Unveiling Synergistic Effects for the Optimizing Photoelectro-Fenton Process for Enhanced Terbutryn Herbicide Degradation
Abstract
1. Introduction
2. Experimental Procedures
2.1. Reagents
2.2. Electrolytic Systems
2.3. Analytical Procedures
2.4. Experimental Design
3. Results and Discussion
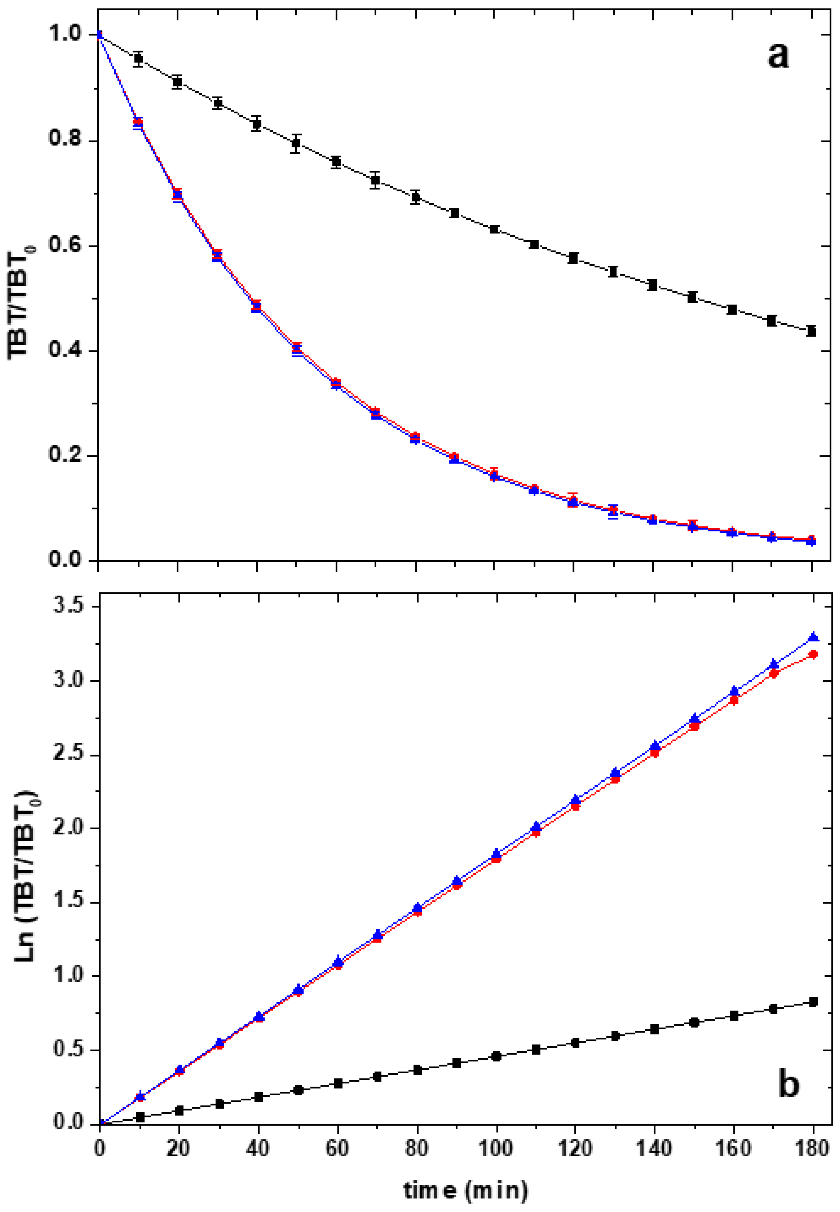
3.1. Anodic Oxidation Process
3.2. Electrochemical H2O2 Generation
3.3. Electro-Fenton Process
3.4. Effect of Fe2+ Concentration on EF Process
3.5. Photoelectro-Fenton Process
3.6. Effect of Fe2+ Concentration on PEF Process
3.7. COD Decay and Energetic Determination
3.8. Synergistic Effect
3.9. Evolution of Primary Aromatic Products
3.10. Response Surface Analysis
3.11. Effect of Process Variables
4. Conclusions
Author Contributions
Funding
Data Availability Statement
Acknowledgments
Conflicts of Interest
References
- Muhammad, M.; Shah, J.; Jan, M.R.; Ara, B.; Khan, M.M.; Jan, A. Spectrofluorimetric Method for Quantification of Triazine Herbicides in Agricultural Matrices. Anal. Sci. 2016, 32, 313–316. [Google Scholar] [CrossRef] [PubMed]
- Quednow, K.; Püttmann, W. Temporal concentration changes of DEET, TCEP, terbutryn, and nonylphenols in freshwater streams of Hesse, Germany: Possible influence of mandatory regulations and voluntary environmental agreements. Environ. Sci. Pollut. Res. 2009, 16, 844–850. [Google Scholar] [CrossRef] [PubMed]
- Roccamante, M.; Salmerón, I.; Ruiz, A.; Oller, I.; Malato, S. New Approaches to Solar Advanced Oxidation Processes for Elimination of Priority Substances Based on Electrooxidation and Ozonation at Pilot Plant Scale. Catal. Today 2020, 355, 844–850. [Google Scholar] [CrossRef]
- Hansen, A.M.; Treviño-Quintanilla, L.G.; Márquez-Pacheco, H.; Villada-Canela, M.; González-Márquez, L.C.; Guillén-Garcés, R.A.; Hernández-Antonio, A. Atrazina: Un Herbicida Polémico. Rev. Int. Contam. Ambient. 2013, 29, 65–84. Available online: https://www.redalyc.org/pdf/370/37028958004.pdf (accessed on 12 November 2024).
- Andrade-Rivas, F.; Paul, N.; Spiegel, J.; Henderson, S.B.; Parrott, L.; Delgado-Ron, J.A.; Echeverri, A.; van den Bosch, M. Mapping Potential Population-Level Pesticide Exposures in Ecuador Using a Modular and Scalable Geospatial Strategy. GeoHealth 2023, 7, e2022GH000775. [Google Scholar] [CrossRef]
- Simoneaux, B.J.; Gould, T.J. Plant Uptake and Metabolism of Triazine Herbicides. Triazine Herbic. 2008, 50, 73–99. [Google Scholar] [CrossRef]
- Paíga, P.; Sousa, S.; Vera, J.; Bitencourt, L.; Vieria, J.; Jorge, S.; Silva, J.; Correia, M.; Dominguez, V.; Delerue, C. Multi-residue analysis of fifty pesticides in river waters and in wastewaters. Environ. Sci. Pollut. Res. 2021, 47, 66787–66803. [Google Scholar] [CrossRef]
- Salmerón, I.; Sharma, P.K.; Polo-López, M.I.; Tolosana, A.; McMichael, S.; Oller, I.; Byrne, J.A.; Fernández-Ibáñez, P. Electrochemically Assisted Photocatalysis for the Simultaneous Degradation of Organic Micro-Contaminants and Inactivation of Microorganisms in Water. Process. Saf. Environ. Prot. 2021, 147, 488–496. [Google Scholar] [CrossRef]
- Ravi, P.; Thirugnanam, P.; Rajabathar, J.; Al-Lohedan, H.; Jenifer, S.; Karnan, M. Rapid Multi-Residue Method for Simultaneous Determination of 1,3,5-Triazine Herbicides in Environmental Samples by Capillary GC-MS-EI Selective Ion Monitoring Method. Separations 2023, 10, 363. [Google Scholar] [CrossRef]
- Westlund, P.; Isazadeh, S.; Therrien, A.; Yargeau, V. Endocrine Activities of Pesticides During Ozonation of Waters. Bull. Environ. Contam. Toxicol. 2018, 100, 112–119. [Google Scholar] [CrossRef]
- Salmerón, I.; Rivas, G.; Oller, I.; Martínez-Piernas, A.; Agüera, A.; Malato, S. Nanofiltration Retentate Treatment from Urban Wastewater Secondary Effluent by Solar Electrochemical Oxidation Processes. Sep. Purif. Technol. 2021, 254, 117614. [Google Scholar] [CrossRef]
- Moreira, F.C.; Boaventura, R.A.R.; Brillas, E.; Vilar, V.J.P. Electrochemical Advanced Oxidation Processes: A Review on Their Application to Synthetic and Real Wastewaters. Appl. Catal. B Environ. 2017, 202, 217–261. [Google Scholar] [CrossRef]
- Brillas, E. A Review on the Photoelectro-Fenton Process as Efficient Electrochemical Advanced Oxidation for Wastewater Remediation. Treatment with UV Light, Sunlight, and Coupling with Conventional and Other Photo-Assisted Advanced Technologies. Chemosphere 2020, 250, 126198. [Google Scholar] [CrossRef] [PubMed]
- Shoorangiz, M.; Nikoo, M.; Salari, M.; Rakhshandehroo, G.; Sadegh, M. Optimized electro-Fenton process with sacrificial stainless-steel anode for degradation/mineralization of ciprofloxacin. Process Saf. Environ. Prot. 2019, 132, 340–350. [Google Scholar] [CrossRef]
- de Paiva Barreto, J.P.; de Freitas Araújo, K.C.; de Araújo, D.M.; Martinez-Huitle, C.A. Effect of Sp3/Sp2 Ratio on Boron Doped Diamond Films for Producing Persulfate. ECS Electrochem. Lett. 2015, 4, E9–E11. [Google Scholar] [CrossRef]
- Souza, F.L.; Rocha, R.S.; Ferreira, N.G.; Rodrigo, M.A.; Lanza, M.R.D.V. Effects of Coupling Hybrid Processes on the Treatment of Wastewater Containing a Commercial Mixture of Diuron and Hexazinone Herbicides. Electrochim. Acta 2019, 328, 135013. [Google Scholar] [CrossRef]
- PLM. Diccionario de Especialidades Agroquímicas, 3rd ed.; PLM: Ciudad de México, México, 2012; Volume 1. [Google Scholar]
- Zarei, M.; Khataee, A.; Fathinia, M.; Seyyednajafi, F.; Ranjbar, H. Combination of Nanophotocatalysis with Electro-Fenton-like Process in the Removal of Phenol from Aqueous Solution: GC Analysis and Response Surface Approach. Int. J. Ind. Chem. 2012, 3, 27. [Google Scholar] [CrossRef]
- Bedolla-Guzman, A.; Sirés, I.; Thiam, A.; Peralta-Hernández, J.M.; Gutiérrez-Granados, S.; Brillas, E. Application of anodic oxidation, electro-Fenton and UVA photoelectro-Fenton to decolorize and mineralize acidic solutions of Reactive Yellow 160 azo dye. Electrochim. Acta 2016, 206, 307–316. [Google Scholar] [CrossRef]
- Oriol, R.; Sirés, I.; Brillas, E.; De Andrade, A.R. A Hybrid Photoelectrocatalytic/Photoelectro-Fenton Treatment of Indigo Carmine in Acidic Aqueous Solution Using TiO2 Nanotube Arrays as Photoanode. J. Electroanal. Chem. 2019, 847, 113088. [Google Scholar] [CrossRef]
- Espinola-Portilla, F.; Navarro-Mendoza, R.; Gutiérrez-Granados, S.; Morales-Muñoz, U.; Brillas-Coso, E.; Peralta-Hernández, J.M. A Simple Process for the Deposition of TiO2 onto BDD by Electrophoresis and Its Application to the Photoelectrocatalysis of Acid Blue 80 Dye. J. Electroanal. Chem. 2017, 802, 57–63. [Google Scholar] [CrossRef]
- Fajardo, A.S.; dos Santos, A.J.; de Araújo Costa, E.C.T.; da Silva, D.R.; Martínez-Huitle, C.A. Effect of Anodic Materials on Solar Photoelectro-Fenton Process Using a Diazo Dye as a Model Contaminant. Chemosphere 2019, 225, 880–889. [Google Scholar] [CrossRef]
- Ou, B.; Wang, J.; Wu, Y.; Zhao, S.; Wang, Z. Treatment of Polyaniline Wastewater by Coupling of Photoelectro-Fenton and Heterogeneous Photocatalysis with Black TiO2 Nanotubes. ACS Omega 2019, 4, 9664–9672. [Google Scholar] [CrossRef]
- Villaseñor-Basulto, D.L.; Picos-Benítez, A.; Pacheco-Alvarez, M.; Pérez, T.; Bandala, E.R.; Peralta-Hernández, J.M. Tannery Wastewater Treatment Using Combined Electrocoagulation and Electro-Fenton Processes. J. Environ. Chem. Eng. 2022, 10, 107290. [Google Scholar] [CrossRef]
- Paz, E.; Pinheiro, V.; Aveiro, L.; Souza, F.; Lanza, M.; Santos, M. Hydrogen peroxide electrogeneration by gas diffusion electrode modified with tungsten oxide nanoparticles for degradation of orange II and sunset yellow FCF azo dyes. J. Braz. Chem. Soc. 2019, 30, 1964–1975. [Google Scholar] [CrossRef]
- Garcia-Segura, S.; Keller, J.; Brillas, E.; Radjenovic, J. Removal of Organic Contaminants from Secondary Effluent by Anodic Oxidation with a Boron-Doped Diamond Anode as Tertiary Treatment. J. Hazard. Mater. 2015, 283, 551–557. [Google Scholar] [CrossRef]
- Liu, Y.; Hu, C.; Lo, S. Direct and indirect electrochemical oxidation of amine-containing pharmaceuticals using graphite electrodes. J. Hazard. Mater. 2019, 366, 592–605. [Google Scholar] [CrossRef]
- Coha, M.; Farinelli, G.; Tiraferri, A.; Minella, M.; Vione, D. Advanced oxidation processes in the removal of organic substances from produced water: Potential, configurations, and research needs. Chem. Eng. J. 2021, 414, 128668. [Google Scholar] [CrossRef]
- Clematis, D.; Panizza, M. Application of Boron-Doped Diamond Electrodes for Electrochemical Oxidation of Real Wastewaters. Curr. Opin. Electrochem. 2021, 30, 100844. [Google Scholar] [CrossRef]
- Flores, N.; Sharif, F.; Yasri, N.; Brillas, E.; Sirés, I.; Roberts, E.P.L. Removal of Tyrosol from Water by Adsorption on Carbonaceous Materials and Electrochemical Advanced Oxidation Processes. Chemosphere 2018, 201, 807–815. [Google Scholar] [CrossRef]
- Cruz-González, K.; Torres-López, O.; García-León, A.; Guzmán-Mar, J.L.; Reyes, L.H.; Hernández-Ramírez, A.; Peralta-Hernández, J.M. Determination of Optimum Operating Parameters for Acid Yellow 36 Decolorization by Electro-Fenton Process Using BDD Cathode. Chem. Eng. J. 2010, 160, 199–206. [Google Scholar] [CrossRef]
- García, O.; Isarain-Chávez, E.; Garcia-Segura, S.; Brillas, E.; Peralta-Hernández, J.M. Degradation of 2,4-Dichlorophenoxyacetic Acid by Electro-Oxidation and Electro-Fenton/BDD Processes Using a Pre-Pilot Plant. Electrocatalysis 2013, 4, 224–234. [Google Scholar] [CrossRef]
- Isarain-Chávez, E.; de la Rosa, C.; Martínez-Huitle, C.A.; Peralta-Hernández, J.M. On-Site Hydrogen Peroxide Production at Pilot Flow Plant: Application to Electro-Fenton Process. Int. J. Electrochem. Sci. 2013, 8, 3084–3094. [Google Scholar] [CrossRef]
- García-Espinoza, J.; Mijaylova-Nacheva, P.; Avilés-Flores, M. Electrochemical carbamazepine degradation: Effect of the generated active chlorine, transformation pathways and toxicity. Chemosphere 2017, 192, 142–151. [Google Scholar] [CrossRef] [PubMed]
- dos Santos, A.J.; de Lima, M.D.; da Silva, D.R.; Garcia-Segura, S.; Martínez-Huitle, C.A. Influence of the Water Hardness on the Performance of Electro-Fenton Approach: Decolorization and Mineralization of Eriochrome Black T. Electrochim. Acta 2016, 208, 156–163. [Google Scholar] [CrossRef]
- da Costa Soares, I.C.; da Silva, Á.R.L.; de Moura Santos, E.C.M.; dos Santos, E.V.; da Silva, D.R.; Martínez-Huitle, C.A. Understanding the Electrochemical Oxidation of Dyes on Platinum and Boron–Doped Diamond Electrode Surfaces: Experimental and Computational Study. J. Solid State Electrochem. 2020, 24, 3245–3256. [Google Scholar] [CrossRef]
- Oturan, M.A.; Aaron, J.J. Advanced Oxidation Processes in Water/Wastewater Treatment: Principles and Applications. A Review. Crit. Rev. Environ. Sci. Technol. 2014, 44, 2577–2641. [Google Scholar] [CrossRef]
- El-Ghenymy, A.; Rodríguez, R.M.; Brillas, E.; Oturan, N.; Oturan, M.A. Electro-Fenton Degradation of the Antibiotic Sulfanilamide with Pt/Carbon-Felt and BDD/Carbon-Felt Cells. Kinetics, Reaction Intermediates, and Toxicity Assessment. Environ. Sci. Pollut. Res. 2014, 21, 8368–8378. [Google Scholar] [CrossRef]
- Ma, L.; Zhou, M.; Ren, G.; Yang, W.; Liang, L. A Highly Energy-Efficient Flow-through Electro-Fenton Process for Organic Pollutants Degradation. Electrochim. Acta 2016, 200, 222–230. [Google Scholar] [CrossRef]
- Paramo-Vargas, J.; Camargo, A.; Gutierrez-Granados, S.; Godinez, L.; Peralta-Hernandez, J.M. Applying electro-Fenton process as an alternative to a slaughterhouse effluent treatment. J. Electroanal. Chem. 2015, 754, 80–86. [Google Scholar] [CrossRef]
- Paramo-Vargas, J.; Isarain-Chávez, E.; De La Rosa, C.; Martinez-Huitle, C.; Peralta-Hernández, J.M. Treatment by advanced oxidation processes for an effluent of an anaerobic digester from a slaughterhouse. Sustain. Environ. Res. 2015, 25, 195–205. [Google Scholar] [CrossRef]
- Noman, E.A.; Al-Gheethi, A.; Mohamed, R.M.S.R.; Talip, B.A.; Hossain, S.; Altowayti, W.A.H.; Ismail, N. Sustainable Approaches for Removal of Cephalexin Antibiotic from Non-Clinical Environments: A Critical Review. J. Hazard. Mater. 2021, 417, 126040. [Google Scholar] [CrossRef] [PubMed]
- Alcocer, S.; Picos, A.; Uribe, A.R.; Pérez, T.; Peralta-Hernández, J.M. Comparative Study for Degradation of Industrial Dyes by Electrochemical Advanced Oxidation Processes with BDD Anode in a Laboratory Stirred Tank Reactor. Chemosphere 2018, 205, 682–689. [Google Scholar] [CrossRef] [PubMed]
- Solano, A.; Martínez-Huitle, C.; Garcia-Segura, S.; El-Ghenymy, A.; Brillas, E. Application of electrochemical advanced oxidation processes with a boron-doped diamond anode to degrade acidic solutions of Reactive Blue 15 (Turqueoise Blue) dye. Electrochim. Acta 2016, 197, 210–220. [Google Scholar] [CrossRef]
- Moreira, F.; Garcia-Segura, S.; Vilar, V.J.; Boaventura, R.A.; Brillas, E. Decolorization and mineralization of Sunset Yellow FCF azo dye by anodic oxidation, electro-Fenton, UVA photoelectro-Fenton and solar photoelectro-Fenton processes. Appl. Catal. B Environ. 2013, 142, 877–890. [Google Scholar] [CrossRef]
- Garcia-Segura, S.; Lima, Á.S.; Cavalcanti, E.B.; Brillas, E. Anodic Oxidation, Electro-Fenton and Photoelectro-Fenton Degradations of Pyridinium- and Imidazolium-Based Ionic Liquids in Waters Using a BDD/Air-Diffusion Cell. Electrochim. Acta 2016, 198, 268–279. [Google Scholar] [CrossRef]
- Liu, C.; Huang, C.; Juang, Y.; Hu, C.; Huang, C. Graphite Supported Stainless-Steel Electrode for the Degradation of Azo Dye Orange G by Fenton Reactions: Effect of Photo-Irradiation. J. Environ. Eng. 2019, 145, 1–9. [Google Scholar] [CrossRef]
- Xu, J.; Olvera-Vargas, H.; Teo, F.; Lefebvre, O. A comparison of visible-light photocatalysts for solar photoelectrocatalysis coupled to solar photoelectro-Fenton: Application to the degradation of the pesticide simazine. Chemosphere 2021, 276, 130138. [Google Scholar] [CrossRef]
- Inticher, J.J.; Cabrera, L.C.; Guimarães, R.E.; Zorzo, C.F.; Pellenz, L.; Seibert, D.; Borba, F.H. Advanced Treatment of Water Contaminated with Atrazine, Difenoconazole and Fipronil Mixture, Its by-products and Bio-Toxicity Levels. J. Environ. Chem. Eng. 2021, 9, 105883. [Google Scholar] [CrossRef]
- Flox, C.; Garrido, J.A.; Rodríguez, R.; Centellas, F.; Cabot, R.L.; Arias, C.; Brillas, E. Degradation of 4,6-dinitro-o-cresol from water by anodic oxidation with a boron-doped diamond electrode. Electrochim. Acta 2005, 50, 3685–3692. [Google Scholar] [CrossRef]
- Isaev, A.B.; Magomedova, A.G. Advanced Oxidation Processes Based Emerging Technologies for Dye Wastewater Treatment. Mosc. Univ. Chem. Bull. 2022, 77, 181–196. [Google Scholar] [CrossRef]
- Crispim, A.C.; de Araújo, D.M.; Martínez-Huitle, C.A.; Souza, F.L.; dos Santos, E.V. Application of Electro-Fenton and Photoelectro-Fenton Processes for the Degradation of Contaminants in Landfill Leachate. Environ. Res. 2022, 213, 113552. [Google Scholar] [CrossRef] [PubMed]
- Pacheco-álvarez, M.; Rodríguez-Narváez, O.M.; Wrobel, K.; Navarro-Mendoza, R.; Nava-Montes de Oca, J.; Peralta-Hernández, J.M. Improvement of the degradation of Methyl Orange Using a TiO2/BDD composite electrode to promote electrochemical and photoelectro-oxidation processes. Int. J. Electrochem. Sci. 2018, 13, 11549–11567. [Google Scholar] [CrossRef]
- Lányi, K.; Dinya, Z. Photodegradation study of some triazine-type herbicides. Microchem. J. 2003, 75, 1–13. [Google Scholar] [CrossRef]
- Kiss, A.; Rapi, S.; Csutorás, C. GC/MS studies on revealing products and reaction mechanism of photodegradation of pesticides. Microchem. J. 2007, 85, 13–20. [Google Scholar] [CrossRef]
- Hensen, B.; Olsson, O.; Kümmerer, K. The role of irradiation source setups and indirect phototransformation: Kinetic aspects and the formation of transformation products of weakly sunlight-absorbing pesticides. Sci. Total Environ. 2019, 695, 133808. [Google Scholar] [CrossRef]
- Bollmann, U.E.; Minelgaite, G.; Schlüsener, M.; Ternes, T.; Vollertsen, J.; Bester, K. Leaching of Terbutryn and Its Photodegradation Products from Artificial Walls under Natural Weather Conditions. Environ. Sci. Technol. 2016, 50, 4289–4295. [Google Scholar] [CrossRef]
- GilPavas, E.; Dobrosz-Gómez, I.; Gómez-García, M. Optimization of solar-driven photo-electro-Fenton process for the treatment of textile industrial wastewater. J. Water Process Eng. 2018, 24, 49–55. [Google Scholar] [CrossRef]
- Barhoumi, N.; Olvera-Vargas, H.; Oturan, N.; Huguenot, D.; Gadri, A.; Ammar, S.; Brillas, E.; Oturan, M.A. Environmental Kinetics of Oxidative Degradation / Mineralization Pathways of the Antibiotic Tetracycline by the Novel Heterogeneous Electro-Fenton Process with Solid Catalyst Chalcopyrite. Appl. Catal. B Environ. 2017, 209, 637–647. [Google Scholar] [CrossRef]















| Parameter | Feature | Reference |
|---|---|---|
| Name | 2-N-tert-butyl-4-Nethyl-6-methylsulfanyl-1,3,5-triazine-2,4-diamine | [6] |
| Molecular formula | C10H19N5S | [6] |
| Chemical structure | ![]() | [7] |
| Molecular weight (fw) | 241.36 g mol−1 | [9] |
| Melting point (mp) | 104 °C | [9] |
| Solubility in water at 25 C (sw) | 51 mg L−1 | [9] |
| Half-life (by biodegradation) | 5824 days | [9] |
| Henry’s law constant (KH) | 1.15 × 10−8 Atm m3 mol−1 | [9] |
| Negative logarithm of dissociation constant (pKa) | 4.3 | [9] |
| Octanol/water partion coefficient logarithm (log Kow) | 3.74 | [9] |
| Animal testing, acute toxicity, rabbit dermal LD 50 | >10,200 mg Kg−1 | [9] |
| Animal testing, acute toxicity, mouse oral LD50 | 3884 mg Kg−1 | [9] |
| Carcinogenicity IARC | Negative | [9] |
| EAOP | Electrochemical System | Electrodes (Anode–Cathode) | % Degradation | Electrolysis Time (min) | Current Density | C0 of TBT | Reference |
|---|---|---|---|---|---|---|---|
| Anodic Oxidation | Pilot plant (30 L) | BDD–gas diffusion | 84.1 | 75 | 73.6 mA cm−2 | 200 μg L−1 | [3] |
| Electro-Fenton | Pilot plant (30 L) | BDD–gas diffusion | 84.2 | 45 | 73.6 mA cm−2 | 200 μg L−1 | [3] |
| Electrochemically Assisted Photocatalysis | Electrochemical cell (0.19 L) | Ti/TiO2–carbon felt | 63 | 60 | 12.5 μA cm−2 | 500 μg L−1 | [8] |
| Anodic Oxidation | Pilot plant (30 L) | BDD–carbon PTEF | 70 | 30 | 74 mA cm−2 | 500 μg L−1 | [11] |
| Electro-Fenton | Pilot plant (30 L) | BDD–carbon PTEF | 88 | 30 | 74 mA cm−2 | 200 μg L−1 | [11] |
| Solar Photoelectro-Fenton | Pilot plant (75 L) | BDD–carbon PTEF | 85 | 180 | 74 mA cm−2 | 500 μg L−1 | [11] |
| Parameter | Value |
|---|---|
| Total dissolved solids | 233 mg L−1 |
| Temperature | 23–26 °C |
| Salinity | 0.042% |
| Specific density | 1.000 |
| pH | 7.4 |
| Oxidation–reduction potential | 144 mV–152 mV |
| Electrical conductivity | 487 μS cm−1 |
| Total hardness | 78.046 mg L−1 |
| Harness to Mg | 19.451 mg L−1 |
| Hardness to Ca | 58.046 mg L−1 |
| Electrode Length, L | 16 cm |
| Electrode height, B | 4 cm |
| Electrode spacing, S | 0.55 cm |
| Anode area, BDD | 64 cm2 |
| Cathode area, BDD and stainless steel | 64 cm2 |
| Independent Factor | Unit | Level of the Factor | ||
|---|---|---|---|---|
| −1 | 0 | 1 | ||
| Current density | mA cm−2 | 7 | 15 | 31 |
| Fe2+ catalyst | mM | 0.5 | 0.7 | 0.9 |
| TBT initial concentration | mg L−1 | 25 | 50 | 100 |
| EAOP | Experimental Conditions | K (min−1) (R2 = 0.999) | Energy Consumption | Reference |
|---|---|---|---|---|
| AO | E time 75 min. j = 73.6 mA cm−2. Removal = 84.1%. | [3] | ||
| EF | E time 45 min. j = 73.6 mA cm−2. [Fe2+] = 0.5 mM. Removal = 84.2%. | 3.45 kWh m−3 | [3] | |
| PEC | E time 60 min. j = 12.5 uA cm−2. Removal = 63%. | 0.0115 | [8] | |
| AO | E time 30 min. j = 74 mA cm−2. Removal = 70%. | 13.9 kWh m−3 | [11] | |
| EF | E time 30 min. j = 74 mA cm−2. [Fe2+] = 0.1 mM. Removal = 88%. | 15.6 kWh m−3 | [11] | |
| SPEF | E time 180 min. j = 74 mA cm−2. [Fe2+] = 0.1 mM. Removal = 85%. | 5.9 kWh m−3 | [11] | |
| AO | j = 7 mA cm−2. C0 = 25 mg L−1. Removal = 50.89%. | 0.004 | This work | |
| j = 15 mA cm−2. C0 = 25 mg L−1. Removal = 57.86%. | 0.0048 | |||
| j = 31 mA cm−2. C0 = 25 mg L−1. Removal = 67.36%. | 0.0062 | |||
| j = 7 mA cm−2. C0 = 50 mg L−1. Removal = 44.90%. | 0.0032 | |||
| j = 15 mA cm−2. C0 = 50 mg L−1. Removal = 56.80%. | 0.0046 | |||
| j = 31 mA cm−2. C0 = 50 mg L−1. Removal = 66.11%. | 0.0058 | |||
| j = 7 mA cm−2. C0 = 100 mg L−1. Removal = 31.48%. | 0.0021 | |||
| j = 15 mA cm−2. C0 = 100 mg L−1. Removal = 52.20%. | 0.0041 | |||
| j = 31 mA cm−2. C0 = 100 mg L−1. Removal = 56.31%. | 0.0046 | 0.73 kWh (g COD−1) | ||
| EF | j = 7 mA cm−2. C0 = 25 mg L−1. [Fe2+] = 0.5 mM. Removal = 99.82%. | 0.035 | This work | |
| j = 15 mA cm−2. C0 = 25 mg L−1. [Fe2+] = 0.5 mM. Removal = 99.85%. | 0.038 | |||
| j = 31 mA cm−2. C0 = 25 mg L−1. [Fe2+] = 0.5 mM. Removal = 99.98%. | 0.048 | |||
| j = 7 mA cm−2. C0 = 50 mg L−1. [Fe2+] = 0.5 mM. Removal = 93.28%. | 0.015 | |||
| j = 15 mA cm−2. C0 = 50 mg L−1. [Fe2+] = 0.5 mM. Removal = 95.31%. | 0.017 | |||
| j = 31 mA cm−2. C0 = 50 mg L−1. [Fe2+] = 0.5 mM. Removal = 97.71%. | 0.021 | |||
| j = 7 mA cm−2. C0 = 100 mg L−1. [Fe2+] = 0.5 mM. Removal = 87.35%. | 0.0114 | |||
| j = 15 mA cm−2. C0 = 100 mg L−1. [Fe2+] = 0.5 mM. Removal = 93.07%. | 0.0149 | |||
| J = 31 mA cm−2. C0 = 100 mg L−1. [Fe2+] = 0.5 mM. Removal = 98.54%. | 0.0179 | |||
| j = 7 mA cm−2. C0 = 25 mg L−1. [Fe2+] = 0.7 mM. Removal = 99.98%. | 0.049 | |||
| J = 15 mA cm−2. C0 = 25 mg L−1. [Fe2+] = 0.7 mM. Removal = 100%. | 0.052 | |||
| j = 31 mA cm−2. C0 = 25 mg L−1. [Fe2+] = 0.7 mM. Removal = 100%. | 0.0548 | |||
| j = 7 mA cm−2. C0 = 50 mg L−1. [Fe2+] = 0.7 mM. Removal = 96.42%. | 0.0184 | |||
| j = 15 mA cm−2. C0 = 50 mg L−1. [Fe2+] = 0.7 mM. Removal = 97.94%. | 0.0214 | |||
| j = 31 mA cm−2. C0 = 50 mg L−1. [Fe2+] = 0.7 mM. Removal = 99.02%. | 0.0258 | |||
| j = 7 mA cm−2. C0 = 100 mg L−1. [Fe2+] = 0.7 mM. Removal = 90.66%. | 0.013 | |||
| J = 15 mA cm−2. C0 = 100 mg L−1. [Fe2+] = 0.7 mM. Removal = 96.06%. | 0.018 | |||
| j = 31 mA cm−2. C0 = 100 mg L−1. [Fe2+] = 0.7 mM. Removal = 98.52%. | 0.0235 | |||
| j = 7 mA cm−2. C0 = 25 mg L−1. [Fe2+] = 0.9 mM. Removal = 100%. | 0.0558 | |||
| j = 15 mA cm−2. C0 = 25 mg L−1. [Fe2+] = 0.9 mM. Removal = 100%. | 0.0586 | |||
| j = 31 mA cm−2. C0 = 25 mg L−1. [Fe2+] = 0.9 mM. Removal = 100%. | 0.0628 | |||
| j = 7 mA cm−2. C0 = 50 mg L−1. [Fe2+] = 0.9 mM. Removal = 98.84%. | 0.0249 | |||
| j = 15 mA cm−2. C0 = 50 mg L−1. [Fe2+] = 0.9 mM. Removal = 99.52%. | 0.0299 | |||
| j = 31 mA cm−2. C0 = 50 mg L−1. [Fe2+] = 0.9 mM. Removal = 99.78%. | 0.0345 | |||
| j = 7 mA cm−2. C0 = 100 mg L−1. [Fe2+] = 0.9 mM. Removal = 92.62%. | 0.0142 | |||
| j = 15 mA cm−2. C0 = 100 mg L−1. [Fe2+] = 0.9 mM. Removal = 97.06%. | 0.198 | |||
| j = 31 mA cm−2. C0 = 100 mg L−1. [Fe2+] = 0.9 mM. Removal = 99.05%. | 0.026 | 0.439 kWh (g COD−1) | ||
| PEF | j = 7 mA cm−2. C0 = 25 mg L−1. [Fe2+] = 0.5 mM. Removal = 99.64%. | 0.0311 | This work | |
| j = 15 mA cm−2. C0 = 25 mg L−1. [Fe2+] = 0.5 mM. Removal = 98.81%. | 0.0342 | |||
| j = 31 mA cm−2. C0 = 25 mg L−1. [Fe2+] = 0.5 mM. Removal = 99.94%. | 0.0371 | |||
| j = 7 mA cm−2. C0 = 50 mg L−1. [Fe2+] = 0.5 mM. Removal = 93.94%. | 0.0155 | |||
| j = 15 mA cm−2. C0 = 50 mg L−1. [Fe2+] = 0.5 mM. Removal = 96.72%. | 0.019 | |||
| j = 31 mA cm−2. C0 = 50 mg L−1. [Fe2+] = 0.5 mM. Removal = 97.31%. | 0.0197 | |||
| j = 7 mA cm−2. C0 = 100 mg L−1. [Fe2+] = 0.5 mM. Removal = 90.36%. | 0.013 | |||
| j = 15 mA cm−2. C0 = 100 mg L−1. [Fe2+] = 0.5 mM. Removal = 92.91%. | 0.0147 | |||
| j = 31 mA cm−2. C0 = 100 mg L−1. [Fe2+] = 0.5 mM. Removal = 96.28%. | 0.0183 | |||
| j = 7 mA cm−2. C0 = 25 mg L−1. [Fe2+] = 0.7 mM. Removal = 99.97%. | 0.0466 | |||
| j = 15 mA cm−2. C0 = 25 mg L−1. [Fe2+] = 0.7 mM. Removal = 100%. | 0.0532 | |||
| j = 31 mA cm−2. C0 = 25 mg L−1. [Fe2+] = 0.7 mM. Removal = 100%. | 0.0556 | |||
| j = 7 mA cm−2. C0 = 50 mg L−1. [Fe2+] = 0.7 mM. Removal = 97.54%. | 0.0207 | |||
| j = 15 mA cm−2. C0 = 50 mg L−1. [Fe2+] = 0.7 mM. Removal = 98.81%. | 0.0248 | |||
| j = 31 mA cm−2. C0 = 50 mg L−1. [Fe2+] = 0.7 mM. Removal = 99.55%. | 0.0305 | |||
| j = 7 mA cm−2. C0 = 100 mg L−1. [Fe2+] = 0.7 mM. Removal = 93.37%. | 0.0152 | |||
| j = 15 mA cm−2. C0 = 100 mg L−1. [Fe2+] = 0.7 mM. Removal = 96.21%. | 0.0181 | |||
| j = 31 mA cm−2. C0 = 100 mg L−1. [Fe2+] = 0.7 mM. Removal = 98.43%. | 0.0232 | |||
| J = 7 mA cm−2. C0 = 25 mg L−1. [Fe2+] = 0.9 mM. Removal = 100%. | 0.0526 | |||
| j = 15 mA cm−2. C0 = 25 mg L−1. [Fe2+] = 0.9 mM. Removal = 100%. | 0.05840 | |||
| j = 31 mA cm−2. C0 = 25 mg L−1. [Fe2+] = 0.9 mM. Removal = 100%. | 0.0619 | |||
| j = 7 mA cm−2. C0 = 50 mg L−1. [Fe2+] = 0.9 mM. Removal = 99.05%. | 0.0265 | |||
| j = 15 mA cm−2. C0 = 50 mg L−1. [Fe2+] = 0.9 mM. Removal = 95.58%. | 0.0308 | |||
| j = 31 mA cm−2. C0 = 50 mg L−1. [Fe2+] = 0.9 mM. Removal = 97.80%. | 0.0345 | |||
| j = 7 mA cm−2. C0 = 100 mg L−1. [Fe2+] = 0.9 mM. Removal = 96.26%. | 0.0182 | |||
| j = 15 mA cm−2. C0 = 100 mg L−1. [Fe2+] = 0.9 mM. Removal = 98.37%. | 0.023 | |||
| j = 31 mA cm−2. C0 = 100 mg L−1. [Fe2+] = 0.9 mM. Removal = 99.40%. | 0.0288 | 0.372 kWh (g COD−1) |
| Model | Photoelectro-Fenton | |
|---|---|---|
| COD removal | Degradation constant removal | |
| p-value | 0.000 | 0.0001 |
| Stnd. error | 1.4163 | 0.0021 |
| R2 | 99.41 | 98.54 |
| Adjusted R2 | 99.11 | 97.76 |
| Dependent Variable | BDD |
|---|---|
| Degradation rate constant | DCR (min−1) = 0.0165672 + 0.114684*(Fe2+) + 0.000455456*(j) − 0.00140564*(TBT) − 0.0419444*(Fe2+)2 + 0.00043378*(Fe2+)*(j) − 0.00048119*(Fe2+)*(TBT) − 0.0000108507*(j)2 − 3.2568E-7*(j)*(TBT) + 0.0000109659*(TBT)2 |
| Chemical oxygen demand | %COD = 76.7696 + 44.2188*(Fe2+) + 0.699239*(j) − 1.84927*(TBT) − 6.94444*(Fe2+)2 + 0.0520833*(Fe2+)*(j) − 0.12619*(Fe2+)*(TBT) − 0.0101273*(j2) + 0.000493197*(j)*(TBT) + 0.0121481*(TBT2) |
| Source | p-Value |
|---|---|
| A: Fe2+ | 0.0001 |
| B: Current density | 0.0001 |
| C: TBT | 0.0001 |
| AB | 0.7593 |
| AC | 0.0306 |
| BC | 0.5808 |
Disclaimer/Publisher’s Note: The statements, opinions and data contained in all publications are solely those of the individual author(s) and contributor(s) and not of MDPI and/or the editor(s). MDPI and/or the editor(s) disclaim responsibility for any injury to people or property resulting from any ideas, methods, instructions or products referred to in the content. |
© 2024 by the authors. Licensee MDPI, Basel, Switzerland. This article is an open access article distributed under the terms and conditions of the Creative Commons Attribution (CC BY) license (https://creativecommons.org/licenses/by/4.0/).
Share and Cite
Bravo-Yumi, N.; Pacheco-Alvarez, M.O.A.; Barrera-Díaz, C.E.; Peralta-Hernández, J.M. Unveiling Synergistic Effects for the Optimizing Photoelectro-Fenton Process for Enhanced Terbutryn Herbicide Degradation. Water 2024, 16, 3320. https://doi.org/10.3390/w16223320
Bravo-Yumi N, Pacheco-Alvarez MOA, Barrera-Díaz CE, Peralta-Hernández JM. Unveiling Synergistic Effects for the Optimizing Photoelectro-Fenton Process for Enhanced Terbutryn Herbicide Degradation. Water. 2024; 16(22):3320. https://doi.org/10.3390/w16223320
Chicago/Turabian StyleBravo-Yumi, Nelson, Martin O. A. Pacheco-Alvarez, Carlos E. Barrera-Díaz, and Juan M. Peralta-Hernández. 2024. "Unveiling Synergistic Effects for the Optimizing Photoelectro-Fenton Process for Enhanced Terbutryn Herbicide Degradation" Water 16, no. 22: 3320. https://doi.org/10.3390/w16223320
APA StyleBravo-Yumi, N., Pacheco-Alvarez, M. O. A., Barrera-Díaz, C. E., & Peralta-Hernández, J. M. (2024). Unveiling Synergistic Effects for the Optimizing Photoelectro-Fenton Process for Enhanced Terbutryn Herbicide Degradation. Water, 16(22), 3320. https://doi.org/10.3390/w16223320


