The Effects of a Fishery Complementary Photovoltaic Power Plant on the Near-Surface Meteorology and Water Quality of Coastal Aquaculture Ponds
Abstract
1. Introduction
2. Materials and Methods
2.1. Study Area
2.2. Sampling and Analysis Methods
2.3. Statistical Analysis
3. Results
3.1. Near-Surface Meteorology
3.2. Water Quality
3.2.1. Water Temperature, DO, pH, Salinity, Turbidity, and Chl-α
3.2.2. Nutrients
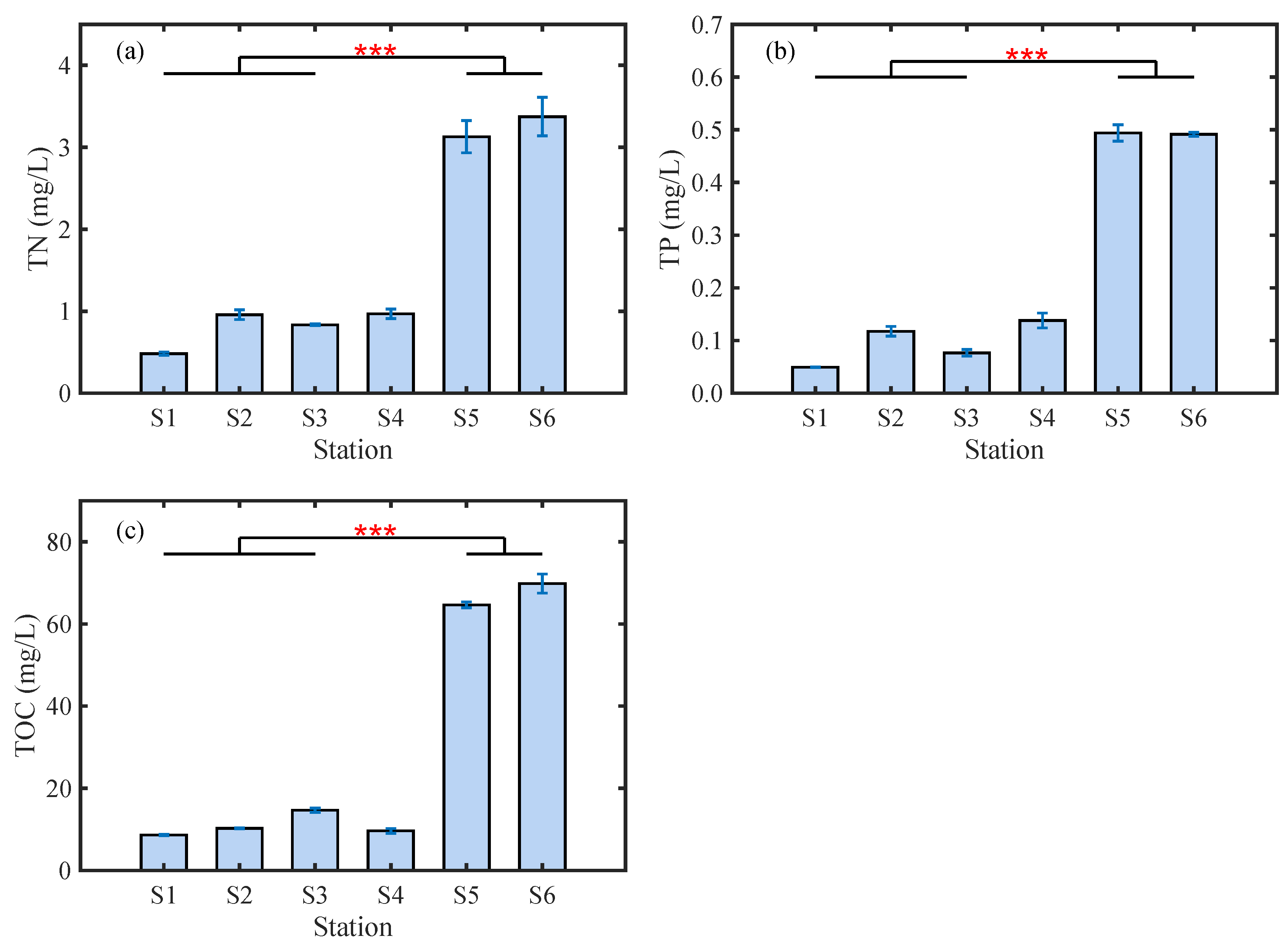
3.2.3. TN, TP, and TOC
3.3. Correlation between Water Temperature and Near-Surface Meteorological Parameters
3.4. Correlations between Water Temperature and Water Quality Parameters
4. Discussion
4.1. Effects of PV on Temperature
4.2. Effects of PV on Water Quality
5. Conclusions
Author Contributions
Funding
Data Availability Statement
Acknowledgments
Conflicts of Interest
References
- Gorjian, S.; Sharon, H.; Ebadi, H.; Kant, K.; Scavo, F.B.; Tina, G.M. Recent technical advancements, economics and environmental impacts of floating photovoltaic solar energy conversion systems. J. Clean. Prod. 2021, 278, 124285. [Google Scholar] [CrossRef]
- Ren21. Renewables 2023 Global Status Report. Available online: https://www.ren21.net/gsr-2023/ (accessed on 16 October 2023).
- Snapshot of Global PV Markets 2023. Available online: https://iea-pvps.org/wp-content/uploads/2023/04/IEA_PVPS_Snapshot_2023.pdf (accessed on 16 October 2023).
- National Development and Reform Commission. China’s 14th Five-Year Plan for Renewable Energy Development. Available online: https://www.ndrc.gov.cn/xwdt/tzgg/202206/P020220602315650388122.pdf (accessed on 16 October 2023).
- Geng, S.; Lin, L.; Zhang, L.; Liu, X.; Huang, Z. Site selection framework of fishing photovoltaic hybrid project under interval-valued intuitionistic fuzzy environment. J. Clean. Prod. 2020, 252, 119774. [Google Scholar] [CrossRef]
- Golroodbari, S.Z.; van Sark, W. Simulation of performance differences between offshore and land-based photovoltaic systems. Prog. Photovolt. 2020, 28, 873–886. [Google Scholar] [CrossRef]
- SERIS. Where Sun Meets Water: Floating Solar Market Report. Available online: https://openknowledge.worldbank.org/handle/10986/31880 (accessed on 16 October 2023).
- Ma, C.; Liu, Z. Water-surface photovoltaics: Performance, utilization, and interactions with water eco-environment. Renew. Sustain. Energy Rev. 2022, 167, 15. [Google Scholar] [CrossRef]
- Vo, T.T.E.; Ko, H.; Huh, J.H.; Park, N. Overview of Solar Energy for Aquaculture: The Potential and Future Trends. Energies 2021, 14, 20. [Google Scholar] [CrossRef]
- Bostock, J.; McAndrew, B.; Richards, R.; Jauncey, K.; Telfer, T.; Lorenzen, K.; Little, D.; Ross, L.; Handisyde, N.; Gatward, I.; et al. Aquaculture: Global status and trends. Philos. Trans. R. Soc. B-Biol. Sci. 2010, 365, 2897–2912. [Google Scholar] [CrossRef] [PubMed]
- Liu, D.; Li, C.B.; Sun, M.; Zeng, W. Assessment model of economic and environmental synergies for water surface photovoltaic projects based on spectral analysis. Renew. Energy 2020, 145, 937–950. [Google Scholar] [CrossRef]
- Pringle, A.M.; Handler, R.M.; Pearce, J.M. Aquavoltaics: Synergies for dual use of water area for solar photovoltaic electricity generation and aquaculture. Renew. Sustain. Energy Rev. 2017, 80, 572–584. [Google Scholar] [CrossRef]
- Chateau, P.A.; Wunderlich, R.F.; Wang, T.W.; Lai, H.T.; Chen, C.C.; Chang, F.J. Mathematical modeling suggests high potential for the deployment of floating photovoltaic on fish ponds. Sci. Total Environ. 2019, 687, 654–666. [Google Scholar] [CrossRef]
- Zhang, D.M.; Xiong, Q.; Csepdi, C. Designing Probing of Connection Type Between the Stand and Foundation in the Photovoltaic Power Station Constructed Above the Water. Appl. Energy Technol. 2017, 7, 12–14. [Google Scholar] [CrossRef]
- Xia, Z.L.; Li, Y.J.; Guo, X.N.; Chen, R.S. High-resolution mapping of water photovoltaic development in China through satellite imagery. Int. J. Appl. Earth Obs. Geoinf. 2022, 107, 11. [Google Scholar] [CrossRef]
- Wang, T.W. Effects of floating photovoltaic systems on water quality of aquaculture ponds. Aquac. Res. 2022, 53, 1304–1315. [Google Scholar] [CrossRef]
- GB/T 12763-2007; Specifications for Oceanographic Survey. Standards Press of China: Beijing, China, 2007.
- GB 17378.4-2007; The Specification for Marine Monitoring. Standards Press of China: Beijing, China, 2007.
- Li, P.D.; Gao, X.Q.; Li, Z.C.; Zhou, X.Y. Physical analysis of the environmental impacts of fishery complementary photovoltaic power plant. Environ. Sci. Pollut. Res. 2022, 29, 46108–46117. [Google Scholar] [CrossRef] [PubMed]
- Armstrong, A.; Page, T.; Thackeray, S.J.; Hernandez, R.R.; Jones, I.D. Integrating environmental understanding into freshwater floatovoltaic deployment using an effects hierarchy and decision trees. Environ. Res. Lett. 2020, 15, 114055. [Google Scholar] [CrossRef]
- Yang, P.; Chua, L.H.C.; Irvine, K.N.; Imberger, J. Radiation and energy budget dynamics associated with a floating photovoltaic system. Water Res. 2021, 206, 117745. [Google Scholar] [CrossRef] [PubMed]
- Ji, Q.; Li, K.; Wang, Y.; Feng, J.; Li, R.; Liang, R. Effect of floating photovoltaic system on water temperature of deep reservoir and assessment of its potential benefits, a case on Xiangjiaba Reservoir with hydropower station. Renew. Energy 2022, 195, 946–956. [Google Scholar] [CrossRef]
- Exley, G.; Armstrong, A.; Page, T.; Jones, I.D. Floating photovoltaics could mitigate climate change impacts on water body temperature and stratification. Sol. Energy 2021, 219, 24–33. [Google Scholar] [CrossRef]
- Ahmed, N.; Thompson, S.; Glaser, M. Global Aquaculture Productivity, Environmental Sustainability, and Climate Change Adaptability. Environ. Manag. 2019, 63, 159–172. [Google Scholar] [CrossRef]
- Li, P.; Gao, X.; Jiang, J.; Yang, L.; Li, Y. Characteristic Analysis of Water Quality Variation and Fish Impact Study of Fish-Lighting Complementary Photovoltaic Power Station. Energies 2020, 13, 4822. [Google Scholar] [CrossRef]
- Mei, X.; Gao, S.; Liu, Y.; Hu, J.; Razlustkij, V.; Rudstam, L.G.; Jeppesen, E.; Liu, Z.; Zhang, X. Effects of Elevated Temperature on Resources Competition of Nutrient and Light Between Benthic and Planktonic Algae. Front. Environ. Sci. 2022, 10, 908088. [Google Scholar] [CrossRef]
- Karpouzoglou, T.; Vlaswinkel, B.; van der Molen, J. Effects of large-scale floating (solar photovoltaic) platforms on hydrodynamics and primary production in a coastal sea from a water column model. Ocean Sci. 2020, 16, 195–208. [Google Scholar] [CrossRef]
- Yang, P.; Chua, L.H.C.; Irvine, K.N.; Nguyen, M.T.; Low, E.W. Impacts of a floating photovoltaic system on temperature and water quality in a shallow tropical reservoir. Limnology 2022, 23, 441–454. [Google Scholar] [CrossRef]
- Haas, J.; Khalighi, J.; de la Fuente, A.; Gerbersdorf, S.U.; Nowak, W.; Chen, P.J. Floating photovoltaic plants: Ecological impacts versus hydropower operation flexibility. Energy Convers. Manag. 2020, 206, 112414. [Google Scholar] [CrossRef]
- Exley, G.; Page, T.; Thackeray, S.J.; Folkard, A.M.; Couture, R.M.; Hernandez, R.R.; Cagle, A.E.; Salk, K.R.; Clous, L.; Whittaker, P.; et al. Floating solar panels on reservoirs impact phytoplankton populations: A modelling experiment. J. Environ. Manag. 2022, 324, 116410. [Google Scholar] [CrossRef]
- Taboada, M.E.; Cáceres, L.; Graber, T.A.; Galleguillos, H.R.; Cabeza, L.F.; Rojas, R. Solar water heating system and photovoltaic floating cover to reduce evaporation: Experimental results and modeling. Renew. Energy 2017, 105, 601–615. [Google Scholar] [CrossRef]
- Bontempo Scavo, F.; Tina, G.M.; Gagliano, A.; Nižetić, S. An assessment study of evaporation rate models on a water basin with floating photovoltaic plants. Int. J. Energy Res. 2020, 45, 167–188. [Google Scholar] [CrossRef]
- Abd-Elhamid, H.F.; Ahmed, A.; Zeleňáková, M.; Vranayová, Z.; Fathy, I. Reservoir Management by Reducing Evaporation Using Floating Photovoltaic System: A Case Study of Lake Nasser, Egypt. Water 2021, 13, 769. [Google Scholar] [CrossRef]
- Baradei, S.E.; Sadeq, M.A. Effect of Solar Canals on Evaporation, Water Quality, and Power Production: An Optimization Study. Water 2020, 12, 2103. [Google Scholar] [CrossRef]
- Liikanen, A.; Murtoniemi, T.; Tanskanen, H.; Vaisanen, T.; Martikainen, P.J. Effects of temperature and oxygen availability on greenhouse gas and nutrient dynamics in sediment of a eutrophic mid-boreal lake. Biogeochemistry 2002, 59, 269–286. [Google Scholar] [CrossRef]
- Li, H.Y.; Xu, J.; Xu, R.Q. The Effect of Temperature on the Water Quality of Lake. Adv. Mater. Res. 2013, 821–822, 1001–1004. [Google Scholar] [CrossRef]
- Spears, B.M.; Carvalho, L.; Paterson, D.M. Phosphorus partitioning in a shallow lake: Implications for water quality management. Water Environ. J. 2007, 21, 47–53. [Google Scholar] [CrossRef]
- Wu, L.F.; Niu, C.; Zhang, H.; Wu, Z.W.; Cheng, Y.X.; Li, N.F.; Cheng, Y.H.; Chen, X.Y.; Zhang, F.; Ou, J.H.; et al. Comparison study of the growth of Eriocheir sinensis in the photovoltaic and non-photovoltaic area in the Yuguangyiti ponds. Freshw. Fish. 2021, 51, 108–112. [Google Scholar] [CrossRef]







Disclaimer/Publisher’s Note: The statements, opinions and data contained in all publications are solely those of the individual author(s) and contributor(s) and not of MDPI and/or the editor(s). MDPI and/or the editor(s) disclaim responsibility for any injury to people or property resulting from any ideas, methods, instructions or products referred to in the content. |
© 2024 by the authors. Licensee MDPI, Basel, Switzerland. This article is an open access article distributed under the terms and conditions of the Creative Commons Attribution (CC BY) license (https://creativecommons.org/licenses/by/4.0/).
Share and Cite
Song, F.; Lu, Z.; Guo, Z.; Wang, Y.; Ma, L. The Effects of a Fishery Complementary Photovoltaic Power Plant on the Near-Surface Meteorology and Water Quality of Coastal Aquaculture Ponds. Water 2024, 16, 526. https://doi.org/10.3390/w16040526
Song F, Lu Z, Guo Z, Wang Y, Ma L. The Effects of a Fishery Complementary Photovoltaic Power Plant on the Near-Surface Meteorology and Water Quality of Coastal Aquaculture Ponds. Water. 2024; 16(4):526. https://doi.org/10.3390/w16040526
Chicago/Turabian StyleSong, Fawen, Zhiqiang Lu, Zhouhua Guo, Yi Wang, and Li Ma. 2024. "The Effects of a Fishery Complementary Photovoltaic Power Plant on the Near-Surface Meteorology and Water Quality of Coastal Aquaculture Ponds" Water 16, no. 4: 526. https://doi.org/10.3390/w16040526
APA StyleSong, F., Lu, Z., Guo, Z., Wang, Y., & Ma, L. (2024). The Effects of a Fishery Complementary Photovoltaic Power Plant on the Near-Surface Meteorology and Water Quality of Coastal Aquaculture Ponds. Water, 16(4), 526. https://doi.org/10.3390/w16040526
