Study of Enrichment and Conversion Mechanisms of Heavy Metal Elements in Mines in Cold Regions Under Freezing and Thawing
Abstract
1. Introduction
2. Research Area and Methods
2.1. Research Area
2.2. Materials and Methods
2.2.1. Heavy Metal Dust Sample
2.2.2. Laboratory Freeze–Thaw Cycle Physical Simulation Experiments
3. Results
3.1. Scanning Electron Microscope Detection Results
3.2. Initial Test Samples for Detection and Analysis
3.3. Freezing Stage Test and Analysis of Experimental Results
3.4. Thawing Stage Tests and Analysis of Experimental Results
4. Discussion
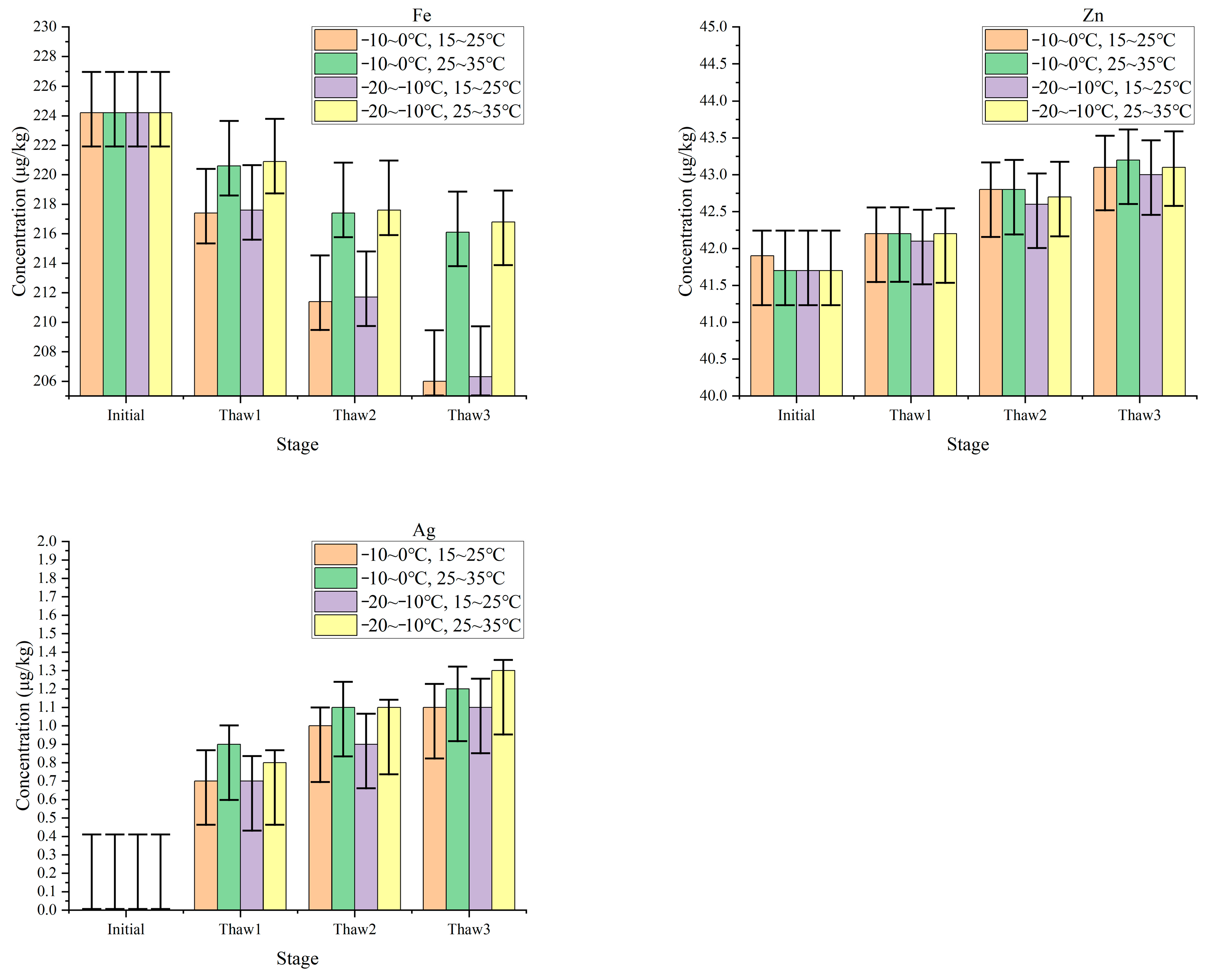
4.1. Iron
4.2. Zinc
4.3. Cobalt
4.4. Copper
4.5. Silver
4.6. Nickel
4.7. Lead
5. Conclusions
- (1)
- The initial concentrations of heavy metal elements in both dust and water samples were nearly identical, with negligible inter-group variation. During the freezing phase, the concentrations of Fe, Zn, Cu, and Pb gradually decreased, while those of Co, Ag, and Ni remained relatively stable. Freezing temperature had minimal impact on the concentrations of Fe, Zn, Co, Ag, and Ni, but significantly affected the concentrations of Cu and Pb. During the thawing phase, the Fe concentration continued to decrease, Zn and Ag concentrations progressively increased, and the concentrations of Co, Cu, Ni, and Pb remained close to zero. Furthermore, the influence of different freeze–thaw cycle temperatures on heavy metal concentrations varied between elements. Higher thawing temperatures resulted in increased concentrations of Fe and Ag. In contrast, thawing temperature had little effect on Co, Cu, Ni, and Pb concentrations, as these elements remained near zero during the thawing phase. The concentration of Zn showed minimal sensitivity to temperature changes during the thawing stage.
- (2)
- During freezing, Fe showed low activity; its concentration remained stable across temperatures but decreased with more freezing cycles, possibly because of surface reactions or particle detachment. During thawing, Fe became nearly insoluble, with the concentration decreasing as the number of cycles increased, likely because of oxidation and precipitation of Fe2+. Zn behaved similarly, with stable concentrations in meltwater during freezing and increasing concentrations during thawing, indicating that reactions are occurring within the mineral dust. The concentration of Co was stable during freezing and nearly zero during thawing, reflecting low solubility. The concentration of Cu was temperature-dependent during freezing (higher at lower temperatures) but nearly insoluble during thawing. Ag remained constant during freezing but increased with rising temperatures during thawing. Ni showed no significant changes during freezing and was nearly insoluble during thawing because of the alkaline conditions. The concentration of Pb increased at lower freezing temperatures and decreased with more cycles, becoming almost insoluble during thawing.
- (3)
- In this study, the environmental behavior of heavy metal elements was influenced not only by the freeze–thaw cycles of ice but also by factors such as temperature, pH, and redox conditions. Zn and Ag were identified as potential threats for penetrating into glacial waters. This is attributed to their concentrations in meltwater progressively accumulating and increasing with successive freeze–thaw cycles. During the ice-melting process, these elements may enter water bodies, posing potential risks to downstream ecosystems and human health.
Supplementary Materials
Author Contributions
Funding
Data Availability Statement
Acknowledgments
Conflicts of Interest
References
- Wiersma, P.; Aerts, J.; Zekollari, H.; Hrachowitz, M.; Drost, N.; Huss, M.; Sutanudjaja, E.H.; Hut, R. Coupling a global glacier model to a global hydrological model prevents underestimation of glacier runoff. Hydrol. Earth Syst. Sci. 2022, 26, 5971–5986. [Google Scholar] [CrossRef]
- Foss, Ø.; Maton, J.; Moholdt, G.; Schimidt, L.; Sutherland, D.; Fer, I.; Nilsen, F.; Kohler, J.; Sundfjord, A. Ocean warming drives immediate mass loss from calving glaciers in the high Arctic. Nat. Commun. 2024, 15, 10460. [Google Scholar] [CrossRef] [PubMed]
- Rounce, D.R.; Hock, R.; Maussion, F.; Hugonnet, R.; Kochtitzky, W.; Huss, M.; Berthier, E.; Brinkerhoff, D.; Compagno, L.; Copland, L.; et al. Global glacier change in the 21st century: Every increase in temperature matters. Science 2023, 379, 78–83. [Google Scholar] [CrossRef]
- Kochtitzky, W.; Copland, L.; King, M.; Hugonner, R.; Jiskoot, H.; Morlighem, M.; Millan, R.; Khan, S.; Noël, B. Closing Greenland’s Mass Balance: Frontal Ablation of Every Greenlandic Glacier from 2000 to 2020. Geophys. Res. Lett. 2023, 50, e2023GL104095. [Google Scholar] [CrossRef]
- Zhang, Z.; Xu, X.; Song, Y.; Zeng, Q. Study on the Ablation of the Glacier Covered by Mineral Dust in Alpine Regions. Water 2022, 14, 1982. [Google Scholar] [CrossRef]
- Hou, D.; Zhang, Z.; Song, Y.; Su, H. Research progress on the mechanism of enrichment and conversion of heavy metal elements in mines in cold regions of Xinjiang under the action of freezing and thawing action of snow and ice. Environ. Chem. 2024. (In Chinese) [Google Scholar] [CrossRef]
- Li, C.; Wang, M.; Sun, Z.; Cao, M.; Hou, J. Relationship between Holocene lake water temperature and glacier meltwater on the northwestern Tibetan Plateau. Palaeogeogr. Palaeoclimatol. Palaeoecol. 2023, 619, 111560. [Google Scholar] [CrossRef]
- Yao, R.; Li, S.; Chen, D. Runoff Response to Climate in Two River Basins Supplied by Small Glacier Meltwater in Southern and Northern Tibetan Plateau. Atmosphere 2023, 14, 711. [Google Scholar] [CrossRef]
- Bogush, A.; Lazareva, V. Behavior of heavy metals in sulfide mine tailings and bottom sediment (Salair, Kemerovo region, Russia). Environ. Earth Sci. 2011, 64, 1293–1302. [Google Scholar] [CrossRef]
- Su, W.; Fu, S. The Soil Heavy Metals Element Release and Migration Characteristics of Hengshihe River Both Sides for Guangdong Dabaoshan. Int. J. Environ. Prot. Policy 2016, 4, 49–57. [Google Scholar] [CrossRef][Green Version]
- Coufalík, P.; Vašinka, M.; Krmíček, L.; Ševčík, R.; Zvěřina, O.; Brůhová, L.; Komárek, J. Toxic metals in cyanobacterial mat of Big Lachman Lake, James Ross Island, Antarctica. Environ. Monit. Assess. 2023, 196, 43. [Google Scholar] [CrossRef]
- Guo, S.; Chen, X.; Wei, W.; Li, T.; Yin, F.; Xu, L. Risk assessment and source analysis of heavy metal contamination in the soil of the Juanshui River Mouth. Environ. Pollut. Bioavailab. 2023, 35, 2212127. [Google Scholar] [CrossRef]
- Cowie, L.L.; Songaila, A. Heavy-element enrichment in low-density regions of the intergalactic medium. Nature 1998, 394, 44–46. [Google Scholar] [CrossRef]
- Ammar, A.; Syafei, A.; Santoso, M.; Tangahu, B.; Assomadi, A.; Hermana, J. Analysis of the characteristics of heavy metal elements in soil around the smelting area of Pasuruan Industrial Estate, Indonesia. IOP Conf. Ser. Earth Environ. Sci. 2022, 1013, 012013. [Google Scholar] [CrossRef]
- Hussain, M.; Jamir, L.; Singh, M. Assessment of physico-chemical parameters and trace heavy metal elements from different sources of water in and around institutional campus of Lumami, Nagaland University, India. Appl. Water Sci. 2021, 11, 76. [Google Scholar] [CrossRef]
- Gök, G.; Tulun, Ş.; Çelebi, H. Mapping of heavy metal pollution density and source distribution of campus soil using geographical information system. Sci. Rep. 2024, 14, 29918. [Google Scholar] [CrossRef] [PubMed]
- Serafimova, E. Ecological Risk Assessment of Heavy Metals in the Soil at reclaimed solid waste landfill. IOP Conf. Ser. Earth Environ. Sci. 2024, 1427, 012005. [Google Scholar] [CrossRef]
- Haribabu, T.; Latha, S.; Lavanya, G.; Rekha, A.; Sudhakar, K.; Suresh, R.; Ansar, Z.; Sudha, P. Phytoextraction of Heavy Metals: Assessing the Potential of Brassica juncea in Heavy Metals (Copper and Cadmium) from Contaminated Soils. Asian J. Chem. 2024, 36, 2961–2966. [Google Scholar] [CrossRef]
- Vasudhevan, P.; Pu, S.; Ayyamperumal, R.; Manikandan, E.; Sujitha, S.; Singh, S.; Ponniah, J.; Dixit, S.; Thangavel, P. Pollution assessment, ecological risk and source identification of heavy metals in paddy soils and rice grains from Salem, South India. J. Hazard. Mater. Adv. 2025, 17, 100526. [Google Scholar] [CrossRef]
- Neculita, M.; Yim, G.; Lee, G.; Ji, S.; Jung, J.; Park, H.; Song, H. Comparative effectiveness of mixed organic substrates to mushroom compost for treatment of mine drainage in passive bioreactors. Chemosphere 2010, 83, 76–82. [Google Scholar] [CrossRef]
- Yun, H.; Ciais, P.; Zhu, Q.; Chen, D.; Zohner, C.; Tang, J.; Qu, Y.; Zhou, H.; Schimel, J.; Zhu, P.; et al. Changes in above- versus belowground biomass distribution in permafrost regions in response to climate warming. Proc. Natl. Acad. Sci. USA 2024, 121, e2314036121. [Google Scholar] [CrossRef]
- Yun, H.; Zhu, Q.; Tang, J.; Zhang, W.; Chen, D.; Ciais, P.; Ciais, P.; Wu, Q.; Elberling, B. Warming, permafrost thaw and increased nitrogen availability as drivers for plant composition and growth across the Tibetan Plateau. Soil Biol. Biochem. 2023, 182, 109041. [Google Scholar] [CrossRef]
- Wang, B.; Chen, B.; Liu, F.; Su, W.; Ke, L.; Huang, X. Potential risk assessment and enrichment characteristics of heavy metals in soil fruit crop system of Leizhou peninsula. Ecol. Environ. Sci. 2021, 30, 1076–1083. (In Chinese) [Google Scholar]
- Zastruzny, S.; Ingeman, T.; Zhang, W.; Elberling, B. Accelerated permafrost thaw and increased drainage in the active layer: Responses from experimental surface alteration. Cold Reg. Sci. Technol. 2023, 212, 103899. [Google Scholar] [CrossRef]
- Zhang, Z.; Liu, S. Area changes and mass balance of glaciers in KangzhagRi of the Tibetan Plateau from 1970 to 2016 derived from remote sensing data. J. Geo-Inf. Sci. 2018, 20, 1338–1349. (In Chinese) [Google Scholar]
- Zhang, Z.; Song, Y.; Xu, X.; Hou, D. Enhanced Effect of Mining Dust Diffusion on Melting of the Adjacent Glacier: A Case Study in Xinjiang, China. Water 2023, 15, 224. [Google Scholar] [CrossRef]
- Tian, Y.; Zhang, P.; Yuan, S. Mechanistic insight into the electron transfer from Fe(II) minerals to quinones. Chem. Geol. 2024, 649, 121981. [Google Scholar] [CrossRef]
- Gahtori, P.; Gunwant, V.; Pandey, R. How Does pH Affect the Adsorption of Human Serum Protein in the Presence of Hydrophobic and Hydrophilic Nanoparticles at Air–Water and Lipid–Water Interfaces? Langmuir 2023, 39, 15487–15498. [Google Scholar] [CrossRef]
- Dai, J.; Yang, K.; Zhang, L. Study on the efficient precipitation of germanium by Fe(OH)3 colloid generated by neutralization precipitation method. Colloid Polym. Sci. 2024, 302, 1999–2013. [Google Scholar] [CrossRef]
- Jiang, B.; Wang, D.; Pu, X.; Liu, Y.; Chen, Y.; Wang, W.; Ma, W.; Wang, C.; Wang, Q.; Chen, W. Genesis of the newly discovered Pb–Zn vein of the Sucha giant fluorite deposit in Inner Mongolia: Constraints from LA-ICP-MS trace element of pyrite and sphalerite. Appl. Geochem. 2023, 158, 105801. [Google Scholar] [CrossRef]
- Shan, L.; Zhou, J.; Han, M.; Fang, G.; Cao, X.; Wu, X.; Liang, S. Reversible Zn-driven reduction displacement reaction in aqueous zinc-ion battery. J. Mater. Chem. A 2019, 7, 7355–7359. [Google Scholar] [CrossRef]
- Yuan, H.; Luan, J.; Liu, J.; Zhao, N.; Zhong, C. Boosting ultra-long cycling and shelf life of nickel–zinc battery via guiding oriented zinc deposition and suppressing [Zn(OH)4]2− diffusion. Chem. Eng. J. 2023, 457, 141193. [Google Scholar] [CrossRef]
- de Oliveira, S.; Bertossi, L.G. 3D structural and geological modeling of the Kwatebala Cu–Co deposit, Tenke-Fungurume district, Democratic Republic of Congo. J. Afr. Earth Sci. 2023, 199, 104825. [Google Scholar] [CrossRef]
- Ye, P.; Fang, K.; Wang, H.; Wang, Y.; Huang, H.; Mo, C.; Ning, J.; Hu, Y. Lattice oxygen activation and local electric field enhancement by co-doping Fe and F in CoO nanoneedle arrays for industrial electrocatalytic water oxidation. Nat. Commun. 2024, 15, 1012. [Google Scholar] [CrossRef] [PubMed]
- Deng, T.; Zhu, J.; Hu, R.; Hollings, P.; Bi, X.; Huang, M.; Yang, Z.; Pan, L.; Wang, D. Magmatic-hydrothermal redox state and ore-controlling factors for the Yangla skarn Cu deposit, Sanjiang region, SW China. Ore Geol. Rev. 2024, 168, 106040. [Google Scholar] [CrossRef]
- Kim, D.H.; Kwak, D.H.; Tak, H.J.; Jung, Y.; Jung, K.; Park, S.-H.; Ko, J.S. Room temperature synthesis of highly transparent CuO and Cu(OH)2 nanowire films via a simple wet chemical method. Appl. Surf. Sci. 2022, 590, 153083. [Google Scholar] [CrossRef]
- Zhang, X.; Zhang, D.; Yang, M.; Liu, S.; Hu, B.; Wang, X.; Nie, S.; Wei, G.; Zheng, B.; Chen, G. Genesis of Ag–polymetallic mineralization in Xiong’ershan ore-concentrated area, East Qinling, China: Constraints from in-situ pyrite geochemistry. Ore Geol. Rev. 2024, 172, 106205. [Google Scholar] [CrossRef]
- Zhang, J.; Qin, Z.; Jiao, C.; Tang, Z. Photoelectron imaging spectroscopic study and chemical-bonding analysis of AgOH and AgSH anions. J. Quant. Spectrosc. Radiat. Transf. 2019, 233, 52–56. [Google Scholar] [CrossRef]
- Harish; Pushpendra, K.; Vipin, K.; Rajneesh, K.; Jin, S.; Manoj, K.; Rahul, S.; Anoop, K. A novel approach to band gap engineering of Nano-Ca(OH)2: Nanocomposites with Ag2O. Ceram. Int. 2022, 48, 35771–35787. [Google Scholar] [CrossRef]
- Massas, I.; Kairis, O.; Gasparatos, D.; Ioannou, D.; Vatougios, D.; Zafeiriou, I. Impaired Soil Health in Agricultural Areas Close to Fe-Ni Mines on Euboea Island, Greece, Caused by Increased Concentrations of Potentially Toxic Elements, and the Associated Impacts on Human Health. Environments 2023, 10, 150. [Google Scholar] [CrossRef]
- Sayão, F.A.; Martins, A.S.; da Silva, J.J.; Zanoni, M.V.B. Evaluation of Ni0, NiO, and NiS as a Cocatalyst Modifier on TiO2 Nanotubes Matrix for the Enhancement of Photoelectrocatalytic Oxidation of Penicillin G. J. Electrochem. Soc. 2021, 168, 076503. [Google Scholar] [CrossRef]
- Ibrahim, M.; Zayed, M.; Ahmed, A.; Ghanem, M.; Shaban, M.; Elkhalik, S.; Mohamed, F. Synthesis and characterization of Mo-doped PbS thin films for enhancing the photocatalytic hydrogen production. Mater. Chem. Phys. 2024, 315, 128962. [Google Scholar] [CrossRef]
- Yuan, Y.; Xu, Y.; Xie, Q.; Li, D.; Lin, Q.; Wang, P.; Lu, M. Pentazolate coordination polymers self-assembled by in situ generated [Pb4(OH)4]4+ cubic cations trapping cyclo-N5−. Dalton Trans. 2022, 51, 5801–5809. [Google Scholar] [CrossRef] [PubMed]













| Particle Size Range (mm) | 0.054–0.075 | 0.075–0.1 | 0.1–0.125 | 0.125–0.15 |
| Particle size (% of total sample) | 31.0 | 26.5 | 22.7 | 19.8 |
| Group | Temperature of Freezing (°C) | Temperature of Thawing (°C) | Number of Freeze–Thaw Cycles | Number of Assays |
|---|---|---|---|---|
| 1 | −10 to 0 | 15 to 25 | 3 | 7 |
| 2 | −10 to 0 | 25 to 35 | 3 | 7 |
| 3 | −20 to −10 | 15 to 25 | 3 | 7 |
| 4 | −20 to −10 | 25 to 35 | 3 | 7 |
Disclaimer/Publisher’s Note: The statements, opinions and data contained in all publications are solely those of the individual author(s) and contributor(s) and not of MDPI and/or the editor(s). MDPI and/or the editor(s) disclaim responsibility for any injury to people or property resulting from any ideas, methods, instructions or products referred to in the content. |
© 2024 by the authors. Licensee MDPI, Basel, Switzerland. This article is an open access article distributed under the terms and conditions of the Creative Commons Attribution (CC BY) license (https://creativecommons.org/licenses/by/4.0/).
Share and Cite
Zhang, P.; Zhu, G.; Zhang, Z.; Hou, D.; Tong, X.; Song, Y.; Su, H. Study of Enrichment and Conversion Mechanisms of Heavy Metal Elements in Mines in Cold Regions Under Freezing and Thawing. Water 2024, 16, 3715. https://doi.org/10.3390/w16243715
Zhang P, Zhu G, Zhang Z, Hou D, Tong X, Song Y, Su H. Study of Enrichment and Conversion Mechanisms of Heavy Metal Elements in Mines in Cold Regions Under Freezing and Thawing. Water. 2024; 16(24):3715. https://doi.org/10.3390/w16243715
Chicago/Turabian StyleZhang, Pihong, Guoqing Zhu, Zhiyi Zhang, Dazhong Hou, Xiaoyong Tong, Yongze Song, and Hui Su. 2024. "Study of Enrichment and Conversion Mechanisms of Heavy Metal Elements in Mines in Cold Regions Under Freezing and Thawing" Water 16, no. 24: 3715. https://doi.org/10.3390/w16243715
APA StyleZhang, P., Zhu, G., Zhang, Z., Hou, D., Tong, X., Song, Y., & Su, H. (2024). Study of Enrichment and Conversion Mechanisms of Heavy Metal Elements in Mines in Cold Regions Under Freezing and Thawing. Water, 16(24), 3715. https://doi.org/10.3390/w16243715

