Analysis of Key Environmental Variables Affecting Fish Communities and Species Distribution in Asian Lotic Ecosystems
Abstract
1. Introduction
2. Materials and Methods
2.1. Study Area
2.2. Data Collection
2.3. Data Analysis
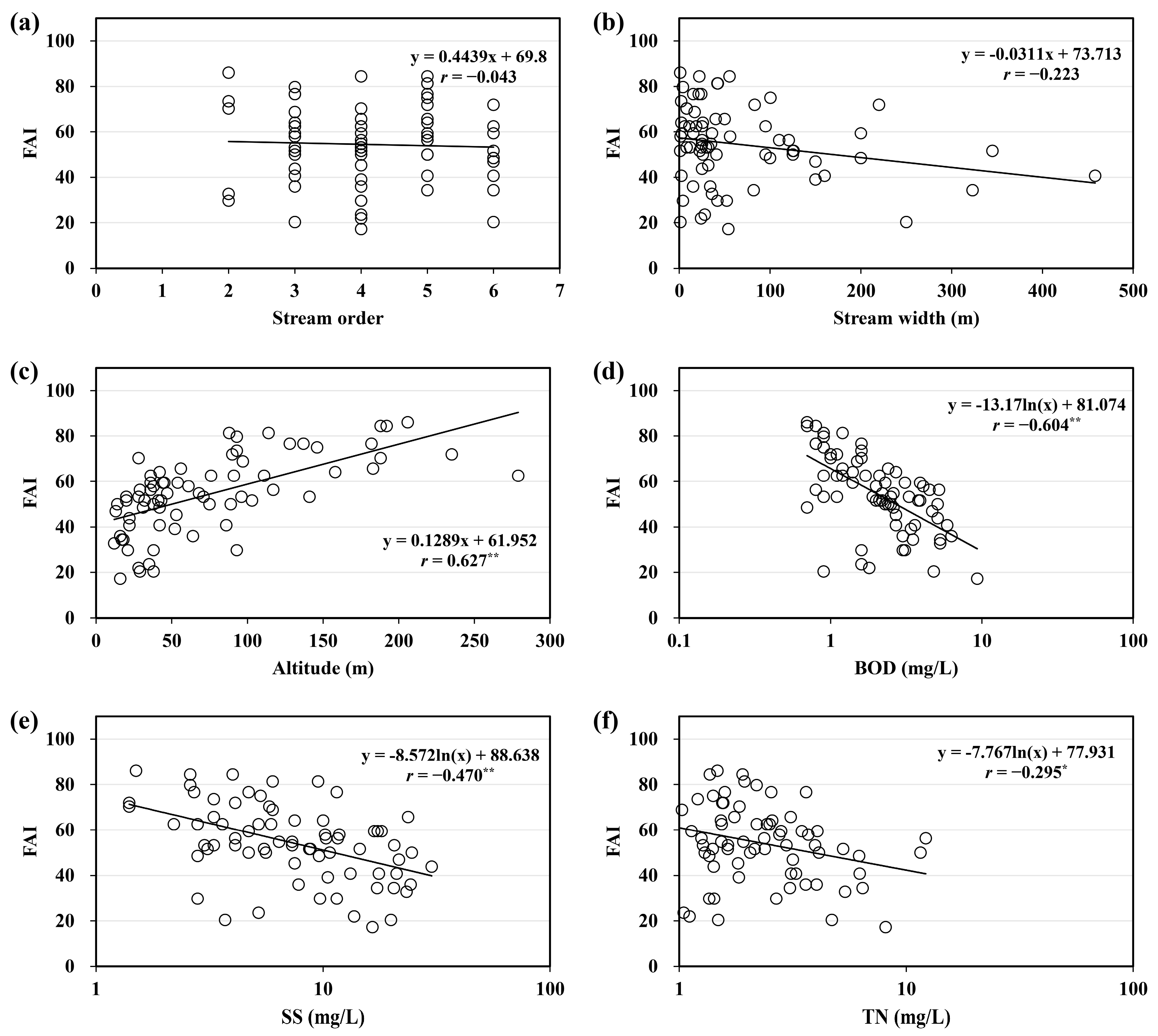
3. Results and Discussion
3.1. Overview of Environmental Variables at Sampling Sites
3.2. Fish Species Composition and Distribution Characteristics in the Geumgang River
3.3. Typology of Fish Communities in the Geumgang River Watershed Based on Species Composition
3.3.1. Characteristics of Environmental Variables in Cluster Groups
3.3.2. Distribution of Fish Community Metrics by Cluster Group
3.3.3. Indicator Species Representing Cluster Groups
3.3.4. Biological Water Environment Assessment
4. Conclusions
Supplementary Materials
Author Contributions
Funding
Data Availability Statement
Acknowledgments
Conflicts of Interest
References
- Dudgeon, D.; Arthington, A.H.; Gessner, M.O.; Kawabata, Z.I.; Knowler, D.J.; Lévêque, C.; Naiman, R.J.; Prieur-Richard, A.H.; Soto, D.; Stiassny, M.L.J.; et al. Freshwater biodiversity: Importance, threats, status and conservation challenges. Biol. Rev. Camb. Philos. Soc. 2006, 81, 163–182. [Google Scholar] [CrossRef] [PubMed]
- Vannote, R.L.; Minshall, G.W.; Cummins, K.W.; Sedell, J.R.; Cushing, C.E. The river continuum concept. Can. J. Fish. Aquat. Sci. 1980, 37, 130–137. [Google Scholar] [CrossRef]
- Allan, J.D.; Castillo, M.M. Stream Ecology: Structure and Function of Running Waters; Springer: Dordrecht, The Netherlands, 2007; p. 436. [Google Scholar]
- Bang, I.C.; Ko, M.H.; Moon, S.J.; Lee, S.J. Community structure of fish and inhabiting status of endangered species, Cobitis choii and Gobiobotia naktongensis in the Ji stream, a tributary of the Geum River drainage system of Korea. Korean J. Limnol. 2012, 45, 356–367. [Google Scholar] [CrossRef]
- Tamai, N.; Okuda, S.; Nakamura, S. Assessing Riverine Environments for Habitat Suitability on the Basis of Natural Potential; University of Tokyo Press: Tokyo, Japan, 2000; 270p. [Google Scholar]
- Woo, H.S.; Lee, J.W.; Kim, K.H. Development of a method for determination of instream flow needs required for fish habitat conservation-application to the Keum river. J. Korean Soc. Civ. Eng. Res. 1998, 18, 339. [Google Scholar]
- Gorman, O.T.; Karr, J.R. Habitat structure and stream fish communities. Ecology 1978, 59, 507–515. [Google Scholar] [CrossRef]
- Angermeier, P.L.; Winston, M.R. Local vs. regional influences on local diversity in stream fish communities of Virginia. Ecology 1998, 79, 911–927. [Google Scholar] [CrossRef]
- Tesfay Gebrekiros, S.T. Factors affecting stream fish community composition and habitat suitability. J. Aquac. Mar. Biol. 2016, 4, 00076. [Google Scholar] [CrossRef]
- Angermeier, P.L.; Karr, J.R. Applying an index of biotic integrity based on stream—Fish communities: Considerations in sampling and interpretation. N. Am. J. Fish. Manag. 1986, 6, 418–429. [Google Scholar] [CrossRef]
- Karr, J.R. Assessment of biotic integrity using fish communities. Fisheries 1981, 6, 21–27. [Google Scholar] [CrossRef]
- Krause, J.R.; Bertrand, K.N.; Kafle, A.; Troelstrup, N.H., Jr. A fish index of biotic integrity for South Dakota’s Northern Glaciated Plains ecoregion. Ecol. Indic. 2013, 34, 313–322. [Google Scholar] [CrossRef]
- Li, T.; Huang, X.; Jiang, X.; Wang, X. Assessment of ecosystem health of the Yellow River with fish index of biotic integrity. Hydrobiologia 2018, 814, 31–43. [Google Scholar] [CrossRef]
- Hur, J.W.; Kim, D.H.; Kang, H. Estimation of optimal ecological flowrate of fish in Chogang stream. Ecol. Resilient Infrastruct. 2014, 1, 39–48. [Google Scholar] [CrossRef][Green Version]
- Kong, D.; Son, S.H.; Kim, J.Y.; Kim, P.; Kwon, Y.; Kim, J.; Kim, Y.J.; Min, J.K.; Kim, A.R. Estimation of habitat suitability index of fish species in the Gapyeong stream. J. Korean Soc. Water Environ. 2017, 33, 626–639. [Google Scholar] [CrossRef]
- Teal, L.R.; Marras, S.; Peck, M.A.; Domenici, P. Physiology-based modelling approaches to characterize fish habitat suitability: Their usefulness and limitations. Estuar. Coast. Shelf Sci. 2018, 201, 56–63. [Google Scholar] [CrossRef]
- Han, M.S.; Choi, K.S.; Ko, M.H. Has the Restoration Project of Pseudopungtungia tenuicorpa (Pisces: Cyprinidae) in the Jojongcheon Stream, Hangang River Failed? Korean J. Ichthyol. 2020, 32, 182–190. [Google Scholar] [CrossRef]
- Ko, M.H.; Lee, I.R.; Bang, I.C. Distribution status and estimation of population size of the endangered species, Cobitis choii (Pisces: Cobitidae) in Guem River, Korea. Korean J. Ichthyol. 2012, 24, 56–61. [Google Scholar]
- Ko, M.H.; Han, M.S.; Myung, R.Y.; Yun, H.J. Fish community characteristics and habitats aspects of endangered species Pseudopungtungia tenuicorpa and Acheilognathus signifer in the Hwayangcheon Stream, Hangang River of Songnisan National Park, Korea. Korean J. Ichthyol. 2019, 31, 222–234. [Google Scholar] [CrossRef]
- Baldigo, B.P.; Sporn, L.A.; George, S.D.; Ball, J.A. Efficacy of environmental DNA to detect and quantify brook trout populations in headwater streams of the Adirondack Mountains, New York. Trans. Am. Fish. Soc. 2017, 146, 99–111. [Google Scholar] [CrossRef]
- Schumer, G.; Crowley, K.; Maltz, E.; Johnston, M.; Anders, P.; Blankenship, S. Utilizing environmental DNA for fish eradication effectiveness monitoring in streams. Biol. Invasions 2019, 21, 3415–3426. [Google Scholar] [CrossRef]
- Kim, N.S.; Yoon, J.D.; Lee, S.E.; Park, Y.J.; Woo, S.H. A study on the residual microplastics in freshwater and fishes in the Geum River watershed. Korean J. Ecol. Environ. 2019, 52, 28–39. [Google Scholar] [CrossRef]
- Wang, W.; Ge, J.; Yu, X. Bioavailability and toxicity of microplastics to fish species: A review. Ecotoxicol. Environ. Saf. 2020, 189, 109913. [Google Scholar] [CrossRef] [PubMed]
- Bae, E.; Jung, J. Prediction of shift in fish distributions in the Geum River Watershed under climate change. Ecol. Resilient Infrastruct. 2015, 2, 198–205. [Google Scholar] [CrossRef][Green Version]
- Seo, J.W.; Hong, Y.P.; Kim, J.K.; Park, S.Y.; Kim, G.H.; Ko, I.H. Change of fish assemblage with altered flow regime in Geum River. Korea water resources association. In Proceedings of the Korea Water Resources Association Conference, Gangwon, Republic of Korea, 25 May 2007. [Google Scholar]
- Yoon, J.D.; Kim, J.H.; Park, S.H.; Jang, M.H. The distribution and diversity of freshwater fishes in Korean Peninsula. Korean J. Ecol. Environ. 2018, 51, 71–85. [Google Scholar] [CrossRef]
- Shim, M.J.; Yoon, S.C.; Yoon, Y.Y. The influence of dam construction on water quality in the lower Geum River, Korea. Environ. Qual. Manag. 2018, 28, 113–121. [Google Scholar] [CrossRef]
- Han, J.H.; An, K.G. Chemical Water quality and fish community characteristics in the Mid to Downstream reach of Geum River. Korean J. Environ. Biol. 2013, 31, 180–188. [Google Scholar] [CrossRef]
- Park, Y.J.; Lee, S.J.; An, K.G. Analysis of fish ecology and water quality for health assessments of Geum-River watershed. Korean J. Environ. Ecol. 2019, 33, 187–201. [Google Scholar] [CrossRef]
- Ministry of Environment (MOE); National Institute of Environmental Research (NIER). Survey of Aquatic Ecosystem Changes by Discharge of the Weirs in 4 Major Rivers (III); Ministry of Environment and National Institute of Environmental Research: Incheon, Republic of Korea, 2020; p. 976.
- Hur, J.W.; Park, J.W.; Kim, J.K. The fish fauna and community of Chogang stream, Korea. Korean J. Ecol. Environ. 2010, 43, 271–278. [Google Scholar]
- Lee, D.J.; Byeon, H.K.; Choi, J.K. Characteristics of fish community in Gap Stream by habitat type. Korean J. Ecol. Environ. 2009, 42, 340–349. [Google Scholar]
- Son, Y.M.; Byeon, H.K. The ichthyofauna and dynamics of the fish community in Miho stream, Korea. Korean J. Ichthyol. 2005, 17, 271–278. [Google Scholar]
- Na, H.H.; Lee, S.J.; An, K.G. The influence of chemical water quality on fish trophic guilds, pollution tolerance, and multi-metric ecological health in the main streams of Mangyeong River. Korean J. Environ. Biol. 2019, 37, 8–18. [Google Scholar] [CrossRef]
- Lee, S.H.; Heo, I.H.; Lee, K.M.; Kwon, W.T. Classification of local climatic regions in Korea. J. Korean Meteorol. Soc. 2005, 41, 983–995. [Google Scholar]
- Lee, K.S.; Ryu, J.K.; Ahn, S.J. Change of regime coefficient due to dredging and dam construction. J. Korean Environ. Dred. Società 2014, 4, 30–38. [Google Scholar]
- Kim, J.Y.; Kim, P.J.; Hwang, S.J.; Lee, J.K.; Lee, S.W.; Park, C.H.; Moon, J.S.; Kong, D.S. Korean stream types based on benthic macroinvertebrate communities according to stream size and altitude. J. Freshw. Ecol. 2017, 32, 741–759. [Google Scholar] [CrossRef]
- Li, F.; Chung, N.; Bae, M.J.; Kwon, Y.S.; Park, Y.S. Relationships between stream macroinvertebrates and environmental variables at multiple spatial scales. Freshw. Biol. 2012, 57, 2107–2124. [Google Scholar] [CrossRef]
- Kakore, B.G.; Mamun, M.; Lee, S.J.; An, K.G. Land-use pattern as a key factor determining the water quality. Fish guilds, and ecological health in lotic ecosystems of the Asian monsoon region. Water 2022, 14, 2765. [Google Scholar] [CrossRef]
- Mamun, M.; Jargal, N.; Atique, U.; An, K.G. Ecological river health assessment using multi-metric models in an Asian temperate region with land use/land cover as the primary factor regulating nutrients, organic matter, and fish composition. Int. J. Environ. Res. Public Health 2022, 19, 9305. [Google Scholar] [CrossRef]
- Ministry of Environment (MOE); National Institute of Environmental Research (NIER). Guidelines for Stream/River Ecosystem Survey and Health Assessment—Part of Stream; National Institute of Environmental Research: Incheon, Republic of Korea, 2024; 148p.
- Strahler, A. Quantitative analysis of watershed geomorphology. Eos Trans. Am. Geophys. Union 1957, 38, 913–920. [Google Scholar] [CrossRef]
- NIER. Partial Revision of Water Pollution Process Test Standards; National Institute of Environmental Research: Incheon, Republic of Korea, 2024.
- Kim, I.S.; Park, J.Y. A Field Guide to the Freshwater Fishes of Korea; Kyohaksa: Seoul, Republic of Korea, 2002; p. 465. [Google Scholar]
- Chae, B.S.; Song, H.B.; Park, J.Y. A Field Guide to the Freshwater Fishes of Korea; LG Evergreen Foundation: Seoul, Republic of Korea, 2019; p. 355. [Google Scholar]
- United States Environmental Protection Agency (US EPA). Fish Field and Laboratory Methods for Evaluating the Biological Integrity of Surface Waters; Office of Research and Development: Washington, DC, USA, 1993; Volume 1993, 348p.
- An, K.G.; Jung, S.H.; Choi, S.S. An evaluation on health conditions of Pyong-Chang River using the index of biological integrity (IBI) and qualitative habitat evaluation index (QHEI). Korean J. Limnol. 2001, 34, 153–165. [Google Scholar]
- United States Environmental Protection Agency (US EPA). Technical Support Document for Water Quality-Based Toxics Control; Office of Water: Washington, DC, USA, 1991; 335p.
- Dufrêne, M.; Legendre, P. Species assemblages and indicator species: The need for a flexible asymmetrical approach. Ecol. Monogr. 1997, 67, 345–366. [Google Scholar] [CrossRef]
- Min, J.K.; Kong, D.S. Distribution patterns of benthic macroinvertebrate communities based on multispatial scale environmental variables in the river systems of Republic of Korea. J. Freshw. Ecol. 2020, 35, 323–347. [Google Scholar] [CrossRef]
- Sládeček, V. The measures of saprobity. SIL Proc. 1969, 17, 546–559. [Google Scholar] [CrossRef]
- Dodds, W.K.; Jones, J.R.; Welch, E.B. Suggested classification of stream trophic state: Distributions of temperate stream types by chlorophyll, total nitrogen, and phosphorus. Water Res. 1998, 32, 1455–1462. [Google Scholar] [CrossRef]
- Min, J.K.; Lee, H.; Kong, D.S. Development of a benthic macroinvertebrate predictive model based on the physical and chemical variables of rivers in the Republic of Korea. J. Freshw. Ecol. 2022, 37, 425–453. [Google Scholar] [CrossRef]
- Mamun, M.; An, K.G. Ecological health assessments of 72 streams and rivers in relation to water chemistry and land-use patterns in South Korea. Turk. J. Fish. Aquat. Sci. 2018, 18, 871–880. [Google Scholar] [CrossRef]
- Kim, J.K.; Hur, J.W.; Park, J.W.; Kim, K.H.; Woo, H.S. Inhabitation and distribution of fish to stream bed in the Geum River basin. Korea Water Resources Association. In Proceedings of the Korea Water Resources Association Conference, Daejeon, Republic of Korea, 13 May 2010. [Google Scholar]
- Yoon, J.D.; Kim, J.H.; Byeon, M.S.; Yang, H.J.; Park, J.Y.; Shim, J.H.; Song, H.B.; Yang, H.; Jang, M.H. Distribution patterns of fish communities with respect to environmental gradients in Korean streams. Ann. Limnol. Int. J. Lim. 2011, 47, S63–S71. [Google Scholar] [CrossRef]
- Hur, J.W.; In, D.S.; Jang, M.H.; Kang, H.; Kang, K.H. Assessment of inhabitation and species diversity of fish to substrate size in the Geum River basin. J. Environ. Impact Assess. 2011, 20, 845–856. [Google Scholar] [CrossRef]
- Kang, H.; Im, D.; Hur, J.W.; Kim, K.H. Estimation of habitat suitability index of fish species in the Geum River watershed. J. Civ. Environ. Eng. Res. 2011, 31, 193–203. [Google Scholar] [CrossRef]
- Kim, H.M.; Choi, J.W.; An, K.G. Ecosystem health diagnosis using integrative multiple eco-metric model approaches. J. Ecol. Environ. 2013, 36, 73–83. [Google Scholar] [CrossRef]
- Kwon, Y.S.; Li, F.; Chung, N.; Bae, M.J.; Hwang, S.J.; Byoen, M.S.; Park, S.J.; Park, Y.S. Response of fish communities to various environmental variables across multiple spatial scales. Int. J. Environ. Res. Public Health 2012, 9, 3629–3653. [Google Scholar] [CrossRef]
- MOE. The Biodiversity of Korea; Ministry of Environment: Sejong, Republic of Korea, 2012; 131p.
- Choi, J.K.; Byeon, H.K.; Seok, H.K. Studies on the dynamics of fish community in Wonju stream. Korean J. Limnol. 2000, 33, 274–281. [Google Scholar]
- Lee, J.H.; An, K.G. Ecological Health Assessment Based on Fish Assemblages along with Total Mercury Concentrations of Zacco platypus in Miho Stream. Korean J. Limnol. 2010, 43, 288–297. [Google Scholar]
- Kim, H.S.; Yang, H.; Hong, Y.K. Spawning site characters in the natural environment of bull-head torrent catfish, Ligbagrus obesus (Siluriformes: Amblycipitidae) in the Gosan stream, Mangyeong river water system, Korea. Korean J. Ichthyol. 2012, 24, 183–190. [Google Scholar]
- Rusydi, A.F. Correlation between conductivity and total dissolved solid in various type of water: A review. IOP. Conf. Ser. Earth Environ. Sci. 2018, 118, 12–19. [Google Scholar] [CrossRef]
- Chae, B.S.; Yoon, H.N. Habitat segregation between NE and NS type of Zacco koreanus (Cyprinidae). Korean J. Ichthyol 2010, 22, 49–55. [Google Scholar]
- Hur, J.W.; Seo, J.W. Investigation on Physical Habitat Condition of Korean Chub (Zacco koreanus) in Typical Streams of the Han River. J. Environ. Impact Assess. 2011, 20, 206–214. [Google Scholar]
- Kim, K.; Lee, J.; Jo, Y.; Lim, J.H.; Choi, J.W. Fish community structures and distribution characteristics of fisheries resources in the Osip Stream and WangPi stream, fishery resources protection areas. Korean J. Ecol. Environ. 2023, 56, 57–69. [Google Scholar] [CrossRef]
- Lenat, D.R. Water quality assessment of streams using a qualitative collection method for benthic macroinvertebrates. J. N. Am. Benthol. Soc. 1988, 7, 222–233. [Google Scholar] [CrossRef]
- Min, J.K.; Song, J.; Kong, D.S. Optimization of the Korean river macroinvertebrate prediction and assessment System (KRIMPAS) for the biological assessment of rivers. J. Freshw. Ecol. 2023, 38, 2251508. [Google Scholar] [CrossRef]
- Cummins, K.W. An evaluation of some techniques for the collection and analysis of benthic samples with special emphasis on lotic waters. Am. Midl. Nat. 1962, 67, 477–504. [Google Scholar] [CrossRef]
- Adase, K.A. Fish Community Responses to Environmental and Anthropogenic Conditions in West Virginia. Master’s Thesis, West Virginia University, Morgantown, WV, USA, 2023; 66p. [Google Scholar]
- Erős, T.; Comte, L.; Filipe, A.F.; Ruhi, A.; Tedesco, P.A.; Brose, U.; Fortin, M.J.; Giam, X.; Irving, K.; Jacquet, C.; et al. Effects of non-native species on the stability of riverine fish communities. Ecography 2020, 43, 1156–1166. [Google Scholar] [CrossRef]
- Jang, M.H.; Joo, G.J.; Lucas, M.C. Diet of introduced largemouth bass in Korean rivers and potential interactions with native fishes. Ecol. Freshw. Fish 2006, 15, 315–320. [Google Scholar] [CrossRef]
- Belliard, J.; Boët, P.; Tales, E. Regional and longitudinal patterns of fish community structure in the Seine River basin, France. Environ. Biol. Fishes 1997, 50, 133–147. [Google Scholar] [CrossRef]
- Grenouillet, G.; Pont, D.; Hérissé, C. Within-basin fish assemblage structure: The relative influence of habitat versus stream spatial position on local species richness. Can. J. Fish. Aquat. Sci. 2004, 61, 93–102. [Google Scholar] [CrossRef]
- Halstead, J.A.; Kliman, S.; Berheide, C.W.; Chaucer, A.; Cock-Esteb, A. Urban stream syndrome in a small, lightly developed watershed: A statistical analysis of water chemistry parameters, land use patterns, and natural sources. Environ. Monit. Assess. 2014, 186, 3391–3414. [Google Scholar] [CrossRef]
- Mamun, M.; An, K.G. The application of chemical and biological multi-metric models to a small urban stream for ecological health assessments. Ecol. Inform. 2019, 50, 1–12. [Google Scholar] [CrossRef]
- Neebling, T.E.; Quist, M.C. Relationships between fish assemblages and habitat characteristics in Iowa’s non—Wadeable rivers. Fish. Manag. Ecol. 2010, 17, 369–385. [Google Scholar] [CrossRef]
- Allan, J.D. Landscapes and riverscapes: The influence of land use on stream ecosystems. Annu. Rev. Ecol. Evol. Syst. 2004, 35, 257–284. [Google Scholar] [CrossRef]
- Morgan, R.P.; Cushman, S.F. Urbanization effects on stream fish assemblages in Maryland, USA. Freshw. Sci. 2005, 24, 643–655. [Google Scholar] [CrossRef]
- Wang, L.; Lyons, J.; Kanehi, P.; Bannerman, R.; Emmons, E. Watershed urbanization and changes in fish communities in southeastern Wisconsin streams. J. Am. Water Resour. Assoc. 2000, 36, 1173–1189. [Google Scholar] [CrossRef]
- Johnson, L.; Richards, C.; Host, G.; Arthur, J. Landscape influences on water chemistry in Midwestern stream ecosystems. Freshw. Biol. 1997, 37, 193–208. [Google Scholar] [CrossRef]
- Jang, M.H.; Yoon, J.D.; Shin, J.H.; Joo, G.J. Status of freshwater fish around the Korean Demilitarized Zone and its implications for conservation. Aquat. Conserv. Mar. Freshw. Ecosyst. 2008, 18, 819–828. [Google Scholar] [CrossRef]
- Kuehne, R.A. A classification of streams, illustrated by fish distribution in an eastern Kentucky creek. Ecology 1962, 43, 608–614. [Google Scholar] [CrossRef]
- Naiman, R.J.; Melillo, J.M.; Lock, M.A.; Ford, T.E.; Reice, S.R. Longitudinal patterns of ecosystem processes and community structure in a subarctic river continuum. Ecology 1987, 68, 1139–1156. [Google Scholar] [CrossRef]
- Eitzmann, J.L.; Paukert, C.P. Longitudinal differences in habitat complexity and fish assemblage structure of a Great Plains River. Am. Midl. Nat. 2010, 163, 14–32. [Google Scholar] [CrossRef]
- Maturakis, E.G.; Woolcott, W.S.; Jenkins, R.E. Physiographic analyses of the longitudinal distribution of fishes in the Rappahannock River, Virginia. Assoc. Southeast Biol. Bull. 1987, 34, 1–14. [Google Scholar]
- Hawkins, C.P.; Norris, R.H.; Hogue, J.N.; Feminella, J.W. Development and evaluation of predictive models for measuring the biological integrity of streams. Ecol. Appl. 2000, 10, 1456–1477. [Google Scholar] [CrossRef]
- Hargett, E.G.; ZumBerge, J.R.; Hawkins, C.P.; Olson, J.R. Development of a RIVPACS-type predictive model for bioassessment of wadeable streams in Wyoming. Ecol. Indic. 2007, 7, 807–826. [Google Scholar] [CrossRef]
- Jacobsen, D.; Schultz, R.; Encalada, A. Structure and diversity of stream invertebrate assemblages: The influence of temperature with altitude and latitude. Freshw. Biol. 1997, 38, 247–261. [Google Scholar] [CrossRef]











| Cluster | Dominant Species | Tolerance Guild | Trophic Guild | RA (%) |
|---|---|---|---|---|
| I | Zacco platypus (Temminck and Schlegel, 1846) | TS | O | 36.7 |
| Zacco koreanus Kim, Oh and Hosoya, 2005 | SS | I | 16.0 | |
| Tridentiger brevispinis Katsuyama, Arai and Nakamura, 1972 | IS | I | 4.8 | |
| Pungtungia herzi Herzenstein, 1892 | IS | I | 4.0 | |
| Acheilognathus koreensis Kim and Kim, 1990 | IS | O | 3.8 | |
| II | Zacco platypus (Temminck and Schlegel, 1846) | TS | O | 33.7 |
| Pseudogobio esocinus (Temminck and Schlegel, 1846) | IS | I | 10.3 | |
| Zacco koreanus Kim, Oh and Hosoya, 2005 | SS | I | 7.5 | |
| Acheilognathus lanceolata intermedia (Temminck and Schlegel, 1846) | IS | O | 5.6 | |
| Carassius auratus (Linnaeus, 1758) | TS | O | 5.2 | |
| III | Zacco platypus (Temminck and Schlegel, 1846) | TS | O | 35.5 |
| Tridentiger brevispinis Katsuyama, Arai and Nakamura, 1972 | IS | I | 8.2 | |
| Opsariichthys uncirostris amurensis Berg, 1932 | TS | C | 6.1 | |
| Pseudogobio esocinus (Temminck and Schlegel, 1846) | IS | I | 6.1 | |
| Squalidus japonicus coreanus (Berg, 1906) | TS | O | 4.4 | |
| IV | Zacco platypus (Temminck and Schlegel, 1846) | TS | O | 28.0 |
| Carassius auratus (Linnaeus, 1758) | TS | O | 19.1 | |
| Pseudogobio esocinus (Temminck and Schlegel, 1846) | IS | I | 8.4 | |
| Hemibarbus labeo (Pallas, 1776) | TS | I | 6.7 | |
| Opsariichthys uncirostris amurensis Berg, 1932 | TS | C | 5.0 |
| Metrics | Mean ± SD (Scores) | |||||||
|---|---|---|---|---|---|---|---|---|
| Cluster I | Cluster II | Cluster III | Cluster IV | |||||
| M1 | 9.4 ± 3.8 | 9.2 ± 4.2 | 6.5 ± 4.9 | 8.6 ± 4.0 | ||||
| M2 | 6.3 ± 4.5 | 6.3 ± 4.2 | 3.6 ± 3.9 | 4.2 ± 4.0 | ||||
| M3 | 5.0 ± 4.3 | 2.3 ± 3.9 | 1.0 ± 2.5 | 0.0 ± 0.0 | ||||
| M4 | 11.4 ± 3.4 | 10.3 ± 3.9 | 8.4 ± 4.9 | 7.0 ± 4.6 | ||||
| M5 | 6.4 ± 4.7 | 5.1 ± 4.1 | 4.4 ± 4.2 | 3.9 ± 3.6 | ||||
| M6 | 7.2 ± 5.0 | 6.4 ± 4.9 | 4.6 ± 4.9 | 4.4 ± 5.0 | ||||
| M7 | 9.5 ± 4.4 | 10.2 ± 4.1 | 7.6 ± 5.2 | 9.1 ± 4.1 | ||||
| M8 | 12.0 ± 2.4 | 11.9 ± 2.7 | 11.2 ± 3.8 | 12.5 ± 0.0 | ||||
| FAI | 67.2 ± 21.3 | 61.6 ± 20.7 | 47.5 ± 22.4 | 49.8 ± 15.8 | ||||
| Grade | B | B | C | C | ||||
| Cluster Groups | Proportion of Grades for FAI | |||||||
| A | B | C | D | E | ||||
| I | 36.6% | 34.6% | 21.2% | 3.8% | 3.8% | |||
| II | 18.8% | 39.0% | 32.8% | 4.7% | 4.7% | |||
| III | 4.1% | 28.4% | 37.7% | 14.9% | 14.9% | |||
| IV | - | 20.8% | 50.0% | 25.0% | 4.2% | |||
Disclaimer/Publisher’s Note: The statements, opinions and data contained in all publications are solely those of the individual author(s) and contributor(s) and not of MDPI and/or the editor(s). MDPI and/or the editor(s) disclaim responsibility for any injury to people or property resulting from any ideas, methods, instructions or products referred to in the content. |
© 2024 by the authors. Licensee MDPI, Basel, Switzerland. This article is an open access article distributed under the terms and conditions of the Creative Commons Attribution (CC BY) license (https://creativecommons.org/licenses/by/4.0/).
Share and Cite
Kim, J.-G.; Min, J.-K.; Choi, J.-W. Analysis of Key Environmental Variables Affecting Fish Communities and Species Distribution in Asian Lotic Ecosystems. Water 2024, 16, 3251. https://doi.org/10.3390/w16223251
Kim J-G, Min J-K, Choi J-W. Analysis of Key Environmental Variables Affecting Fish Communities and Species Distribution in Asian Lotic Ecosystems. Water. 2024; 16(22):3251. https://doi.org/10.3390/w16223251
Chicago/Turabian StyleKim, Jae-Goo, Jeong-Ki Min, and Ji-Woong Choi. 2024. "Analysis of Key Environmental Variables Affecting Fish Communities and Species Distribution in Asian Lotic Ecosystems" Water 16, no. 22: 3251. https://doi.org/10.3390/w16223251
APA StyleKim, J.-G., Min, J.-K., & Choi, J.-W. (2024). Analysis of Key Environmental Variables Affecting Fish Communities and Species Distribution in Asian Lotic Ecosystems. Water, 16(22), 3251. https://doi.org/10.3390/w16223251

