Influence of Spawning and Nursery Ground Environmental Changes on Walleye Pollock Catches Along the Eastern Coasts of Korea and Japan After the Late-1980s Climate Regime Shift
Abstract
1. Introduction
2. Materials and Methods
2.1. Study Area and Summary of Abbreviations
2.2. Sea Surface Temperature and Climatic Factors
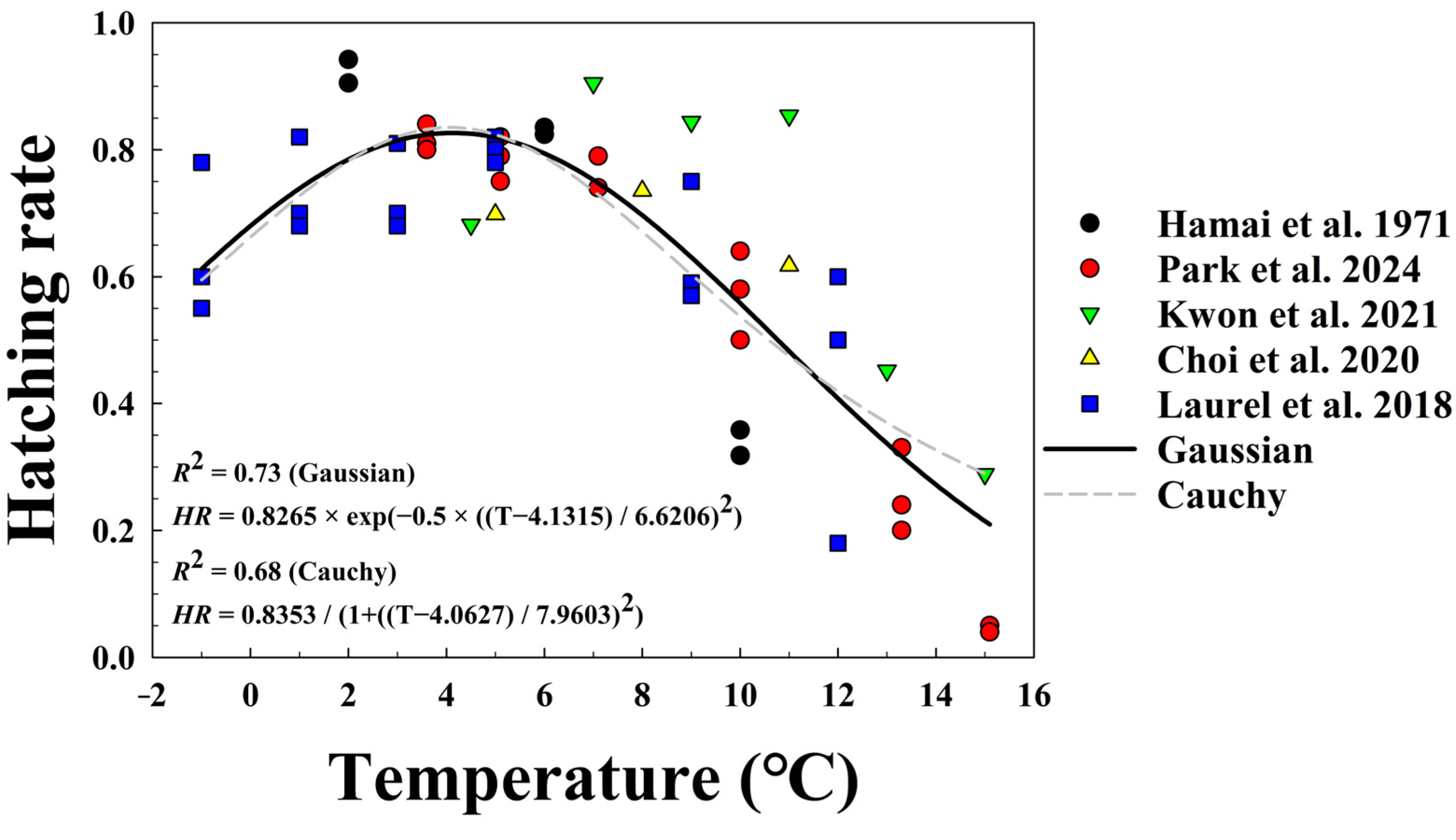
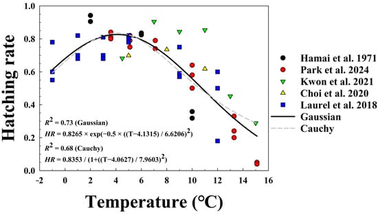
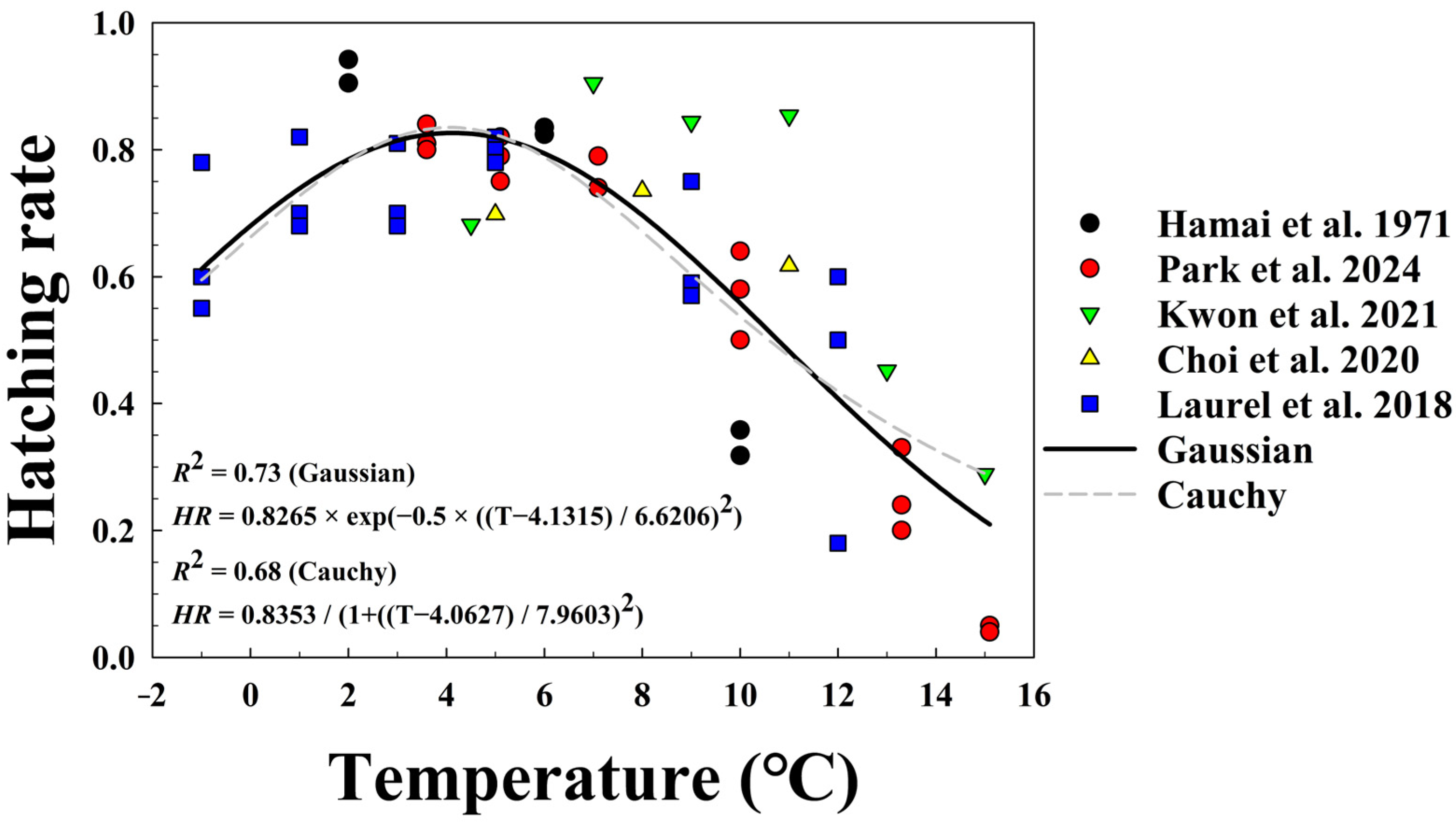
2.3. Habitat Suitability and Catch Data for Pollock
3. Results
3.1. Time Series Changes in the Pollock Catch
3.2. Environmental Changes in the Pollock Habitats along the ECK and the ECJ
3.3. Habitat Suitability Index (HIS) of Pollock along the ECK and the ECJ
4. Discussion
5. Conclusions
Author Contributions
Funding
Data Availability Statement
Conflicts of Interest
References
- FAO. The State of World Fisheries and Aquaculture 2020; Sustainability in Action; FAO: Rome, Italy, 2020; ISBN 978-92-5-132692-3. [Google Scholar]
- Froese, R.; Pauly, D. (Eds.) Fishbase. In World Wide Web Electronic Publication; 2024; Available online: www.fishbase.org (accessed on 1 June 2024).
- Bailey, K.M.; Quinn, T.J.; Bentzen, R.; Grant, W.S. Population Structure and Dynamics of Walleye Pollock, Theragra chalcogramma. Adv. Mar. Biol. 1999, 37, 179–255. [Google Scholar] [CrossRef]
- Makino, M.; Kim, S.A.; Velikanov, A.; Criddle, K.; Funamoto, T.; Hirota, M.; Sakurai, Y. Introduction: From the Birth to the Table of Walleye Pollock Theragra chalcogramma. Fish. Sci. 2014, 80, 103–107. [Google Scholar] [CrossRef]
- Orlov, A.M.; Rybakov, M.O.; Vedishcheva, E.V.; Volkov, A.A.; Orlova, S.Y. Walleye Pollock Gadus chalcogrammus, a Species with Continuous Range from the Norwegian Sea to Korea, Japan, and California: New Records from the Siberian Arctic. J. Mar. Sci. Eng. 2021, 9, 1141. [Google Scholar] [CrossRef]
- Jung, H.K.; Park, J.W.; Yang, J.H.; Park, J.M.; Han, I.S.; Lee, C.I. The Long-Term Dynamics of Walleye Pollock Stocks in Relation to Oceanographic Changes in the East Sea. Water 2024, 16, 955. [Google Scholar] [CrossRef]
- Park, J.W.; Yoo, H.K.; Jung, H.K.; Park, H.J.; Bae, K.M.; Kang, C.K.; Lee, C.I. Effects of Water Temperature Changes on the Early Life Stages (Egg and Larvae) of Walleye Pollock (Gadus chalcogrammus)—Laboratory Experiments and Field Applications. J. Exp. Mar. Biol. Ecol. 2024, 571, 151980. [Google Scholar] [CrossRef]
- Shida, O.; Hamatsu, T.; Nishimura, A.; Suzaki, A.; Yamamoto, J.; Miyashita, K.; Sakurai, Y. Interannual Fluctuations in Recruitment of Walleye Pollock in the Oyashio Region Related to Environmental Changes. Deep-Sea Res. Part II Top. Stud. Oceanogr. 2007, 54, 2822–2831. [Google Scholar] [CrossRef]
- Bang, M.K.; Kang, S.K.; Kim, S.A.; Jang, C.J. Changes in the Biological Characteristics of Walleye Pollock Related to Demographic Changes in the East Sea during the Late 20th Century. Mar. Coast. Fish. 2018, 10, 91–99. [Google Scholar] [CrossRef]
- Ishida, Y.; Funamoto, T.; Honda, S.; Yabuki, K.; Nishida, H.; Watanabe, C. Management of Declining Japanese Sardine, Chub Mackerel and Walleye Pollock Fisheries in Japan. Fish. Res. 2009, 100, 68–77. [Google Scholar] [CrossRef]
- Funamoto, T. Population Dynamics of Demersal Fish Focusing on Walleye Pollock (Gadus chalcogrammus). In Fish Population Dynamics, Monitoring, and Management; Springer: Berlin/Heidelberg, Germany, 2018; pp. 51–75. [Google Scholar]
- Guy, L.S.; Duffy-Anderson, J.; Matarese, A.C.; Mordy, C.W.; Napp, J.M.; Stabeno, P.J. Understanding Climate Control of Fisheries Recruitment in the Eastern Bering Sea: Long-Term Measurements and Process Studies. Oceanography 2014, 27, 90–103. [Google Scholar]
- Kang, S.K.; Kim, S.A. What Caused the Collapse of Walleye Pollock Population in Korean Waters? KMI Int. J. Marit. Aff. Fish. 2015, 7, 43–58. [Google Scholar] [CrossRef]
- Kendall, A.W., Jr.; Nakatani, T. Comparisons of Early-Life-History Characteristics of Walleye Pollock Theragra chalcogramma in Shelikof Strait, Gulf of Alaska, and Funka Bay, Hokkaido, Japan. Fish. Bull. 1992, 90, 129–138. [Google Scholar]
- Incze, L.S.; Kendall, A.W.; Schumacher, J.D.; Reed, R.K. Interactions of a Mesoscale Patch of Larval Fish (Theragra chalcogramma) with the Alaska Coastal Current. Cont. Shelf Res. 1989, 9, 269–284. [Google Scholar] [CrossRef]
- Pepin, P. Effect of Temperature and Size on Development, Mortality, and Survival Rates of the Pelagic Early Life History Stages of Marine Fish. Can. J. Fish. Aquat. Sci. 1991, 48, 503–518. [Google Scholar] [CrossRef]
- Pörtner, H.O.; Peck, M.A. Climate Change Effects on Fishes and Fisheries: Towards a Cause-and-effect Understanding. J. Fish Biol. 2010, 77, 1745–1779. [Google Scholar] [CrossRef] [PubMed]
- Pankhurst, N.W.; Munday, P.L. Effects of Climate Change on Fish Reproduction and Early Life History Stages. Mar. Freshw. Res. 2011, 62, 1015–1026. [Google Scholar] [CrossRef]
- Houde, E.D. Fish Early Life Dynamics and Recruitment Variability. Am. Fish. Soc. Symp. 1987, 2, 17–29. [Google Scholar]
- Motani, R.; Wainwright, P.C. How Warm Is Too Warm for the Life Cycle of Actinopterygian Fishes? Sci. Rep. 2015, 5, 11597. [Google Scholar] [CrossRef]
- Funamoto, T. Temperature-Dependent Stock-Recruitment Model for Walleye Pollock (Theragra chalcogramma) around Northern Japan. Fish. Oceanogr. 2007, 16, 515–525. [Google Scholar] [CrossRef]
- Honda, S.; Oshima, T.; Nishimura, A.; Hattori, T. Movement of Juvenile Walleye Pollock, Theragra chalcogramma, from a Spawning Ground to a Nursery Ground along the Pacific Coast of Hokkaido, Japan. Fish. Oceanogr. 2004, 13, 84–98. [Google Scholar] [CrossRef]
- Hattori, T.; Nishimura, A.; Narimatsu, Y.; Kitagawa, D. Hatching Date, Nursery Grounds, and Early Growth of Juvenile Walleye Pollock (Theragra chalcogramma) off Northern Japan. Fish. Bull. 2006, 104, 468–475. [Google Scholar]
- Nishimura, A.; Hamatsu, T.; Yabuki, K.; Shida, O. Recruitment Fluctuation and Biological Responses of Walleye Pollock in the Pacific Coast of Hokkaido. Fish. Sci. 2002, 68, 206–209. [Google Scholar] [CrossRef] [PubMed]
- Senjyu, T. The Japan Sea Intermediate Water; Its Characteristics and Circulation. J. Oceanogr. 1999, 55, 111–122. [Google Scholar] [CrossRef]
- Park, K.A.; Ullman, D.S.; Kim, K.; Yul Chung, J.; Kim, K.R. Spatial and Temporal Variability of Satellite-Observed Subpolar Front in the East/Japan Sea. Deep Sea Res. Part I Oceanogr. Res. Pap. 2007, 54, 453–470. [Google Scholar] [CrossRef]
- Belkin, I.; Krishfield, R.; Honjo, S. Decadal Variability of the North Pacific Polar Front: Subsurface Warming versus Surface Cooling. Geophys. Res. Lett. 2002, 29, 65-1–65-4. [Google Scholar] [CrossRef]
- Kida, S.; Mitsudera, H.; Aoki, S.; Guo, X.; Ito, S.; Kobashi, F.; Komori, N.; Kubokawa, A.; Miyama, T.; Morie, R.; et al. Oceanic Fronts and Jets around Japan: A Review. J. Oceanogr. 2015, 71, 469–497. [Google Scholar] [CrossRef]
- Jacobi, L.; Nürnberg, D.; Chao, W.; Lembke-Jene, L.; Tiedemann, R. ENSO vs. Glacial-Interglacial-Induced Changes in the Kuroshio-Oyashio Transition Zone during the Pleistocene. Front. Mar. Sci. 2023, 10, 1074431. [Google Scholar] [CrossRef]
- Lee, C.I.; Jung, Y.W.; Jung, H.K. Response of Spatial and Temporal Variations in the Kuroshio Current to Water Column Structure in the Western Part of the East Sea. J. Mar. Sci. Eng. 2022, 10, 1703. [Google Scholar] [CrossRef]
- Trenberth, K.E. Recent Observed Interdecadal Climate Changes in the Northern Hemisphere. Bull. Am. Meteorol. Soc. 1990, 71, 988–993. [Google Scholar] [CrossRef]
- Mantua, N.J.; Hare, S.R. The Pacific Decadal Oscillation. J. Oceanogr. 2002, 58, 35–44. [Google Scholar] [CrossRef]
- Tian, Y.; Akamine, T.; Suda, M. Variations in the Abundance of Pacific Saury (Cololabis saira) from the Northwestern Pacific in Relation to Oceanic-Climate Changes. Fish. Res. 2003, 60, 439–454. [Google Scholar] [CrossRef]
- Nakamura, H. Changing Kuroshio and Its Affected Shelf Sea: A Physical View. In Changing Asia-Pacific Marginal Seas; Springer: Berlin/Heidelberg, Germany, 2020; pp. 265–305. [Google Scholar]
- Yatsu, A.; Chiba, S.; Yamanaka, Y.; Ito, S.; Shimizu, Y.; Kaeriyama, M.; Watanabe, Y. Climate Forcing and the Kuroshio/Oyashio Ecosystem. ICES J. Mar. Sci. 2013, 70, 922–933. [Google Scholar] [CrossRef]
- Yasuda, I. Hydrographic Structure and Variability in the Kuroshio-Oyashio Transition Area. J. Oceanogr. 2003, 59, 389–402. [Google Scholar] [CrossRef]
- Moon, J.H.; Lee, J.H. Shifts in Multi-Decadal Sea Level Trends in the East/Japan Sea over the Past 60 Years. Ocean Sci. J. 2016, 51, 87–96. [Google Scholar] [CrossRef]
- Wang, Y.; Wu, C.; Chao, S. Warming and Weakening Trends of the Kuroshio during 1993–2013. Geophys. Res. Lett. 2016, 43, 9200–9207. [Google Scholar] [CrossRef]
- Mantua, N.J.; Hare, S.R.; Zhang, Y.; Wallace, J.M.; Francis, R.C. A Pacific Interdecadal Climate Oscillation with Impacts on Salmon Production. Bull. Am. Meteorol. Soc. 1997, 78, 1069–1079. [Google Scholar] [CrossRef]
- Newman, M.; Alexander, M.A.; Ault, T.R.; Cobb, K.M.; Deser, C.; Di Lorenzo, E.; Mantua, N.J.; Miller, A.J.; Minobe, S.; Nakamura, H.; et al. The Pacific Decadal Oscillation, Revisited. J. Clim. 2016, 29, 4399–4427. [Google Scholar] [CrossRef]
- Andres, M.; Park, J.; Wimbush, M.; Zhu, X.; Nakamura, H.; Kim, K.; Chang, K. Manifestation of the Pacific Decadal Oscillation in the Kuroshio. Geophys. Res. Lett. 2009, 36, 16. [Google Scholar] [CrossRef]
- Morioka, Y.; Varlamov, S.; Miyazawa, Y. Role of Kuroshio Current in Fish Resource Variability off Southwest Japan. Sci. Rep. 2019, 9, 17942. [Google Scholar] [CrossRef]
- Lee, D.; Niiler, P.P.; Lee, S.; Kim, K.; Lie, H. Energetics of the Surface Circulation of the Japan/East Sea. J. Geophys. Res. Ocean. 2000, 105, 19561–19573. [Google Scholar] [CrossRef]
- Cho, Y.K.; Kim, K. Seasonal Variation of the East Korea Warm Current and Its Relation with the Cold Water. La Mer. 1996, 34, 172–182. [Google Scholar]
- Kim, Y.Y.; Cho, Y.K.; Kim, Y.H. Role of Cold Water and Beta-Effect in the Formation of the East Korean Warm Current in the East/Japan Sea: A Numerical Experiment. Ocean Dyn. 2018, 68, 1013–1023. [Google Scholar] [CrossRef]
- Tian, Y.; Kidokoro, H.; Watanabe, T. Long-Term Changes in the Fish Community Structure from the Tsushima Warm Current Region of the Japan/East Sea with an Emphasis on the Impacts of Fishing and Climate Regime Shift over the Last Four Decades. Prog. Oceanogr. 2006, 68, 217–237. [Google Scholar] [CrossRef]
- Tian, Y.; Kidokoro, H.; Watanabe, T.; Iguchi, N. The Late 1980s Regime Shift in the Ecosystem of Tsushima Warm Current in the Japan/East Sea: Evidence from Historical Data and Possible Mechanisms. Prog. Oceanogr. 2008, 77, 127–145. [Google Scholar] [CrossRef]
- Seol, K.S.; Lee, C.I.; Jung, H.K. Long Term Changes in Sea Surface Temperature around Habitat Ground of Walleye Pollock (Gadus chalcogrammus) in the East Sea. J. Korean Soc. Mar. Environ. Saf. 2020, 26, 195–205. [Google Scholar] [CrossRef]
- Kim, Y.Y.; Kang, Y.K.; Lee, S.T.; Jung, H.K.; Lee, C.I.; Kim, S.; Jeong, K.Y.; Byun, D.S.; Cho, Y.K. Potential Impact of Late 1980s Regime Shift on the Collapse of Walleye Pollock Catch in the Western East/Japan Sea. Front. Mar. Sci. 2022, 9, 802748. [Google Scholar] [CrossRef]
- Funamoto, T.; Yamamura, O.; Shida, O.; Itaya, K.; Mori, K.; Hiyama, Y.; Sakurai, Y. Comparison of Factors Affecting Recruitment Variability of Walleye Pollock Theragra chalcogramma in the Pacific Ocean and the Sea of Japan off Northern Japan. Fish. Sci. 2014, 80, 117–126. [Google Scholar] [CrossRef]
- Nishimura, A.; Hamatsu, T.; Shida, O.; Mihara, I.; Mutoh, T. Interannual Variability in Hatching Period and Early Growth of Juvenile Walleye Pollock, Theragra chalcogramma, in the Pacific Coastal Area of Hokkaido. Fish. Oceanogr. 2007, 16, 229–239. [Google Scholar] [CrossRef]
- Donlon, C.J.; Martin, M.; Stark, J.; Roberts-Jones, J.; Fiedler, E.; Wimmer, W. The Operational Sea Surface Temperature and Sea Ice Analysis (OSTIA) System. Remote Sens. Environ. 2012, 116, 140–158. [Google Scholar] [CrossRef]
- Troup, A.J. The ‘Southern Oscillation’. Q. J. R. Meteorol. Soc. 1965, 91, 490–506. [Google Scholar] [CrossRef]
- Ropelewski, C.F.; Jones, P.D. An Extension of the Tahiti-Darwin Southern Oscillation Index. Mon. Weather Rev. 1987, 115, 2161–2165. [Google Scholar] [CrossRef]
- Power, S.B.; Kociuba, G. The Impact of Global Warming on the Southern Oscillation Index. Clim. Dyn. 2011, 37, 1745–1754. [Google Scholar] [CrossRef]
- Laurel, B.J.; Rogers, L.A. Loss of Spawning Habitat and Prerecruits of Pacific Cod during a Gulf of Alaska Heatwave. Can. J. Fish. Aquat. Sci. 2020, 77, 644–650. [Google Scholar] [CrossRef]
- Laurel, B.J.; Abookire, A.; Barbeaux, S.J.; Almeida, L.Z.; Copeman, L.A.; Duffy-Anderson, J.; Hurst, T.P.; Litzow, M.A.; Kristiansen, T.; Miller, J.A.; et al. Pacific Cod in the Anthropocene: An Early Life History Perspective under Changing Thermal Habitats. Fish Fish. 2023, 24, 959–978. [Google Scholar] [CrossRef]
- Hamai, I.; Kyushin, K.; Kinoshita, T. Effect of Temperature on the Body Form and Mortality in the Developmental and Early Larval Stages of the Alaska Pollack, Theragra chalcogramma (Pallas). Bull. Fac. Fish. Hokkaido Univ. 1971, 22, 11–29. [Google Scholar]
- Kwon, O.; Hong, W.; Park, J. Effects of Rearing Water Temperature on Hatching Pattern and Larval Malformation of Walleye Pollock Theragra chalcogramma Fertilized Eggs and Larvae. Korean J. Fish. Aquat. Sci. 2021, 54, 948–953. [Google Scholar]
- Choi, J.; Han, G.S.; Lee, K.W.; Byun, S.G.; Lim, H.J.; Kim, H.S. Effect of Water Temperature on the Egg Hatch and Early Growth of Walleye Pollock (Gadus chalcogrammus). Korean J. Ichthyol. 2020, 32, 78–83. [Google Scholar] [CrossRef]
- Laurel, B.J.; Copeman, L.A.; Spencer, M.; Iseri, P. Comparative Effects of Temperature on Rates of Development and Survival of Eggs and Yolk-Sac Larvae of Arctic Cod (Boreogadus saida) and Walleye Pollock (Gadus chalcogrammus). ICES J. Mar. Sci. 2018, 75, 2403–2412. [Google Scholar] [CrossRef]
- Shin, H.R.; Lee, J.H.; Kim, C.H.; Yoon, J.H.; Hirose, N.; Takikawa, T.; Cho, K.W. Long-Term Variation in Volume Transport of the Tsushima Warm Current Estimated from ADCP Current Measurement and Sea Level Differences in the Korea/Tsushima Strait. J. Mar. Syst. 2022, 232, 103750. [Google Scholar] [CrossRef]
- Gordon, A.L.; Giulivi, C.F. Pacific Decadal Oscillation and Sea Level in the Japan/East Sea. Deep Sea Res. Part I Oceanogr. Res. Pap. 2004, 51, 653–663. [Google Scholar] [CrossRef]
- Jung, H.K.; Rahman, S.M.; Kang, C.K.; Park, S.Y.; Lee, S.H.; Park, H.J.; Kim, H.W.; Lee, C.I. The Influence of Climate Regime Shifts on the Marine Environment and Ecosystems in the East Asian Marginal Seas and Their Mechanisms. Deep Sea Res. Part II Top. Stud. Oceanogr. 2017, 143, 110–120. [Google Scholar] [CrossRef]
- Yatsu, A.; Watanabe, T.; Ishida, M.; Sugisaki, H.; Jacobson, L.D. Environmental Effects on Recruitment and Productivity of Japanese Sardine Sardinops Melanostictus and Chub Mackerel Scomber Japonicus with Recommendations for Management. Fish. Oceanogr. 2005, 14, 263–278. [Google Scholar] [CrossRef]
- Lee, C.I.; Han, M.H.; Jung, H.K.; Park, H.J.; Park, J.M. Spawning Season, and Factors Influencing Allometric Growth Pattern and Body Condition of Walleye Pollock Gadus Chalcogrammus in the Middle East Sea, Korea. Korean J. Ichthyol. 2019, 31, 141–149. [Google Scholar] [CrossRef]
- Kooka, K.; Takatsu, T.; Kamei, Y.; Nakatani, T.; Takahashi, T. Vertical Distribution and Prey of Walleye Pollock in the Northern Japan Sea. Fish. Sci. 1998, 64, 686–693. [Google Scholar] [CrossRef]
- Yamamura, O.; Honda, S.; Shida, O.; Hamatsu, T. Diets of Walleye Pollock Theragra chalcogramma in the Doto Area, Northern Japan: Ontogenetic and Seasonal Variations. Mar. Ecol. Prog. Ser. 2002, 238, 187–198. [Google Scholar] [CrossRef]
- Yoo, H.K.; Kim, W.J.; Lim, H.J.; Byun, S.G.; Yamamoto, J.; Sakurai, Y. The Effect of Low Temperature on the Early Life Stages of the Walleye Pollock, Gadus chalcogrammus—A Laboratory Study. J. Mar. Sci. Eng. 2021, 9, 818. [Google Scholar] [CrossRef]
- Pimentel, M.S.; Faleiro, F.; Marques, T.; Bispo, R.; Dionísio, G.; Faria, A.M.; Machado, J.; Peck, M.A.; Pörtner, H.; Pousão-Ferreira, P.; et al. Foraging Behaviour, Swimming Performance and Malformations of Early Stages of Commercially Important Fishes under Ocean Acidification and Warming. Clim. Chang. 2016, 137, 495–509. [Google Scholar] [CrossRef]
- Ashaf-Ud-Doulah, M.; Islam, S.M.M.; Zahangir, M.M.; Islam, M.S.; Brown, C.; Shahjahan, M. Increased Water Temperature Interrupts Embryonic and Larval Development of Indian Major Carp Rohu Labeo Rohita. Aquac. Int. 2021, 29, 711–722. [Google Scholar] [CrossRef]
- Laurel, B.J.; Copeman, L.A.; Hurst, T.P.; Parrish, C.C. The Ecological Significance of Lipid/Fatty Acid Synthesis in Developing Eggs and Newly Hatched Larvae of Pacific Cod (Gadus macrocephalus). Mar. Biol. 2010, 157, 1713–1724. [Google Scholar] [CrossRef]
- Teletchea, F.; Fontaine, P. Comparison of Early Life-stage Strategies in Temperate Freshwater Fish Species: Trade-offs Are Directed towards First Feeding of Larvae in Spring and Early Summer. J. Fish Biol. 2010, 77, 257–278. [Google Scholar] [CrossRef]
- Nakatani, T. Studies on the Early Life History of Walleye Pollock Theragra chalcogramma in Funka Bay and Vicinity, Hokkaido. Mem. Fac. Fish. Hokkaido Univ. 1988, 35, 1–46. [Google Scholar]
- Kawauchi, Y.; Chimura, M.; Mutoh, T.; Watanobe, M.; Shirakawa, H.; Miyashita, K. Effect of Environmental Factors and Prey Species on Daytime and Nighttime Vertical Distribution of Juvenile Walleye Pollock in and around Funka Bay. Fish. Sci. 2014, 80, 139–149. [Google Scholar] [CrossRef]
- Lee, E.Y.; Park, K.A. Change in the Recent Warming Trend of Sea Surface Temperature in the East Sea (Sea of Japan) over Decades (1982–2018). Remote Sens. 2019, 11, 2613. [Google Scholar] [CrossRef]
- Wang, D.; Xu, T.; Fang, G.; Jiang, S.; Wang, G.; Wei, Z.; Wang, Y. Characteristics of Marine Heatwaves in the Japan/East Sea. Remote Sens. 2022, 14, 936. [Google Scholar] [CrossRef]
- Spies, I.; Canino, M.; Dorn, M.; Jimenez-Hidalgo, I.; Hauser, L. Growth Patterns of Larval Walleye Pollock Gadus chalcogrammus from Core and Peripheral Habitat Differ in Response to Temperature. Deep Sea Res. Part II Top. Stud. Oceanogr. 2022, 199, 105083. [Google Scholar] [CrossRef]
- Sakurai, Y. An Overview of the Oyashio Ecosystem. Deep Sea Res. Part II Top. Stud. Oceanogr. 2007, 54, 2526–2542. [Google Scholar] [CrossRef]
- Kuroda, H.; Saito, T.; Kaga, T.; Takasuka, A.; Kamimura, Y.; Furuichi, S.; Nakanowatari, T. Unconventional Sea Surface Temperature Regime around Japan in the 2000s–2010s: Potential Influences on Major Fisheries Resources. Front. Mar. Sci. 2020, 7, 574904. [Google Scholar] [CrossRef]
- Urabe, Y.; Maeda, S. The Relationship between Japan’s Recent Temperature and Decadal Variability. SOLA 2014, 10, 176–179. [Google Scholar] [CrossRef][Green Version]
- Wagawa, T.; Kuroda, H.; Ito, S.; Kakehi, S.; Yamanome, T.; Tanaka, K.; Endoh, Y.; Kaga, S. Variability in Water Properties and Predictability of Sea Surface Temperature along Sanriku Coast, Japan. Cont. Shelf Res. 2015, 103, 12–22. [Google Scholar] [CrossRef]
- Qiu, B.; Chen, S. Variability of the Kuroshio Extension Jet, Recirculation Gyre, and Mesoscale Eddies on Decadal Time Scales. J. Phys. Oceanogr. 2005, 35, 2090–2103. [Google Scholar] [CrossRef]
- Qiu, B. Kuroshio Extension Variability and Forcing of the Pacific Decadal Oscillations: Responses and Potential Feedback. J. Phys. Oceanogr. 2003, 33, 2465–2482. [Google Scholar] [CrossRef]
- Frankignoul, C.; Sennéchael, N.; Kwon, Y.O.; Alexander, M.A. Influence of the Meridional Shifts of the Kuroshio and the Oyashio Extensions on the Atmospheric Circulation. J. Clim. 2011, 24, 762–777. [Google Scholar] [CrossRef]
- Kohyama, T.; Yamagami, Y.; Miura, H.; Kido, S.; Tatebe, H.; Watanabe, M. The Gulf Stream and Kuroshio Current Are Synchronized. Science 2021, 374, 341–346. [Google Scholar] [CrossRef] [PubMed]
- Lee, S.; Park, M.S.; Kwon, M.; Park, Y.G.; Kim, Y.H.; Choi, N. Rapidly Changing East Asian Marine Heatwaves Under a Warming Climate. J. Geophys. Res. Ocean. 2023, 128, e2023JC019761. [Google Scholar] [CrossRef]
- McCulloch, M.T.; Winter, A.; Sherman, C.E.; Trotter, J.A. 300 Years of Sclerosponge Thermometry Shows Global Warming Has Exceeded 1.5 °C. Nat. Clim. Chang. 2024, 14, 171–177. [Google Scholar] [CrossRef]







| Abbreviation | Full Name | Abbreviation | Full Name |
|---|---|---|---|
| ECK | Eastern coast of Korea | RS | Regime shift |
| ECJ | Eastern coast of Japan | SG | Spawning ground |
| CRS | Climate regime shift | NG | Nursery ground |
| SST | Sea surface temperature | HSI | Habitat suitability index |
| PDO | Pacific decadal oscillation | SOI | Southern oscillation index |
| Spawning Ground (ECK and ECJ) | Nursery Ground (ECK and ECJ) | |
|---|---|---|
| 1980s (1982–1990) | 0.80 * | 0.90 ** |
| 1990s (1991–2000) | 0.21 | −0.81 ** |
| 2000s (2001–2010) | 0.52 | 0.56 |
| 2010s (2011–2020) | 0.89 ** | 0.84 ** |
| Spawning Grounds (ECK and ECJ) | Nursery Grounds (ECK and ECJ) | |
|---|---|---|
| 1980s (1982–1990) | −0.54 | 0.90 ** |
| 1990s (1991–2000) | 0.35 | −0.81 ** |
| 2000s (2001–2010) | 0.66 * | 0.56 |
| 2010s (2011–2020) | 0.56 | 0.84 ** |
Disclaimer/Publisher’s Note: The statements, opinions and data contained in all publications are solely those of the individual author(s) and contributor(s) and not of MDPI and/or the editor(s). MDPI and/or the editor(s) disclaim responsibility for any injury to people or property resulting from any ideas, methods, instructions or products referred to in the content. |
© 2024 by the authors. Licensee MDPI, Basel, Switzerland. This article is an open access article distributed under the terms and conditions of the Creative Commons Attribution (CC BY) license (https://creativecommons.org/licenses/by/4.0/).
Share and Cite
Park, J.W.; Jung, H.K.; Tak, Y.-J.; Kim, B.S.; Kim, D.; Lee, C.I. Influence of Spawning and Nursery Ground Environmental Changes on Walleye Pollock Catches Along the Eastern Coasts of Korea and Japan After the Late-1980s Climate Regime Shift. Water 2024, 16, 3119. https://doi.org/10.3390/w16213119
Park JW, Jung HK, Tak Y-J, Kim BS, Kim D, Lee CI. Influence of Spawning and Nursery Ground Environmental Changes on Walleye Pollock Catches Along the Eastern Coasts of Korea and Japan After the Late-1980s Climate Regime Shift. Water. 2024; 16(21):3119. https://doi.org/10.3390/w16213119
Chicago/Turabian StylePark, Jong Won, Hae Kun Jung, Yong-Jin Tak, Beom Sik Kim, Dongyoung Kim, and Chung Il Lee. 2024. "Influence of Spawning and Nursery Ground Environmental Changes on Walleye Pollock Catches Along the Eastern Coasts of Korea and Japan After the Late-1980s Climate Regime Shift" Water 16, no. 21: 3119. https://doi.org/10.3390/w16213119
APA StylePark, J. W., Jung, H. K., Tak, Y.-J., Kim, B. S., Kim, D., & Lee, C. I. (2024). Influence of Spawning and Nursery Ground Environmental Changes on Walleye Pollock Catches Along the Eastern Coasts of Korea and Japan After the Late-1980s Climate Regime Shift. Water, 16(21), 3119. https://doi.org/10.3390/w16213119

