Quality and Influences of Natural and Anthropogenic Factors on Drinking Water in Rural Areas of Southern Chile
Abstract
1. Introduction
2. Materials and Methods
2.1. Study Area
2.2. Determination of Physical, Chemical and Microbiological Parameters of Drinking Water
2.3. Metals in Soil Samples
2.4. Statistical Analysis
3. Results
3.1. Physicochemical and Microbiological Quality of Drinking Water (Treated Water) in Rural Areas of Southern Chile
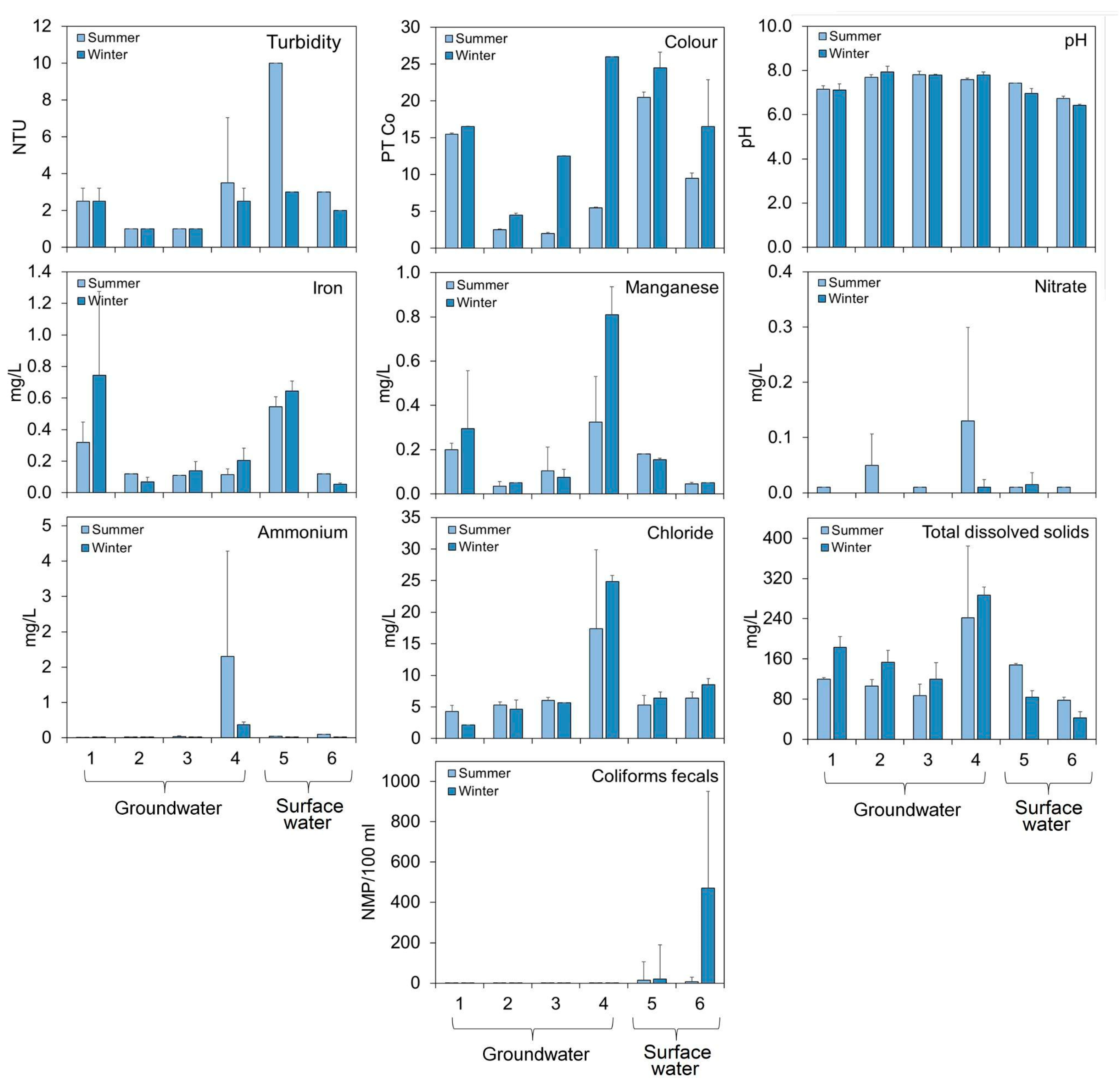
3.2. Physicochemical and Microbiological Quality of Raw Water (Groundwater and Surface Water) in Rural Areas of Southern Chile
3.2.1. Anthropic Influence on the Quality of Surface Waters
3.2.2. Influence of Geological Factors on the Quality of Groundwaters
4. Conclusions
Supplementary Materials
Author Contributions
Funding
Data Availability Statement
Acknowledgments
Conflicts of Interest
References
- WHO. Guidelines for Drinking-Water Quality, 4th ed.; World Health Organization: Geneva, Switzerland, 2022. [Google Scholar]
- Pareja, C.; Fuentes, N.; Arriagada, A. Relationships as a Basis for Safe Drinking Water Provision by Cooperatives in Rural Chile. Water 2022, 14, 353. [Google Scholar] [CrossRef]
- Herrera, V.; Gutiérrez, N.; Córdova, S.; Luque, M.; Idelfonso, M.; Flores, A.; Romero, L. Calidad del agua subterránea para el riego en el oasis de Pica, norte de Chile. Idesia 2018, 36, 181–191. [Google Scholar]
- González, L.; González, A.; Mardones, M. Evaluación de la vulnerabilidad natural del acuífero freático en la cuenca del río Laja, centro sur de Chile. Rev. Geol. Chile 2003, 30, 3–22. [Google Scholar] [CrossRef]
- Kumar, C. Climate change and its impact on groundwater resources. Int. J. Eng. Sci. 2012, 1, 43–60. [Google Scholar]
- Marouane, B.; Belhsain, K.; Jahdi, M.; El Hajjaji, S.; Dahchour, A.; Dousset, S.; Satrallah, A. Impact of agricultural practices on groundwater quality: Case of Gharb region-Morocco. J. Mater. Environ. Sci. 2014, 5, 2151–2155. [Google Scholar]
- Blanco, E.; Donoso, G. Agua potable rural: Desafíos para la provisión sustentable del recurso. Actas Derecho Aguas 2016, 6, 63–79. [Google Scholar]
- Daly, D.; Warren, W. Mapping groundwater vulnerability to pollution: Geological Survey of Ireland guidelines. GSI Groundw. Newsl. 1994, 25, 10–15. [Google Scholar]
- Khatri, N.; Tyagi, S. Influences of natural and anthropogenic factors on surface and groundwater quality in rural and urban areas. Front. Life Sci. 2015, 8, 23–39. [Google Scholar] [CrossRef]
- Zhai, Y.; Cao, X.; Xia, X.; Wang, B.; Teng, Y.; Li, X. Elevated Fe and Mn concentrations in groundwater in the Songnen Plain, Northeast China, and the factors and mechanisms involved. Agronomy 2021, 11, 2392. [Google Scholar] [CrossRef]
- Londoño-Franco, L.; Londoño-Muñoz, P.; Muñoz-García, F. Los riesgos de los metales pesados en la salud humana y animal. Biotecnol. Sect. Agropecu. Agroind. 2016, 14, 145–153. [Google Scholar] [CrossRef]
- Miranda, A.; Altamirano, A.; Cayuela, L.; Lara, A.; González, M. Native forest loss in the chilean biodiversity hotspot: Revealing the evidence. Reg. Environ. Chang. 2017, 17, 285–297. [Google Scholar] [CrossRef]
- Lara, A.; Solari, M.; Prieto, M.; Peña, M. Reconstrucción de la cobertura de la vegetación y uso del suelo hacia 1550 y sus cambios a 2007 en la ecorregión de los bosques valdivianos lluviosos de Chile (35°–43°30’S). Bosque 2012, 33, 13–23. [Google Scholar] [CrossRef]
- Alfaro, M.; Salazar, F.; Iraira, S.; Teuber, N.; Ramírez, L. Nitrogen runoff and leaching losses in beef production systems under two different stocking rates in southern Chile. Gayana Bot. 2005, 62, 130–138. [Google Scholar] [CrossRef]
- McPhee, J. Hydrological setting. In Water Policy in Chile; Donoso, G., Ed.; Springer International Publishing: Cham, Switzerland, 2018. [Google Scholar]
- CONAF–UACH. Monitoreo de Cambios, Corrección Cartográfica y Actualización del Catastro de Recursos Vegetacionales Nativos de la Región de Los Lagos; Informe Final; Laboratorio de Geomática, Instituto de Manejo de Bosques y Sociedad, Universidad Austral de Chile: Valdivia, Chile, 2014. [Google Scholar]
- SERNAGEOMIN. Anuario de la Minería de Chile; Servicio Nacional de Geología y Minería: Santiago, Chile, 2013.
- Page, A.; Miller, R.; Keeny, D. Methods of soil analysis. Part II. Chemical and microbiological methods. Am. Soc. Agron. 1982, 1159, 225–246. [Google Scholar]
- CIREN. Estudio Agrológico Región de Los Lagos: Descripciones de Suelos, Materiales y Símbolos; Centro de Información de Recursos Naturales (CIREN): Santiago, Chile, 2003; Volume 123. [Google Scholar]
- SUBDERE. Estudio de Soluciones Sanitarias para el Sector Rural; Unidad de Saneamiento Sanitario SUBDERE: Santiago, Chile, 2018.
- Norma Chilena NCh 409/1; Agua Potable Parte 1. Instituto Nacional de Normalización (INN): Santiago, Chile, 2005.
- ISO Norm 11466; Soil Quality-Extraction of Trace Elements Soluble in Aqua Regia. Prepared by Technical Committee ISO/TC 190, International Standard. 11466:1995(E); ISO: Geneva, Switzerland, 1995.
- Sokal, R.; Rohlf, F. Biometry: The Principles and Practice of Statistics in Biological Research; Freeman, W. and Company: NewYork, NY, USA, 1995. [Google Scholar]
- Allan, J. Landscapes and Riverscapes: The Influence of Land Use on Stream Ecosystems. Annu. Rev. Ecol. Evol. Syst. 2004, 35, 257–284. [Google Scholar] [CrossRef]
- Ruiz, C.; Peebles, F. Geología, Distribución y Génesis de los Yacimientos Metalíferos Chilenos; Editorial Universitaria: Santiago, Chile, 1988. [Google Scholar]
- Arumi, J.; Núñez, J.; Salgado, L.; Claret, M. Evaluación del riesgo de contaminación con nitrato de pozos de suministro de agua potable rural en Chile. Rev. Panam. Salud Pública 2006, 20, 385–392. [Google Scholar] [CrossRef] [PubMed][Green Version]
- Valenzuela, E.; Almonacid, L.; Godoy, R.; Barrientos, M. Microbiological quality of water in livestock area of southern Chile and its possible implications on human health. Rev. Chilena Infectol. 2012, 29, 628–634. [Google Scholar] [CrossRef] [PubMed]
- Fuentes, N.; Goméz, L.; Venegas, H.; Rau, J. Total devastation of river macroinvertebrates following a volcanic eruption in southern Chile. Ecosphere 2020, 11, e03105. [Google Scholar] [CrossRef]
- Fuentes, N.; Arriagada, A. Long-term responses of macroinvertebrate assemblages to the 2011 eruption of the Puyehue-Cordón Caulle volcanic complex, Chile. Sci. Total Environ. 2022, 807, 150978. [Google Scholar] [CrossRef] [PubMed]
- Bordalo, A.; Onrassami, R.; Dechsakulwatana, C. Survival of faecal indicator bacteria in tropical estuarine waters (Bangpakong River, Thailand). J. Appl. Microbiol. 2002, 93, 864–871. [Google Scholar] [CrossRef]
- Tosso, J. Suelos Volcánicos de Chile; Instituto de Investigación Agropecuaria (INIA): Santiago, Chile, 1985. [Google Scholar]
- Pizarro, C.; Escudey, M.; Gacitúa, M.; Fabris, J. Iron-bearing minerals from soils developing on volcanic materials from Southern Chile: Mineralogical characterization supported by Mössbauer spectroscopy. J. Soil Sci. Plant Nutr. 2017, 17, 341–365. [Google Scholar] [CrossRef]
- McMahon, P.B.; Belitz, K.; Reddy, J.E.; Johnson, T. Elevated manganese concentrations in United States groundwater, role of land surface-soil-aquifer connections. Environ. Sci. Technol. 2019, 53, 29–38. [Google Scholar] [CrossRef]
- Wang, Z.; Schenkeveld, W.; Kraemer, S.; Giammar, D. Synergistic effect of reductive and ligand-promoted dissolution of goethite. Environ. Sci. Technol. 2015, 49, 7236–7244. [Google Scholar] [CrossRef]
- Zhang, Z.; Xiao, C.; Adeyeye, O.; Yang, W.; Liang, X. Source and Mobilization Mechanism of Iron, Manganese and Arsenic in Groundwater of Shuangliao City, Northeast China. Water 2020, 12, 534. [Google Scholar] [CrossRef]
- Pizarro, H.; Rousse, S.; Riquelme, R.; Veloso, E.; Campos, E.; González, R.; Bissing, T.; Carrtier, S.; Fernández-Mort, A.; Muñoz, S. The origin of the magnetic record in Eocene-Miocene coarse-grained sediments deposited in hyper-arid/arid conditions: Examples from the Atacama Desert. Palaeogeogr. Palaeoclimatol. Palaeoecol. 2019, 516, 322–335. [Google Scholar] [CrossRef]
- Koit, O.; Barberá, J.; Marandi, A.; Terasmaa, J.; Kiivit, I.; Martma, T. Spatiotemporal assessment of humic substance-rich stream and shallow karst aquifer interactions in a boreal catchment of northern Estonia. J. Hydrol. 2020, 580, 124238. [Google Scholar] [CrossRef]
- Superintendencia de Servicios Sanitarios (SiSS). Manual de Métodos de Ensayos Para Agua Potable; Superintendencia de Servicios Sanitarios: Santiago, Chile, 2007. [Google Scholar]
- Eaton, A.D. Standard Methods for the Examination of Water and Wastewater; American Public Health Association (APHA)—American Water Works Association (AWWA)-Water Environment Federation (WEF): Washington, DC, USA, 2005. [Google Scholar]
- Rice, E.W.; Bridgewater, L. Standard Methods for the Examination of Water and Wastewater; American Public Health Association: Washington, DC, USA, 2012. [Google Scholar]
- Baird, R.; Eaton, A.D.; Rice, E.W.; Bridgewater, L. Standard Methods for the Examination of Water and Wastewater; AWWA; WEF: Washington, DC, USA, 2017. [Google Scholar]




| Samplings Sites | Water Type | USDA Classification | Texture | pH | Organic Matter (%) | Fe (%) | Mn (mg/kg) |
|---|---|---|---|---|---|---|---|
| 1 | Groundwater | Typic Hapludands | Silty loam | 6.20 | 9.5 | 1.54 | 255 |
| 2 | Groundwater | Pachic Melanudands | Loam to silty loam | 6.14 | 16.8 | 3.82 | 898 |
| 3 | Groundwater | Typic Hapludands | Silty loam | 5.18 | 15.7 | 4.39 | 1428 |
| 4 | Groundwater | Typic Hapludults | Clay loam | 6.20 | 3.6 | 3.33 | 728 |
| 5 | River | Andic Dystrudepts | Loam to silty loam | 5.16 | 3.0 | 3.61 | 873 |
| 6 | River | Oxic Dystrudepts | Silty loam to silty clay loam | 6.20 | 3.6 | 4.08 | 413 |
| Analytes | Limits NCh 409 | Sampling Sites | |||||||||||
|---|---|---|---|---|---|---|---|---|---|---|---|---|---|
| 1 | 2 | 3 | 4 | 5 | 6 | ||||||||
| Summer | Winter | Summer | Winter | Summer | Winter | Summer | Winter | Summer | Winter | Summer | Winter | ||
| Turbidity | ≤5 NTU | 2 | 2 | 1 | 1 | 1 | 1 | 6 | 3 | 12 | 2 | 2 | 2 |
| Color | ≤20 units Pt-Co | 8 | 7 | 1 | 4 | 2 | 2 | 11 | 13 | 21 | 24 | 10 | 13 |
| pH | 6.0–8.5 rank | 7.04 | 7.06 | 7.68 | 7.63 | 7.82 | 7.73 | 7.66 | 7.54 | 7.44 | 6.91 | 6.58 | 6.67 |
| Iron | ≤0.3 mg/L | 0.32 | 0.21 | 0.13 | 0.05 | 0.11 | 0.05 | 0.08 | 0.05 | 0.5 | 0.4 | 0.12 | 0.05 |
| Manganese | ≤0.1 mg/L | 0.12 | 0.06 | 0.05 | 0.05 | 0.03 | 0.05 | 0.16 | 0.76 | 0.16 | 0.15 | 0.04 | 0.05 |
| Nitratos | ≤50 mg/L | 0.01 | 0.06 | 0.01 | 0.00 | 0.01 | 0.00 | 0.03 | 0.00 | 0.01 | 0.00 | 0.01 | 0.00 |
| Ammonium | ≤1.5 mg/L | 0.01 | 0.02 | 0.01 | 0.02 | 0.03 | 0.02 | 1.8 | 0.23 | 0.03 | 0.02 | 0.08 | 0.02 |
| Chloride | ≤400 mg/L | 4.25 | 6.38 | 4.96 | 2.13 | 6.38 | 4.25 | 27.65 | 25.53 | 6.38 | 5.67 | 7.09 | 8.51 |
| Total dissolved solids | ≤1500 | 157 | 113 | 99 | 162 | 137 | 139 | 326 | 327 | 138 | 77 | 55 | 48 |
| Total coliforms | <1.8 NMP/100 mL | 2 | 2 | 2 | 2 | 2 | 2 | 2 | 2 | <1.8 | 2 | <1.8 | 2 |
| Escherichia coli | Absent | Absent | Absent | Absent | Absent | Absent | Absent | Absent | Absent | Absent | Absent | Absent | Absent |
Disclaimer/Publisher’s Note: The statements, opinions and data contained in all publications are solely those of the individual author(s) and contributor(s) and not of MDPI and/or the editor(s). MDPI and/or the editor(s) disclaim responsibility for any injury to people or property resulting from any ideas, methods, instructions or products referred to in the content. |
© 2024 by the authors. Licensee MDPI, Basel, Switzerland. This article is an open access article distributed under the terms and conditions of the Creative Commons Attribution (CC BY) license (https://creativecommons.org/licenses/by/4.0/).
Share and Cite
Fuentes, N.; Arriagada, A.; Pareja, C.; Molina-Roco, M. Quality and Influences of Natural and Anthropogenic Factors on Drinking Water in Rural Areas of Southern Chile. Water 2024, 16, 2830. https://doi.org/10.3390/w16192830
Fuentes N, Arriagada A, Pareja C, Molina-Roco M. Quality and Influences of Natural and Anthropogenic Factors on Drinking Water in Rural Areas of Southern Chile. Water. 2024; 16(19):2830. https://doi.org/10.3390/w16192830
Chicago/Turabian StyleFuentes, Norka, Aldo Arriagada, Claudio Pareja, and Mauricio Molina-Roco. 2024. "Quality and Influences of Natural and Anthropogenic Factors on Drinking Water in Rural Areas of Southern Chile" Water 16, no. 19: 2830. https://doi.org/10.3390/w16192830
APA StyleFuentes, N., Arriagada, A., Pareja, C., & Molina-Roco, M. (2024). Quality and Influences of Natural and Anthropogenic Factors on Drinking Water in Rural Areas of Southern Chile. Water, 16(19), 2830. https://doi.org/10.3390/w16192830

