Land-Use Impacts on Soil Erosion: Geochemical Insights from an Urban Drinking Catchment, South-Central Chile
Abstract
1. Introduction
2. Study Area
2.1. Geographic and Hydrologic Setting
2.2. Geological Setting
2.3. Land Use and Land Cover (LU/LC)
3. Materials and Methods
4. Results
4.1. Geochemistry of River Waters and Suspended Sediments
4.1.1. River Waters
4.1.2. Suspended Sediments
4.2. Li Isotopic Content
5. Discussion
5.1. Insights from Geochemical Distribution in Sub-Basins
5.2. The Role of Plantations in Soil Degradation and Erosion Processes
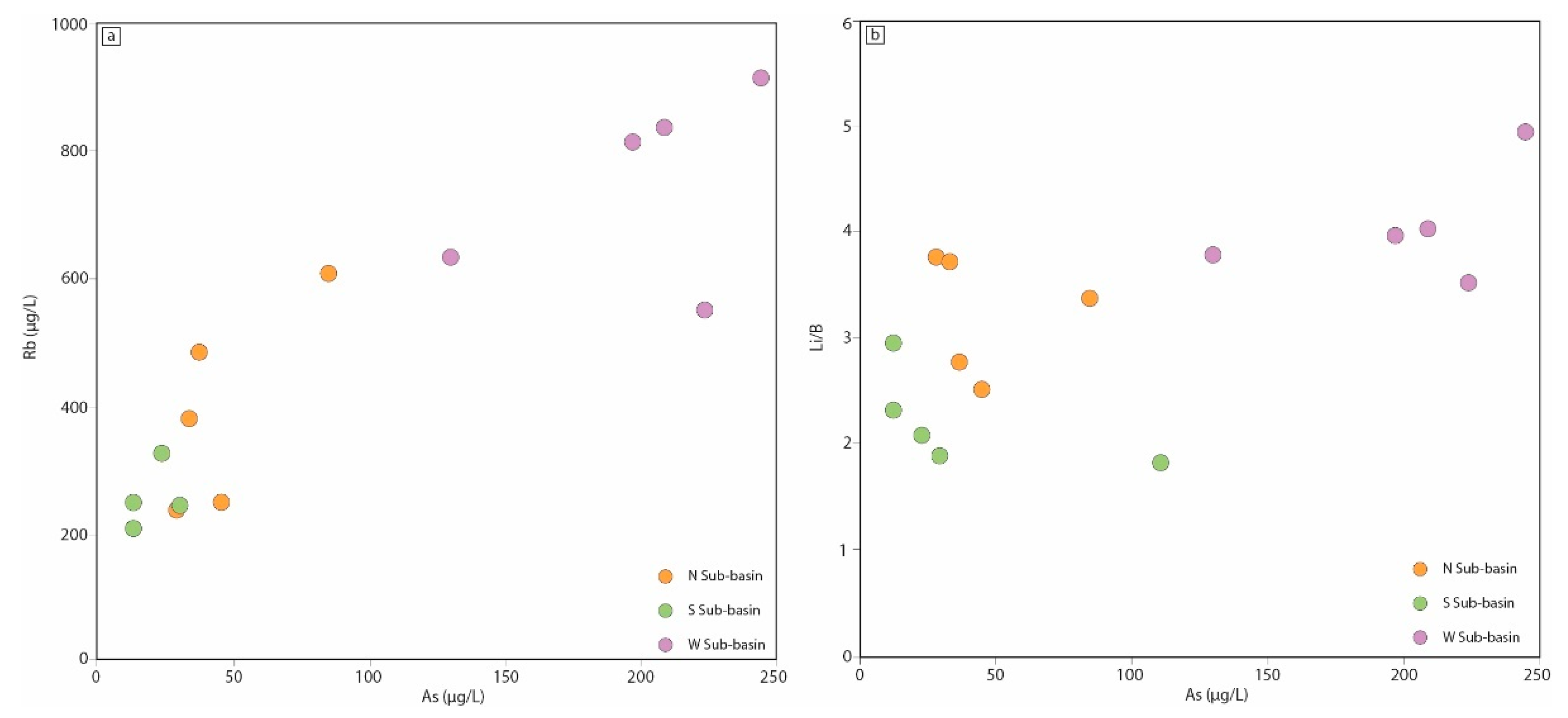
5.3. Erosion-Driven Distribution of Rare Earth Elements, Rb, and As
5.4. Li Isotopic Signatures as Proxies for Weathering and Erosional Dynamics
6. Conclusions
Supplementary Materials
Author Contributions
Funding
Data Availability Statement
Acknowledgments
Conflicts of Interest
References
- Keenan, R.J.; Reams, G.A.; Achard, F.; de Freitas, J.V.; Grainger, A.; Lindquist, E. Dynamics of global forest area: Results from the FAO Global Forest Resources Assessment 2015. For. Ecol. Manag. 2015, 352, 9–20. [Google Scholar] [CrossRef]
- Williams, K.J.; Schirmer, J. Understanding the relationship between social change and its impacts: The experience of rural land use change in south-eastern Australia. J. Rural Stud. 2012, 28, 538–548. [Google Scholar] [CrossRef]
- Torres, R.; Azócar, G.; Rojas, J.; Montecinos, A.; Paredes, P. Vulnerability and resistance to neoliberal environmental changes: An assessment of agriculture and forestry in the Biobio region of Chile (1974–2014). Geoforum 2015, 60, 107–122. [Google Scholar] [CrossRef]
- Bopp, C.; Engler, A.; Jara-Rojas, R.; Arriagada, R. Are forest plantation subsidies affecting land use change and off-farm income? A farm-level analysis of Chilean small forest landowners. Land Use Policy 2020, 91, 104308. [Google Scholar] [CrossRef]
- Ventura, F.; Rossi, P.; Vicari, A. Effect of land use on soil erosion in a small watershed in Emilia–Romagna Region. Ital. J. Agron. 2004, 8, 29–36. [Google Scholar]
- Wu, L.F.; Li, B.B.; Qin, Y.; Gregorich, E. Soil CO2 emission and carbon budget of a wheat/maize annual double-cropped system in response to tillage and residue management in the North China Plain. Int. J. Agric. Sustain. 2017, 15, 253–263. [Google Scholar] [CrossRef]
- Bogužas, V.; Skinulienė, L.; Butkevičienė, L.M.; Steponavičienė, V.; Petrauskas, E.; Maršalkienė, N. The effect of monoculture, crop rotation combinations, and continuous bare fallow on soil CO2 emissions, earthworms, and productivity of winter rye after a 50-year period. Plants 2022, 11, 431. [Google Scholar] [CrossRef]
- Montanarella, L. Trends in land degradation in Europe. In Climate and Land Degradation, 2nd ed.; Springer: Berlin/Heidelberg, Germany, 2007; pp. 83–104. [Google Scholar]
- Crovo, O.; Aburto, F.; Albornoz, M.F.; Southard, R. Soil type modulates the response of C, N, P stocks and stoichiometry after native forest substitution by exotic plantations. Catena 2021, 197, 104997. [Google Scholar] [CrossRef]
- Ochoa-Gaona, S. Traditional Land-Use Systems and Patterns of Forest Fragmentation in the Highlands of Chiapas, Mexico. Environ. Manag. 2001, 27, 571–586. [Google Scholar] [CrossRef]
- Bessie, S.; Beyene, F.; Hundie, B.; Goshu, D.; Mulatu, Y. Land use/land cover change and its effects on bamboo forest in Benishangul Gumuz region, Ethiopia. Int. J. Sustain. Dev. World Policy 2016, 5, 1–11. [Google Scholar] [CrossRef][Green Version]
- Bozkurt, S.G.; Kuşak, L.; Akkemik, Ü. Investigation of land cover (LC)/land use (LU) change affecting forest and seminatural ecosystems in Istanbul (Turkey) metropolitan area between 1990 and 2018. Environ. Monit. Assess. 2023, 195, 196. [Google Scholar] [CrossRef] [PubMed]
- Lara, A.; Solari, M.E.; Del Rosario Prieto, M.; Peña, M.P. Reconstrucción de la cobertura de la vegetación y uso del suelo hacia 1550 y sus cambios a 2007 en la ecorregión de los bosques valdivianos lluviosos de Chile (35°–43°30’ S). Bosque 2012, 33, 13–23. [Google Scholar] [CrossRef]
- Nahuelhual, L.; Carmona, A.; Lara, A.; Echeverría, C.; González, M.E. Land-cover change to forest plantations: Proximate causes and implications for the landscape in south-central Chile. Landsc. Urban Plan. 2012, 107, 12–20. [Google Scholar] [CrossRef]
- Echeverria, C.; Coomes, D.; Salas, J.; Rey-Benayas, J.M.; Lara, A.; Newton, A. Rapid deforestation and fragmentation of Chilean Temperate Forests. Biol. Conserv. 2006, 130, 481–494. [Google Scholar] [CrossRef]
- Frene, C.; Nuñez Avila, M. Hacia un nuevo Modelo Forestal en Chile. Rev. Bosque Nativ. 2010, 47, 25–35. [Google Scholar]
- Esparza, A. Impactos del Cambio de la Cobertura y el uso del Suelo en la Oferta de Servicios Ecosistémicos de Regulación Hídrica en el Centro—Sur de Chile. Master’s Thesis, Universidad de Concepción, Concepción, Chile, 2017. [Google Scholar]
- Altamirano, A.; Lara, A. Deforestación en ecosistemas templados de la precordillera andina del centro-sur de Chile. Bosque 2010, 31, 53–64. [Google Scholar] [CrossRef]
- Aburto, F.; Cartes, E.; Mardones, O.; Rubilar, R. Hillslope soil erosion and mobility in pine plantations and native deciduous forest in the coastal range of south-Central Chile. Land Degrad. Dev. 2021, 32, 453–466. [Google Scholar] [CrossRef]
- Mueller, N.D.; Gerber, J.S.; Johnston, M.; Ray, D.K.; Ramankutty, N.; Foley, J.A. Closing yield gaps through nutrient and water management. Nature 2012, 490, 254–257. [Google Scholar] [CrossRef] [PubMed]
- Gruba, P.; Mulder, J. Tree species affect cation exchange capacity (CEC) and cation binding properties of organic matter in acid forest soils. Sci. Total Environ. 2015, 511, 655–662. [Google Scholar] [CrossRef]
- Huber, A.; Iroumé, A.; Mohr, C.; Frêne, C. Efecto de plantaciones de Pinus radiata y Eucalyptus globulus sobre el recurso agua en la Cordillera de la Costa de la región del Biobío, Chile. Bosque 2010, 31, 219–230. [Google Scholar] [CrossRef]
- INFOR. Memoria INFOR 2018; INFOR: Santiago, Chile, 2018. [Google Scholar] [CrossRef]
- Lara, A.; Soto, D.; Armesto, J.; Donoso, P.; Wernli, C.; Nahuelhual, L.; Squeo, F. Componentes Científicos Clave Para Una Política Nacional Sobre Usos, Servicios Y Conservación De Los Bosques Nativos Chilenos. In Informe Expertos; Universidad Austral de Chile: Valdivia, Chile, 2003. [Google Scholar]
- Cortés, L.; Hernández, H.J.; Silva, P. Historic land cover change assessment of Chilean mediterranean coast: Did forest plantations really caused fragmentation? ISPRS Ann. Photogramm. Remote Sens. Spat. Inf. Sci. 2022, 3, 383–388. [Google Scholar] [CrossRef]
- Lara, A.; Veblen, T. Forest plantations in Chile: A successful model? In Afforestation: Policies, Planning and Progress, 2nd ed.; Mather, A., Ed.; Academic Press: London, UK, 1993; pp. 118–139. [Google Scholar]
- Banfield, C.C.; Braun, A.C.; Barra, R.; Castillo, A.; Vogt, J. Erosion proxies in an exotic tree plantation question the appropriate land use in Central Chile. Catena 2018, 161, 77–84. [Google Scholar] [CrossRef]
- Soto, L.; Galleguillos, M.; Seguel, O.; Sotomayor, B.; Lara, A. Assessment of soil physical properties’ statuses under different land covers within a landscape dominated by exotic industrial tree plantations in south-central Chile. J. Soil Water Conserv. 2019, 74, 12–23. [Google Scholar] [CrossRef]
- Manuschevich, D. Inversión estatal en investigación y desarrollo forestal frente a la COP-25: ¿Libres de elegir entre bosques nativos y plantaciones exóticas? Investig. Geogr. 2019, 58, 104. [Google Scholar] [CrossRef]
- Lara, A.; Little, C.; Urrutia, R.; McPhee, J.; Álvarez-Garretón, C.; Oyarzún, C.; Soto, D.; Donoso, P.; Nahuelhual, L.; Pino, M.; et al. Assessment of ecosystem services as an opportunity for the conservation and management of native forests in Chile. For. Ecol. Manag. 2009, 258, 4. [Google Scholar] [CrossRef]
- Little, C.; Lara, A.; McPhee, J.; Urrutia, R. Revealing the impact of forest exotic plantations on water yield in large scale watersheds in South-Central Chile. J. Hydrol. 2009, 374, 162–170. [Google Scholar] [CrossRef]
- Stehr, A.; Debels, P.; Arumi, J.L.; Alcayaga, H.; Romero, F. Modeling the hydrological response to climate change: Experiences from two south-central Chilean watersheds. Tecnol. Cienc. Agua 2010, 1, 4. [Google Scholar]
- Jullian, C.; Nahuelhual, L.; Mazzorana, B.; Aguayo, M. Evaluación del servicio ecosistémico de regulación hídrica ante escenarios de conservación de vegetación nativa y expansión de plantaciones forestales en el centro-sur de Chile. Bosque 2018, 39, 2. [Google Scholar] [CrossRef]
- Mohr, C.H.; Coppus, R.; Iroumé, A.; Huber, A.; Bronstert, A. Runoff generation and soil erosion processes after clear cutting. J. Geophys. Res. Earth Surf. 2013, 118, 2. [Google Scholar] [CrossRef]
- Mohr, C.H.; Zimmermann, A.; Korup, O.; Iroumé, A.; Francke, T.; Bronstert, A. Seasonal logging, process response, and geomorphic work. Earth Surf. Dyn. 2014, 2, 1. [Google Scholar] [CrossRef]
- Borrelli, P.; Robinson, D.A.; Panagos, P.; Lugato, E.; Yang, J.E.; Alewell, C.; Wuepper, D.; Montanarella, L.; Ballabio, C. Land use and climate change impacts on global soil erosion by water (2015–2070). Proc. Natl. Acad. Sci. USA 2020, 117, 21994–22001. [Google Scholar] [CrossRef] [PubMed]
- CONAF. Catastro y Actualización de los Recursos Vegetacionales y Uso de la Tierra de la Región del Biobío (VIII); Corporación Nacional Forestal: Concepción, Chile, 2015. [Google Scholar]
- Echeverria, C.; Gatica, P.; Fuentes, R. Habitat edge contrast as an indicator to prioritize sites for ecological restoration at the landscape scale. NAT CONSERVACAO 2013, 11, 170–175. [Google Scholar] [CrossRef]
- Börgel, J. Geomorfología y Geografía de Chile; Instituto Geográfico Militar de Chile: Santiago, Chile, 1983. [Google Scholar]
- Armesto, J.; Kalin Arroyo, M.; Villagrán, C. (Eds.) Ecología de Los Bosques Nativos de Chile; Universitaria: Santiago, Chile, 1996. [Google Scholar]
- Smith-Ramírez, C. The Chilean coastal range: A vanishing center of biodiversity and endemism in South American temperate rainforests. Biodivers. Conserv. 2004, 13, 2. [Google Scholar] [CrossRef]
- Luebert, F.; Pliscoff, P. Sinopsis Bioclimática y Vegetacional de Chile; Editorial Universitaria: Santiago, Chile, 2006; Volume 107, p. 40. [Google Scholar]
- García, N. Estudio Florístico del Fundo Nonguén, Provincia de Concepción, Octava Región; Universidad de Chile: Santiago, Chile, 2004. [Google Scholar]
- EULA. Estudio Básico de Zonificación del FUNDO Nonguén; Universidad de Concepción: Concepción, Chile, 2002. [Google Scholar]
- Ramírez, P. Estudio Geológico Ambiental de la Cuenca del Estero Nonguén. Bachelor’s Thesis, Universidad de Concepción, Concepción, Chile, 2004. [Google Scholar]
- Hervé, F. Petrology of the crystalline basement of the Nahuelbuta mountains, south central Chile. In Comparative Studies on the Geology of the CircumPacific Orogenic Belt in Japan and Chile; Ishikawa, T., Aguirre, L., Eds.; Japanese Society for the Promotion of Sciences: London, UK, 1977; pp. 1–51. [Google Scholar]
- Aguirre, L.; Hervé, F.; Godoy, E. Distribution of metamorphic facies in Chile: An outline. Krystallinikum 1972, 9, 7–19. [Google Scholar]
- Creixell, C. Petrología y Geotermobarometría de las Rocas Intrusivas de la Cordillera de la Costa entre los 36°30’ y 38°00’S. Bachelor’s Thesis, Universidad de Concepción, Concepción, Chile, 2001. [Google Scholar]
- Galli, C. Geología Urbana y Suelo de Fundación de Concepción y Talcahuano, Chile; Universidad de Concepción: Concepción, Chile, 1967. [Google Scholar]
- Lizaga, I.; Gaspar, L.; Latorre, B.; Navas, A. Variations in transport of suspended sediment and associated elements induced by rainfall and agricultural cycle in a Mediterranean agroforestry catchment. J. Environ. Manag. 2020, 272, 111020. [Google Scholar] [CrossRef]
- Mulhim, M.; Ahmad, S. Impact of land use, land cover and morphometry on stream hydrochemistry and fine sediment geochemistry along the transect of Alaknanda basin, Garhwal Himalaya, India: An integrated study. J. Sediment. Environ. 2023, 8, 443–456. [Google Scholar] [CrossRef]
- Mbonaga, S.S.; Hamad, A.A.; Mkoma, S.L. Land-Use–Land Cover Changes in the Urban River’s Buffer Zone and Variability of Discharge, Water, and Sediment Quality—A Case of Urban Catchment of the Ngerengere River in Tanzania. Hydrology 2024, 11, 78. [Google Scholar] [CrossRef]
- Giggenbach, W.F.; Goguel, R.L.; New Zealand Department of Scientific and Industrial Research Chemistry Division. Collection and Analysis of Geothermal and Volcanic Water and Gas Discharges, 4th ed.; Chemistry Division, Department of Scientific and Industrial Research: Petone, New Zealand, 1989. [Google Scholar]
- Sholkovitz, E.R. Chemical evolution of rare earth elements: Fractionation between colloidal and solution phases of filtered river water. Earth Planet. Sci. Lett. 1992, 114, 77–84. [Google Scholar] [CrossRef]
- Deb, D.; Chakma, S. Colloid and colloid-facilitated contaminant transport in subsurface ecosystem—A concise review. Int. J. Environ. Sci. Technol. 2023, 20, 6955–6988. [Google Scholar] [CrossRef]
- Godfrey, L.; Ahmed, M.T.; Gebremedhin, K.G.; Katima, J.H.; Oelofse, S.; Osibanjo, O.; Richter, U.H.; Yonli, A.H. Solid Waste Management in Africa: Governance Failure or Development Opportunity? In Regional Development in Africa; IntechOpen: London, UK, 2020. [Google Scholar] [CrossRef]
- Álvarez-Amado, F.; Rosales, M.; Godfrey, L.; Poblete-González, C.; Morgado, E.; Espinoza, M.; Hidalgo-Gajardo, A.; Volosky, D.; Cortés-Aranda, J. The role of ignimbrites and fine sediments in the lithium distribution and isotopic fractionation in hyperarid environments: Insights from Li-isotopes in the Atacama Desert. J. Geochem. Explor. 2022, 241, 107062. [Google Scholar] [CrossRef]
- Álvarez-Amado, F.; Tardani, D.; Poblete-González, C.; Godfrey, L.; Matte-Estrada, D. Hydrogeochemical processes controlling the water composition in a hyperarid environment: New insights from Li, B, and Sr isotopes in the Salar de Atacama. Sci. Total Environ. 2022, 835, 155470. [Google Scholar] [CrossRef] [PubMed]
- Fierro, P.; Hughes, R.M.; Valdovinos, C. Temporal Variability of Macroinvertebrate Assemblages in a Mediterranean Coastal Stream: Implications for Bioassessment. Neotrop. Entomol. 2021, 50, 6. [Google Scholar] [CrossRef] [PubMed]
- Quiroz-Jara, M.; Casini, S.; Fossi, M.C.; Orrego, R.; Gavilán, J.F.; Barra, R. Integrated Physiological Biomarkers Responses in Wild Fish Exposed to the Anthropogenic Gradient in the Biobío River, South-Central Chile. Environ. Manag. 2021, 67, 6. [Google Scholar] [CrossRef]
- Adjovu, G.E.; Stephen, H.; James, D.; Ahmad, S. Measurement of total dissolved solids and total suspended solids in water systems: A review of the issues, conventional, and remote sensing techniques. Remote Sens. 2023, 15, 3534. [Google Scholar] [CrossRef]
- Ellies, A. Soil erosion and its control in Chile—An overview. Acta Geológica Hispánica 2000, 35, 279–284. [Google Scholar]
- Das, B.; Nordin, R.; Mazumder, A. Watershed land use as a determinant of metal concentrations in freshwater systems. Environ. Geochem. Health 2009, 31, 595–607. [Google Scholar] [CrossRef] [PubMed]
- Augusto, L.; Turpault, M.P.; Ranger, J. Impact of forest tree species on feldspar weathering rates. Geoderma 2000, 96, 215–237. [Google Scholar] [CrossRef]
- Lafleur, B.; Paré, D.; Claveau, Y.; Thiffault, É.; Bélanger, N. Influence of afforestation on soil: The case of mineral weathering. Geoderma 2013, 202, 18–29. [Google Scholar] [CrossRef][Green Version]
- Zhou, G.; Wei, X.; Yan, J. Impacts of eucalyptus (Eucalyptus exserta) plantation on sediment yield in Guangdong Province, Southern China—A kinetic energy approach. Catena 2002, 49, 231–251. [Google Scholar] [CrossRef]
- Tolorza, V.; Mohr, C.H.; Zambrano-Bigiarini, M.; Sotomayor, B.; Poblete-Caballero, D.; Carretier, S.; Galleguillos, M.; Seguel, O. Exotic tree plantations in the Chilean Coastal Range: Balancing the effects of discrete disturbances, connectivity, and a persistent drought on catchment erosion. Earth Surf. Dyn. 2024, 12, 841–861. [Google Scholar] [CrossRef]
- Alaniz, A.J.; Abarzúa, A.M.; Martel-Cea, A.; Jarpa, L.; Hernández, M.; Aquino-López, M.A.; Smith-Ramírez, C. Linking sedimentological and spatial analysis to assess the impact of the forestry industry on soil loss: The case of Lanalhue Basin, Chile. Catena 2021, 207, 105660. [Google Scholar] [CrossRef]
- Veihe, A. The spatial variability of erodibility and its relation to soil types: A study from northern Ghana. Geoderma 2002, 106, 101–120. [Google Scholar] [CrossRef]
- Singh, M.J.; Khera, K.L. Soil erodibility indices under different land uses in lower Shiwaliks. Trop. Ecol. 2008, 49, 113–119. [Google Scholar]
- Morgan, R.P.C. Soil Erosion and Conservation; John Wiley & Sons: Chichester, UK, 2009. [Google Scholar]
- Gayoso Aguilar, J.; Iroume Arrau, A. Impacto del manejo de plantaciones sobre el ambiente físico. Bosque 1995, 16, 3–12. [Google Scholar] [CrossRef]
- Schuller, P.; Walling, D.E.; Iroumé, A.; Quilodrán, C.; Castillo, A.; Navas, A. Using 137Cs and 210Pbex and other sediment source fingerprints to document suspended sediment sources in small forested catchments in south-central Chile. J. Environ. Radioact. 2013, 124, 147–159. [Google Scholar] [CrossRef]
- Ramírez, M.I.; Cruz, M.J.; Pacheco, A.I.M. Estructura y densidad de la red de caminos en la Reserva de la Biosfera Mariposa Monarca. Investig. Geográficas 2005, 57, 68–80. [Google Scholar] [CrossRef]
- Akay, A.E.; Erdas, O.; Reis, M.; Yuksel, A. Estimating sediment yield from a forest road network by using a sediment prediction model and GIS techniques. Build. Environ. 2008, 43, 687–695. [Google Scholar] [CrossRef]
- Seguel, O.; Farías, E.; Luzio, W.; Casanova, M.; Pino, I.; Parada, A.M.; Videla, X.; Nario, A. Physical properties of soil after change of use from native forest to vineyard. Agro Sur 2015, 43, 29–39. [Google Scholar] [CrossRef]
- Abarzúa, A.M.; Jarpa, L.; Hernández, M.; Martel-Cea, A.; Gómez, G.; Smith-Ramírez, C. Informe final: Análisis de Testigo Sedimentario en Lago Lanalhue, Provincia de Arauco, Región del Biobío; Licitación Pública Id: 608897-63-LP18; Ministerio de Medio Ambiente, Gobierno de Chile: Santiago, Chile, 2020. [Google Scholar]
- Iroumé, A.; Huber, A.; Schulz, K. Summer flows in experimental catchments with different forest covers, Chile. J. Hydrol. 2005, 300, 300–314. [Google Scholar] [CrossRef]
- Chen, G.; Yang, Y.; Yang, Z.; Xie, J.; Guo, J.; Gao, R.; Robinson, D. Accelerated soil carbon turnover under tree plantations limits soil carbon storage. Sci. Rep. 2016, 6, 19693. [Google Scholar] [CrossRef]
- Castillo, P.; Aburto, F.; Albornoz, M.F.; Crovo, O.; Czimczik, C.I.; Southard, R. Natural Forest conversion to Exotic Pine plantations induces soil mineralogical changes—Implications for soil organic carbon stabilization. SSRN 2023. [Google Scholar] [CrossRef]
- Brockerhoff, E.G.; Jactel, H.; Parrotta, J.A.; Quine, C.P.; Sayer, J. Plantation forests and biodiversity: Oxymoron or opportunity? Biodivers. Conserv. 2008, 17, 925–951. [Google Scholar] [CrossRef]
- Cifuentes-Croquevielle, C.; Stanton, D.E.; Armesto, J.J. Soil invertebrate diversity loss and functional changes in temperate forest soils replaced by exotic pine plantations. Sci. Rep. 2020, 10, 7762. [Google Scholar] [CrossRef]
- Bilotta, G.S.; Brazier, R.E. Understanding the influence of suspended solids on water quality and aquatic biota. Water Res. 2008, 42, 2849–2861. [Google Scholar] [CrossRef]
- Walling, D.E. Human impact on land-ocean sediment transfer by the world’s river. Geomorphology 2006, 79, 192–216. [Google Scholar] [CrossRef]
- Krause-Jensen, D.; Sand-Jensen, K. Light attenuation and photosynthesis of aquatic plant communities. Limnol. Oceanogr. 1998, 43, 396–407. [Google Scholar] [CrossRef]
- Whalen, S.C.; Chalfant, B.B.; Fischer, E.N.; Fortino, K.A.; Hershey, A.E. Comparative influence of resuspended glacial sediment on physicochemical characteristics and primary production in two arctic lakes. Aquat. Sci. 2006, 68, 65–77. [Google Scholar] [CrossRef]
- Wilber, D.H.; Clarke, D.G. Biological effects of suspended sediments: A review of suspended sediment impacts on fish and shellfish with relation to dredging activities in estuaries. N. Am. J. Fish. Manag. 2001, 21, 855–875. [Google Scholar] [CrossRef]
- Zhang, Y.; Richardson, J.S.; Pinto, X. Catchment-scale effects of forestry practices on benthic invertebrate communities in Pacific coastal streams. J. Appl. Ecol. 2009, 46, 1292–1303. [Google Scholar] [CrossRef]
- Richardson, J.; Jowett, I.G. Effects of sediment on fish communities in East Cape streams, North Island, New Zealand. N. Z. J. Mar. Freshw. Res. 2002, 36, 431–442. [Google Scholar] [CrossRef]
- Wagenhoff, A.; Townsend, C.R.; Matthaei, C.D. Macroinvertebrate responses along broad stressor gradients of deposited fine sediment and dissolved nutrients: A stream mesocosm experiment. J. Appl. Ecol. 2012, 49, 892–902. [Google Scholar] [CrossRef]
- Muck, J. Biological Effects of Sediment on Bull Trout and Their Habitat—Guidance for Evaluating Effects; Fish and Wildlife Service: Lacey, WA, USA, 2010; p. 57. [Google Scholar]
- Chapman, J.M.; Proulx, C.L.; Veilleux, M.A.N.; Levert, C.; Bliss, S.; Andre, M.E.; Lapointe, N.W.R.; Cooke, S.J. Clear as mud: A meta-analysis on the effects of sedimentation on freshwater fish and the effectiveness of sediment-control measures. Water Res. 2014, 56, 190–202. [Google Scholar] [CrossRef] [PubMed]
- Ryan, P.A. Environmental effects of sediment on New Zealand streams: A review. N. Z. J. Mar. Freshw. Res. 1991, 25, 207–221. [Google Scholar] [CrossRef]
- Jain, C.K.; Sharma, M.K. Distribution of trace metals in the Hindon River system, India. J. Hydrol. 2001, 253, 81–90. [Google Scholar] [CrossRef]
- Bibby, R.L.; Webster-Brown, J.G. Characterisation of urban catchment suspended particulate matter (Auckland region, New Zealand); a comparison with non-urban SPM. Sci. Total Environ. 2005, 343, 177–197. [Google Scholar] [CrossRef]
- Chao, X.; Jia, Y.; Douglas Shields Jr, F.; Wang, S.S.; Cooper, C.M. Numerical simulation of sediment-associated water quality processes for a Mississippi delta lake. Ecohydrol. Ecosyst. Land Water Process Interact. Ecohydrogeomorphol. 2009, 2, 350–359. [Google Scholar] [CrossRef]
- Meng, Q.; Zhang, L.; Wei, H.; Cai, E.; Xue, D.; Liu, M. Linking Ecosystem Service Supply–Demand Risks and Regional Spatial Management in the Yihe River Basin, Central China. Land 2021, 10, 843. [Google Scholar] [CrossRef]
- Stefanidis, S.; Proutsos, N.; Alexandridis, V.; Mallinis, G. Ecosystem Services Supply from Peri-Urban Watersheds in Greece: Soil Conservation and Water Retention. Land 2024, 13, 765. [Google Scholar] [CrossRef]
- Yusoff, Z.M.; Ngwenya, B.T.; Parsons, I. Mobility and fractionation of REEs during deep weathering of geochemically contrasting granites in a tropical setting, Malaysia. Chem. Geol. 2013, 349–350, 71–86. [Google Scholar] [CrossRef]
- Babechuk, M.G.; Widdowson, M.; Kamber, B.S. Quantifying chemical weathering intensity and trace element release from two contrasting basalt profiles, Deccan Traps, India. Chem. Geol. 2014, 363, 56–75. [Google Scholar] [CrossRef]
- Han, R.; Xu, Z. Geochemical behaviors of rare earth elements (Rees) in karst soils under different land-use types: A case in yinjiang karst catchment, Southwest China. Int. J. Environ. Res. Public Health 2021, 18, 502. [Google Scholar] [CrossRef]
- Coppin, F.; Berger, G.; Bauer, A.; Castet, S.; Loubet, M. Sorption of lanthanides on smectite and kaolinite. Chem. Geol. 2002, 182, 57–68. [Google Scholar] [CrossRef]
- Murakami, H.; Ishihara, S. REE mineralization of weathered crust and clay sediment on granitic rocks in the Sanyo Belt, SW Japan and the Southern Jiangxi Province, China. Resour. Geol. 2008, 58, 373–401. [Google Scholar] [CrossRef]
- Tripathy, G.R.; Singh, S.K.; Krishnaswami, S. Sr and Nd Isotopes as Tracers of Chemical and Physical Erosion. In Handbook of Environmental Isotope Geochemistry; Baskaran, M., Ed.; Springer: Berlin, Germany, 2011; pp. 521–552. [Google Scholar] [CrossRef]
- Zaunbrecher, L.K.; Elliott, W.C.; Wampler, J.M.; Perdrial, N.; Kaplan, D.I. Enrichment of cesium and rubidium in weathered micaceous materials at the Savannah River Site, South Carolina. Environ. Sci. Technol. 2015, 49, 4226–4234. [Google Scholar] [CrossRef]
- Zaunbrecher, L.K.; Cygan, R.T.; Elliott, W.C. Molecular models of cesium and rubidium adsorption on weathered micaceous minerals. J. Phys. Chem. A 2015, 119, 5691–5700. [Google Scholar] [CrossRef] [PubMed]
- Zhang, Z.; Ma, J.; Wang, Z.; Zhang, L.; He, X.; Zhu, G.; Zeng, T.; Wei, G. Rubidium isotope fractionation during chemical weathering of granite. Geochim. Cosmochim. Acta 2021, 313, 99–115. [Google Scholar] [CrossRef]
- Singh, R.; Singh, S.; Parihar, P.; Singh, V.P.; Prasad, S.M. Arsenic contamination, consequences and remediation techniques: A review. Ecotoxicol. Environ. Saf. 2015, 112, 247–270. [Google Scholar] [CrossRef]
- Von Strandmann, P.A.E.P.; Kasemann, S.A.; Wimpenny, J.B. Lithium and Lithium Isotopes in Earth’s Surface Cycles. Elements 2020, 16, 253–258. [Google Scholar] [CrossRef]
- Négrel, P.; Millot, R. Lithium isotopic fingerprints of sources and processes in surface waters of the Ebro River Basin (Spain). Sci. Total Environ. 2023, 876, 162793. [Google Scholar] [CrossRef]
- Vigier, N.; Decarreau, A.; Millot, R.; Carignan, J.; Petit, S.; France-Lanord, C. Quantifying Li isotope fractionation during smectite formation and implications for the Li cycle. Geochim. Cosmochim. Acta 2008, 72, 780–792. [Google Scholar] [CrossRef]
- Rudnick, R.L.; Tomascak, P.B.; Njo, H.B.; Gardner, L.R. Extreme lithium isotopic fractionation during continental weathering revealed in saprolites from South Carolina. Chem. Geol. 2004, 212, 45–57. [Google Scholar] [CrossRef]
- Zhang, J.-W.; Zhao, Z.-Q.; Yan, Y.-N.; Cui, L.-F.; Wang, Q.-L.; Meng, J.-L.; Li, X.-D.; Liu, C.-Q. Lithium and its isotopes behavior during incipient weathering of granite in the eastern Tibetan Plateau, China. Chem. Geol. 2021, 559, 119969. [Google Scholar] [CrossRef]
- Wunder, B.; Meixner, A.; Romer, R.L.; Feenstra, A.; Schettler, G.; Heinrich, W. Lithium isotope fractionation between Li-bearing staurolite, Li-mica and aqueous fluids: An experimental study. Chem. Geol. 2007, 238, 277–290. [Google Scholar] [CrossRef]
- Millot, R.; Vigier, N.; Gaillardet, J. Behaviour of lithium and its isotopes during weathering in the Mackenzie Basin, Canada. Geochim. Cosmochim. Acta 2010, 74, 3897–3912. [Google Scholar] [CrossRef]
- Tomascak, P.B.; Magna, T.; Dohmen, R. Advances in Lithium Isotope Geochemistry; Springer International Publishing: Cham, Switzerland, 2016; pp. 1–195. [Google Scholar]
- Pistiner, J.S.; Henderson, G.M. Lithium-isotope fractionation during continental weathering processes. Earth Planet. Sci. Lett. 2003, 214, 327–339. [Google Scholar] [CrossRef]
- Millot, R.; Girard, J.P. Lithium isotope fractionation during adsorption onto mineral surfaces. In Proceedings of the Clays in Natural and Engineered Barriers for Radioactive Waste Confinement: 3rd International Meeting, Lille, France, 17–18 September 2007. [Google Scholar]
- Austin, J.C.; Perry, A.; Richter, D.D.; Schroeder, P.A. Modifications of 2:1 Clay Minerals in a Kaolinite-Dominated Ultisol under Changing Land-Use Regimes. Clays Clay Miner. 2018, 66, 61–73. [Google Scholar] [CrossRef]
- Osman, K.T. Soil Resources and Soil Degradation. In Soils; Springer: Dordrecht, The Netherlands, 2013. [Google Scholar] [CrossRef]
- Sone, J.S.; Sanches de Oliveira, P.T.; Pereira Zamboni, P.A.; Motta Vieira, N.O.; Altrão Carvalho, G.; Motta Macedo, M.C.; Alves Sobrinho, T. Effects of long-term crop-livestock-forestry systems on soil erosion and water infiltration in a Brazilian Cerrado site. Sustainability 2019, 11, 5339. [Google Scholar] [CrossRef]
- Hernández, J.E.; Tirado Torres, D.; Beltrán Hernández, R.I. Captura de carbono en los suelos. Pädi Boletín Científico Cienc. Básicas Ing. ICBI 2014, 1. [Google Scholar] [CrossRef]







| LU/LC | Native Forest | Shrubland | Adult Forestal Plantations | Degraded Soil | Others | Total |
|---|---|---|---|---|---|---|
| % | 41.9 | 20.1 | 17.8 | 6.4 | 13.8 | 100 |
| LU/LC | N Sub-Basin | S Sub-Basin | W Sub-Basin | |||
|---|---|---|---|---|---|---|
| Ha | % | Ha | % | Ha | % | |
| Native Forest | 237.83 | 66.90 | 223.89 | 67.88 | 81.30 | 18.93 |
| Shrubland | 7.76 | 2.18 | 0 | 0 | 61.80 | 14.39 |
| Adult forestal plantations | 103.65 | 29.16 | 83.93 | 25.45 | 263.46 | 61.35 |
| Others | 6.26 | 1.76 | 22.03 | 6.68 | 22.87 | 5.32 |
![]() |
![]() |
| ID | δ7LiW | δ7LiLOAD | Δ7LiW-LOAD |
|---|---|---|---|
| (‰) | (‰) | (‰) | |
| N sub-basin | |||
| N2 | +17.9 | −6.7 | 24.6 |
| N3 | +19.1 | −6.8 | 25.9 |
| S sub-basin | |||
| S1 | +10.3 | −12.5 | 22.8 |
| S4 | +15.4 | −8.1 | 23.5 |
| W sub-basin | |||
| W0 | +18.01 | −8.3 | 26.4 |
| W4 | +20.2 | −7.1 | 27.3 |
Disclaimer/Publisher’s Note: The statements, opinions and data contained in all publications are solely those of the individual author(s) and contributor(s) and not of MDPI and/or the editor(s). MDPI and/or the editor(s) disclaim responsibility for any injury to people or property resulting from any ideas, methods, instructions or products referred to in the content. |
© 2024 by the authors. Licensee MDPI, Basel, Switzerland. This article is an open access article distributed under the terms and conditions of the Creative Commons Attribution (CC BY) license (https://creativecommons.org/licenses/by/4.0/).
Share and Cite
Contreras, A.; Álvarez-Amado, F.; Aguilar-Gomez, M.; Campos-Quiroz, D.; Castillo, P.; Tardani, D.; Poblete-González, C.; Cortés-Aranda, J.; Godfrey, L.; Orellana-Silva, N. Land-Use Impacts on Soil Erosion: Geochemical Insights from an Urban Drinking Catchment, South-Central Chile. Water 2024, 16, 3246. https://doi.org/10.3390/w16223246
Contreras A, Álvarez-Amado F, Aguilar-Gomez M, Campos-Quiroz D, Castillo P, Tardani D, Poblete-González C, Cortés-Aranda J, Godfrey L, Orellana-Silva N. Land-Use Impacts on Soil Erosion: Geochemical Insights from an Urban Drinking Catchment, South-Central Chile. Water. 2024; 16(22):3246. https://doi.org/10.3390/w16223246
Chicago/Turabian StyleContreras, Angela, Fernanda Álvarez-Amado, Maite Aguilar-Gomez, Dilan Campos-Quiroz, Pamela Castillo, Daniele Tardani, Camila Poblete-González, Joaquín Cortés-Aranda, Linda Godfrey, and Nicolás Orellana-Silva. 2024. "Land-Use Impacts on Soil Erosion: Geochemical Insights from an Urban Drinking Catchment, South-Central Chile" Water 16, no. 22: 3246. https://doi.org/10.3390/w16223246
APA StyleContreras, A., Álvarez-Amado, F., Aguilar-Gomez, M., Campos-Quiroz, D., Castillo, P., Tardani, D., Poblete-González, C., Cortés-Aranda, J., Godfrey, L., & Orellana-Silva, N. (2024). Land-Use Impacts on Soil Erosion: Geochemical Insights from an Urban Drinking Catchment, South-Central Chile. Water, 16(22), 3246. https://doi.org/10.3390/w16223246



