Investigating Temporal and Spatial Variations of Nutrient and Trace Metal Loading in Utah Lake (Utah, USA)
Abstract
1. Introduction
2. Materials and Methods
2.1. Field Sampling
2.2. Laboratory Analysis
2.3. GIS Spatial Analysis
3. Results
3.1. Trace Metal Concentrations in Water Samples
3.2. Variations of As and Pb Concentrations in Utah Lake
3.3. Trace Metal in Sediment Samples
3.4. Trace Metal As and Pb Concentration Depth Profiles
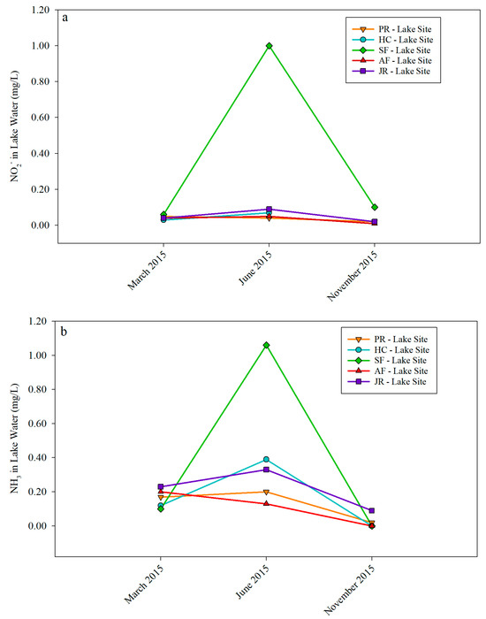
3.5. NH3 and NO2− Concentrations in River and Lake Water Samples
3.6. NH3 and NO2− Concentration Variations in Utah Lake
3.7. NH3 and NO2− Concentration Interpolation in Utah Lake
4. Discussion
4.1. Trace Metals in Water and Sediment Samples
4.2. Nutrients in Water Samples
5. Conclusions
- Utah Lake is not horizontally well mixed but is vertically well mixed;
- Lake sediments absorb trace metals and serve as a sink for As and Pb;
- Mining drainage is likely the major Pb input to the lake;
- Agricultural practices and animal farming may have led to the excessive nutrient and As levels in Utah Lake.
Author Contributions
Funding
Data Availability Statement
Acknowledgments
Conflicts of Interest
References
- Horns, D. (Ed.) Utah Lake Comprehensive Management Plan, Resource Document: Written for the Utah Division of Fire, Forestry, and Public Lands. 2005; p. 109. Available online: https://geodata.geology.utah.gov/pages/download.php?direct=1&noattach=true&ref=4690&ext=pdf&k= (accessed on 10 October 2019).
- Utah Lake TMDL: Pollutant Loading Assessment and Designated Beneficial Use Impairment Assessment (Final Draft). Available online: https://documents.deq.utah.gov/legacy/programs/water-quality/watersheds/docs/2009/02Feb/Final_Draft_Task2_Task3_Memo%20_08-01-07.pdf (accessed on 12 December 2019).
- Utah Lake Master Plan. Available online: https://ffsl.utah.gov/wp-content/uploads/UtahLakeMasterPlan6-26-09.pdf (accessed on 12 December 2019).
- Toole, T.W. Utah Lake-Jordan River Watershed Management Unit Stream Assessment; Division of Water Quality, Utah Department of Environmental Quality: Salt Lake City, UT, USA, 2002.
- Wingert, S. Final Report: PCBs in Utah Lake Sediment Study; Department of Water Quality: Salt Lake City, UT, USA, 2008.
- Liang, J.; Ding, J.; Zhu, Z.; Gao, X.; Li, S.; Li, X.; Yan, M.; Zhou, Q.; Tang, N.; Lu, L.; et al. Decoupling the heterogeneity of sediment microbial communities along the urbanization gradients: A Bayesian-based approach. Environ. Res. 2023, 238, 117255. [Google Scholar] [CrossRef]
- Liang, J.; Tang, W.; Zhu, J.; Li, S.; Wang, K.; Gao, X.; Li, X.; Tang, N.; Lu, N.; Li, X. Spatiotemporal variability and controlling factors of indirect N2O emission in a typical complex watershed. Water Res. 2023, 229, 119515. [Google Scholar] [CrossRef]
- Zhu, Z.; Li, X.; Bu, Q.; Yan, Q.; Wen, L.; Chen, X.; Li, X.; Yan, M.; Jiang, L.; Chen, G.; et al. Land–Water Transport and Sources of Nitrogen Pollution Affecting the Structure and Function of Riverine Microbial Communities. Environ. Sci. Technol. 2023, 57, 2726–2738. [Google Scholar] [CrossRef]
- Brenner, M.; Whitmore, T.J.; Lasi, M.A.; Cable, J.E.; Cable, P.H. A multi-proxy trophic state reconstruction for shallow Orange Lake, Florida, USA: Possible influence of macrophytes on limnetic nutrient concentrations. J. Paleolimnol. 1999, 21, 215–233. [Google Scholar] [CrossRef]
- Burkett, V.R.; Wilcox, D.A.; Stottlemyer, R.; Barrow, W.; Fagre, D.; Baron, J. Nonlinear dynamics in ecosystem response to climatic change: Case studies and policy implications. Ecol. Complex. 2005, 2, 357–394. [Google Scholar] [CrossRef]
- Jorgensen, S.E.; Vollenweider, R.A. (Eds.) Problems of lakes and reservoirs. In Guidelines of Lake Management; 1988; Volume 1, pp. 37–42. Available online: https://www.ilec.or.jp/en/guideline/ (accessed on 15 November 2020).
- Qin, B.Q.; Yang, L.Y.; Chen, F.Z.; Zhu, G.W.; Zhang, L.; Chen, Y.Y. Mechanism and control of lake eutrophication. Chin. Sci. Bull. 2006, 51, 2401–2412. [Google Scholar] [CrossRef]
- Kagalou, I.; Papastergiadou, E.; Leonardos, I. Long term changes in the eutrophication process in a shallow Mediterranean lake ecosystem of W. Greece: Response after the reduction of external load. J. Environ. Manag. 2008, 87, 497–506. [Google Scholar] [CrossRef]
- Utah Department of Environmental Quality. Available online: https://deq.utah.gov/water-quality/harmful-algal-blooms-home (accessed on 15 December 2019).
- Thevenon, F.; Graham, N.D.; Chiaradia, M.; Arpagaus, P.; Wildi, W.; Pote, J. Local to regional scale industrial heavy metal pollution recorded in sediments of large freshwater lakes in central Europe (lakes Geneva and Lucerne) over the last centuries. Sci. Tot. Environ. 2011, 412, 239–247. [Google Scholar] [CrossRef] [PubMed]
- Aradpour, S.; Noori, R.; Naseh, M.R.V.; Hosseinzadeh, M.; Safavi, S.; Ghahraman-Rozegar, F.; Maghrebi, M. Alarming carcinogenic and non-carcinogenic risk of heavy metals in Sabalan dam reservoir, Northwest of Iran. Environ. Pollut. Bioavailab. 2021, 33, 278–291. [Google Scholar] [CrossRef]
- Lau, D.C.W.; Wu, M.W. Manure composting as an option for utilization and management of animal waste. Resour. Conversat. 1987, 13, 145–156. [Google Scholar] [CrossRef]
- Hubeny, J.B.; King, J.W.; Cantwell, M. Anthropogenic influences on estuarine sedimentation and ecology: Examples from the varved sediments of the Pettaquamscutt River Estuary, Rhode Island. J. Paleolimnol. 2009, 41, 297–314. [Google Scholar] [CrossRef]
- Thevenon, F.; Graham, N.D.; Herbez, A.; Wildi, W.; Pote, J. Spatio-temporal distribution of organic and inorganic pollutants from Lake Geneva (Switzerland) reveals strong interacting effects of sewage treatment plant and eutrophication on microbial abundance. Chemosphere 2011, 84, 609–617. [Google Scholar] [CrossRef]
- Wang, W.; Walther, S.; Cadet, E.; Carling, G.; Rey, K.; Nelson, S.; Tingey, D.; Robertson, P.; Kerswell, B. The Historical Records of Stable Isotopes (δ13C and δ15N) and Trace Metals along Utah Lake–Jordan River Transition Zone, UTAH (USA). In UGA Guidebook: Geology and Resources-From Back to Front; Lund, W.R., Emerman, S.H., Wang, W., Zanazzi, A., Eds.; 2017; Volume 46, pp. 171–185. Available online: https://utahgeology.org/publications/guidebooks/2017-uga-46-geology-and-resources-of-the-wasatch-back-to-front (accessed on 15 November 2020).
- Zanazzi, A.; Wang, W.; Peterson, H. Stable Isotope Hydrology of Utah Lake (Utah, USA). Hydrology 2020, 7, 88–113. [Google Scholar] [CrossRef]
- Jin, L.; Heap, A.D. Spatial interpolation methods applied in the environmental sciences: A review. Environ. Model. Softw. 2013, 53, 173–189. [Google Scholar]
- Chen, F.; Liu, C. Estimation of the spatial rainfall distribution using inverse distance weighting (IDW) in the middle of Taiwan. Paddy Water Environ. 2012, 10, 209–222. [Google Scholar] [CrossRef]
- U.S. Environmental Protection Agency. Soil Screening Guidance: Technical Background Document; USEPA Report 540/R-95/128, U.S. Government Print Office: Washington, DC, USA, 1996. Available online: https://archive.epa.gov/region9/superfund/web/pdf/ssg_nonrad_technical-2.pdf (accessed on 5 May 2019).
- EPA Chemical Contaminant Rules. Available online: https://www.epa.gov/dwreginfo/chemical-contaminant-rules (accessed on 9 May 2023).
- EPA Drinking Water Regulations. Available online: https://www.epa.gov/dwreginfo/drinking-water-regulations (accessed on 9 May 2023).
- EPA Aquatic Life Criteria–Ammonia. Available online: https://www.epa.gov/wqc/aquatic-life-criteria-ammonia (accessed on 9 May 2023).
- EPA Water Quality Criteria. Available online: https://www.epa.gov/wqc/national-recommended-water-quality-criteria-aquatic-life-criteria-table (accessed on 10 May 2023).
- Camargo, J.A.; Alonso, A.; Salamanca, A. Nitrate toxicity to aquatic animals: A review with new data for freshwater invertebrates. Chemosphere 2005, 58, 1255–1267. [Google Scholar] [CrossRef]
- Alloway, B.J.; Ayres, D.C. Chemical Principles of Environmental Pollution, 2nd ed.; Blackie Academic and Professional, Chapman and Hall: London, UK, 1997; pp. 208–211. [Google Scholar]
- Yang, H.; Rose, N.L.; Battarbee, R.W. Distribution of some trace metals in Lochnagar, acottish mountain lake ecosystem and its catchment. Sci. Total Environ. 2002, 285, 197–208. [Google Scholar] [CrossRef]
- Bibi, H.; Ahmed, F.; Ishiga, H. Assessment of metal concentrations in lake sediments of southwest Japan based on sediment quality guidelines. Environ. Geol. 2007, 52, 625–639. [Google Scholar] [CrossRef]
- Machender, G.; Dhakate, R.; Prasanna, L.; Govil, P.K. Assessment of heavy metal contamination in soils around Balanagar industrial area, Hyderabad, India. Environ. Earth Sci. 1984, 63, 945–953. [Google Scholar] [CrossRef]
- Kamala-Kannan, S.; Batvari, B.P.D.; Lee, K.J.; Kannan, N.; Krishnamoorthy, R.; Shanthi, K.; Jayaprakash, M. Assessment of heavy metals (Cd, Cr and Pb) in water, sediment and seaweed (Ulva lactuca) in the Pulicat Lake, South East India. Chemosphere 2008, 71, 1233–1240. [Google Scholar] [CrossRef]
- Vandecasteel, B.; Quataert, P.; De Vos, B.; Tack, F.M.G. Assessment of the pollution status of alluvial plains: A case study for the dredged sediment derived soils along the Leie River. Arch. Environ. Contam. Toxicol. 2004, 47, 14–22. [Google Scholar] [CrossRef][Green Version]
- Pekey, H. The distribution and sources of heavy metals in Izmit Bay surface sediments affected by a polluted stream. Mar. Pollut. Bull. 2006, 52, 1197–1208. [Google Scholar] [CrossRef]
- Baia, J.; Cuia, B.; Chena, B.; Zhangb, K.; Dengc, W.; Gaoa, H.; Xiao, R. Spatial distribution and ecological risk assessment of trace metals in surface sediments from a typical plateau lake wetland, China. Ecol. Model. 2011, 222, 301–306. [Google Scholar] [CrossRef]
- Nachman, K.E.; Baron, P.A.; Raber, G.; Francesconi, K.A.; Navas-Acien, A.; Love, D.C. Roxarsone, Inorganic Arsenic, and Other Arsenic Species in Chicken: A U.S.-Based Market Basket Sample. Environ. Health Perspect. 2013, 121, 818–824. [Google Scholar] [CrossRef]
- Abarikwu, S.O. Lead, Arsenic, Cadmium, Mercury: Occurrence, Toxicity and Diseases. In Pollutant Diseases, Remediation and Recycling; Lichtfouse, E., Schwarzbauer, J., Robert, D., Eds.; Springer: Cham, Switzerland, 2013; Volume 4, pp. 351–386. [Google Scholar]
- Tchounwou, P.B.; Patlolla, A.K.; Centeno, J.A. Carcinogenic and systemic health effects associated with arsenic exposure—A critical review. Toxicol. Pathol. 2003, 31, 575–588. [Google Scholar] [CrossRef]
- Agency for Toxic Substances and Disease Registry (ATSDR). Toxicological Profile for Lead; Public Health Service; U.S. Department of Health and Human Services: Atlanta, GA, USA, 1999.
- Sakamoto, M. Primary production by the phytoplankton community in some Japanese lakes and its dependence on lake depth. Arch. Hydrobiol. 1966, 62, 1–28. [Google Scholar]
- Dillon, P.J.; Rigler, F.H. The phosphorus-chlorophyll relationship in lakes. Limnol. Oceanogr. 1974, 19, 767–773. [Google Scholar] [CrossRef]
- Schindler, D.W.; Fee, E.J.; Ruszczynski, T. Phosphorus input and its consequences for phytoplankton standing crop and production in the Experimental Lakes Area and in similar lakes. J. Fish. Res. Board. Can. 1978, 35, 190–196. [Google Scholar] [CrossRef]
- Hanson, J.M.; Leggett, W.C. Empirical prediction of fish biomass and yield. Can. J. Fish. Aquat. Sci. 1982, 39, 257–263. [Google Scholar] [CrossRef]
- Hanson, J.M.; Peters, R.H. Empirical prediction of crustacean zooplankton biomass and profundal macrobenthos biomass in lakes. Can. J. Fish. Aquat. Sci. 1984, 41, 439–445. [Google Scholar] [CrossRef]
- Bird, D.F.; Kalff, J. Empirical relationships between bacterial abundance and chlorophyll concentration in fresh and marine waters. Can. J. Fish. Aquat. Sci. 1984, 41, 1015–1023. [Google Scholar] [CrossRef]
- Yan, N.D. Empirical prediction of crustacean zooplankton biomass in nutrient-poor Canadian Shield lakes. Can. J. Fish. Aquat. Sci. 1986, 43, 788–796. [Google Scholar] [CrossRef]
- Brown, C.D.; Hoyer, M.V.; Bachmann, R.W.; Canfield, D.E. Nutrient-chlorophyll relationships: An evaluation of empirical nutrient-chlorophyll models using Florida and north-temperate lake data. Can. J. Fish. Aquat. Sci. 2000, 57, 1574–1583. [Google Scholar] [CrossRef]
- Quirós, R. The relationship between nitrate and ammonia concentrations in the pelagic zone of lakes. Limnetica 2003, 22, 37–50. [Google Scholar] [CrossRef]
- Stumm, W.; Morgan, J.J. Aquatic Chemistry: Chemical Equilibria and Rates in Natural Waters, 3rd ed.; John Wiley & Sons, Inc.: New York, NY, USA, 1996. [Google Scholar]














Disclaimer/Publisher’s Note: The statements, opinions and data contained in all publications are solely those of the individual author(s) and contributor(s) and not of MDPI and/or the editor(s). MDPI and/or the editor(s) disclaim responsibility for any injury to people or property resulting from any ideas, methods, instructions or products referred to in the content. |
© 2024 by the authors. Licensee MDPI, Basel, Switzerland. This article is an open access article distributed under the terms and conditions of the Creative Commons Attribution (CC BY) license (https://creativecommons.org/licenses/by/4.0/).
Share and Cite
Wang, W.; Zanazzi, A.; Cadet, E.; Rakotoarisaona, H.; Peterson, H. Investigating Temporal and Spatial Variations of Nutrient and Trace Metal Loading in Utah Lake (Utah, USA). Water 2024, 16, 502. https://doi.org/10.3390/w16030502
Wang W, Zanazzi A, Cadet E, Rakotoarisaona H, Peterson H. Investigating Temporal and Spatial Variations of Nutrient and Trace Metal Loading in Utah Lake (Utah, USA). Water. 2024; 16(3):502. https://doi.org/10.3390/w16030502
Chicago/Turabian StyleWang, Weihong, Alessandro Zanazzi, Eddy Cadet, Henintsoa Rakotoarisaona, and Hannah Peterson. 2024. "Investigating Temporal and Spatial Variations of Nutrient and Trace Metal Loading in Utah Lake (Utah, USA)" Water 16, no. 3: 502. https://doi.org/10.3390/w16030502
APA StyleWang, W., Zanazzi, A., Cadet, E., Rakotoarisaona, H., & Peterson, H. (2024). Investigating Temporal and Spatial Variations of Nutrient and Trace Metal Loading in Utah Lake (Utah, USA). Water, 16(3), 502. https://doi.org/10.3390/w16030502

