Major Ion Chemistry of Surface Water and Its Controlling Factors in Ebinur Lake Basin
Abstract
1. Introduction
2. Materials and Methods
2.1. Study Site
2.2. Collection and Analyses of Samples
3. Results and Discussion
3.1. Physicochemical Properties of Various Water Types
3.2. Hydrochemical Composition and Types of Different Water
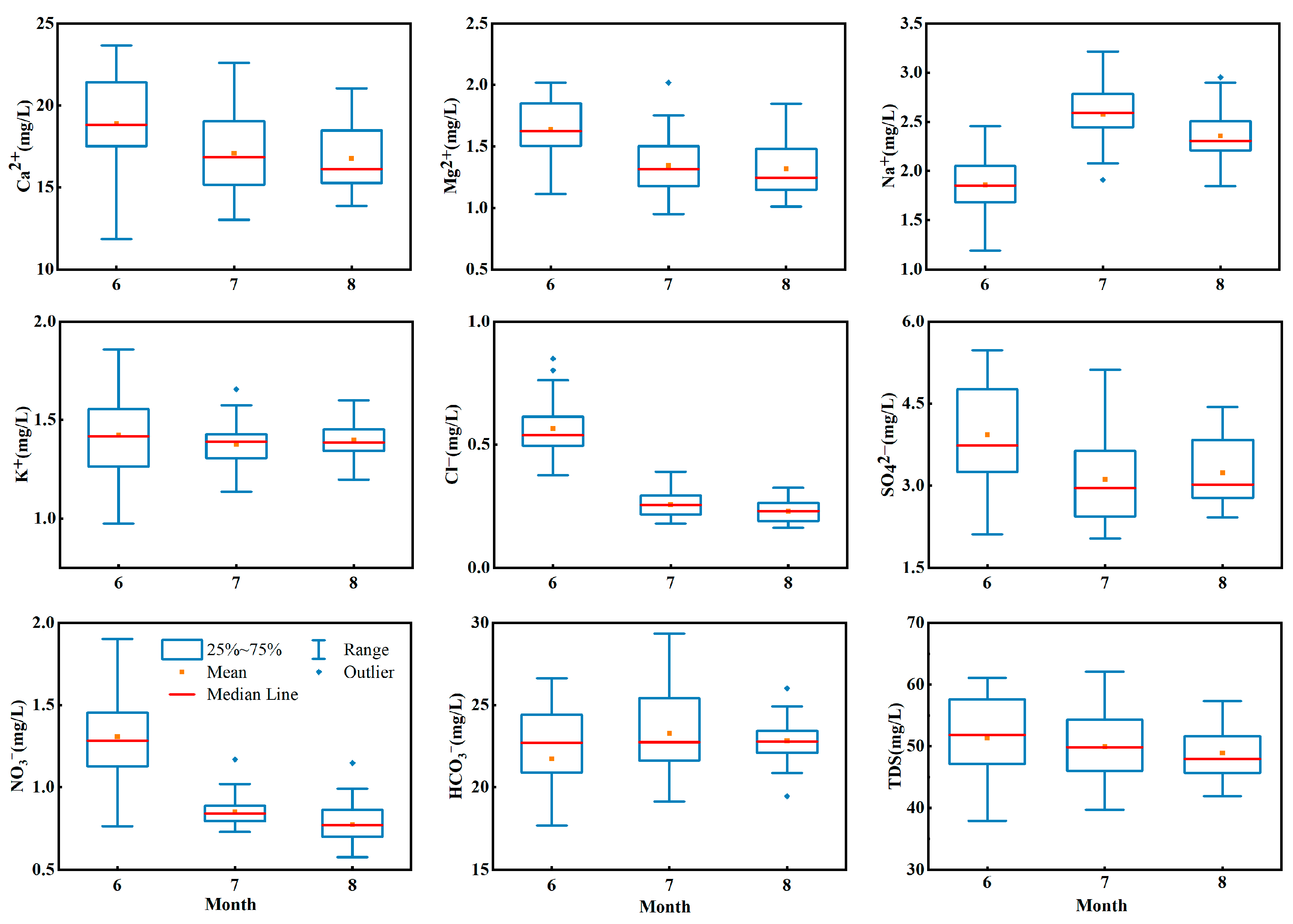
3.3. Temporal Variation Characteristic of Major Ions
3.4. Correlation and PCA Analysis of Major Ions
3.5. Sources and Controlling Factors of the Major Ions
4. Conclusions
Author Contributions
Funding
Data Availability Statement
Conflicts of Interest
References
- Karthe, D.; Chalov, S.; Borchardt, D. Water resources and their management in central Asia in the early twenty-first century: Status, challenges and future prospects. Environ. Earth Sci. 2015, 73, 487–499. [Google Scholar] [CrossRef]
- Modaresi, R.A.; Kreitler, J.; Abatzoglou, J.T.; Fallon, K.; Roche, K.R.; Sadegh, M. Anthropogenic stressors compound climate impacts on inland lake dynamics: The case of Hamun Lakes. Sci. Total Environ. 2022, 829, 154419. [Google Scholar] [CrossRef] [PubMed]
- Woolway, R.I.; Kraemer, B.M.; Lenters, J.D.; Merchant, C.J.; O’Reilly, C.M.; Sharma, S. Global lake responses to climate change. Nat. Rev. Earth Environ. 2020, 1, 388–403. [Google Scholar] [CrossRef]
- Michael, O.; Shree, B.; Emmanuel, G.; Olusegun, S.T. Impact of climate change on the water resurces, Lake Powell, United States. Am. J. Water Resour. 2023, 3, 103–111. [Google Scholar]
- Liu, H.; Chen, Y.; Ye, Z.; Li, Y.; Zhang, Q. Recent lake area changes in central Asia. Sci. Rep. 2019, 9, 16277. [Google Scholar] [CrossRef]
- Guo, Y.; Xu, Y.; Ma, Y. Ecological benefits of the emergency stream water feeding to the lower reaches of Tarim River, Xin Jiang. Arid Land Geogr. 2002, 25, 237–240. [Google Scholar]
- Bakhtiar, F.; Tobia, L.; Davoud, O.; Samira, P. Health effects of shrinking hyper-saline lakes: Spatiotemporal modeling of the Lake Urmia drought on the local population, case study of the Shabestar County. Sci. Rep. 2023, 13, 1622. [Google Scholar]
- Maria, D.P.A.; Eleonora, C.; Ines, E.; Andres, B.; Daniel, A. Hydrochemistry, isotopes studies and salt formation in saline lakes of arid regions: Extra-Andean Patagonia, Argentina. Sci. Total Environ. 2021, 816, 151529. [Google Scholar]
- Zhang, G.; Yao, T.; Shum, C.K.; Yi, S.; Yang, K.; Xie, H.; Feng, W.; Bolch, T.; Wang, L.; Ali, B.; et al. Lake volume and groundwater storage variations in Tibetan Plateau’s endorheic basin. Geophys. Res. Lett. 2017, 44, 5550–5560. [Google Scholar] [CrossRef]
- Wong, C.; Jiang, B.; Bohn, T.; Lee, K.; Lettenmaier, D.; Ma, D.; Ouyang, Z. Lake and wetland ecosystem services measuring water storage and local climate regulation. Water Resour. Res. 2017, 53, 3197–3223. [Google Scholar] [CrossRef]
- Goshime, D.W.; Haile, A.T.; Absi, R.; Ledésert, B. Impact of Water Resource Development Plan on Water Abstraction and Water Balance of Lake Ziway, Ethiopia. Sustain. Water Resour. Manag. 2021, 7, 1–16. [Google Scholar]
- Tan, C.; Guo, B.; Kuang, H.; Yang, H.; Ma, M. Lake area changes and their influence on factors in arid and semi-arid regions along the Silk Road. Remote Sens. 2018, 10, 595. [Google Scholar] [CrossRef]
- Ma, M.; Wang, X.; Veroustraete, F.; Dong, L. Change in area of Ebinur Lake during the 1998–2005 period. Int. J. Remote Sens. 2007, 28, 5523–5533. [Google Scholar] [CrossRef]
- Jepsen, S.M.; Voss, C.I.; Walvoord, M.A.; Minsley, B.J.; Rover, J. Linkages between lake shrinkage/expansion and sublacustrine permafrost distribution determined from remote sensing of interior Alaska, USA. Geophys. Res. Lett. 2013, 40, 882–887. [Google Scholar] [CrossRef]
- Lawrence, M.K.; Paul, D. Linkages between land cover change, lake shrinkage, and sublacustrine influence determined from remote sensing of select Rift Valley Lakes in Kenya. Sci. Total Environ. 2020, 709, 136022. [Google Scholar]
- Hao, S.; Li, F.; Li, Y.; Gu, C.; Zhang, Q.; Qiao, Y.; Zhu, N. Stable isotope evidence for identifying the recharge mechanisms of precipitation, surface water, and groundwater in the Ebinur Lake basin. Sci. Total Environ. 2019, 657, 1041–1050. [Google Scholar] [CrossRef]
- Xu, C.; Chen, Y.; Yang, Y.; Hao, X.; Shen, Y. Hydrology and water resources variation and its response to regional climate change in Xinjiang. J. Geogr. Sci. 2010, 20, 599–612. [Google Scholar] [CrossRef]
- Xu, M.; Wu, H.; Kang, S. Impacts of climate change on the discharge and glacier mass balance of the different glacierized watersheds in the Tianshan Mountains, Central Asia. Hydrol. Process. 2018, 32, 126–145. [Google Scholar] [CrossRef]
- Xue, L.; Yang, F.; Yang, C.; Chen, X.; Zhang, L.; Chi, Y.; Yang, G. Identification of potential impacts of climate change and anthropogenic activities on streamflow alterations in the Tarim River Basin, China. Sci. Rep. 2017, 7, 8254. [Google Scholar] [CrossRef]
- Sun, Z.; Huang, Q.; Opp, C.; Hennig, T.; Marold, U. Impacts and implications of major changes caused by the Three Gorges Dam in the middle reaches of the Yangtze River, China. Water Resour Manag. 2012, 26, 3367–3378. [Google Scholar] [CrossRef]
- Yuan, Y.; Zhang, C.; Zeng, G.; Liang, J.; Guo, S.; Huang, L.; Wu, H.; Hua, S. Quantitative assessment of the contribution of climate variability and human activity to streamflow alteration in Dongting Lake, China. Hydrol. Process. 2016, 30, 1929–1939. [Google Scholar] [CrossRef]
- Wu, W. Hydrochemistry of inland rivers in the north Tibetan Plateau constraints and weathering rate estimation. Sci. Total Environ. 2016, 541, 468–482. [Google Scholar] [CrossRef] [PubMed]
- Mors, R.; Gomez, F.; Astini, R.; Mlewski, E.; Gerard, E. Physico-chemical and biological controls in a travertine system in the high Andes of northwestern Argentina. Sediment. Geol. 2022, 439, 106214. [Google Scholar] [CrossRef]
- Zheng, L.; Jiang, C.; Chen, X.; Li, Y.; Li, C.; Zheng, L. Combining hydrochemistry and hydrogen and oxygen stable isotopes to reveal the influence of human activities on surface water quality in Chaohu Lake Basin. J. Environ. Manag. 2022, 312, 114933. [Google Scholar] [CrossRef]
- Anupam, S.; Gyana, R.T.; Aswin, T.P.; Anirban, M. Major ion chemistry of two cratonic rivers in the tropics: Weathering rates and their controlling factors. Hydrol. Process. 2021, 35, e14035. [Google Scholar]
- Modie, L.; Kenabatho, P.; Stephens, M.; Mosekiemang, T. Investigating groundwater and surface water interactions using stable isotopes and hydrochemistry in the Notwane River Catchment, South East Botswana. J. Hydrol. Reg. Stud. 2022, 40, 101014. [Google Scholar] [CrossRef]
- Zhou, J.; Ding, Y.; Wu, J.; Liu, F.; Wang, S. Streamflow generation in semi-arid, glacier-covered, montane catchments in the upper Shule River, Qilian Mountains, northeastern Tibetan plateau. Hydrol. Process. 2021, 35, e14276. [Google Scholar] [CrossRef]
- Wang, L.; Dong, Y.; Xie, Y.; Chen, M. Hydrological processes and water quality in arid regions of Central Asia: Insights from stable isotopes and hydrochemistry of precipitation, river water, and groundwater. Hydrogeol. J. 2023, 32, 131–147. [Google Scholar] [CrossRef]
- Wang, S.; Zhang, M.; Che, Y.; Chen, F.; Qiang, F. Contribution of recycled moisture to precipitation in oases of arid central Asia: A stable isotope approach. Water Resour. Res. 2016, 52, 3246–3257. [Google Scholar] [CrossRef]
- Wang, L.; Li, Z.; Wang, F. Glacier shrinkage in the Ebinur Lake basin, Tien Shan, China, during the past 40 years. J. Glaciol. 2014, 60, 245–254. [Google Scholar] [CrossRef]
- Wang, J.; Ding, J.; Li, G.; Liang, J.; Yu, D.; Aishan, T.; Liu, J. Dynamic detection of water surface area of Ebinur Lake using multi-source satellite data (Landsat and Sentinel-1A) and its responses to changing environment. Catena 2019, 177, 189–201. [Google Scholar] [CrossRef]
- Zhang, J.; Ding, J.; Wu, P.; Tan, J.; Huang, S.; Teng, D.; Chen, W. Assessing arid inland lake watershed area and vegetation response to multiple temporal scales of drought across the Ebinur Lake watershed. Sci. Rep. 2020, 10, 1354. [Google Scholar] [CrossRef]
- Bao, A.; Mu, G.; Zhang, Y. Reasonable water surface estimation and effect monitoring for controlling wind erosion of dry lake bottom in Ebinur Lake. Sci. Bull. 2006, 51, 56–60. [Google Scholar] [CrossRef]
- Tenzin, T.; Mahmoud, A.W.; Sidra, I.; Mika, S. Major ion chemistry of the Teesta River in Sikkim Himalaya, India: Chemical weathering and assessment of water quality. J. Hydrol. Reg. Stud. 2019, 24, 100612. [Google Scholar]
- Khadka, U.R.; Ramanathan, A.L. Major ion composition and seasonal variation in the lesser himalayan lake: Case of begnas lake of the pokhara valley, Nepal. Arabian. J. Geosci. 2012, 6, 4191–4206. [Google Scholar] [CrossRef]
- Piper, A.M. A graphic procedure in the geochemical interpretation of wateranalyses. EOS Trans. Am. Geophys. Union 1944, 25, 914–928. [Google Scholar]
- Gabet, E.J.; Edelman, R.; Langner, H. Hydrological controls on chemical weathering rates at the soil-bedrock interface. Geology 2006, 34, 1065–1068. [Google Scholar] [CrossRef]
- Huang, X.; Sillanpää, M.; Gjessing, E.T.; Vogt, R.D. Water quality in the Tibetan Plateau: Major ions and trace elements in the headwaters of four major Asian rivers. Sci. Total Environ. 2009, 407, 6242–6254. [Google Scholar] [CrossRef]
- Li, C.; Ji, H. Chemical weathering and the role of sulfuric and nitric acids in carbonate weathering: Isotopes (13C, 15N, 34S, and18O) and chemical constraints. J. Geophys. Res. Biogeosci. 2016, 121, 1288–1305. [Google Scholar] [CrossRef]
- Zhu, S.D.; Zhang, F.; Zhang, H.W.; Zhang, X.L. Seasonal variation of the isotope and hydrochemical characteristics of the main lake rivers in Lake Ebinur, Xinjiang. J. Lake Sci. 2018, 30, 1707–1721. [Google Scholar]
- Liu, J.; Guo, H. Hydrochemical Characteristics and Ion Source Analysis of the Yarlung Tsangpo River Basin. Water 2023, 15, 537. [Google Scholar] [CrossRef]
- Lü, J.; An, Y. Hydrochemical Characteristics and Risk Assessment of Tongzi River, Guizhou Province, Southwest China. Water 2023, 15, 802. [Google Scholar] [CrossRef]
- Gibbs, R. Mechanisms controlling world water chemistry. Science 1970, 170, 1088–1090. [Google Scholar] [CrossRef] [PubMed]
- Gurumurthy, G.P.; Balakrishna, K.; Tripti, M.; Riotte, J.; Audry, S.; Braun, J.J.; Shankar, H.U. Sources of major ions and processes affecting the geochemical and isotopic signatures of subsurface waters along a tropical river, Southwestern, India. Environ. Earth Sci. 2015, 73, 333–346. [Google Scholar] [CrossRef]
- Wang, G.H.; Zhang, Y.; Hou, Q.Q.; Zhang, Z.W.; Sun, J.L. Hydrochemical Characteristics of Surface Water and Groundwater in Oasis Edge in the Middle Reaches of the Heihe River Basin. Sci. Geogr. Sin. 2022, 42, 1818–1828. [Google Scholar]
- Gaillardet, J.; Dupr′e, B.; Louvat, P.; Allegre, C. Global silicate weathering and CO2 consumption rates deduced from the chemistry of large rivers. Chem. Geol. 1999, 159, 3–30. [Google Scholar] [CrossRef]
- Vadakkeveedu, N.A.; Kumar, A.; Dsouza, N.; Keshava, B.; Harikripa, N.U.; Neloy, K. Major ion chemistry and silicate weathering rate of a small Western Ghats river, Sharavati, southwestern India. Appl. Geochem. 2022, 136, 105182. [Google Scholar]
- Vishwakarma, C.A.; Sen, R.; Singh, N.; Singh, P.; Rena, V.; Rina, K.; Mukherjee, S. Geochemical Characterization and Controlling Factors of Chemical Composition of Spring Water in a Part of Eastern Himalaya. J. Geol. Soc. India 2018, 92, 753–763. [Google Scholar] [CrossRef]
- Dalai, T.; Krishnaswami, S.; Sarin, M. Major ion chemistry in the headwaters of the Yamuna river system. Geochim. Cosmochim. 2002, 66, 3397–3416. [Google Scholar] [CrossRef]
- Qu, B.; Sillanpää, M.; Zhang, Y.; Guo, J.; Wahed, M.S.M.A.; Kang, S. Water chemistry of the headwaters of the Yangtze River. Environ. Earth Sci. 2015, 74, 6443–6458. [Google Scholar] [CrossRef]
- Liu, Z.; Dreybrodt, W.; Liu, H. Atmospheric CO2 sink: Silicate weathering or carbonate weathering? Appl. Geochem. 2011, 26, S292–S294. [Google Scholar] [CrossRef]








| Water Type | TDS mg·L−1 | EC μs·cm−1 | T °C | pH | Cl− mg·L−1 | SO42− mg·L−1 | NO3− mg·L−1 | HCO3− mg·L−1 | Na+ mg·L−1 | K+ mg·L−1 | Mg2+ mg·L−1 | Ca2+ mg·L−1 | |
|---|---|---|---|---|---|---|---|---|---|---|---|---|---|
| River water (n = 157) | Max | 62.1 | 117.8 | 22.4 | 8.24 | 1.00 | 5.61 | 1.90 | 29.36 | 3.49 | 2.26 | 2.02 | 23.67 |
| Min | 20.8 | 39.5 | 19.8 | 7.09 | 0.16 | 0.73 | 0.47 | 0.62 | 1.19 | 0.30 | 0.15 | 2.25 | |
| Average | 49.8 | 94.26 | 21.12 | 7.69 | 0.34 | 3.34 | 0.96 | 22.63 | 2.29 | 1.39 | 1.41 | 17.40 | |
| Standard deviation | 5.97 | 11.34 | 0.41 | 0.19 | 0.17 | 0.90 | 0.29 | 3.27 | 0.42 | 0.17 | 0.29 | 2.82 | |
| Coefficient of variation | 0.12 | 0.12 | 0.02 | 0.02 | 0.49 | 0.27 | 0.30 | 0.14 | 0.18 | 0.12 | 0.20 | 0.16 | |
| Glacier meltwater (n = 12) | Max | 31 | 58.5 | 22.4 | 8.21 | 0.86 | 2.03 | 1.82 | 15.31 | 1.65 | 1.71 | 0.93 | 10.35 |
| Min | 9.26 | 17.61 | 20.4 | 6.64 | 0.06 | 0.41 | 0.26 | 4.99 | 0.61 | 0.27 | 0.15 | 1.38 | |
| Average | 19.62 | 37.27 | 21.46 | 7.78 | 0.27 | 0.97 | 0.75 | 9.64 | 1.15 | 0.99 | 0.44 | 5.40 | |
| Standard deviation | 8.43 | 15.99 | 0.46 | 0.82 | 0.25 | 0.54 | 0.58 | 3.51 | 0.28 | 0.61 | 0.27 | 3.29 | |
| Coefficient of variation | 0.43 | 0.43 | 0.02 | 0.11 | 0.91 | 0.56 | 0.77 | 0.36 | 0.24 | 0.62 | 0.61 | 0.61 | |
| Snow water (n = 10) | Max | 19.36 | 36.8 | 22.2 | 7.37 | 0.78 | 1.41 | 2.21 | 12.19 | 1.69 | 0.62 | 0.18 | 2.22 |
| Min | 5.59 | 10.61 | 21.2 | 7.07 | 0.09 | 0.08 | 0.05 | 3.15 | 0.58 | 0.05 | 0.03 | 0.24 | |
| Average | 13.73 | 26.09 | 21.79 | 7.19 | 0.43 | 0.51 | 0.62 | 9.06 | 1.27 | 0.32 | 0.11 | 1.40 | |
| Standard deviation | 4.94 | 9.39 | 0.35 | 0.11 | 0.26 | 0.45 | 0.81 | 3.15 | 0.34 | 0.19 | 0.04 | 0.69 | |
| Coefficient of variation | 0.36 | 0.36 | 0.02 | 0.01 | 0.60 | 0.87 | 1.31 | 0.35 | 0.27 | 0.59 | 0.42 | 0.49 |
| Variable | PC1 | PC2 | PC3 | Communalities |
|---|---|---|---|---|
| TDS | 0.43 | 0.01 | 0.04 | 0.49 |
| EC | 0.42 | 0.10 | 0.08 | 0.59 |
| pH | 0.09 | −0.44 | −0.11 | 0.21 |
| Ca2+ | 0.69 | 0.03 | −0.41 | 0.76 |
| Mg2+ | 0.26 | 0.51 | 0.01 | 0.59 |
| Na+ | 0.51 | 0.19 | −0.42 | 0.30 |
| K+ | 0.18 | 0.58 | 0.10 | 0.57 |
| Cl− | 0.23 | −0.38 | 0.37 | 0.33 |
| SO42− | 0.52 | −0.16 | 0.15 | 0.53 |
| NO3− | 0.22 | −0.17 | 0.15 | 0.23 |
| HCO3− | 0.05 | 0.26 | 0.66 | 0.51 |
| Eigenvalues | 5.06 | 2.90 | 1.18 | |
| Variance (%) | 45.75 | 26.22 | 10.61 | |
| Cumulative (%) | 45.75 | 71.96 | 82.58 |
Disclaimer/Publisher’s Note: The statements, opinions and data contained in all publications are solely those of the individual author(s) and contributor(s) and not of MDPI and/or the editor(s). MDPI and/or the editor(s) disclaim responsibility for any injury to people or property resulting from any ideas, methods, instructions or products referred to in the content. |
© 2024 by the authors. Licensee MDPI, Basel, Switzerland. This article is an open access article distributed under the terms and conditions of the Creative Commons Attribution (CC BY) license (https://creativecommons.org/licenses/by/4.0/).
Share and Cite
Zhou, J.; Gao, F.; Yang, R.; Zhao, C.; Li, Q. Major Ion Chemistry of Surface Water and Its Controlling Factors in Ebinur Lake Basin. Water 2024, 16, 2780. https://doi.org/10.3390/w16192780
Zhou J, Gao F, Yang R, Zhao C, Li Q. Major Ion Chemistry of Surface Water and Its Controlling Factors in Ebinur Lake Basin. Water. 2024; 16(19):2780. https://doi.org/10.3390/w16192780
Chicago/Turabian StyleZhou, Jiaxin, Fuyuan Gao, Ruiqi Yang, Chuancheng Zhao, and Qingfeng Li. 2024. "Major Ion Chemistry of Surface Water and Its Controlling Factors in Ebinur Lake Basin" Water 16, no. 19: 2780. https://doi.org/10.3390/w16192780
APA StyleZhou, J., Gao, F., Yang, R., Zhao, C., & Li, Q. (2024). Major Ion Chemistry of Surface Water and Its Controlling Factors in Ebinur Lake Basin. Water, 16(19), 2780. https://doi.org/10.3390/w16192780

