Changes in Water Quality and Soil Property in the Rice–Freshwater Animal Co-Culturing System
Abstract
1. Introduction
2. Materials and Methods
2.1. Experimental Set-Up
2.2. Sampling and Data Collection
2.3. Data Analyses
3. Results
3.1. Growth of the Stocked Animals and Rice Yields
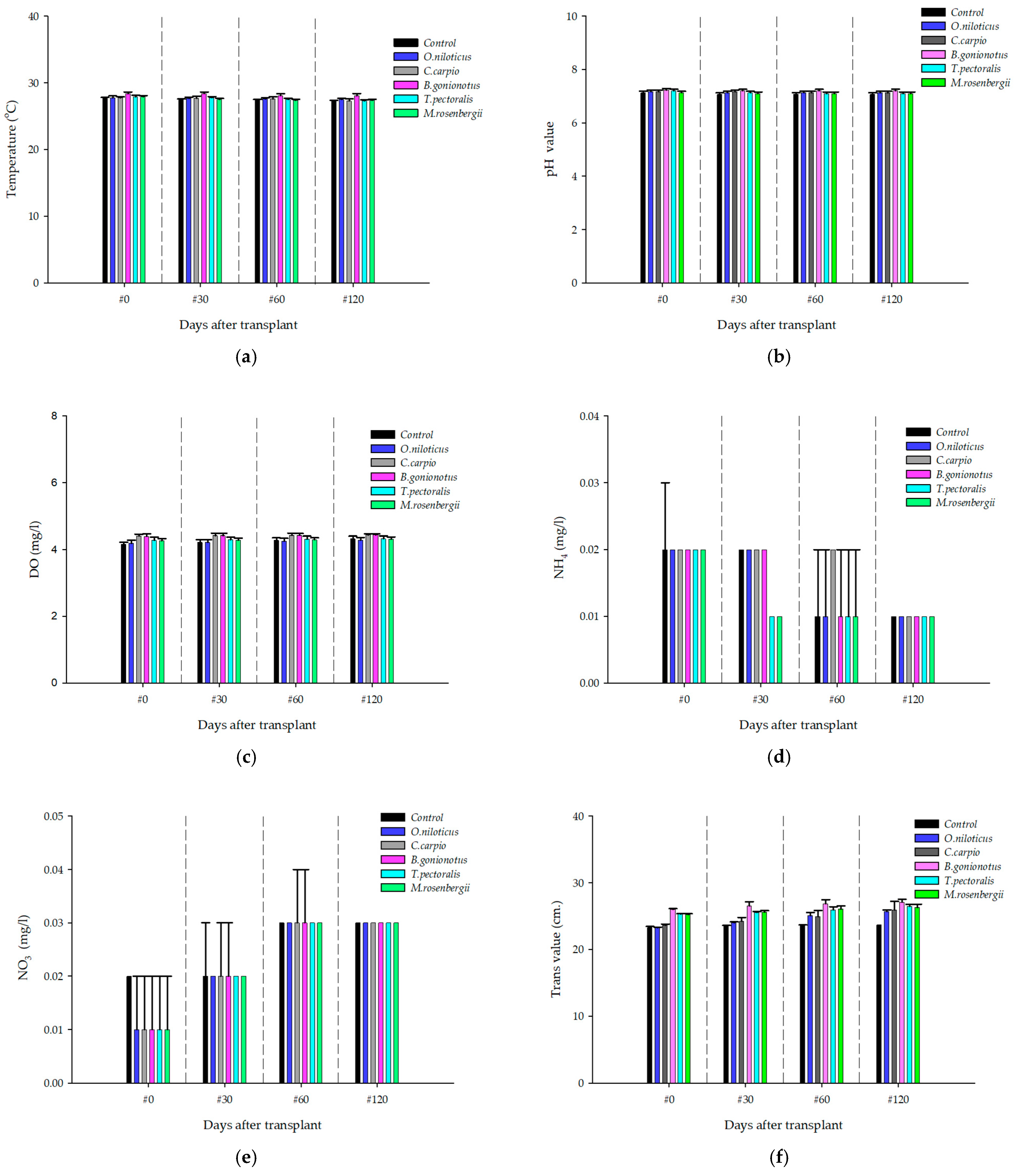
3.2. Changes in Water Quality
3.3. Changes in Soil Properties
4. Discussion
Author Contributions
Funding
Data Availability Statement
Acknowledgments
Conflicts of Interest
References
- FAO (Food and Agriculture Organization of the United Nations). Online Statistical Database: Crop. FAOSTAT. [2023-1-10]. 2021. Available online: https://www.fao.org/faostat/en/#data/QCL (accessed on 24 July 2023).
- Bhandari, H. Global Rice Production, Consumption and Trade: Trends and Future Directions. In Proceedings of the Korean Society of Crop Science Conference, Seoul, Republic of Korea, 30 September 2019; Volume 5, p. 5. [Google Scholar]
- Mohidem, N.A.; Hashim, N.; Shamsudin, R.; Che Man, H. Rice for Food Security: Revisiting Its Production, Diversity, Rice Milling Process and Nutrient Content. Agriculture 2022, 12, 741. [Google Scholar] [CrossRef]
- Arunrat, N.; Sereenonchai, S. Assessing Ecosystem Services of rice-fish Co-culture and Rice Monoculture in Thailand. Agronomy 2022, 12, 1241. [Google Scholar] [CrossRef]
- Kaur, R.; Bhunia, R.K.; Rajam, M.V. MicroRNAs as Potential Targets for Improving Rice Yield via Plant Architecture Modulation: Recent Studies and Future Perspectives. J. Biosci. 2020, 45, 116. [Google Scholar] [CrossRef]
- Feng, J.; Li, F.; Zhou, X.; Xu, C.; Fang, F. Nutrient Removal Ability and Economical Benefit of a Rice-fish Co-culture System in Aquaculture Pond. Ecol. Eng. 2016, 94, 315–319. [Google Scholar] [CrossRef]
- Li, M.; Hu, X.; Hu, R.; Liang, K.; Zhong, X.; Pan, J.; Fu, Y.; Liu, Y.; Wang, X.; Ye, Q.; et al. Evaluating Rice Varieties for Suitability in a rice-fish Co-culture System Based on Lodging Resistance and Grain Yield. Agronomy 2023, 13, 2392. [Google Scholar] [CrossRef]
- Xie, J.; Hu, L.; Tang, J.; Wu, X.; Li, N.; Yuan, Y.; Yang, H.; Zhang, J.; Luo, S.; Chen, X. Ecological Mechanisms Underlying the Sustainability of the Agricultural Heritage Rice-fish Coculture System. Proc. Natl. Acad. Sci. USA 2011, 108, E1381–E1387. [Google Scholar] [CrossRef] [PubMed]
- Abrahim, L.A.; Shaghaleh, H.; Abu-Hashim, M.; Elsadek, E.A.; Hamoud, Y.A. Exploring the Integration of Rice and Aquatic Species: Insights from Global and National Experiences. Water 2023, 15, 2750. [Google Scholar] [CrossRef]
- Ge, L.; Sun, Y.; Li, Y.; Wang, L.; Guo, G.; Song, L.; Wang, C.; Wu, G.; Zang, X.; Cai, X.; et al. Ecosystem Sustainability of Rice and Aquatic Animal Co-culture Systems and a Synthesis of Its Underlying Mechanisms. Sci. Total Environ. 2023, 880, 163314. [Google Scholar] [CrossRef] [PubMed]
- Arunrat, N.; Sansupa, C.; Kongsurakan, P.; Sereenonchai, S.; Hatano, R. Soil Microbial Diversity and Community Composition in rice-fish Co-Culture and Rice Monoculture Farming System. Biology 2022, 11, 1242. [Google Scholar] [CrossRef]
- Le Gouvello, R.; Brugere, C.; Simard, F. Aquaculture and Nature-based Solutions. In Identifying Synergies between Sustainable Development of Coastal Communities, Aquaculture, and Marine and Coastal Conservation; IUCN: Gland, Switzerland, 2022. [Google Scholar]
- Bashir, M.A.; Liu, J.; Geng, Y.; Wang, H.; Pan, J.; Zhang, D.; Rehim, A.; Aon, M.; Liu, H. Co-culture of Rice and Aquatic Animals: An Integrated System to Achieve Production and Environmental Sustainability. J. Clean. Prod. 2020, 249, 119310. [Google Scholar] [CrossRef]
- Saowakoon, S.; Saowakoon, K.; Jutagate, A.; Hiroki, M.; Fukushima, M.; Jutagate, T. Growth and Feeding Behavior of Fishes in Organic rice-fish Systems with Various Species Combinations. Aquac. Rep. 2021, 20, 100663. [Google Scholar] [CrossRef]
- Kwangkhang, W.; Jutagate, A.; Saowakoon, S.; Jutagate, T. Trophic Interactions and Energy Flows in Ponds Used for Culture-Based Fisheries, with Emphasis on Giant Freshwater Prawn. Agric. Nat. Resour. 2019, 53, 274–282. [Google Scholar]
- Jutagate, T.; Kwangkhwang, W.; Saowakoon, S. Growth and Competitions of the Australian Red-Claw Crayfish, Cherax quadricarinatus (von Martens, 1868) in Thailand: The Experimental Approaches. Aquat. Invasions 2023, 18, 103–117. [Google Scholar] [CrossRef]
- Sinhababu, D.P.; Sanjoy Saha, S.; Sahu, P.K. Performance of Different Fish Species for Controlling Weeds in Rainfed Lowland Rice Field. Biocontrol. Sci. Technol. 2013, 23, 1362–1372. [Google Scholar] [CrossRef]
- Yan, Y.; Liu, M.D.; Yang, D.; Zhang, W.; An, H.; Wang, Y.J.; Xie, H.T.; Zhang, X.D. Effect of Different Rice-crab Coculture Modes on Soil Carbohydrates. J. Integr. Agric. 2014, 13, 641–647. [Google Scholar]
- Yaobin, L.; Lin, Q.; Fengbo, L.; Xiyue, Z.; Chunchun, X.; Long, J.; Zhongdu, C.; Jinfei, F.; Fuping, F. Impact of Rice-catfish/Shrimp Co-culture on Nutrients Fluxes Across Sediment-water Interface in Intensive Aquaculture Ponds. Rice Sci. 2019, 26, 416–424. [Google Scholar] [CrossRef]
- Liu, D.; Feng, Q.; Zhang, J.; Zhang, K.; Tian, J.; Xie, J. Ecosystem Services Analysis for Sustainable Agriculture Expansion: Rice-Fish Co-Culture System Breaking Through the Hu Line. Ecol. Indic. 2021, 133, 108385. [Google Scholar] [CrossRef]
- Khadka, D.; Babel, M.S.; Shrestha, S.; Virdis, S.G.; Collins, M. Multivariate and Multi-temporal Analysis of Meteorological Drought in the Northeast of Thailand. Weather Clim. Extrem. 2021, 34, 100399. [Google Scholar] [CrossRef]
- De Silva, S.S.; Amarasinghe, U.S.; Nguyen, T.T. Better-Practice Approaches for Culture-Based Fisheries Development in Asia; Australian Centre for International Agricultural Research: Canberra, Australia, 2006. [Google Scholar]
- Tsuruta, T.; Yamaguchi, M.; Abe, S.I.; Iguchi, K.I. Effect of Fish in Rice-Fish Culture on the Rice Yield. Fish. Sci. 2011, 77, 95–106. [Google Scholar] [CrossRef]
- APHA. Standard Methods for Examination of Water and Wastewater, 22nd ed.; American Public Health Association: Washington, DC, USA, 2012; p. 1360. [Google Scholar]
- National Soil Survey Center. Soil Survey Laboratory Methods Manual. In Soil Survey Investigations Report No. 42, Version 3.0; Natural Conservation Service: Washington, DC, USA, 1996; pp. 1–716. [Google Scholar]
- Richards, L.A. Diagnosis and Improvement of Saline and Alkali Soils. In Agriculture Handbook; United States Department of Agriculture: Washington, DC, USA, 1954; pp. 1–160. [Google Scholar]
- Bremner, J.M. Determination of nitrogen in soil by the Kjeldahl method. J. Agric. Sci. 1960, 55, 11–33. [Google Scholar] [CrossRef]
- Fixen, P.E.; Grove, J.H. Testing Soils for Phosphorus. In Soil Testing and Plant Analysis; Westerman, R.L., Ed.; Soil Science Society of America: Madison, WI, USA, 1990; pp. 141–181. [Google Scholar]
- Pansu, M.; Gautheyrou, J. Handbook of Soil Analysis: Mineralogical, Organic and Inorganic Methods; Springer: Berlin/Heidelberg, Germany, 2006. [Google Scholar]
- Lugert, V.; Thaller, G.; Tetens, J.; Schulz, C.; Krieter, J. A Review on Fish Growth Calculation: Multiple Functions in Fish Production and Their Specific Application. Rev. Aquac. 2016, 8, 30–42. [Google Scholar] [CrossRef]
- R Core Team. R: A Language and Environment for Statistical Computing; R Foundation for Statistical Computing: Vienna, Austria, 2022; Available online: https://www.R-project.org/ (accessed on 18 December 2022).
- Boyd, C.E.; Tucker, C.S. Pond Aquaculture Water Quality Management; Springer Science & Business Media: New York, NY, USA, 2012. [Google Scholar]
- Froese, R.; Pauly, D. (Eds.) FishBase. World Wide Web Electronic Publication. Version (02/2024). 2024. Available online: www.fishbase.org (accessed on 14 July 2024).
- Guo, H.; Qi, M.; Hu, Z.; Liu, Q. Optimization of the Rice-fish Coculture in Qingtian, China: 1. Effects of Rice Spacing on the Growth of the Paddy Fish and the Chemical Composition of Both Rice and Fish. Aquaculture 2020, 522, 735106. [Google Scholar] [CrossRef]
- Vromant, N.; Nam, C.Q.; Chau, N.T.H.; Ollevier, F. Survival Rate and Growth Performance of Cyprinus carpio L. in Intensively Cultivated Rice Fields. Aquac. Res. 2004, 35, 171–177. [Google Scholar] [CrossRef]
- Inayat, M.; Abbas, F.; Hafeez-ur-Rehman, M.; Mahmud, A. Optimizing Rice-Fish Co-Culture: Investigating the Impact of Rice Spacing Density on Biochemical Profiles and Production of Genetically Modified Tilapia (Oreochromis spp.) and Cyprinus carpio. PLoS ONE 2023, 18, e0295996. [Google Scholar] [CrossRef] [PubMed]
- Diao, W.; Jia, R.; Hou, Y.; Dong, Y.; Li, B.; Zhu, J. Effects of Stocking Density on the Growth Performance, Physiological Parameters, Antioxidant Status and Lipid Metabolism of Pelteobagrus fulvidraco in the Integrated Rice-Fish Farming System. Animals 2023, 13, 1721. [Google Scholar] [CrossRef] [PubMed]
- Boock, M.V.; de Almeida Marques, H.L.; Mallasen, M.; Barros, H.P.; Moraes-Valenti, P.; Valenti, W.C. Effects of Prawn Stocking Density and Feeding Management on Rice–Prawn Culture. Aquaculture 2016, 451, 480–487. [Google Scholar] [CrossRef]
- Billah, M.M.; Uddin, M.K.; Samad, M.Y.; Hassan, M.Z.; Anwar, M.P.; Talukder, I.; Shahjahan, M.; Haque, A.N.A. Impact of Feeding Schedule on the Growth Performances of Tilapia, Common Carp, and Rice Yield in an Integrated Rice-Fish Farming System. Sustainability 2020, 12, 8658. [Google Scholar] [CrossRef]
- Oehme, M.; Frei, M.; Razzak, M.A.; Dewan, S.; Becker, K. Studies on Nitrogen Cycling Under Different Nitrogen Inputs in Integrated Rice-Fish Culture in Bangladesh. Nutr. Cycl. Agroecosyst. 2007, 79, 181–191. [Google Scholar] [CrossRef]
- Herlambang, A.; Murwantoko, M.; Istiqomah, I. Dynamic Change in Bacterial Communities in the Integrated rice-fish Farming System in Sleman, Yogyakarta, Indonesia. Aquac. Res. 2021, 52, 5566–5578. [Google Scholar] [CrossRef]
- Hu, Y.; Yang, T.; Liu, Y.; Li, F.; Xu, C.; Fang, F.; Feng, J. High Fish Stocking Density Weakens the Effects of Rice-Fish Co-Culture on Water Eutrophication and Greenhouse Gas Emissions. Water Air Soil Pollut. 2022, 233, 222. [Google Scholar] [CrossRef]
- Gholizadeh, A.; Amin Mohd Soom, M.; Anuar, A.R.; Aimrun, W. Relationship Between Apparent Electrical Conductivity and Soil Physical Properties in a Malaysian Paddy Field. Arch. Agron. Soil Sci. 2012, 58, 155–168. [Google Scholar] [CrossRef]
- Pagliai, M.; Vignozzi, N.; Pellegrini, S. Soil Structure and the Effect of Management Practices. Soil Tillage Res. J. 2004, 79, 131–143. [Google Scholar] [CrossRef]
- Bihari, P.; Nayak, A.K.; Gautam, P.; Lal, B.; Shahid, M.; Raja, R.; Tripathi, R.; Bhattacharyya, P.; Panda, B.B.; Mohanty, S.; et al. Long-Term Effect of Rice-Based Farming Systems on Soil Health. Environ. Monit. Assess. 2015, 187, 296. [Google Scholar] [CrossRef] [PubMed]
- Lin, K.; Wu, J. Effect of Introducing Frogs and Fish on Soil Phosphorus Availability Dynamics and Their Relationship with Rice Yield in Paddy Fields. Sci. Rep. 2020, 10, 21. [Google Scholar] [CrossRef]





| Species | SGR in Weight (%g Day−1) | SGR in Length (%cm Day−1) |
|---|---|---|
| Orochomis niloticus | 0.864 ± 0.008 a | 0.294 ± 0.007 ab |
| Cyprinus carpio | 0.847 ± 0.010 a | 0.283 ± 0.018 b |
| Barbonymus gonionotus | 0.861 ± 0.006 a | 0.315 ± 0.007 a |
| Trichopodus pectoralis | 0.820 ± 0.006 b | 0.282 ± 0.018 b |
| Macrobrachium rosenbergii | 0.444 ± 0.014 c | 0.180 ± 0.011 c |
| Species | Survival Rate (%) | Yield of Aquatic Animals (kg ha−1) | Rice Yield (kg ha−1) |
|---|---|---|---|
| None (Control) | - | - | 2354.2 ± 95.5 d |
| Orochomis niloticus | 81.3 ± 6.1 b | 924.1± 69.9 b | 2833.3 ± 219.5 ab |
| Cyprinus carpio | 90.7 ± 6.1 ab | 984.1 ± 61.3 ab | 2729.2 ± 130.1 abc |
| Barbonymus gonionotus | 94.7 ± 4.6 a | 1.073.1 ± 45.1 a | 2625.0 ± 62.5 bc |
| Trichopodus pectoralis | 92.0 ± 4.0 a | 918.7 ± 30.2 b | 2583.3 ± 95.5 c |
| Macrobrachium rosenbergii | 84.0 ± 8.0 b | 287.9 ± 30.6 c | 2875.0 ± 62.5 a |
Disclaimer/Publisher’s Note: The statements, opinions and data contained in all publications are solely those of the individual author(s) and contributor(s) and not of MDPI and/or the editor(s). MDPI and/or the editor(s) disclaim responsibility for any injury to people or property resulting from any ideas, methods, instructions or products referred to in the content. |
© 2024 by the authors. Licensee MDPI, Basel, Switzerland. This article is an open access article distributed under the terms and conditions of the Creative Commons Attribution (CC BY) license (https://creativecommons.org/licenses/by/4.0/).
Share and Cite
Kaewpuangdee, P.; Saowakoon, S.; Kasamawut, K.; Kruapukdee, A.; Jutagate, A.; Jutagate, T. Changes in Water Quality and Soil Property in the Rice–Freshwater Animal Co-Culturing System. Water 2024, 16, 2890. https://doi.org/10.3390/w16202890
Kaewpuangdee P, Saowakoon S, Kasamawut K, Kruapukdee A, Jutagate A, Jutagate T. Changes in Water Quality and Soil Property in the Rice–Freshwater Animal Co-Culturing System. Water. 2024; 16(20):2890. https://doi.org/10.3390/w16202890
Chicago/Turabian StyleKaewpuangdee, Phaiboon, Samnao Saowakoon, Krittima Kasamawut, Ajcharawadee Kruapukdee, Achara Jutagate, and Tuantong Jutagate. 2024. "Changes in Water Quality and Soil Property in the Rice–Freshwater Animal Co-Culturing System" Water 16, no. 20: 2890. https://doi.org/10.3390/w16202890
APA StyleKaewpuangdee, P., Saowakoon, S., Kasamawut, K., Kruapukdee, A., Jutagate, A., & Jutagate, T. (2024). Changes in Water Quality and Soil Property in the Rice–Freshwater Animal Co-Culturing System. Water, 16(20), 2890. https://doi.org/10.3390/w16202890

