Predicting COD and TN in A2O+AO Process Considering Influent and Reactor Variability: A Dynamic Ensemble Model Approach
Abstract
1. Introduction
2. Materials and Methods
2.1. A2O+AO Process
2.2. Analytical Methods
3. Data Analysis and Model Development
3.1. Exploratory Data Analysis (EDA) and Preprocessing
3.2. Model Development
3.3. Training and Evaluation
3.4. Software and Tools
4. Results and Discussion
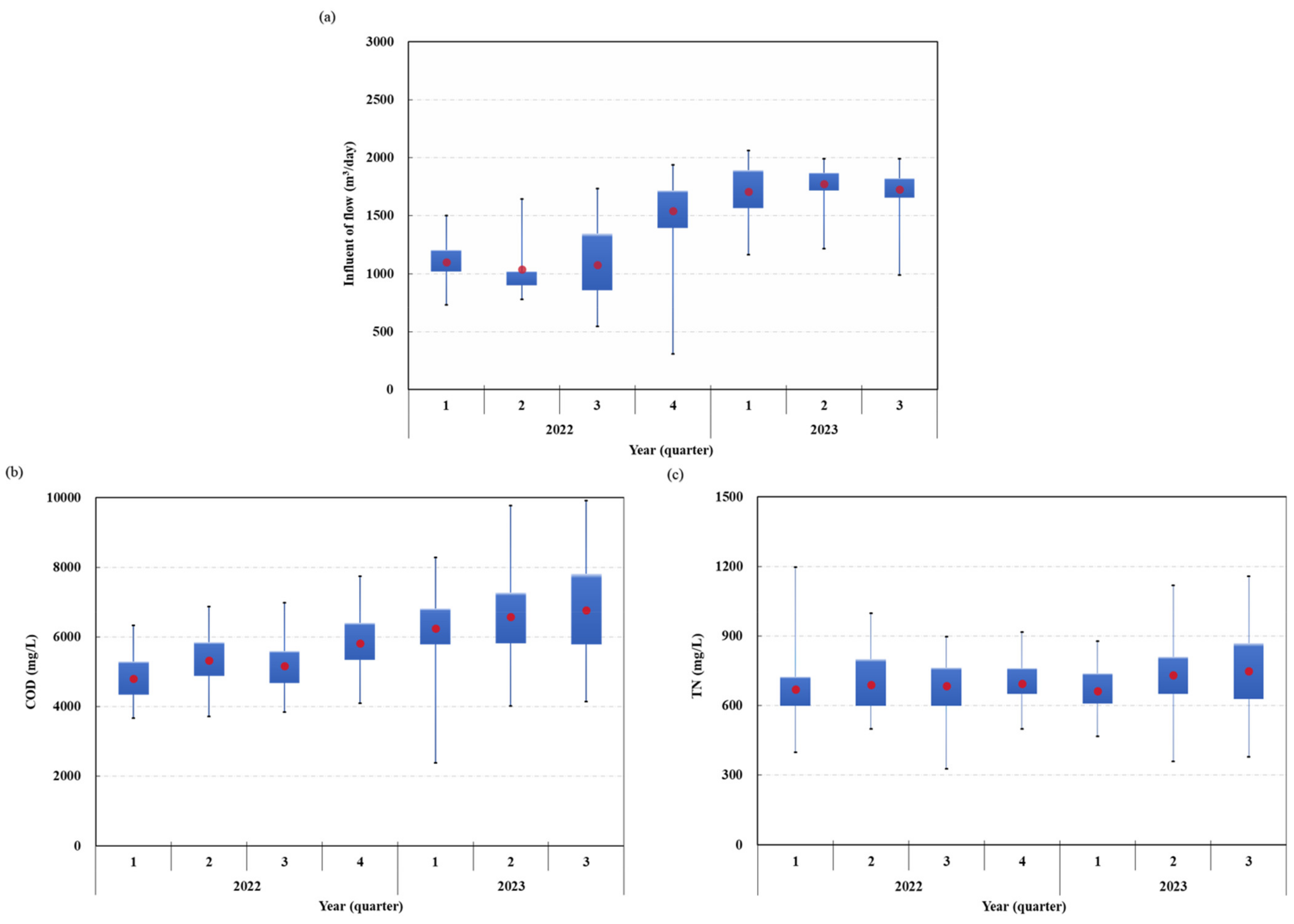
4.1. Analysis of Influent Variability in the A2O+AO Process over a Two-Year Period
4.2. Prediction of COD and TN Using Ensemble Models
4.2.1. Static Ensemble Model
4.2.2. Dynamic Ensemble Model
5. Conclusions
Author Contributions
Funding
Data Availability Statement
Conflicts of Interest
References
- Obaideen, K.; Shehata, N.; Sayed, E.T.; Abdelkareem, M.A.; Mahmoud, M.S.; Olabi, A.G. The role of wastewater treatment in achieving sustainable development goals (SDGs) and sustainability guideline. Energy Nexus 2022, 7, 100112. [Google Scholar] [CrossRef]
- Wang, X.; Kvaal, K.; Ratnaweera, H. Characterization of influent wastewater with periodic variation and snow melting effect in cold climate area. Comput. Chem. Eng. 2017, 106, 202–211. [Google Scholar] [CrossRef]
- Wang, M.; Zhu, J.; Mao, X. Removal of Pathogens in Onsite Wastewater Treatment Systems: A Review of Design Considerations and Influencing Factors. Water 2021, 13, 1190. [Google Scholar] [CrossRef]
- khalidi-idrissi, A.; Madinzi, A.; Anouzla, A.; Pala, A.; Mouhir, L.; Kadmi, Y.; Souabi, S. Recent advances in the biological treatment of wastewater rich in emerging pollutants produced by pharmaceutical industrial discharges. Int. J. Environ. Sci. Technol. 2023, 20, 11719–11740. [Google Scholar] [CrossRef]
- Dufatanye, I.; Lee, Y.; Kim, H.; Lee, S. Industrial Wastewater Discharge and Compliance Investigation for Environmentally Resilient Rwanda. Water 2022, 14, 3100. [Google Scholar] [CrossRef]
- Malviya, A.; Jaspal, D. Artificial intelligence as an upcoming technology in wastewater treatment: A comprehensive review. Environ. Technol. Rev. 2021, 10, 177–187. [Google Scholar] [CrossRef]
- Wang, Y.; Cheng, Y.; Liu, H.; Guo, Q.; Dai, C.; Zhao, M.; Liu, D. A Review on Applications of Artificial Intelligence in Wastewater Treatment. Sustainability 2023, 15, 13557. [Google Scholar] [CrossRef]
- Singh, N.K.; Yadav, M.; Singh, V.; Padhiyar, H.; Kumar, V.; Bhatia, S.K.; Show, P.-L. Artificial intelligence and machine learning-based monitoring and design of biological wastewater treatment systems. Bioresour. Technol. 2023, 369, 128486. [Google Scholar] [CrossRef]
- Zaghloul, M.S.; Achari, G. Application of machine learning techniques to model a full-scale wastewater treatment plant with biological nutrient removal. J. Environ. Chem. Eng. 2022, 10, 107430. [Google Scholar] [CrossRef]
- Xie, Y.; Chen, Y.; Lian, Q.; Yin, H.; Peng, J.; Sheng, M.; Wang, Y. Enhancing Real-Time Prediction of Effluent Water Quality of Wastewater Treatment Plant Based on Improved Feedforward Neural Network Coupled with Optimization Algorithm. Water 2022, 14, 1053. [Google Scholar] [CrossRef]
- Pan, Y.; Hua, T.-W.; Sun, R.-Z.; Fu, Y.-Y.; Xiao, Z.-C.; Wang, J.; Yu, H.-Q. Machine Learning-Assisted Optimization of Mixed Carbon Source Compositions for High-Performance Denitrification. Environ. Sci. Technol. 2024, 58, 12498–12508. [Google Scholar] [CrossRef] [PubMed]
- Ibrahim, M.; Haider, A.; Lim, J.W.; Mainali, B.; Aslam, M.; Kumar, M.; Shahid, M.K. Artificial neural network modeling for the prediction, estimation, and treatment of diverse wastewaters: A comprehensive review and future perspective. Chemosphere 2024, 362, 142860. [Google Scholar] [CrossRef] [PubMed]
- Inbar, O.; Shahar, M.; Avisar, D. Predictive modeling of BOD throughout wastewater treatment: A generalizable machine learning approach for improved effluent quality. Environ. Sci. Water Res. Technol. 2024, 10, 2577–2588. [Google Scholar] [CrossRef]
- Zhang, S.; Jin, Y.; Chen, W.; Wang, J.; Wang, Y.; Ren, H. Artificial intelligence in wastewater treatment: A data-driven analysis of status and trends. Chemosphere 2023, 336, 139163. [Google Scholar] [CrossRef]
- Mathaba, M.; Banza, J. A comprehensive review on artificial intelligence in water treatment for optimization. Clean water now and the future. J. Environ. Sci. Health Part A 2023, 58, 1047–1060. [Google Scholar] [CrossRef]
- Nagpal, M.; Siddique, M.A.; Sharma, K.; Sharma, N.; Mittal, A. Optimizing wastewater treatment through artificial intelligence: Recent advances and future prospects. Water Sci. Technol. 2024, 90, 731–757. [Google Scholar] [CrossRef]
- Yu, X.; Chen, S.; Zhang, X.; Wu, H.; Guo, Y.; Guan, J. Research progress of the artificial intelligence application in wastewater treatment during 2012–2022: A bibliometric analysis. Water Sci. Technol. 2023, 88, 1750–1766. [Google Scholar] [CrossRef]
- Ateunkeng, J.G.; Boum, A.T.; Bitjoka, L. Enhancement of energy and cost efficiency in wastewater treatment plants using hybrid bio-inspired machine learning control techniques. J. Environ. Chem. Eng. 2024, 12, 112496. [Google Scholar] [CrossRef]
- Safeer, S.; Pandey, R.P.; Rehman, B.; Safdar, T.; Ahmad, I.; Hasan, S.W.; Ullah, A. A review of artificial intelligence in water purification and wastewater treatment: Recent advancements. J. Water Process Eng. 2022, 49, 102974. [Google Scholar] [CrossRef]
- Alprol, A.E.; Mansour, A.T.; Ibrahim, M.E.; Ashour, M. Artificial Intelligence Technologies Revolutionizing Wastewater Treatment: Current Trends and Future Prospective. Water 2024, 16, 314. [Google Scholar] [CrossRef]
- Rong, Y.; Liu, X.; Wen, L.; Jin, X.; Shi, X.; Jin, P. Advanced nutrient removal in a continuous A2/O process based on partial nitrification-anammox and denitrifying phosphorus removal. J. Water Process Eng. 2020, 36, 101245. [Google Scholar] [CrossRef]
- Sheik, A.G.; Tejaswini, E.S.S.; Seepana, M.M.; Ambati, S.R. Control of anaerobic-anoxic-aerobic (A2/O) processes in wastewater treatment: A detailed review. Environ. Technol. Rev. 2023, 12, 420–440. [Google Scholar] [CrossRef]
- Ye, L.; Zhou, Y.; Tang, L.; Chen, S.; Zhao, X. Analysis of the Partial Nitrification/Anammox Performance and Microbial Structure of Low C/N Wastewater by A2/O Process. Water 2023, 15, 2300. [Google Scholar] [CrossRef]
- Wang, J.; Chon, K.; Ren, X.; Kou, Y.; Chae, K.-J.; Piao, Y. Effects of beneficial microorganisms on nutrient removal and excess sludge production in an anaerobic-anoxic/oxic (A2O) process for municipal wastewater treatment. Bioresour. Technol. 2019, 281, 90–98. [Google Scholar] [CrossRef]
- Kadhim, A.M.; Arab, S.A.-A.; Dawood, A.S. Effect of internal and external recycle ratios on the nutrient removal efficiency of anaerobic/anoxic/oxic (VIP) wastewater treatment plant. Open Eng. 2024, 14, 20220565. [Google Scholar] [CrossRef]
- Cheng, Q.; Kim, J.-Y.; Wang, Y.; Ren, X.; Guo, Y.; Park, J.-H.; Park, S.-G.; Lee, S.-Y.; Zheng, G.; Wang, Y.; et al. Novel Ensemble Learning Approach for Predicting COD and TN: Model Development and Implementation. Water 2024, 16, 1561. [Google Scholar] [CrossRef]
- Jia, F.; Liu, C.; Zhao, X.; Chen, J.; Zhang, Z.; Yao, H. Real-time monitoring control of sequencing batch anammox process. Environ. Sci. Pollut. Res. 2023, 30, 15414–15421. [Google Scholar] [CrossRef]
- Sattayatewa, C.; Pagilla, K.; Pitt, P.; Selock, K.; Bruton, T. Organic nitrogen transformations in a 4-stage Bardenpho nitrogen removal plant and bioavailability/biodegradability of effluent DON. Water Res. 2009, 43, 4507–4516. [Google Scholar] [CrossRef]
- Wu, C.; Chen, Z.; Liu, X.; Peng, Y. Nitrification–denitrification via nitrite in SBR using real-time control strategy when treating domestic wastewater. Biochem. Eng. J. 2007, 36, 87–92. [Google Scholar] [CrossRef]
- Oh, H.; Park, H.-Y.; Kim, J.I.; Lee, B.J.; Choi, J.H.; Hur, J. Enhancing machine learning models for total organic carbon prediction by integrating geospatial parameters in river watersheds. Sci. Total Environ. 2024, 943, 173743. [Google Scholar] [CrossRef]
- Bagherzadeh, F.; Mehrani, M.-J.; Basirifard, M.; Roostaei, J. Comparative study on total nitrogen prediction in wastewater treatment plant and effect of various feature selection methods on machine learning algorithms performance. J. Water Process Eng. 2021, 41, 102033. [Google Scholar] [CrossRef]
- Gholizadeh, M.; Saeedi, R.; Bagheri, A.; Paeezi, M. Machine learning-based prediction of effluent total suspended solids in a wastewater treatment plant using different feature selection approaches: A comparative study. Environ. Res. 2024, 246, 118146. [Google Scholar] [CrossRef] [PubMed]
- Mahanna, H.; El-Rashidy, N.; Kaloop, M.R.; El-Sapakh, S.; Alluqmani, A.; Hassan, R. Prediction of wastewater treatment plant performance through machine learning techniques. Desalination Water Treat. 2024, 319, 100524. [Google Scholar] [CrossRef]
- Baarimah, A.O.; Bazel, M.A.; Alaloul, W.S.; Alazaiza, M.Y.D.; Al-Zghoul, T.M.; Almuhaya, B.; Khan, A.; Mushtaha, A.W. Artificial intelligence in wastewater treatment: Research trends and future perspectives through bibliometric analysis. Case Stud. Chem. Environ. Eng. 2024, 10, 100926. [Google Scholar] [CrossRef]
- Rane, N.; Choudhary, S.; Rane, J. Leading-edge Artificial Intelligence (AI), Machine Learning (ML), Blockchain, and Internet of Things (IoT) technologies for enhanced wastewater treatment systems. SRN Electron. J. 2023. [Google Scholar] [CrossRef]
- Durgun, Y. Real-time water quality monitoring using AI-enabled sensors: Detection of contaminants and UV disinfection analysis in smart urban water systems. J. King Saud Univ. -Sci. 2024, 36, 103409. [Google Scholar] [CrossRef]
- Xiang, J.; Wang, C.; Lv, W.; Liu, Y.; Sun, J.; Gong, T. Differences of bacterial communities in two full-scale A2/O municipal wastewater treatment plants and their effects on effluent total nitrogen removal. Environ. Technol. Innov. 2021, 21, 101317. [Google Scholar] [CrossRef]
- Chen, Y.; Li, B.; Ye, L.; Peng, Y. The combined effects of COD/N ratio and nitrate recycling ratio on nitrogen and phosphorus removal in anaerobic/anoxic/aerobic (A2/O)-biological aerated filter (BAF) systems. Biochem. Eng. J. 2015, 93, 235–242. [Google Scholar] [CrossRef]
- Wei, T.; Ban, Z.; Ke, X.; Chen, A.; Guan, X.; Gan, H.; Pan, J.; Li, Z.; Wei, C.; Qiu, G.; et al. A combined process model for wastewater treatment based on hydraulic retention time and toxicity inhibition. Chemosphere 2023, 329, 138660. [Google Scholar] [CrossRef]
- Ansari, M.; Othman, F.; El-Shafie, A. Optimized fuzzy inference system to enhance prediction accuracy for influent characteristics of a sewage treatment plant. Sci. Total Environ. 2020, 722, 137878. [Google Scholar] [CrossRef]
- Wang, R.; Yu, Y.; Chen, Y.; Pan, Z.; Li, X.; Tan, Z.; Zhang, J. Model construction and application for effluent prediction in wastewater treatment plant: Data processing method optimization and process parameters integration. J. Environ. Manag. 2022, 302, 114020. [Google Scholar] [CrossRef] [PubMed]
- Aghdam, E.; Mohandes, S.R.; Manu, P.; Cheung, C.; Yunusa-Kaltungo, A.; Zayed, T. Predicting quality parameters of wastewater treatment plants using artificial intelligence techniques. J. Clean. Prod. 2023, 405, 137019. [Google Scholar] [CrossRef]
- Kramer, O.; Kramer, O. Scikit-learn. Mach. Learn. Evol. Strateg. 2016, 20, 45–53. [Google Scholar]
- Pearson, K.; Galton, F., VII. Note on regression and inheritance in the case of two parents. Proc. R. Soc. Lond. 1997, 58, 240–242. [Google Scholar]
- Chen, T.; Guestrin, C. XGBoost: A Scalable Tree Boosting System. In Proceedings of the 22nd ACM SIGKDD International Conference on Knowledge Discovery and Data Mining, San Francisco, CA, USA, 13–17 August 2016; pp. 785–794. [Google Scholar]
- Breiman, L. Random Forests. Mach. Learn. 2001, 45, 5–32. [Google Scholar] [CrossRef]
- Martin, C.; Vanrolleghem, P.A. Analysing, completing, and generating influent data for WWTP modelling: A critical review. Environ. Model. Softw. 2014, 60, 188–201. [Google Scholar] [CrossRef]
- Saikia, S.D.; Ryan, P.; Nuyts, S.; Nolan, P.; Clifford, E. Impacts of projected future changes in precipitation on wastewater treatment plant influent volumes connected by combined sewer collection systems. Clim. Serv. 2024, 35, 100511. [Google Scholar] [CrossRef]
- Pan, Z.; Zhou, J.; Lin, Z.; Wang, Y.; Zhao, P.; Zhou, J.; Liu, S.; He, X. Effects of COD/TN ratio on nitrogen removal efficiency, microbial community for high saline wastewater treatment based on heterotrophic nitrification-aerobic denitrification process. Bioresour. Technol. 2020, 301, 122726. [Google Scholar] [CrossRef]
- Xu, G.; Zhang, Z.; Gao, F. Effect of COD/N ratios and DO concentrations on the NOB suppression in a multi-cycle SBR. J. Environ. Chem. Eng. 2021, 9, 105735. [Google Scholar] [CrossRef]
- Andreides, M.; Dolejš, P.; Bartáček, J. The prediction of WWTP influent characteristics: Good practices and challenges. J. Water Process Eng. 2022, 49, 103009. [Google Scholar] [CrossRef]
- Alvi, M.; Batstone, D.; Mbamba, C.K.; Keymer, P.; French, T.; Ward, A.; Dwyer, J.; Cardell-Oliver, R. Deep learning in wastewater treatment: A critical review. Water Res. 2023, 245, 120518. [Google Scholar] [CrossRef] [PubMed]
- Lotfi, K.; Bonakdari, H.; Ebtehaj, I.; Mjalli, F.S.; Zeynoddin, M.; Delatolla, R.; Gharabaghi, B. Predicting wastewater treatment plant quality parameters using a novel hybrid linear-nonlinear methodology. J. Environ. Manag. 2019, 240, 463–474. [Google Scholar] [CrossRef] [PubMed]
- Ye, C.; Zhou, Z.; Li, M.; Liu, Q.; Xu, T.; Li, J. Evaluation of simultaneous organic matters and nutrients removal from municipal wastewater using a novel bioreactor (D-A2O) system. J. Environ. Manag. 2018, 218, 509–515. [Google Scholar] [CrossRef] [PubMed]
- Abyar, H.; Younesi, H.; Bahramifar, N.; Zinatizadeh, A.A. Biological CNP removal from meat-processing wastewater in an innovative high rate up-flow A2O bioreactor. Chemosphere 2018, 213, 197–204. [Google Scholar] [CrossRef]
- Kim, S.; Kim, H. A new metric of absolute percentage error for intermittent demand forecasts. Int. J. Forecast. 2016, 32, 669–679. [Google Scholar] [CrossRef]
- de Myttenaere, A.; Golden, B.; Le Grand, B.; Rossi, F. Mean Absolute Percentage Error for regression models. Neurocomputing 2016, 192, 38–48. [Google Scholar] [CrossRef]
- McKenzie, J. Mean absolute percentage error and bias in economic forecasting. Econ. Lett. 2011, 113, 259–262. [Google Scholar] [CrossRef]
- Robeson, S.M.; Willmott, C.J. Decomposition of the mean absolute error (MAE) into systematic and unsystematic components. PLoS ONE 2023, 18, e0279774. [Google Scholar] [CrossRef]
- Ai, C.; Yan, Z.; Zhou, H.; Hou, S.; Chai, L.; Qiu, G.; Zeng, W. Metagenomic Insights into the Effects of Seasonal Temperature Variation on the Activities of Activated Sludge. Microorganisms 2019, 7, 713. [Google Scholar] [CrossRef]
- Meynet, P.; Joss, A.; Davenport, R.J.; Fenner, K. Impact of long-term temperature shifts on activated sludge microbiome dynamics and micropollutant removal. Water Res. 2024, 258, 121790. [Google Scholar] [CrossRef]
- Alsulaili, A.; Al-Buloushi, B.Y.; Hamoda, M.F. Seasonal variation pattern of physicochemical and microbial parameters in a wastewater treatment plant. Desalination Water Treat. 2020, 208, 244–260. [Google Scholar] [CrossRef]
- Afan, H.A.; Melini Wan Mohtar, W.H.; Khaleel, F.; Kamel, A.H.; Mansoor, S.S.; Alsultani, R.; Ahmed, A.N.; Sherif, M.; El-Shafie, A. Data-driven water quality prediction for wastewater treatment plants. Heliyon 2024, 10, e36940. [Google Scholar] [CrossRef]
- Roohi, A.M.; Nazif, S.; Ramazi, P. Tackling data challenges in forecasting effluent characteristics of wastewater treatment plants. J. Environ. Manag. 2024, 354, 120324. [Google Scholar] [CrossRef]
- Mikalef, P.; Gupta, M. Artificial intelligence capability: Conceptualization, measurement calibration, and empirical study on its impact on organizational creativity and firm performance. Inf. Manag. 2021, 58, 103434. [Google Scholar] [CrossRef]
- Babina, T.; Fedyk, A.; He, A.; Hodson, J. Artificial intelligence, firm growth, and product innovation. J. Financ. Econ. 2024, 151, 103745. [Google Scholar] [CrossRef]
- Scaife, A.D. Improve predictive maintenance through the application of artificial intelligence: A systematic review. Results Eng. 2024, 21, 101645. [Google Scholar] [CrossRef]
- Zhao, Y.-W.; Du, L.-L.; Hu, B.; Lin, H.-Y.; Liang, B.; Song, Y.-P.; Wang, Y.-Q.; Wang, H.-W.; Li, P.-F.; Wang, A.-J.; et al. Impact of influent characteristics and operational parameters on nitrous oxide emissions in wastewater treatment: Strategies for mitigation and microbial insights. Curr. Res. Biotechnol. 2024, 7, 100207. [Google Scholar] [CrossRef]
- Liang, J.; Yuan, Y.; Zhang, Z.; You, S.; Yuan, Y. Modeling a Three-Stage Biological Trickling Filter Based on the A2O Process for Sewage Treatment. Water 2021, 13, 1152. [Google Scholar] [CrossRef]
- Zhang, M.; Song, T.; Zhu, C.; Fan, Y.; Soares, A.; Gu, X.; Wu, J. Roles of nitrate recycling ratio in the A2/O-MBBR denitrifying phosphorus removal system for high-efficient wastewater treatment: Performance comparison, nutrient mechanism and potential evaluation. J. Environ. Manag. 2020, 270, 110887. [Google Scholar] [CrossRef]
- Sun, Z.; Li, M.; Wang, G.; Yan, X.; Li, Y.; Lan, M.; Liu, R.; Li, B. Enhanced carbon and nitrogen removal in an integrated anaerobic/anoxic/aerobic-membrane aerated biofilm reactor system. RSC Adv. 2020, 10, 28838–28847. [Google Scholar] [CrossRef]
- Xu, R.; Fan, Y.; Wei, Y.; Wang, Y.; Luo, N.; Yang, M.; Yuan, X.; Yu, R. Influence of carbon sources on nutrient removal in A2/O-MBRs: Availability assessment of internal carbon source. J. Environ. Sci. 2016, 48, 59–68. [Google Scholar] [CrossRef] [PubMed]











| Influent Flow Rate (m3/d) | pH | Temp. (°C) | TDS (mg/L) | CODCr (mg/L) | TN (mg/L) | NH3-N (mg/L) | NO3-N (mg/L) | TP (mg/L) |
|---|---|---|---|---|---|---|---|---|
| 1203 | 7.3 ± 0.6 | 36.0 ± 4.5 | 6821.4 ± 1378.8 | 5868.8 ± 1195.6 | 704.1 ± 131.8 | 305.1 ± 87.7 | 205.1 ± 40.1 | 19.8 ± 8.8 |
| Parameters | 2022 | 2023 |
|---|---|---|
| Flow (m3/day) | 310~1942 * (1181.3 ± 318.5) ** | 990~2066 (1739.7 ± 172.6) |
| COD (mg/L) | 3680~7750 (5315.7 ± 762.5) | 2390~9920 (6953.0 ± 1156.9) |
| TN (mg/L) | 330~1200 (685.8 ± 112.1) | 360~1160 (725.2 ± 139.8) |
| Parameter (mg/L) | 2022 | 2023 | ||||||
|---|---|---|---|---|---|---|---|---|
| 1 * | 2 ** | 3 *** | 4 **** | 1 | 2 | 3 | ||
| Flow (m3/day) | Min | 736.0 | 781.0 | 547.0 | 310 | 1166.0 | 1220.0 | 990.0 |
| 25% | 1021.0 | 899.0 | 857.5 | 1393.0 | 1567.5 | 1717.0 | 1655.8 | |
| 50% | 1099.2 | 1037.2 | 1077.6 | 1541.6 | 1708.5 | 1774.6 | 1728.4 | |
| 75% | 1204.0 | 1020.8 | 1349.5 | 1720.3 | 1893.5 | 1870.3 | 1820.8 | |
| Max | 1505.0 | 1646.0 | 1735.0 | 1942.0 | 2066.0 | 1944.0 | 1955.0 | |
| COD | Min | 3680.0 | 3720.0 | 3860.0 | 4100.0 | 2390.0 | 4030.0 | 4160.0 |
| 25% | 4337.5 | 4880.0 | 4685.0 | 5347.5 | 5780.0 | 5820.0 | 5792.5 | |
| 50% | 4800.8 | 5330.5 | 5176.2 | 5814.1 | 6243.1 | 6574.5 | 6776.3 | |
| 75% | 5295.0 | 5845.0 | 5595.0 | 6402.5 | 6820.0 | 7280.0 | 7810.0 | |
| Max | 6340.0 | 6880.0 | 6990.0 | 7750.0 | 8290.0 | 9780.0 | 9920.0 | |
| TN | Min | 400.0 | 500.0 | 330.0 | 500.0 | 470.0 | 360.0 | 380.0 |
| 25% | 600.0 | 600.0 | 600.0 | 650.0 | 610.0 | 650.0 | 630.0 | |
| 50% | 670.0 | 689.4 | 684.6 | 694.1 | 664.2 | 731.6 | 749.8 | |
| 75% | 725.0 | 800.0 | 765.0 | 762.5 | 740.0 | 810.0 | 870.0 | |
| Max | 1200.0 | 1000.0 | 900.0 | 920.0 | 880.0 | 1120.0 | 1160.0 | |
| Predicting Parameter | Feature Input Parameter | Process | R2 | MAE | MAPE | MSE | RMSE | |
|---|---|---|---|---|---|---|---|---|
| COD | pHinf. * Tempinf. TDSinf. NH3-Npro. ** NO3-Npro. | A2O | Anaerobic | −0.0925 | 283.8041 | 0.1690 | 143,116.8 | 378.3078 |
| Anoxic | 0.1178 | 59.1735 | 0.1158 | 9343.6 | 96.6622 | |||
| Oxic | 0.2530 | 58.0984 | 0.1523 | 7390.5 | 85.9681 | |||
| AO | Anoxic | 0.1505 | 52.7670 | 0.1411 | 7150.5 | 84.5605 | ||
| Oxic | 0.2306 | 49.4209 | 0.1429 | 6358.5 | 79.7402 | |||
| TN | A2O | Anaerobic | 0.1133 | 85.5553 | 0.2041 | 15,326.1 | 123.7988 | |
| Anoxic | 0.0525 | 20.0586 | 0.1600 | 925.3 | 30.4186 | |||
| Oxic | 0.8253 | 6.0945 | 0.0633 | 103.4 | 10.1695 | |||
| AO | Anoxic | 0.5439 | 6.2781 | 0.0661 | 211.6 | 14.5462 | ||
| Oxic | 0.7443 | 4.0193 | 0.0531 | 39.5 | 6.2866 | |||
| Predicting Parameter | Feature Input Parameter | Process | Ensemble Model | R2 | MAE | MAPE | MSE | RMSE | |
|---|---|---|---|---|---|---|---|---|---|
| COD | pHinf Tempinf TDSinf NH3-Npro NO3-Npro | A2O | Anaerobic | Static * | −0.0925 | 283.8041 | 0.1690 | 143,116.8 | 378.3078 |
| Dynamic | 0.0428 | 258.8202 | 0.1523 | 124,594.3 | 352.9792 | ||||
| Anoxic | Static | 0.1178 | 59.1735 | 0.1158 | 9343.6 | 96.6622 | |||
| Dynamic | 0.1384 | 47.6668 | 0.0959 | 5376.9 | 73.3271 | ||||
| Oxic | Static | 0.2530 | 58.0984 | 0.1523 | 7390.5 | 85.9681 | |||
| Dynamic | 0.1687 | 53.6542 | 0.1358 | 6407.1 | 80.0442 | ||||
| AO | Anoxic | Static | 0.1505 | 52.7670 | 0.1411 | 7150.5 | 84.5605 | ||
| Dynamic | 0.1682 | 43.0268 | 0.1141 | 4347.1 | 65.9322 | ||||
| Oxic | Static | 0.2306 | 49.4209 | 0.1429 | 6358.5 | 79.7402 | |||
| Dynamic | 0.1281 | 40.0627 | 0.1199 | 4115.9 | 64.1555 | ||||
| TN | A2O | Anaerobic | Static | 0.1133 | 85.5553 | 0.2041 | 15,326.1 | 123.7988 | |
| Dynamic | 0.1710 | 67.6299 | 0.1409 | 10,170.1 | 100.8469 | ||||
| Anoxic | Static | 0.0525 | 20.0586 | 0.1600 | 925.3 | 30.4186 | |||
| Dynamic | 0.1377 | 20.7937 | 0.1555 | 938.8 | 30.6369 | ||||
| Oxic | Static | 0.8253 | 6.0945 | 0.0633 | 103.4 | 10.1695 | |||
| Dynamic | 0.6027 | 10.6544 | 0.1167 | 258.7 | 16.0843 | ||||
| AO | Anoxic | Static | 0.5439 | 6.2781 | 0.0661 | 211.6 | 14.5462 | ||
| Dynamic | 0.2824 | 9.3428 | 0.1129 | 193.6 | 13.9126 | ||||
| Oxic | Static | 0.7443 | 4.0193 | 0.0531 | 39.5 | 6.2866 | |||
| Dynamic | 0.2463 | 7.5349 | 0.0943 | 153.6 | 12.3934 | ||||
Disclaimer/Publisher’s Note: The statements, opinions and data contained in all publications are solely those of the individual author(s) and contributor(s) and not of MDPI and/or the editor(s). MDPI and/or the editor(s) disclaim responsibility for any injury to people or property resulting from any ideas, methods, instructions or products referred to in the content. |
© 2024 by the authors. Licensee MDPI, Basel, Switzerland. This article is an open access article distributed under the terms and conditions of the Creative Commons Attribution (CC BY) license (https://creativecommons.org/licenses/by/4.0/).
Share and Cite
Guo, Y.; Kim, J.-Y.; Park, J.; Lee, J.-M.; Park, S.-G.; Lee, E.-J.; Lee, S.; Hwang, M.-H.; Zheng, G.; Ren, X.; et al. Predicting COD and TN in A2O+AO Process Considering Influent and Reactor Variability: A Dynamic Ensemble Model Approach. Water 2024, 16, 3212. https://doi.org/10.3390/w16223212
Guo Y, Kim J-Y, Park J, Lee J-M, Park S-G, Lee E-J, Lee S, Hwang M-H, Zheng G, Ren X, et al. Predicting COD and TN in A2O+AO Process Considering Influent and Reactor Variability: A Dynamic Ensemble Model Approach. Water. 2024; 16(22):3212. https://doi.org/10.3390/w16223212
Chicago/Turabian StyleGuo, Yingjie, Ji-Yeon Kim, Jeonghyun Park, Jung-Min Lee, Sung-Gwan Park, Eui-Jong Lee, Sangyoup Lee, Moon-Hyun Hwang, Guili Zheng, Xianghao Ren, and et al. 2024. "Predicting COD and TN in A2O+AO Process Considering Influent and Reactor Variability: A Dynamic Ensemble Model Approach" Water 16, no. 22: 3212. https://doi.org/10.3390/w16223212
APA StyleGuo, Y., Kim, J.-Y., Park, J., Lee, J.-M., Park, S.-G., Lee, E.-J., Lee, S., Hwang, M.-H., Zheng, G., Ren, X., & Chae, K.-J. (2024). Predicting COD and TN in A2O+AO Process Considering Influent and Reactor Variability: A Dynamic Ensemble Model Approach. Water, 16(22), 3212. https://doi.org/10.3390/w16223212

