Spatial-Temporal Characteristics and Driving Factors of Surface Water Quality in the Jing River Basin of the Loess Plateau
Abstract
1. Introduction
2. Materials and Methods
2.1. Study Area
2.2. Data and Processing
2.3. Analysis Method
- (1)
- Water Quality Assessment Methods
- (2)
- Mann–Kendall Trend Test
- (3)
- Correlation Analysis
3. Results and Discussion
3.1. Analysis of Water Quality Variation
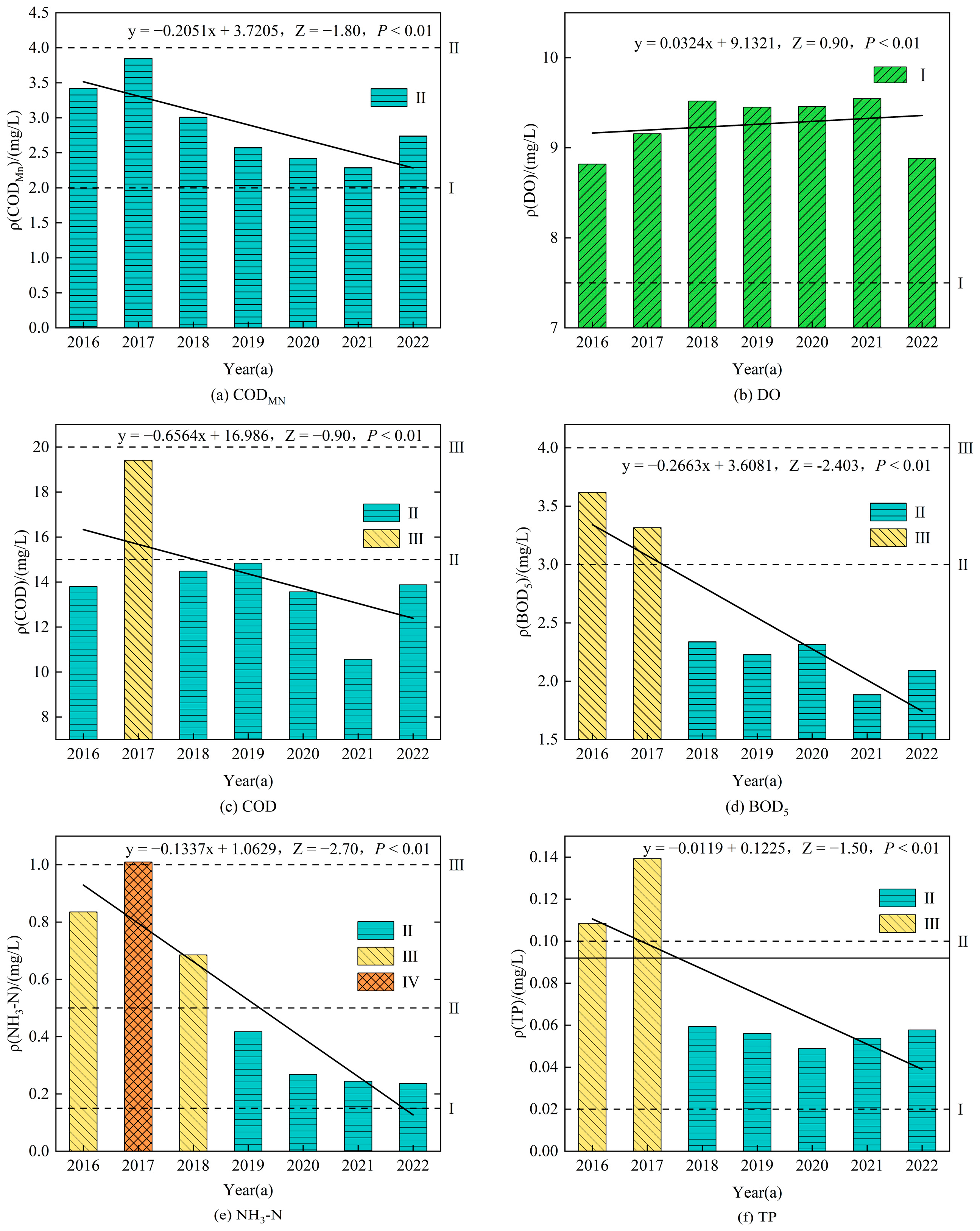
3.1.1. Temporal and Spatial Variation Characteristics of Water Quality
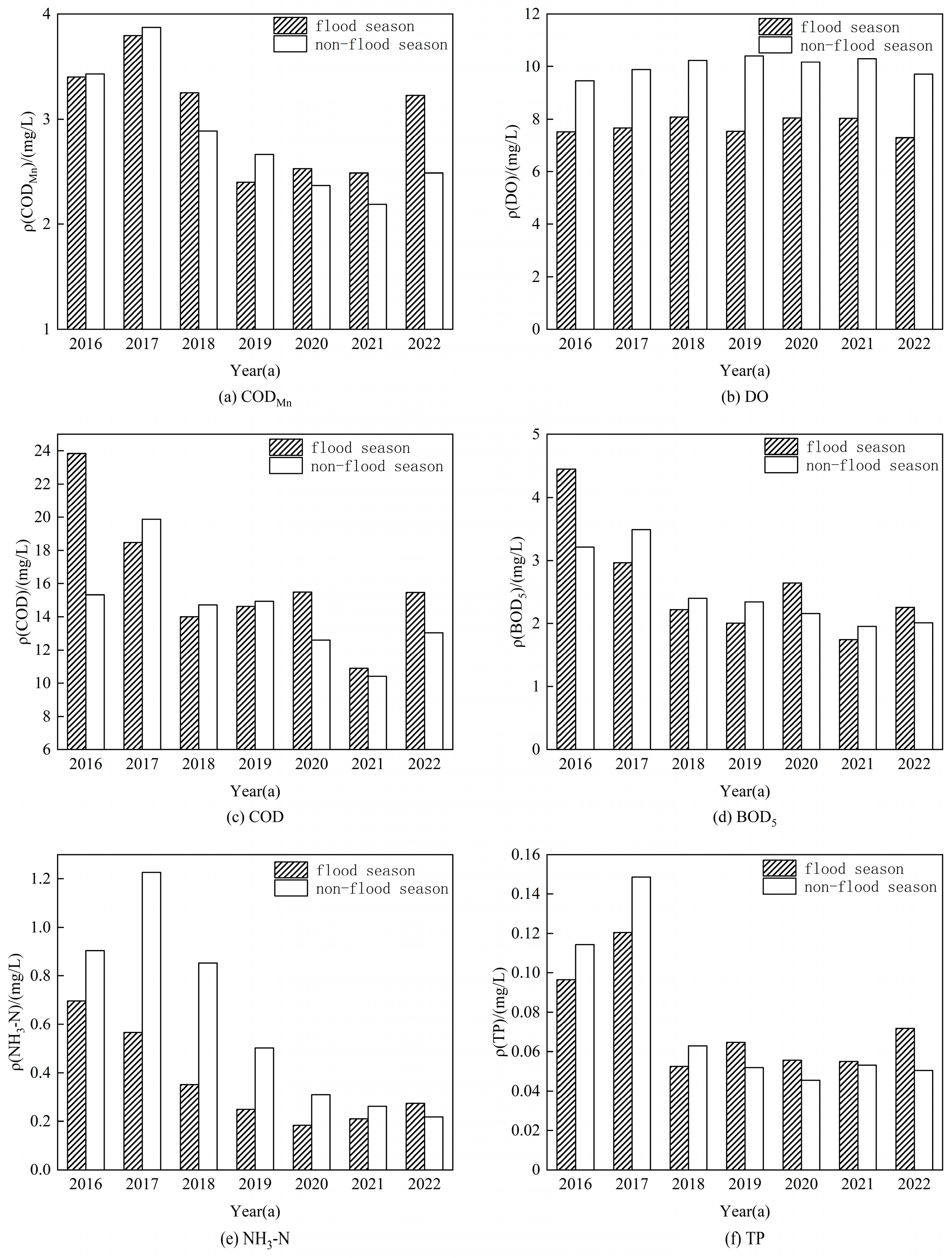
3.1.2. Variation Characteristics of Water Quality in Flood Season and Non-Flood Season
3.2. Water Quality Evaluation Based on WQI
3.2.1. Overall Water Quality
3.2.2. Interannual Variation Characteristics of Water Quality
3.2.3. Spatial and Temporal Difference Characteristics of Water Quality
3.3. Analysis of Water Quality Driving Factors
3.3.1. Correlation Analysis Results
3.3.2. Redundancy Analysis Results
4. Conclusions
- (1)
- The water quality of the Jing River in Shaanxi province from 2016 to 2022 has shown an upward trend, gradually improving. The improvement became obvious in 2018, related to the series of water quality governance policies issued by Shaanxi Province. In 2022, the water quality slightly decreased, and it is necessary to strengthen the supervision of the coal mining industry upstream of the river and establish a comprehensive water quality monitoring and early warning mechanism.
- (2)
- The water quality rating of the Jing River in Shaanxi province is “good”. The main pollutants affecting water quality changes are CODMn, COD, BOD5, NH3-N, and TP. The water quality of the river rises first and then drops from upstream to downstream. Among them, the water quality at S4 and S5 downstream sections is the best.
- (3)
- The water quality near the downstream section of the Jing River that is close to the Weihe River (S6 and S7) is poor, mainly affected by nonpoint source pollution from livestock farming, agricultural activities, and sewage discharge. The 2500-m buffer zone spatial scale has the best explanation effect on water quality changes, and the proportion of bare land and cultivated land in land use types is the main factor affecting river water quality.
Supplementary Materials
Author Contributions
Funding
Data Availability Statement
Conflicts of Interest
References
- Yang, L.; Song, J.; Song, B.; Wang, R.; Wang, X. Primary Pollutant Water Quality Identification Index Method and Its Application to Comprehensive Evaluation of River Water Quality. Environ. Sci. Technol. 2015, 38, 239–245. [Google Scholar]
- Hoque, Y.M.; Tripathi, S.; Hantush, M.M.; Govindaraju, R.S. Watershed reliability, resilience and vulnerability analysis under uncertainty using water quality data. J. Environ. Manag. 2012, 109, 101–112. [Google Scholar] [CrossRef] [PubMed]
- Guo, J.; Wang, C.; Huang, D.; Li, L.; Lian, H. Pollution characterization and water quality assessment of Dongting Lake. Environ. Chem. 2019, 38, 152–160. [Google Scholar]
- Chen, J.; Wu, C.; Li, S.; Wang, Y.; Gong, Y. Study on numerical simulation of water environment in Ba River basin. J. Northwest A F Univ. Nat. Sci. Ed. 2022, 50, 80–88. [Google Scholar]
- Fu, T.; Zou, Z.; Wang, X. Water quality assessment for Taizi River watershed in Liaoyang section based on multivariate statistical analysis and water quality identification index. Acta Sci. Circumst. 2014, 34, 473–480. [Google Scholar]
- Geng, J.; Wang, Y.; Hu, S.; Wei, Y.; Sun, F.; Yuan, P. WQI-Based Water Quality Assessment and Spatial-Temporal Change in Plain River Network Areas. Environ. Eng. 2023, 41, 187–193+209. [Google Scholar]
- Kaur, M.; Das, S.K.; Sarma, K. Water quality assessment of Tal Chhapar Wildlife Sanctuary using water quality index (CCME WQI). Acta Ecol. Sin. 2023, 43, 82–88. [Google Scholar] [CrossRef]
- Misaghi, F.; Delgosha, F.; Razzaghmanesh, M.; Myers, B. Introducing a water quality index for assessing water for irrigation purposes: A case study of the Ghezel Ozan River. Sci. Total Environ. 2017, 589, 107–116. [Google Scholar] [CrossRef]
- Kim, H.I.; Kim, D.; Mahdian, M.; Salamattalab, M.M.; Bateni, S.M.; Noori, R. Incorporation of water quality index models with machine learning-based techniques for real-time assessment of aquatic ecosystems. Environ. Pollut. 2024, 355, 124242. [Google Scholar] [CrossRef]
- Marselina, M.; Wibowo, F.; Mushfiroh, A. Water quality index assessment methods for surface water: A case study of the Citarum River in Indonesia. Heliyon 2022, 8, e09848. [Google Scholar] [CrossRef]
- Uddin, M.G.; Nash, S.; Rahman, A.; Olbert, A.I. A comprehensive method for improvement of water quality index (WQI) models for coastal water quality assessment. Water Res. 2022, 219, 118532. [Google Scholar] [CrossRef] [PubMed]
- Banda, T.D.; Kumarasamy, M. Artificial Neural Network (ANN)-Based Water Quality Index (WQI) for Assessing Spatiotemporal Trends in Surface Water Quality—A Case Study of South African River Basins. Water 2024, 16, 1485. [Google Scholar] [CrossRef]
- Mishra, M.; Singhal, A.; Srinivas, R. Effect of urbanization on the urban lake water quality by using water quality index (WQI). Mater. Today Proc. 2023. [Google Scholar] [CrossRef]
- Uddin, M.G.; Nash, S.; Rahman, A.; Olbert, A.I. A novel approach for estimating and predicting uncertainty in water quality index model using machine learning approaches. Water Res. 2023, 229, 119422. [Google Scholar] [CrossRef] [PubMed]
- Mao, Z. Discussion on Sustainable Development of Water Resources in Jinghe River Basin of Pingliang District. J. Water Resour. Water Eng. 2001, 12, 63–64. [Google Scholar]
- Wang, J.; Chen, S.; Wu, Y.; Hu, A. Simulation and Prediction of Water Quality Nitrogen based on ANN in Jinghe River, Shaanxi Province. Yellow River 2014, 36, 67–70+110. [Google Scholar]
- He, C.; Guo, Y.; Cai, D.; Liu, S.; Li, G. Temporal and Spatial Distribution of Organic Matter in Sudden Water Pollution Accident of Dongzhuang Reservoir. Pearl River 2023, 44, 117–123. [Google Scholar]
- Xu, Y.; Cui, L. Evaluation of Water Quality Status in the Jinghe-Xianyang Section from 2017 to 2019. Resour. Econ. Environ. Prot. 2020, 9, 14–16. [Google Scholar]
- Yu, F.; Song, J.; Yin, X.; Wu, W.; Chen, J. Water Pollution of the Jinghe River in Shaanxi Section. J. Beijing Norm. Univ. Nat. Sci. 2013, 49, 421–424. [Google Scholar]
- Wang, J.; Wu, Y.; Dang, B.; Xu, Z.; Hu, A.; Zhang, X. Spatial and Temporal Distribution of Surface Water Quality Using Multivariate Statistical Analysis in Jinghe River of Shaanxi Province, China. J. Nat. Resour. 2012, 27, 674–685. [Google Scholar]
- Yang, N.; Wang, X.; Li, J.; Zhang, T.; Feng, P. Response of nitrogen and phosphorus pollution load to different land use patterns in Taolinkou Reservoir basin. J. Water Resour. Water Eng. 2023, 34, 61. [Google Scholar]
- Qin, Y.; Xu, Y.; Li, H. SWAT model of non-point source pollution under different land use scenarios in the Heihe river basin. Acta Sci. Circumst. 2009, 29, 440–448. [Google Scholar]
- Xiang, S.; Pang, Y.; Dou, J.; Lu, X.; Xue, L.; Chu, Z. Impact of land use on the water quality of inflow river to Erhai Lake at different temporal and spatial scales. Acta Ecol. Sin. 2018, 38, 876–885. [Google Scholar]
- Mao, D.-H.; Zhou, Y.; Zhou, Y.-L. Analysis of Spatiotemporal Variation and Driving Factors of Water Quality in the Xiangjiang River Basin from 1990 to 2016. Huan Jing Ke Xue = Huanjing Kexue 2024, 45, 3953–3964. [Google Scholar] [PubMed]
- Jia, X.; Zhao, Q.; Hao, Y.; Zhang, X.; Lin, J.; Duan, P.; Zhang, Y.; Wang, S. Spatial Distribution Characteristics of Environmental Variables and Response to Land Use Patterns in Different Aquatic Ecological Functional Regions of Hun-Tai River Basin. Res. Environ. Sci. 2021, 34, 1542–1552. [Google Scholar]
- Dai, M.-J.; Zhang, B.; Du, Q.-Q.; Sun, J.-H.; Tian, L.; Wang, Y.-D. Effects of Land Use Types on Water Quality at Different Buffer Scales: Tianjin Section of the Haihe River Basin as an Example. Huan Jing Ke Xue = Huanjing Kexue 2024, 45, 1512–1524. [Google Scholar]
- Huang, K.; Li, H.; Li, J.; Xiao, H. Analysis of Agricultural Non-Point Source Pollution in the Jinghe River Basin. Yellow River 2021, 43, 106–111. [Google Scholar]
- Wang, Y. Identification of Critical Source Areas and Delineation of Management Subzones of Non-Point Source Pollution in Jing River Basin; Northwest A&F University: Xianyang, China, 2023. [Google Scholar]
- Zhang, Z.; Pan, W.; Sun, S.; Yan, K. Analysis of Jinghe River Water Ecological Management in Shaanxi Province. Shaanxi Water Resour. 2022, 4, 105–107. [Google Scholar]
- Pesce, S.F.; Wunderlin, D.A. Use of water quality indices to verify the impact of Córdoba City (Argentina) on Suquía River. Water Res. 2000, 34, 2915–2926. [Google Scholar] [CrossRef]
- Tang, Q.; Liu, B.; Wang, P.; Wang, Y.; Jiang, H.; Xie, Y.; Li, K. Application of improved WQI model in water quality assessment of typical watershed in the hilly area of central Sichuan Province: A case study in the upper reaches of Qiongjiang River Basin. J. Environ. Eng. Technol. 2022, 12, 615–623. [Google Scholar]
- Li, J.; Lian, Z.; Dou, M.; Chen, H.; Jia, R.; Li, G. Spatio-temporal distribution characteristics of water quality and influencing factors in Danjiang Reservoir area. South North Water Transf. Water Sci. Technol. 2023, 21, 181–189. [Google Scholar]
- Wu, Z.S.; Wang, X.L.; Chen, Y.W.; Cai, Y.J.; Deng, J.C. Assessing river water quality using water quality index in Lake Taihu Basin, China. Sci. Total Environ. 2018, 612, 914–922. [Google Scholar] [CrossRef] [PubMed]
- Li, Y.-Q.; Huang, T.-L.; Zhang, H.-H.; Wen, C.-C.; Yang, S.-Y.; Lin, Z.-S.; Gao, X. Succession Characteristics of Algae Functional Groups and Water Quality Assessment in a Drinking Water Reservoir. Huan Jing Ke Xue = Huanjing Kexue 2020, 41, 2158–2165. [Google Scholar] [PubMed]
- Ding, J.; Wei, Z. Analysis on Water Quality Trend in Shaanxi Section of Weihe River. J. Water Resour. Water Eng. 2010, 21, 141–144. [Google Scholar]
- Zheng, B. Research System Design for Eutrophication Control and Management of Taihu Lake during the 12th Five-Year Plan. Res. Environ. Sci. 2014, 27, 683–687. [Google Scholar]
- Xu, C.; Yu, X.; Xu, Z.; Xiong, J.; Chen, X. Study on the spatiotemporal pattern and regulating factors of dissolved oxygen in the main stream of Tanjiang River. Acta Sci. Circumst. 2024, 44, 222–230. [Google Scholar]
- Li, H.; Yang, T.; Liao, Y.; Qu, Y. Analysis of river habitat quality distribution patterns and driving forces in the Weihe River Basin (Shaanxi section). Ecol. Environ. Sci. 2024, 33, 1153–1162. [Google Scholar]
- Hongguang, C.; Yong, Y.U.E.; Shengtian, Y.; Fanghua, H.A.O.; Zhifeng, Y. An estimation and evaluation of non-point source (NPS) pollution in the Yellow River Basin. Acta Sci. Circumst. 2006, 26, 384–391. [Google Scholar]
- Yi, F.; Chen, M.; He, X.; Yu, C.; An, R. Effect of spatial scale on water quality in watershed land use analysis. China Environ. Sci. 2023, 43, 4280–4291. [Google Scholar]
- Chen, T.; Cui, D.; Yuan, Y.; Liu, J.; Huang, M.; Li, Y. Changes in water quality and land use structure in the green-belt area around Shanghai. J. East China Norm. Univ. Nat. Sci. 2021, 2021, 81–89. [Google Scholar]
- Gong, Y.X.; Ji, X.; Hong, X.C.; Cheng, S.S. Correlation Analysis of Landscape Structure and Water Quality in Suzhou National Wetland Park, China. Water 2021, 13, 2075. [Google Scholar] [CrossRef]
- Mi, Q.; Bian, Y.; Zhen, L.; Pang, D.; Wang, L.; Cheng, W.; Li, J. Impacts of Land Use Structure and Landscape Pattern on Water Quality in Lihe River. J. Hydroecol. 2024, 45, 78–85. [Google Scholar]
- Zhang, X.-d.; Han, X.; Sun, C.-S.; Zhang, J.-W.; Hu, J.-X.; Huang, Z.-Y.; Pan, B.-Z. Effects of Landscape Pattern on Water Quality at Different Spatial and Temporal Scales in Wuding River Basin and Yanhe River Basin. Huan Jing Ke Xue = Huanjing Kexue 2024, 45, 4540–4552. [Google Scholar] [PubMed]
- Guo, Y.; Li, S.; Liu, R.; Zhang, J. Relationship between landscape pattern and water quality of the multi-scale effects in the Yellow River Basin. J. Lake Sci. 2021, 33, 737–748. [Google Scholar]
- Wang, Y.; Wu, R.; Rong, N.; Wang, X.; Zhang, Y. Response relationship between water quality in the lower reaches of Xijiang River Basin and land use at different spatial scales. Water Resour. Prot. 2021, 37, 97–104. [Google Scholar]








| Index | Average Value | Median | Standard Deviation | Minimum Value | Maximum Value |
|---|---|---|---|---|---|
| ρ(CODMn)/mg·L−1 | 2.91 | 2.70 | 1.23 | 0.50 | 13.00 |
| ρ(DO)/mg·L−1 | 9.27 | 9.24 | 1.93 | 2.30 | 14.37 |
| ρ(COD)/mg·L−1 | 15.24 | 14.00 | 7.89 | 2.50 | 80.00 |
| ρ(BOD5)/mg·L−1 | 2.61 | 2.30 | 1.59 | 0.25 | 15.70 |
| ρ(NH3-N)/mg·L−1 | 0.55 | 0.33 | 0.64 | 0.01 | 3.96 |
| ρ(TP)/mg·L−1 | 0.08 | 0.06 | 0.06 | 0.01 | 0.45 |
| Concentration of petroleum/mg·L−1 | 0.02 | 0.01 | 0.03 | 0.00 | 0.31 |
| WQI | 73.70 | 75.26 | 6.67 | 36.84 | 85.79 |
| Water Quality Indexes | CODMn | DO | COD | BOD5 | NH3-N | TP | Petroleum |
|---|---|---|---|---|---|---|---|
| WQI | −0.697 | 0.258 | −0.700 | −0.628 | −0.653 | −0.540 | −0.459 |
| Item | 2016 | 2017 | 2018 | 2019 | 2020 | 2021 | 2022 |
|---|---|---|---|---|---|---|---|
| Average value | 68.01 | 68.44 | 73.96 | 75.61 | 76.55 | 78.80 | 76.18 |
| Median | 68.95 | 68.16 | 74.21 | 75.79 | 76.84 | 78.95 | 76.32 |
| Standard deviation | 8.34 | 6.85 | 3.99 | 3.31 | 3.63 | 2.69 | 4.82 |
| Minimum value | 36.84 | 47.89 | 61.58 | 67.37 | 60.53 | 71.05 | 62.11 |
| Maximum value | 80.53 | 84.21 | 82.11 | 81.58 | 82.63 | 85.79 | 84.21 |
| Buffering Radius /m | Parameter | First Axis | Second | Third Axes | Fourth Axes | Interpretation Ratio /% | Explanatory Variable (Contribution Rate) |
|---|---|---|---|---|---|---|---|
| 500 | E | 0.9229 | 0.0296 | 0.0027 | 0.0448 | 82.1 | Construction land (67.7) and Cultivated land (18.7) |
| EC | 96.62 | 99.71 | 100 | — | |||
| PC | 0.9815 | 0.9844 | 0.5763 | 0 | |||
| 1000 | E | 0.705 | 0.0055 | 0.2826 | 0.0068 | 42.1 | Waters (51.3) and Grassland (19.8) |
| EC | 99.22 | 100 | — | — | |||
| PC | 0.8624 | 0.7454 | 0 | 0 | |||
| 2000 | E | 0.9161 | 0.0288 | 0.0092 | 0.0459 | 81.6 | Bare soil (59) and Cultivated land (30.5) |
| EC | 96.02 | 99.04 | 100 | — | |||
| PC | 0.9778 | 0.9669 | 0.9568 | 0 | |||
| 2500 | E | 0.9574 | 0.0308 | 0.0059 | 0.0059 | 97.6 | Bare soil (54.3) and Cultivated land (32.6) |
| EC | 96.31 | 99.41 | 100 | — | |||
| PC | 0.9995 | 0.9989 | 0.7912 | 0 | |||
| 5000 | E | 0.933 | 0.0303 | 0.0087 | 0.028 | 88.8 | Bare soil (52.4) and Cultivated land (20.5) |
| EC | 95.99 | 99.1 | 100 | — | |||
| PC | 0.9867 | 0.9912 | 0.9376 | 0 | |||
| 7500 | E | 0.9583 | 0.0111 | 0.0018 | 0.0287 | 88.5 | Waters (42.1) and Shrub area (20) |
| EC | 98.66 | 99.81 | 100 | — | |||
| PC | 1 | 0.9121 | 0.342 | 0 |
Disclaimer/Publisher’s Note: The statements, opinions and data contained in all publications are solely those of the individual author(s) and contributor(s) and not of MDPI and/or the editor(s). MDPI and/or the editor(s) disclaim responsibility for any injury to people or property resulting from any ideas, methods, instructions or products referred to in the content. |
© 2024 by the authors. Licensee MDPI, Basel, Switzerland. This article is an open access article distributed under the terms and conditions of the Creative Commons Attribution (CC BY) license (https://creativecommons.org/licenses/by/4.0/).
Share and Cite
Zhang, B.; Li, J.; Yuan, B.; Li, M.; Zhang, J.; Guo, M.; Liu, Z. Spatial-Temporal Characteristics and Driving Factors of Surface Water Quality in the Jing River Basin of the Loess Plateau. Water 2024, 16, 3326. https://doi.org/10.3390/w16223326
Zhang B, Li J, Yuan B, Li M, Zhang J, Guo M, Liu Z. Spatial-Temporal Characteristics and Driving Factors of Surface Water Quality in the Jing River Basin of the Loess Plateau. Water. 2024; 16(22):3326. https://doi.org/10.3390/w16223326
Chicago/Turabian StyleZhang, Bowen, Jing Li, Bo Yuan, Meng Li, Junqi Zhang, Mengjing Guo, and Zhuannian Liu. 2024. "Spatial-Temporal Characteristics and Driving Factors of Surface Water Quality in the Jing River Basin of the Loess Plateau" Water 16, no. 22: 3326. https://doi.org/10.3390/w16223326
APA StyleZhang, B., Li, J., Yuan, B., Li, M., Zhang, J., Guo, M., & Liu, Z. (2024). Spatial-Temporal Characteristics and Driving Factors of Surface Water Quality in the Jing River Basin of the Loess Plateau. Water, 16(22), 3326. https://doi.org/10.3390/w16223326

