHe, Lunkai, Qinglan Li, Jiali Zhang, Xiaowei Deng, Zhijian Wu, Yaoming Wang, Pak-Wai Chan, and Na Li. 2024. "Enhanced Tropical Cyclone Precipitation Prediction in the Northwest Pacific Using Deep Learning Models and Ensemble Techniques" Water 16, no. 5: 671. https://doi.org/10.3390/w16050671
APA StyleHe, L., Li, Q., Zhang, J., Deng, X., Wu, Z., Wang, Y., Chan, P.-W., & Li, N. (2024). Enhanced Tropical Cyclone Precipitation Prediction in the Northwest Pacific Using Deep Learning Models and Ensemble Techniques. Water, 16(5), 671. https://doi.org/10.3390/w16050671

