Comparing Different Coupling and Modeling Strategies in Hydromechanical Models for Slope Stability Assessment
Abstract
1. Introduction
2. Materials and Methods
2.1. Coupled Hydromechanical Model
2.2. Evaluation of Stability Status
2.3. Implementation of Different Coupling and Modeling Concepts
3. Results
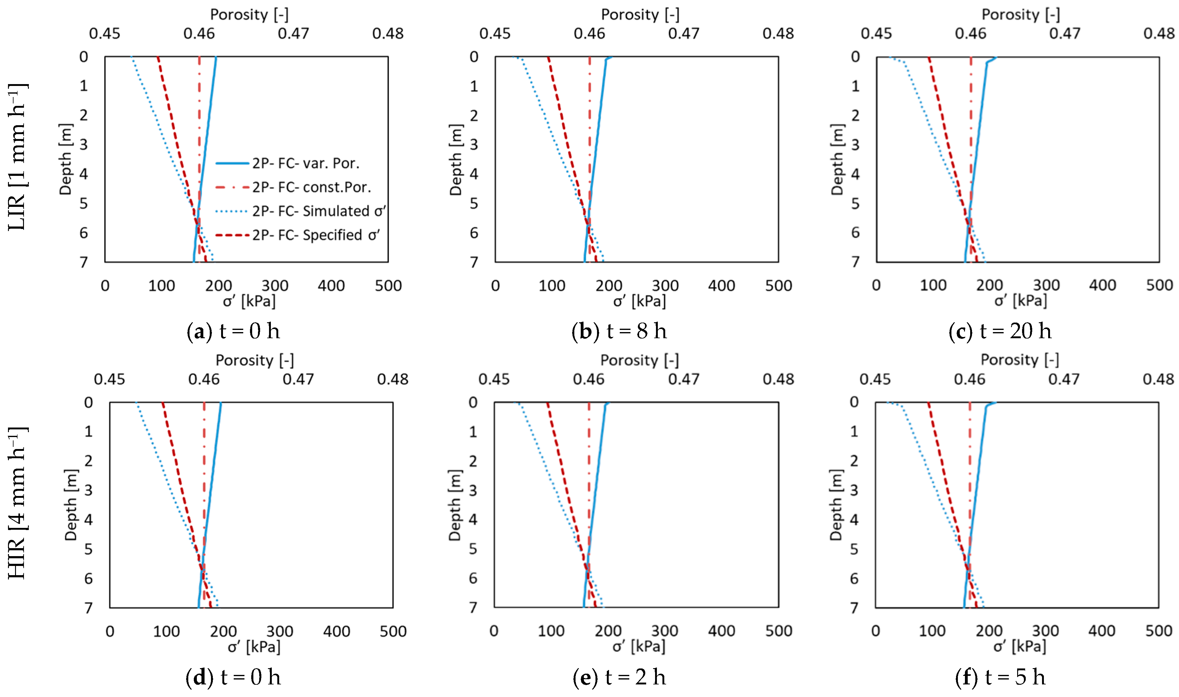
3.1. Fully Coupled Two-Phase Flow Model with Variable and Constant Porosity
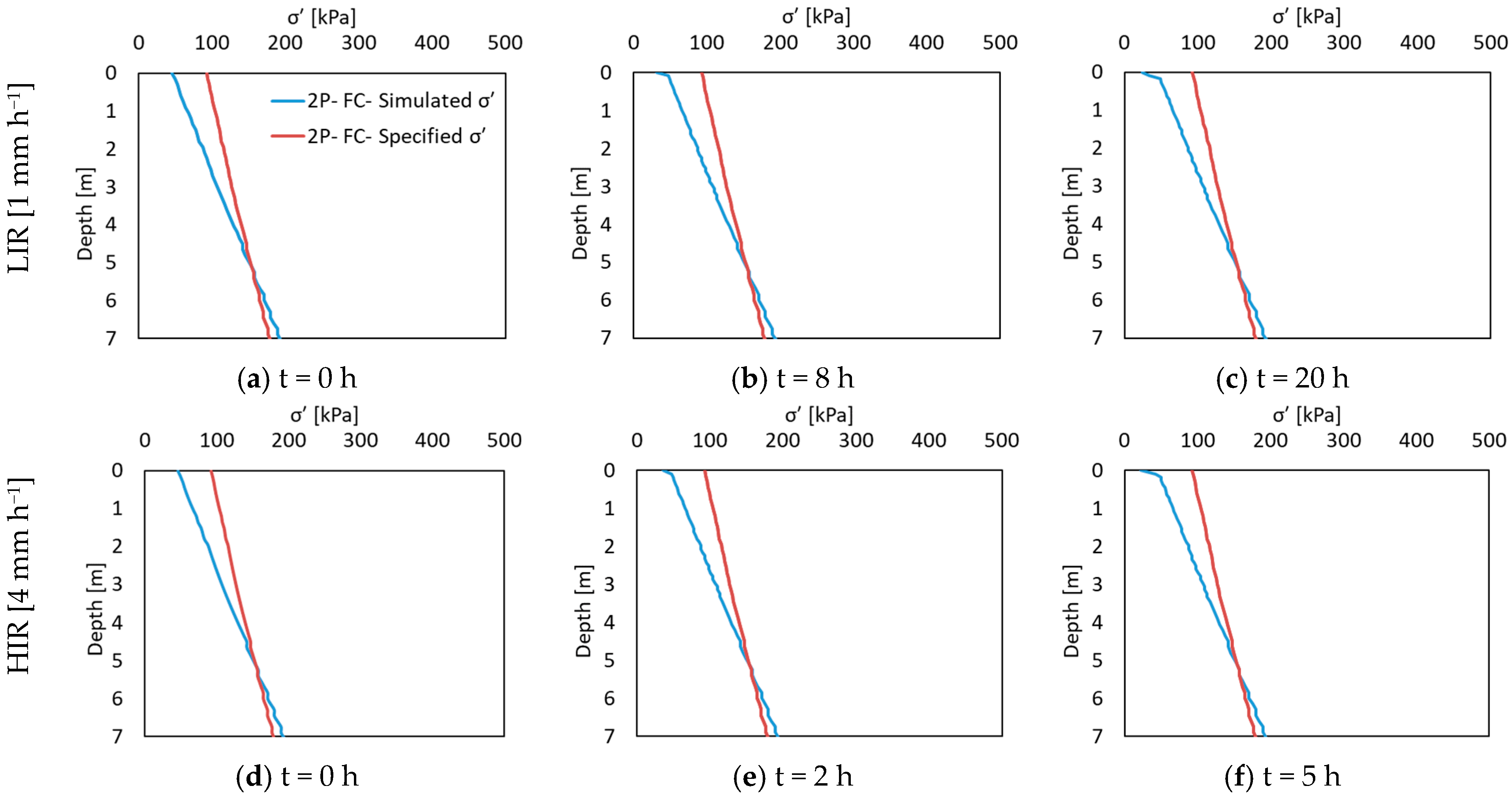
3.2. Fully Coupled vs. Sequentially Coupled Models
3.3. Fully Coupled Two-Phase vs. One-Phase Flow Model (Richards’ Equation)
4. Discussion
4.1. Effect of Poroelasticity
4.2. Effect of Coupling Strategy
4.3. Effect of the Multiphase Flow Model
5. Conclusions and Outlook
Supplementary Materials
Author Contributions
Funding
Data Availability Statement
Acknowledgments
Conflicts of Interest
References
- Srinivasan, K.; Howell, B.; Anderson, E.; Flores, A. A low cost wireless sensor network for landslide hazard monitoring. In Proceedings of the International Geoscience and Remote Sensing Symposium, Munich, Germany, 22–27 July 2012; pp. 4793–4796. [Google Scholar]
- Greco, R.; Marino, P.; Bogaard, T.A. Recent advancements of landslide hydrology. Wiley Interdiscip. Rev. Water 2023, 10, e1675. [Google Scholar] [CrossRef]
- Cuomo, S.; Della Sala, M. Rainfall-induced infiltration, runoff and failure in steep unsaturated shallow soil deposits. Eng. Geol. 2013, 162, 118–127. [Google Scholar] [CrossRef]
- Cuomo, S.; Della Sala, M. Large-area analysis of soil erosion and landslides induced by rainfall: A case of unsaturated shallow deposits. J. Mt. Sci. 2015, 12, 783–796. [Google Scholar] [CrossRef]
- Eichenberger, J.; Ferrari, A.; Laloui, L. Early warning thresholds for partially saturated slopes in volcanic ashes. Comput. Geotech. 2013, 49, 79–89. [Google Scholar] [CrossRef]
- Tsaparas, I.; Rahardjo, H.; Toll, D.G.; Leong, E.C. Controlling parameters for rainfall-induced landslides. Comput. Geotech. 2002, 29, 1–27. [Google Scholar] [CrossRef]
- Lu, N.; Sener-Kaya, B.; Wayllace, A.; Godt, J.W. Analysis of rainfall-induced slope instability using a field of local factor of safety. Water Resour. Res. 2012, 48, W09524. [Google Scholar] [CrossRef]
- Griffiths, D.V.; Lu, N. Unsaturated slope stability analysis with steady infiltration or evaporation using elasto-plastic finite elements. Int. J. Numer. Anal. Methods Geomech. 2005, 29, 249–267. [Google Scholar] [CrossRef]
- Lu, N.; Godt, J. Infinite slope stability under steady unsaturated seepage conditions. Water Resour. Res. 2008, 44, W11404. [Google Scholar] [CrossRef]
- Lehmann, P.; Or, D. Hydromechanical triggering of landslides: From progressive local failures to mass release. Water Resour. Res. 2012, 48, W03535. [Google Scholar] [CrossRef]
- von Ruette, J.; Lehmann, P.; Or, D. Effects of rainfall spatial variability and intermittency on shallow landslide triggering patterns at a catchment scale. Water Resour. Res. 2014, 50, 7780–7799. [Google Scholar] [CrossRef]
- Moradi, S.; Huisman, J.; Class, H.; Vereecken, H. The effect of bedrock topography on timing and location of landslide initiation using the local factor of safety concept. Water 2018, 10, 1290. [Google Scholar] [CrossRef]
- Lanni, C.; McDonnell, J.; Hopp, L.; Rigon, R. Simulated effect of soil depth and bedrock topography on near-surface hydrologic response and slope stability. Earth Surf. Process. Landf. 2013, 38, 146–159. [Google Scholar] [CrossRef]
- von Ruette, J.; Lehmann, P.; Or, D. Rainfall-triggered shallow landslides at catchment scale: Threshold mechanics-based modeling for abruptness and localization. Water Resour. Res. 2013, 49, 6266–6285. [Google Scholar] [CrossRef]
- Andrés, S.; Dentz, M.; Cueto-Felgueroso, L. Multirate Mass Transfer Approach for Double-Porosity Poroelasticity in Fractured Media. Water Resour. Res. 2021, 57, 27. [Google Scholar] [CrossRef]
- Mehrabian, A.; Abousleiman, Y.N. Generalized Biot’s theory and Mandel’s problem of multiple-porosity and multiple-permeability poroelasticity. J. Geophys. Res. Solid Earth 2014, 119, 2745–2763. [Google Scholar] [CrossRef]
- Dugan, B.; Stigall, J. Origin of overpressure and slope failure in the Ursa region, Northern Gulf of Mexico. In Submarine Mass Movements and Their Consequences; Mosher, D.C., Shipp, R.C., Moscardelli, L., Chaytor, J.D., Baxter, C.D.P., Lee, H.J., Urgeles, R., Eds.; Springer: Dordrecht, The Netherlands, 2010; Volume 28, pp. 167–178. [Google Scholar]
- Li, B.; Tian, B.; Tong, F.G.; Liu, C.; Xu, X.L. Effect of the Water-Air Coupling on the Stability of Rainfall-Induced Landslides Using a Coupled Infiltration and Hydromechanical Model. Geofluids 2022, 2022, 16. [Google Scholar] [CrossRef]
- Urgeles, R.; Locat, J.; Sawyer, D.E.; Flemings, P.B.; Dugan, B.; Binh, N.T.T. History of pore pressure build up and slope instability in mud-dominated sediments of ursa basin, gulf of Mexico continental slope. In Submarine Mass Movements and Their Consequences; Springer: Dordrecht, The Netherlands, 2010; Volume 28. [Google Scholar]
- Kim, J. Sequential Methods for Coupled Geomechanics and Multiphase Flow. Ph.D. Thesis, Stanford University, Stanford, CA, USA, 2010. [Google Scholar]
- Cho, S.E. Stability analysis of unsaturated soil slopes considering water-air flow caused by rainfall infiltration. Eng. Geol. 2016, 211, 184–197. [Google Scholar] [CrossRef]
- Szymkiewicz, A. Modelling Water Flow in Unsaturated Porous Media: Accounting for Nonlinear Permeability and Material Heterogeneity; Springer: Berlin/Heidelberg, Germany, 2013. [Google Scholar]
- Farthing, M.W.; Ogden, F.L. Numerical Solution of Richards’ Equation: A Review of Advances and Challenges. Soil Sci. Soc. Am. J. 2017, 81, 1257–1269. [Google Scholar] [CrossRef]
- Oh, S.; Lu, N. Slope stability analysis under unsaturated conditions: Case studies of rainfall-induced failure of cut slopes. Eng. Geol. 2015, 184, 96–103. [Google Scholar] [CrossRef]
- Borja, R.I.; White, J.A. Continuum deformation and stability analyses of a steep hillside slope under rainfall infiltration. Acta Geotech. 2010, 5, 1–14. [Google Scholar] [CrossRef]
- Settari, A.; Walters, D.A. Advances in coupled geomechanical and reservoir modeling with applications to reservoir compaction. SPE J. 2001, 6, 334–342. [Google Scholar] [CrossRef]
- Koch, T.; Gläser, D.; Weishaupt, K.; Ackermann, S.; Beck, M.; Becker, B.; Burbulla, S.; Class, H.; Coltman, E.; Emmert, S.; et al. DuMux 3—An open-source simulator for solving flow and transport problems in porous media with a focus on model coupling. Comput. Math. Appl. 2021, 81, 423–443. [Google Scholar] [CrossRef]
- White, J.A.; Castelletto, N.; Tchelepi, H.A. Block-partitioned solvers for coupled poromechanics: A unified framework. Comput. Meth. Appl. Mech. Eng. 2016, 303, 55–74. [Google Scholar] [CrossRef]
- Preisig, M.; Pervost, J.H. Coupled multi-phase 1036 thermo-poromechanical effects. Case study: CO2 injection at In Salah, Algeria. Int. J. Greenh. Gas Control 2011, 5, 1055–1064. [Google Scholar] [CrossRef]
- Beck, M.; Rinaldi, A.P.; Flemisch, B.; Class, H. Accuracy of fully coupled and sequential approaches for modeling hydro- and geomechanical processes. Comput. Geosci. 2020, 24, 1707–1723. [Google Scholar] [CrossRef]
- Kim, J.; Tchelepi, H.A.; Juanes, R. Stability and convergence of sequential methods for coupled flow and geomechanics: Fixed-stress and fixed-strain splits. Comput. Meth. Appl. Mech. Eng. 2011, 200, 1591–1606. [Google Scholar] [CrossRef]
- Darcis, M.Y. Coupling Models of Different Complexity for the Simulation of CO2 Storage in Deep Saline Aquifers. Ph.D. Thesis, University of Stuttgart, Stuttgart, Germany, 2013. [Google Scholar]
- Kim, J.M. A fully coupled finite element analysis of water-table fluctuation and land deformation in partially saturated soils due to surface loading. Int. J. Numer. Methods Eng. 2000, 49, 1101–1119. [Google Scholar] [CrossRef]
- Bao, J.; Xu, Z.J.; Fang, Y.L. A coupled thermal-hydromechanical simulation for carbon dioxide sequestration. Environ. Geotech. 2016, 3, 312–324. [Google Scholar] [CrossRef]
- Abdollahipour, A.; Marji, M.F.; Bafghi, A.Y.; Gholamnejad, J. Time-dependent crack propagation in a poroelastic medium using a fully coupled hydromechanical displacement discontinuity method. Int. J. Fract. 2016, 199, 71–87. [Google Scholar] [CrossRef]
- Della Vecchia, G.; Jommi, C.; Romero, E. A fully coupled elastic-plastic hydromechanical model for compacted soils accounting for clay activity. Int. J. Numer. Anal. Methods Geomech. 2013, 37, 503–535. [Google Scholar] [CrossRef]
- Freeman, T.; Chalaturnyk, R.; Bogdanov, I. Fully coupled thermo-hydro-mechanical modeling by COMSOL Multiphysics, with applications in reservoir geomechanical characterization. In Proceedings of the COMSOL Conference, Boston, MA, USA, 9–11 October 2008. [Google Scholar]
- Tang, Y.; Wu, W.; Yin, K.; Wang, S.; Lei, G. A hydro-mechanical coupled analysis of rainfall induced landslide using a hypoplastic constitutive model. Comput. Geotech. 2019, 112, 284–292. [Google Scholar] [CrossRef]
- Tufano, R.; Formetta, G.; Calcaterra, D.; De Vita, P. Hydrological control of soil thickness spatial variability on the initiation of rainfall-induced shallow landslides using a three-dimensional model. Landslides 2021, 18, 3367–3380. [Google Scholar] [CrossRef]
- Chen, X.; Zhang, L.; Zhang, L.; Zhou, Y.; Ye, G.; Guo, N. Modelling rainfall-induced landslides from initiation of instability to post-failure. Comput. Geotech. 2021, 129, 103877. [Google Scholar] [CrossRef]
- Wu, L.; Huang, R.; Li, X. Hydro-Mechanical Analysis of Rainfall-Induced Landslides; Springer: Beijing, China, 2020. [Google Scholar] [CrossRef]
- Pedone, G.; Tsiampousi, A.; Cotecchia, F.; Zdravkovic, L. Coupled hydro-mechanical modelling of soil–vegetation–atmosphere interaction in natural clay slopes. Can. Geotech. J. 2022, 59, 272–290. [Google Scholar] [CrossRef]
- Moradi, S. Stability Assessment of Variably Saturated Hillslopes Using Coupled Hydromechanical Models. Ph.D. Thesis, University of Stuttgart, Stuttgart, Germany, 2021. [Google Scholar]
- Lu, N.; Godt, J.W. Hillslope Hydrology and Stability; Cambridge University Press: Cambridge, UK, 2013. [Google Scholar]
- Huang, Y.H. Slope Stability Analysis by the Limit Equilibrium Method; ASCE Press: Reston, VA, USA, 2014. [Google Scholar] [CrossRef]
- Moradi, S.; Heinze, T.; Budler, J.; Gunatilake, T.; Kemna, A.; Huisman, J.A. Combining Site Characterization, Monitoring and Hydromechanical Modeling for Assessing Slope Stability. Land 2021, 10, 423. [Google Scholar] [CrossRef]
- Flemisch, B.; Darcis, M.; Erbertseder, K.; Faigle, B.; Lauser, A.; Mosthaf, K.; Muthing, S.; Nuske, P.; Tatomir, A.; Wolff, M.; et al. DuMu(x): DUNE for multi-{phase, component, scale, physics, …} flow and transport in porous media. Adv. Water Resour. 2011, 34, 1102–1112. [Google Scholar] [CrossRef]
- Fetzer, T.; Becker, B.; Flemisch, B.; Glaser, D.; Heck, K.; Koch, T.; Schneider, M.; Scholz, S.; Weishaupt, K. Dumux, 2.12.0; Zenodo: Geneve, Switzerland, 2017. [Google Scholar] [CrossRef]
- Blatt, M.; Burchardt, A.; Dedner, A.; Engwer, C.; Fahlke, J.; Flemisch, B.; Gersbacher, C.; Graeser, C.; Gruber, F.; Grueninger, C.; et al. The Distributed and Unified Numerics Environment, Version 2.4. Arch. Numer. Softw. 2016, 4, 13–17. [Google Scholar] [CrossRef]
- Bastian, P.; Blatt, M.; Dedner, A.; Engwer, C.; Klofkorn, R.; Kornhuber, R.; Ohlberger, M.; Sander, O. A generic grid interface for parallel and adaptive scientific computing. Part II: Implementation and tests in DUNE. Computing 2008, 82, 121–138. [Google Scholar] [CrossRef]
- Bastian, P.; Blatt, M.; Dedner, A.; Dreier, N.-A.; Engwer, C.; Fritze, R.; Gräser, C.; Grüninger, C.; Kempf, D.; Klöfkorn, R.; et al. The Dune framework: Basic concepts and recent developments. Comput. Math. Appl. 2021, 81, 75–112. [Google Scholar] [CrossRef]
- Zhang, K.; Cao, P.; Liu, Z.Y.; Hu, H.H.; Gong, D.P. Simulation analysis on three-dimensional slope failure under different conditions. Trans. Nonferrous Met. Soc. China 2011, 21, 2490–2502. [Google Scholar] [CrossRef]
- Kristo, C.; Rahardjo, H.; Satyanaga, A. Effect of hysteresis on the stability of residual soil slope. Int. Soil Water Conserv. Res. 2019, 7, 226–238. [Google Scholar] [CrossRef]










| Model | Abbreviation |
|---|---|
| Fully coupled two-phase flow model with variable porosity | 2P-FC-var.Por. |
| Fully coupled two-phase flow model with constant porosity | 2P-FC-const.Por. |
| sequentially coupled two-phase flow model | 2P-SC |
| One-phase flow model (Richards’ equation) | 1P-FC |
| 2P-FC-var.Por. vs. … | Parameter | HIR (4 mm h−1) (%) | LIR (1 mm h−1) (%) |
|---|---|---|---|
| 2P-FC- const-Por. | pw | −10.1 | −2.2 |
| LFS | +2.0 | +1.1 | |
| 2P-SC | pw | −16.0 | −6.3 |
| LFS | +7.5 | +4.3 | |
| 1P-FC | pw | +97.2 | +53.7 |
| LFS | −21.5 | −11.9 |
Disclaimer/Publisher’s Note: The statements, opinions and data contained in all publications are solely those of the individual author(s) and contributor(s) and not of MDPI and/or the editor(s). MDPI and/or the editor(s) disclaim responsibility for any injury to people or property resulting from any ideas, methods, instructions or products referred to in the content. |
© 2024 by the authors. Licensee MDPI, Basel, Switzerland. This article is an open access article distributed under the terms and conditions of the Creative Commons Attribution (CC BY) license (https://creativecommons.org/licenses/by/4.0/).
Share and Cite
Moradi, S.; Huisman, J.A.; Vereecken, H.; Class, H. Comparing Different Coupling and Modeling Strategies in Hydromechanical Models for Slope Stability Assessment. Water 2024, 16, 312. https://doi.org/10.3390/w16020312
Moradi S, Huisman JA, Vereecken H, Class H. Comparing Different Coupling and Modeling Strategies in Hydromechanical Models for Slope Stability Assessment. Water. 2024; 16(2):312. https://doi.org/10.3390/w16020312
Chicago/Turabian StyleMoradi, Shirin, Johan Alexander Huisman, Harry Vereecken, and Holger Class. 2024. "Comparing Different Coupling and Modeling Strategies in Hydromechanical Models for Slope Stability Assessment" Water 16, no. 2: 312. https://doi.org/10.3390/w16020312
APA StyleMoradi, S., Huisman, J. A., Vereecken, H., & Class, H. (2024). Comparing Different Coupling and Modeling Strategies in Hydromechanical Models for Slope Stability Assessment. Water, 16(2), 312. https://doi.org/10.3390/w16020312

