Improvement of the Two-Dimensional Routing Procedure for Observing Dispersion Coefficients in Open-Channel Flow
Abstract
1. Introduction
2. Materials and Methods
2.1. D Stream-Tube Routing Procedure (2D STRP)
2.2. Derivation of New 2D Stream-Tube Routing Procedure (2D STRP-i)
2.3. Evaluation Procedures of the Proposed Routing Method
2.4. Tracer Tests in Large-Scale Channel
2.4.1. Selection of Experimental Data for Validation of 2D STRP-i
2.4.2. Experimental Conditions
2.4.3. Pre-Processing of Tracer Concentration Data
3. Results and Discussion
3.1. Evaluating the Performance of Routing-Based Methods
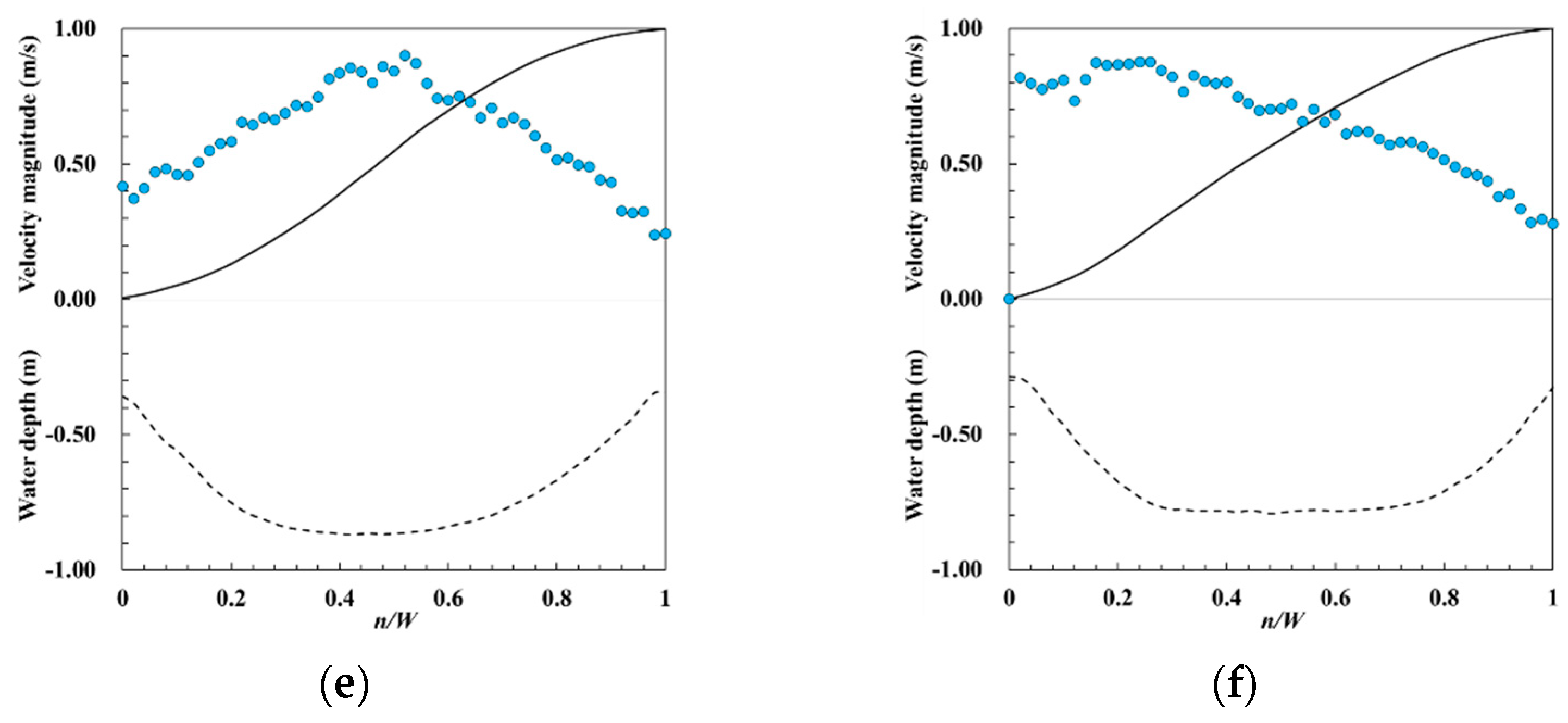
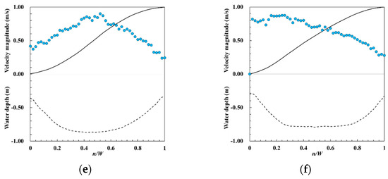
3.2. Application to Large-Scale Experiments
4. Conclusions
- (i)
- Assessment of the existing 2D STRP:
- (ii)
- Assessment of the 2D STRP-i:
- (iii)
- Application of routing-based method to experimental data
Author Contributions
Funding
Data Availability Statement
Conflicts of Interest
References
- Fischer, H.B.; List, E.; Koh, R.; Imberger, J.; Brooks, N. Mixing in Inland and Coastal Waters; Academic Press: New York, NY, USA, 1979. [Google Scholar]
- Baek, K.O.; Seo, I.W. On the methods for determining the transverse dispersion coefficient in river mixing. Adv. Water Resour. 2016, 90, 1–9. [Google Scholar] [CrossRef]
- Godfrey, R.G.; Frederick, B.J. Stream Dispersion at Selected Sites; Professional Paper; No. 433-K; U.S. Geological Survey: Denver, CO, USA, 1970.
- Nordin, C.F.; Sabol, G.V. Empirical Data on Longitudinal Dispersion in Rivers; Water-Resources Investigations Report 74–20; U.S. Geological Survey: Denver, CO, USA, 1974.
- Kilpatrick, F.A.; Wilson, J.F. Measurement of Time of Travel in Streams by Dye Tracing; Techniques of Water-Resources Investigation 3-A9; U.S. Geological Survey: Denver, CO, USA, 1989.
- Seo, I.; Baek, K.O.; Jeon, T.M. Analysis of transverse mixing in natural streams under slug tests. J. Hydraul. Res. 2006, 44, 350–362. [Google Scholar] [CrossRef]
- Seo, I.W.; Choi, H.J.; Kim, Y.D.; Han, E.J. Analysis of two-dimensional mixing in natural streams based on transient tracer tests. J. Hydraul. Eng. 2016, 142, 04016020. [Google Scholar] [CrossRef]
- Jung, S.H.; Seo, I.W.; Kim, Y.D.; Park, I. Feasibility of Velocity-Based Method for Transverse Mixing Coefficients in River Mixing Analysis. J. Hydraul. Eng. 2019, 145, 04019040. [Google Scholar] [CrossRef]
- Sayre, W.W. A Laboratory Investigation of Open-Channel Dispersion Processes for Dissolved, Suspended, and Floating Dispersants; US Government Printing Office: Washington, DC, USA, 1968.
- Beltaos, S. Transverse mixing tests in natural streams. J. Hydraul. Div. 1980, 106, 1607–1625. [Google Scholar] [CrossRef]
- Baek, K.O.; Seo, I.W. Routing procedures for observed dispersion coefficients in two-dimensional river mixing. Adv. Water Resour. 2010, 33, 1551–1559. [Google Scholar] [CrossRef]
- Fisher, H.B. Dispersion predictions in natural streams. J. Sanit. Eng. Div. 1968, 94, 927–944. [Google Scholar] [CrossRef]
- Singh, S.K.; Beck, M.B. Dispersion coefficient of streams from tracer experiment data. J. Environ. Eng. 2003, 129, 539–546. [Google Scholar] [CrossRef]
- Baek, K.O.; Seo, I.W.; Jeong, S.J. Evaluation of dispersion coefficients in meandering channels from transient tracer tests. J. Hydraul. Eng. 2006, 132, 1021–1032. [Google Scholar] [CrossRef]
- Shin, J.; Seo, I.W.; Baek, D. Longitudinal and transverse dispersion coefficients of 2D contaminant transport model for mixing analysis in open channels. J. Hydrol. 2019, 583, 124302. [Google Scholar] [CrossRef]
- Fischer, H.B. Longitudinal Dispersion in Laboratory and Natural Streams; Report No. KH-R-12; California Institute of Technology: Pasadena, CA, USA, 1966. [Google Scholar]
- Flynn, K.F.; Chapra, S.C. Remote sensing of submerged aquatic vegetation in a shallow non-turbid river using an unmanned aerial vehicle. Remote Sens. 2014, 6, 12815–12836. [Google Scholar] [CrossRef]
- Tamminga, A.; Hugenholtz, C.; Eaton, B.; Lapointe, M. Hyperspatial remote sensing of channel reach morphology and hydraulic fish habitat using an unmanned aerial vehicle (UAV): A first assessment in the context of river research and management. River Res. Appl. 2015, 31, 379–391. [Google Scholar] [CrossRef]
- Detert, M.; Weitbrecht, V. A low-cost airborne velocimetry system: Proof of concept. J. Hydraul. Res. 2015, 53, 532–539. [Google Scholar] [CrossRef]
- Wigmore, O.; Mark, B.G. Monitoring tropical debris-covered glacier dynamics from high-resolution unmanned aerial vehicle photogrammetry, Cordillera Blanca, Peru. Cryosphere 2017, 11, 2463. [Google Scholar] [CrossRef]
- Baek, D.; Seo, I.W.; Kim, J.S.; Nelson, J.M. UAV-based measurements of spatio-temporal concentration distributions of fluorescent tracers in open channel flows. Adv. Water Resour. 2019, 127, 76–88. [Google Scholar] [CrossRef]
- Kinzel, P.J.; Legleiter, C.J. sUAS-based remote sensing of river discharge using thermal particle image velocimetry and bathymetric lidar. Remote Sens. 2019, 11, 2317. [Google Scholar] [CrossRef]
- Legleiter, C.J.; Sansom, B.J.; Jacobson, R.B. Remote sensing of visible dye concentrations during a tracer experiment on a large, turbid river. Water Resour. Res. 2022, 58, e2021WR031396. [Google Scholar] [CrossRef]
- Kwon, S.; Gwon, Y.; Kim, D.; Seo, I.W.; You, H. Unsupervised Classification of Riverbed Types for Bathymetry Mapping in Shallow Rivers Using UAV-Based Hyperspectral Imagery. Remote Sens. 2023, 15, 2803. [Google Scholar] [CrossRef]
- Kwon, S.; Seo, I.W.; Lyu, S. Investigating mixing patterns of suspended sediment in a river confluence using high-resolution hyperspectral imagery. J. Hydrol. 2023, 620, 129505. [Google Scholar] [CrossRef]
- Baek, D. Routing Method for Two-Dimensional Dispersion Coefficients in Open Channel and Its Application for Remotely Sensed Tracer Tests. Ph.D. Dissertation, Seoul National University, Seoul, Republic of Korea, 2020. [Google Scholar]
- Yotsukura, N.; Sayre, W.W. Transverse mixing in natural channels. Water Resour. Res. 1976, 12, 695–704. [Google Scholar] [CrossRef]
- Shen, H.T. Transient mixing in river channels. J. Environ. Eng. Div. 1978, 104, 445–459. [Google Scholar] [CrossRef]
- Harden, T.O.; Shen, H.T. Numerical simulation of mixing in natural rivers. J. Hydraul. Div. 1979, 105, 393–408. [Google Scholar] [CrossRef]
- Yotsukura, N.; Cobb, E.D. Transverse Diffusion of Solutions in Natural Streams; US Geo. Survey Paper; US Government Printing Office: Washington, DC, USA, 1972; Volume 582.
- Lau, Y.L.; Krishnappan, B.G. Modeling transverse mixing in natural streams. J. Hydraul. Div. 1981, 107, 209–226. [Google Scholar] [CrossRef]
- Rutherford, J.C. River Mixing; John Wiley and Sons: Chichester, UK, 1994; pp. 48–51. [Google Scholar]
- McKay, M.D.; Beckman, R.J.; Conover, W.J. Comparison of three methods for selecting values of input variables in the analysis of output from a computer code. Technometrics 1979, 21, 239–245. [Google Scholar]
- Eglajs, V.; Audze, P. New approach to the design of multifactor experiments. Probl. Dyn. Strengths 1977, 35, 104–107. [Google Scholar]
- Iman, R.L.; Davenport, J.M.; Zeigler, D.K. Latin Hypercube Sampling (Program User’s Guide); [LHC, in FORTRAN] (No. SAND-79–1473); Sandia Labs.: Albuquerque, NM, USA, 1980.
- Carbonneau, P.E.; Lane, S.N.; Bergeron, N. Feature based image processing methods applied to bathymetric measurements from airborne remote sensing in fluvial environments. Earth Surf. Process. Landf. J. Br. Geomorphol. Res. Group 2006, 31, 1413–1423. [Google Scholar] [CrossRef]
- Merwade, V.; Cook, A.; Coonrod, J. GIS techniques for creating river terrain models for hydrodynamic modeling and flood inundation mapping. Environ. Model. Softw. 2008, 23, 1300–1311. [Google Scholar] [CrossRef]
- Piasecki, M.; Katopodes, N.D. Identification of stream dispersion coefficients by adjoint sensitivity method. J. Hydraul. Eng. 1999, 125, 714–724. [Google Scholar] [CrossRef]
- Elder, J. The dispersion of marked fluid in turbulent shear flow. J. Fluid Mech. 1959, 5, 544–560. [Google Scholar] [CrossRef]
















| Case | Mean Velocity U (m/s) | Water Depth H (m) | Channel Width W (m) | Dispersion Coefficients | Péclet Number | |
|---|---|---|---|---|---|---|
| DL (m2/s) | DT (m2/s) | |||||
| Pe900 | 0.5 | 1.0 | 12.0 | 1.0 | 0.01 | 900 |
| Pe1125 | 0.8 | 1125 | ||||
| Pe1500 | 0.6 | 1500 | ||||
| Pe2250 | 0.4 | 2250 | ||||
| Pe4500 | 0.2 | 4500 | ||||
| Pe9000 | 0.1 | 9000 | ||||
| Sections | Hydraulic Data | Concentration Data | ||||||
|---|---|---|---|---|---|---|---|---|
| Discharge (m3/s) | Width (m) | Mean Depth (m) | Mean Velocity (m/s) | Tracer Volume (mL) | Peak Concentration (ppb) | Peak Concentration Arrival Time (sec) | Time to Centroid (sec) | |
| 1 | 2.02 | 6.06 | 0.59 | 0.62 | 200 | - | - | - |
| 2 | 6.34 | 0.59 | 0.63 | 75 | 70 | 86.2 | ||
| 3 | 6.23 | 0.61 | 0.65 | - | - | - | ||
| 4 | 6.34 | 0.65 | 0.61 | 48 | 132 | 144.3 | ||
| 5 | 6.43 | 0.61 | 0.63 | - | - | - | ||
| 6 | 6.32 | 0.62 | 0.65 | 27 | 203 | 228.8 | ||
| Average | - | 6.29 | 0.61 | 0.63 | - | - | - | |
Disclaimer/Publisher’s Note: The statements, opinions and data contained in all publications are solely those of the individual author(s) and contributor(s) and not of MDPI and/or the editor(s). MDPI and/or the editor(s) disclaim responsibility for any injury to people or property resulting from any ideas, methods, instructions or products referred to in the content. |
© 2024 by the authors. Licensee MDPI, Basel, Switzerland. This article is an open access article distributed under the terms and conditions of the Creative Commons Attribution (CC BY) license (https://creativecommons.org/licenses/by/4.0/).
Share and Cite
Baek, D.; Seo, I.W.; Kim, J.S.; Jung, S.H.; Choi, Y. Improvement of the Two-Dimensional Routing Procedure for Observing Dispersion Coefficients in Open-Channel Flow. Water 2024, 16, 365. https://doi.org/10.3390/w16020365
Baek D, Seo IW, Kim JS, Jung SH, Choi Y. Improvement of the Two-Dimensional Routing Procedure for Observing Dispersion Coefficients in Open-Channel Flow. Water. 2024; 16(2):365. https://doi.org/10.3390/w16020365
Chicago/Turabian StyleBaek, Donghae, Il Won Seo, Jun Song Kim, Sung Hyun Jung, and Yuyoung Choi. 2024. "Improvement of the Two-Dimensional Routing Procedure for Observing Dispersion Coefficients in Open-Channel Flow" Water 16, no. 2: 365. https://doi.org/10.3390/w16020365
APA StyleBaek, D., Seo, I. W., Kim, J. S., Jung, S. H., & Choi, Y. (2024). Improvement of the Two-Dimensional Routing Procedure for Observing Dispersion Coefficients in Open-Channel Flow. Water, 16(2), 365. https://doi.org/10.3390/w16020365

