A Comparative Performance Evaluation of Mainstream Multiphase Models for Aerated Flow on Stepped Spillways
Abstract
1. Introduction
2. Mathematical Models
2.1. Comparative Introduction
2.2. The VOF Model in Ansys Fluent
2.3. The Mixture Model in Ansys Fluent
2.4. The Eulerian Model in Ansys Fluent
2.5. The Aerated Flow Model in FLOW-3D
3. Test Case and Simulation Setup
3.1. Test Case
3.2. Simulation Setup in Ansys Fluent
3.3. Simulation Setup in FLOW-3D
4. Simulation Results
4.1. Surface Profile
4.2. Turbulence Development and Air Entrainment Onset
4.3. Air Concentration
4.4. Velocity
4.5. Turbulent Kinetic Energy
5. Conclusions
- (1)
- All four tested models can generally reproduce the development of the turbulent boundary layer and air entrainment onset in the non-aerated region.
- (2)
- The VOF model is unable to reproduce the self-aeration phenomenon due to its intrinsic feature of sharpening the interface and not allowing phase interpenetration. The Mixture model significantly underestimates the turbulent kinetic energy within the water phase and thus fails to reproduce the self-aeration and downward air transport phenomena as well. Therefore, the VOF and Mixture models are both not recommended for simulating the aerated flow on stepped spillways.
- (3)
- Both AFM-F3D and the Eulerian model incorporate mechanisms that account for the main physical effects in aerated flows, and their calculated aerated water surface profiles are generally reliable. However, some discrepancies remain between the calculated air concentrations and velocities from these two models and the measurements. The Eulerian model performs more accurately in terms of air concentration, while AFM-F3D exhibits a slight advantage in velocity distribution calculations. Overall, the Eulerian model is recommended for simulating aerated stepped spillway flows due to its more reasonable physical basis, wider popularity, advantages in resolving spillway geometry and potential for accuracy improvement through parameter tuning.
Author Contributions
Funding
Data Availability Statement
Conflicts of Interest
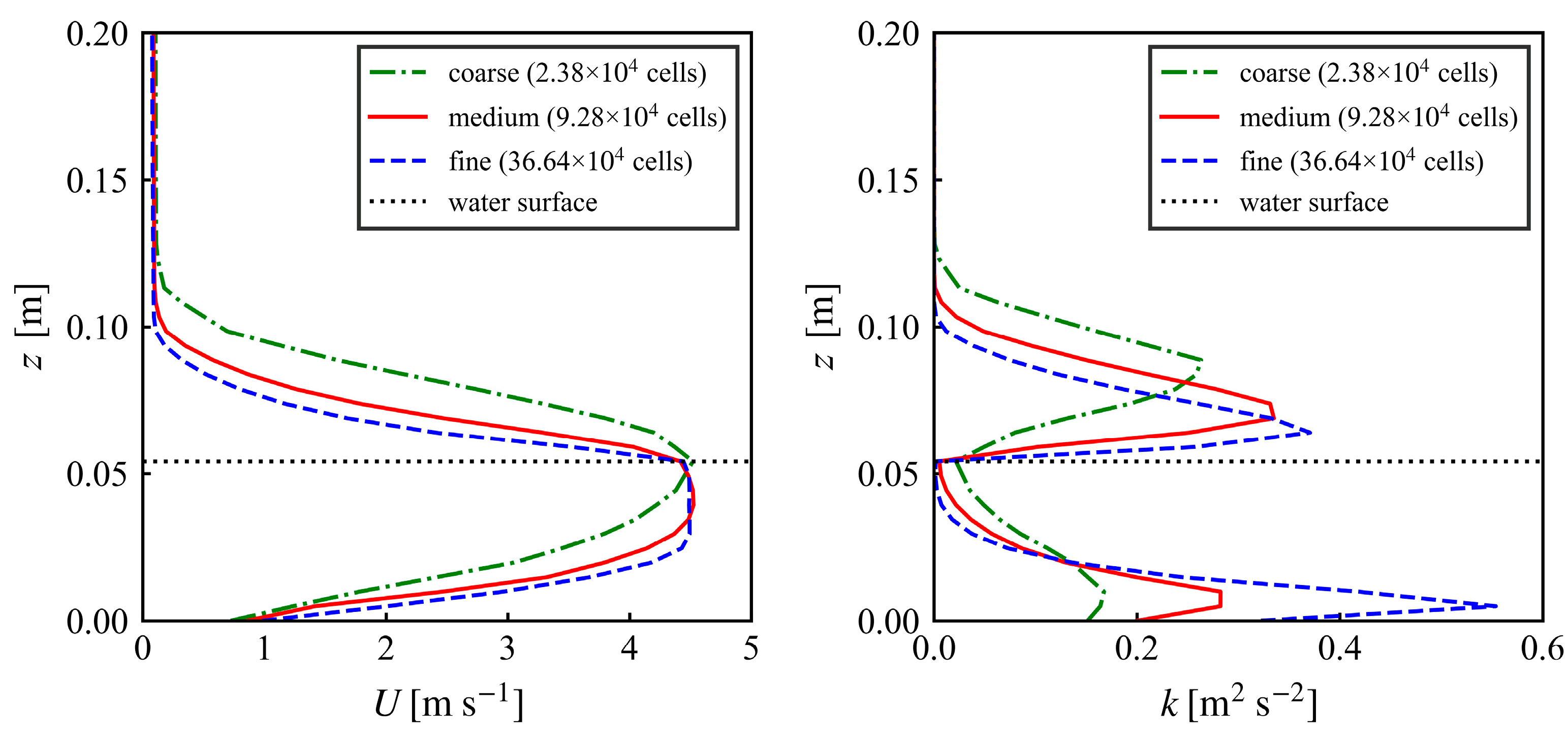
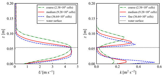
Appendix A. Mesh Sensitivity Analysis for Ansys Fluent

References
- Matos, J.; Meireles, I. Hydraulics of stepped weirs and dam spillways: Engineering challenges, labyrinths of research. In Proceedings of the 5th IAHR International Symposium on Hydraulic Structures, Brisbane, Australia, 25–27 June 2014. [Google Scholar]
- Baylar, A.; Emiroglu, M.E.; Bagatur, T. An experimental investigation of aeration performance in stepped spillways. Water Environ. J. 2006, 20, 35–42. [Google Scholar] [CrossRef]
- Felder, S.; Chanson, H. Simple design criterion for residual energy on embankment dam stepped spillways. J. Hydraul. Eng. 2016, 142, 04015062. [Google Scholar] [CrossRef]
- Luo, S.K.; Li, L.X.; Ru, Y.S. Numerical simulation on stepped spillway in discharge tunnel of Buxi power station. J. Hydroelectr. Eng. 2010, 29, 50–56. (In Chinese) [Google Scholar]
- Chen, L.Q.; Wang, J.X.; Chen, Y.T. Numerical simulation of stepped energy dissipation in high velocity emptying tunnel. Eng. J. Wuhan Univ. 2014, 47, 28–33. (In Chinese) [Google Scholar]
- Chanson, H. Prediction of the transition nappe/skimming flow on a stepped channel. J. Hydraul. Res. 1996, 34, 421–429. [Google Scholar] [CrossRef]
- Chanson, H.; Toombes, L. Hydraulics of stepped chutes: The transition flow. J. Hydraul. Res. 2004, 42, 43–54. [Google Scholar] [CrossRef]
- Sánchez-Juny, M.; Bladé, E.; Dolz, J. Analysis of pressures on a stepped spillway. J. Hydraul. Res. 2008, 46, 410–414. [Google Scholar] [CrossRef]
- Sánchez-Juny, M.; Bladé, E.; Dolz, J. Pressures on a stepped spillway. J. Hydraul. Res. 2007, 45, 505–511. [Google Scholar] [CrossRef]
- Xu, W.L.; Luo, S.J.; Zheng, Q.W. Experimental study on pressure and aeration characteristics in stepped chute flows. Sci. China Technol. Sci. 2015, 58, 720–726. [Google Scholar] [CrossRef]
- Xie, X.Z.; Li, S.Q.; Li, G.F. Development of flaring gate piers in China II. Hongshui River 1995, 15, 24–30. (In Chinese) [Google Scholar]
- Boes, R.M. Guideline on the Design and Hydraulic Characteristics of Stepped Spillways; Commission Internationale des Grands Barrages: Kyoto, Japan, 2012. [Google Scholar]
- Pfister, M.; Hager, W.H.; Minor, H.E. Stepped chutes: Pre-aeration and spray reduction. Int. J. Multiph. Flow 2006, 32, 269–284. [Google Scholar] [CrossRef]
- Pfister, M.; Hager, W.H.; Minor, H.E. Bottom aeration of stepped spillways. J. Hydraul. Eng. 2006, 132, 850–853. [Google Scholar] [CrossRef]
- Boes, R.M.; Hager, W.H. Two-phase flow characteristics of stepped spillways. J. Hydraul. Eng. 2003, 129, 661–670. [Google Scholar] [CrossRef]
- Boes, R.M.; Hager, W.H. Hydraulic design of stepped spillways. J. Hydraul. Eng. 2003, 129, 671–679. [Google Scholar] [CrossRef]
- Chanson, H. Hydraulics of skimming flows over stepped channels and spillways. J. Hydraul. Eng. 1994, 32, 445–460. [Google Scholar] [CrossRef]
- Chamani, M.R.; Rajaratnam, N. Characteristics of skimming flow over stepped spillways. J. Hydraul. Eng. 1999, 125, 361–368. [Google Scholar] [CrossRef]
- Takahashi, M.; Ohtsu, I. Aerated flow characteristics of skimming flow over stepped chutes. J. Hydraul. Eng. 2012, 50, 427–434. [Google Scholar] [CrossRef]
- Dong, Z.S.; Wang, J.X.; Vetsch, D.F.; Boes, R.M. Numerical simulation of air–water two-phase flow on stepped spillways behind X-shaped flaring gate piers under very high unit discharge. Water 2019, 11, 1956. [Google Scholar] [CrossRef]
- Hu, Y.H.; Wu, C.; Lu, H.; Zhang, T.; Mo, Z.Y. Study on hydraulic structure of flaring gate piers locating at the upstream of stepped spillway. J. Hydroelectr. Eng. 2006, 25, 37–41. (In Chinese) [Google Scholar]
- Liang, Z.X.; Yin, J.B.; Zheng, Z.; Lu, H. Aeration of skimming flow on stepped spillway combined with flaring gate piers. J. Hydraul. Eng. 2009, 5, 564–568. (In Chinese) [Google Scholar]
- Dong, Z.S. Numerical Simulation Study on Destruction Mechanism of the Step Behind the X-Shaped Flairing Gate Piers. Master Thesis, Wuhan University, Wuhan, China, 2017. (In Chinese). [Google Scholar]
- Chanson, H.; Gonzalez, C.A. Physical modelling and scale effects of air-water flows on stepped spillways. Zhejiang Univ. Sci. 2005, 6, 243–250. [Google Scholar] [CrossRef]
- Felder, S.; Chanson, H. Turbulence, dynamic similarity and scale effects in high-velocity free-surface flows above a stepped chute. Exp. Fluids 2009, 47, 1–18. [Google Scholar] [CrossRef]
- Felder, S.; Chanson, H. Scale effects in microscopic air-water flow properties in high-velocity free-surface flows. Exp. Therm. Fluid Sci. 2017, 83, 19–36. [Google Scholar] [CrossRef]
- Heller, V. Scale effects in physical hydraulic engineering models. J. Hydraul. Res. 2011, 49, 293–306. [Google Scholar] [CrossRef]
- Pfister, M.; Chanson, H. Discussion of scale effects in physical hydraulic engineering models By Valentin Heller. J. Hydraul. Res. 2012, 50, 244–246. [Google Scholar] [CrossRef]
- Jesudhas, V.; Balachandar, R.; Bolisetti, T. Numerical study of a symmetric submerged spatial hydraulic jump. J. Hydraul. Res. 2020, 58, 335–349. [Google Scholar] [CrossRef]
- Witt, A.; Gulliver, J.S.; Shen, L. Numerical investigation of vorticity and bubble clustering in an air entraining hydraulic jump. Comput. Fluids 2018, 172, 162–180. [Google Scholar] [CrossRef]
- Biswas, T.R.; Dey, S.; Sen, D. Undular hydraulic jumps: Critical analysis of 2D RANS-VOF simulations. J. Hydraul. Eng. 2021, 147, 06021017. [Google Scholar] [CrossRef]
- Toro, J.P.; Bombardelli, F.A.; Paik, J.; Meireles, I.C.; Amador, A. Characterization of turbulence statistics on the non-aerated skimming flow over stepped spillways: A numerical study. Environ. Fluid Mech. 2016, 16, 1195–1221. [Google Scholar] [CrossRef]
- Chen, J.G.; Zhang, J.M.; Xu, W.L.; Wang, Y.R. Numerical simulation of the energy dissipation characteristics in stilling basin of multi-horizontal submerged jets. J. Hydrodyn. 2010, 22, 732–741. [Google Scholar] [CrossRef]
- Eghbalzadeha, A.; Javan, M. Comparison of mixture and VOF models for numerical simulation of air–entrainment in skimming flow over stepped spillways. J. Procedia Eng. 2012, 28, 657–660. [Google Scholar] [CrossRef]
- Dong, Z.S.; Wang, J.X.; Vetsch, D.F.; Boes, R.M.; Tan, G.M. Numerical simulation of air entrainment on stepped spillway. In Proceedings of the 38th IAHR World Congress, Panama City, Panama, 1–6 September 2019. [Google Scholar]
- Teng, P.H.; Yang, J.; Pfister, M. Studies of two-phase flow at a chute aerator with experiments and CFD modelling. Model. Simul. Eng. 2016, 2016, 4729128. [Google Scholar] [CrossRef]
- Yang, J.; Teng, P.H.; Zhang, H.W. Experiments and CFD modeling of high-velocity two-phase flows in a large chute aerator facility. Eng. Appl. Comput. Fluid Mech. 2019, 13, 48–66. [Google Scholar] [CrossRef]
- Ma, J.S.; Oberai, A.A.; Lahey, R.T.; Drew, D.A. Modeling air entrainment and transport in a hydraulic jump using two-fluid RANS and DES turbulence models. Heat Mass Transf. 2011, 47, 911–919. [Google Scholar] [CrossRef]
- Zhang, J.M.; Chen, J.G.; Xu, W.L.; Wang, Y.R.; Li, G.J. Three-dimensional numerical simulation of aerated flows downstream sudden fall aerator expansion-in a tunnel. J. Hydrodyn. 2011, 23, 71–80. [Google Scholar] [CrossRef]
- Mendes, L.S.; Lara, J.L.; Viseu, M.T. Do the Volume-of-Fluid and the Two-Phase Euler compete for modeling a spillway aerator? Water 2021, 13, 3092. [Google Scholar] [CrossRef]
- ANSYS. ANSYS Fluent Theory Guide; ANSYS Inc.: Canonsburg, PA, USA, 2018. [Google Scholar]
- Hirt, C.W.; Nichols, B.D. Volume of fluid (VOF) method for the dynamics of free boundaries. J. Comput. Phys. 1981, 39, 201–225. [Google Scholar] [CrossRef]
- Nichols, B.D.; Hirt, C.W. Improved free surface boundary conditions for numerical incompressible-flow calculations. J. Comput. Phys. 1971, 8, 434–448. [Google Scholar] [CrossRef]
- Richardson, J.F.; Zaki, W.N. Sedimentation and fluidisation: Part 1. Trans. IChemE 1954, 32, 35–53. [Google Scholar] [CrossRef]
- Bombardelli, F.A.; Meireles, I.; Matos, J. Laboratory measurements and multi-block numerical simulations of the mean flow and turbulence in the non-aerated skimming flow region of steep stepped spillways. Environ. Fluid Mech. 2011, 11, 263–288. [Google Scholar] [CrossRef]
- Morovati, K.; Homer, C.; Tian, F.; Hu, H. Opening configuration design effects on pooled stepped chutes. J. Hydraul. Eng. 2021, 147, 06021011. [Google Scholar] [CrossRef]
- Bayon, A.; Toro, J.P.; Bombardelli, F.A.; Matos, J.; López-Jiménez, P.A. Influence of VOF technique, turbulence model and discretization scheme on the numerical simulation of the non-aerated, skimming flow in stepped spillways. J. Hydro-Environ. Res. 2018, 19, 137–149. [Google Scholar] [CrossRef]
- Yakhot, S.; Orszag, A. Renormalization group analysis of turbulence. I. Basic theory. J. Sci. Comput. 1986, 1, 3–51. [Google Scholar] [CrossRef]
- Manninen, M.; Kallio, S. On the Mixture Model for Multiphase Flow; VTT Publications 288; Technical Research Centre of Finland: Espoo, Finland, 1996. [Google Scholar]
- Ishii, M.; Zuber, N. Drag coefficient and relative velocity in bubbly, droplet or particulate flows. AIChE J. 1979, 25, 843–855. [Google Scholar] [CrossRef]
- Kolev, N.I. Multiphase Flow Dynamics 2: Thermal and Mechanical Interactions, 2nd ed.; Springer: Berlin, Germany, 2005. [Google Scholar]
- Ishii, M.; Hibiki, T. Thermo-Fluid Dynamics of Two-Phase Flow; Springer Science & Business Media: Berlin/Heidelberg, Germany, 2010. [Google Scholar]
- Ishii, M.; Kim, S.; Uhle, J. Interfacial area transport equation: Model development and benchmark experiments. Int. J. Heat Mass Transf. 2002, 45, 3111–3123. [Google Scholar] [CrossRef]
- Simonin, O.; Viollet, P.L. Modeling of Turbulent Two-Phase Jets Loaded with Discrete Particles; Phenomena in Multiphase Flows; Hemisphere Publishing Corporation: Washington, DC, USA, 1990; pp. 259–269. [Google Scholar]
- Hirt, C.W. Modeling Turbulent Entrainment of Air at a Free Surface; Technical Note FSI-01-12; Flow Science, Inc.: Santa Fe, NM, USA, 2003. [Google Scholar]
- Hirt, C.W. Dynamic Droplet Sizes for Drift Fluxes; Flow Science Report 11–16; Flow Science Inc.: Santa Fe, NM, USA, 2016. [Google Scholar]
- Brethour, J.M.; Hirt, C.W. Drift Model for Two-Component Flows; Technical Note 83; Flow Science Incorporated: Santa Fe, NM, USA, 2009. [Google Scholar]
- FLOW-3D v11.2 Documentation; Flow Science, Inc.: Santa Fe, NM, USA, 2016.
- Pfister, M.; Hager, W.H. Self-entrainment of air on stepped spillways. Int. J. Multiph. Flow 2011, 37, 99–107. [Google Scholar] [CrossRef]
- Meireles, I.C.; Bombardelli, F.A.; Matos, J. Air entrainment onset in skimming flows on steep stepped spillways: An analysis. J. Hydraul. Res. 2014, 52, 375–385. [Google Scholar] [CrossRef]
- Chanson, H. Drag reduction in open channel flow by aeration and suspended load. J. Hydraul. Res. 1994, 32, 87–101. [Google Scholar] [CrossRef]
- Kramer, M.; Felder, S.; Hohermuth, B.; Valero, D. Drag reduction in aerated chute flow: Role of bottom air concentration. J. Hydraul. Eng. 2021, 147, 04021041. [Google Scholar] [CrossRef]











| Pressure–Velocity Coupling | PISO | |
|---|---|---|
| Gradient | Green-Gauss Cell Based | |
| Pressure | PRESTO! | |
| Momentum | Second-order upwind | |
| Volume fraction | VOF | Geo-reconstruct |
| Mixture | QUICK | |
| Eulerian | QUICK | |
| Turbulence quantities (k and ε) | First-order upwind | |
Disclaimer/Publisher’s Note: The statements, opinions and data contained in all publications are solely those of the individual author(s) and contributor(s) and not of MDPI and/or the editor(s). MDPI and/or the editor(s) disclaim responsibility for any injury to people or property resulting from any ideas, methods, instructions or products referred to in the content. |
© 2024 by the authors. Licensee MDPI, Basel, Switzerland. This article is an open access article distributed under the terms and conditions of the Creative Commons Attribution (CC BY) license (https://creativecommons.org/licenses/by/4.0/).
Share and Cite
Yang, F.; Dong, Z.; Da, J.; Wang, J. A Comparative Performance Evaluation of Mainstream Multiphase Models for Aerated Flow on Stepped Spillways. Water 2024, 16, 3529. https://doi.org/10.3390/w16233529
Yang F, Dong Z, Da J, Wang J. A Comparative Performance Evaluation of Mainstream Multiphase Models for Aerated Flow on Stepped Spillways. Water. 2024; 16(23):3529. https://doi.org/10.3390/w16233529
Chicago/Turabian StyleYang, Fan, Zongshi Dong, Jinrong Da, and Junxing Wang. 2024. "A Comparative Performance Evaluation of Mainstream Multiphase Models for Aerated Flow on Stepped Spillways" Water 16, no. 23: 3529. https://doi.org/10.3390/w16233529
APA StyleYang, F., Dong, Z., Da, J., & Wang, J. (2024). A Comparative Performance Evaluation of Mainstream Multiphase Models for Aerated Flow on Stepped Spillways. Water, 16(23), 3529. https://doi.org/10.3390/w16233529

