An Automated Machine Learning Approach to the Retrieval of Daily Soil Moisture in South Korea Using Satellite Images, Meteorological Data, and Digital Elevation Model
Abstract
1. Introduction
2. Materials
3. Methods
3.1. Machine Learning Modeling
3.2. Training and Blind Test
4. Result and Discussion
4.1. Retrieval of Daily Soil Moisture
4.2. Characteristics of the Validation Statistics by Period
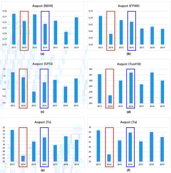
4.3. Agrometeorological Characteristics
4.4. Comparison with Other Soil Moisture Data
5. Conclusions
Author Contributions
Funding
Data Availability Statement
Conflicts of Interest
References
- Wagner, W.; Lemoine, G.; Rott, H. A method for estimating soil Moisture from ERS scatterometer and soil data. Remote Sens. Environ. 1999, 70, 191–207. [Google Scholar] [CrossRef]
- Jat, M.L.; Singh, B.; Stirling, C.M.; Jat, H.S.; Tetarwal, J.P.; Jat, R.K.; Singh, R.; Lopez-Ridaura, S.; Shirsath, P.B. Soil processes and wheat cropping under emerging climate change scenarios in South Asia. In Advances in Agronomy; Academic Press: New York, NY, USA, 2018; Volume 148, pp. 111–171. [Google Scholar]
- Schmugge, T.; Jackson, T.; McKim, H. Survey of methods for soil moisture determination. Water Resour. Res. 1980, 16, 961–979. [Google Scholar] [CrossRef]
- Grayson, R.B.; Western, A.W. Toward areal estimation of soil water content from point measurements: Time and space stability of mean response. J. Hydrol. 1998, 207, 68–82. [Google Scholar] [CrossRef]
- Benninga, H.J.F.; Carranza, C.D.U.; Pezij, M.; van Santen, P.; van der Ploeg, M.J.; Augustijn, D.C.M.; van der Velde, R. Regional soil moisture monitoring network in the Raam catchment in the Netherlands. Earth Syst. Sci. Data Discuss. 2017, 2017, 1–31. [Google Scholar]
- Gill, M.K.; Asefa, T.; Kemblowski, M.W.; McKee, M. Soil moisture prediction using support vector machines. JAWRA J. Am. Water Resour. Assoc. 2006, 42, 1033–1046. [Google Scholar] [CrossRef]
- Jiang, H.; Cotton, W.R. Soil moisture estimation using an artificial neural network: A feasibility study. Can. J. Remote Sens. 2004, 30, 827–839. [Google Scholar] [CrossRef]
- Chai, S.S.; Walker, J.P.; Makarynskyy, O.; Kuhn, M.; Veenendaal, B.; West, G. Use of soil moisture variability in artificial neural network retrieval of soil moisture. Remote Sens. 2009, 2, 166–190. [Google Scholar] [CrossRef]
- Ahmad, S.; Kalra, A.; Stephen, H. Estimating soil moisture using remote sensing data: A machine learning approach. Adv. Water Resour. 2010, 33, 69–80. [Google Scholar] [CrossRef]
- Hassan-Esfahani, L.; Torres-Rua, A.; Jensen, A.; McKee, M. Assessment of surface soil moisture using high-resolution multi-spectral imagery and artificial neural networks. Remote Sens. 2015, 7, 2627–2646. [Google Scholar] [CrossRef]
- Hutter, F.; Kotthoff, L.; Vanschoren, J. Automated Machine Learning: Methods, Systems, Challenges; Springer Nature: Berlin/Heidelberg, Germany, 2019. [Google Scholar]
- He, X.; Zhao, K.; Chu, X. AutoML: A survey of the state-of-the-art. Knowl.-Based Syst. 2021, 212, 106622. [Google Scholar] [CrossRef]
- Khan, M.A.; Iqbal, N.; Jamil, H.; Kim., D.H. An optimized ensemble prediction model using AutoML based on soft voting classifier for network intrusion detection. J. Netw. Comput. Appl. 2023, 212, 103560. [Google Scholar] [CrossRef]
- Huffman, G.J.; Adler, R.F.; Bolvin, D.T.; Nelkin, E.J. The TRMM multi-satellite precipitation analysis (TMPA). In Satellite Rainfall Applications for Surface Hydrology; Springer: Berlin/Heidelberg, Germany, 2010; pp. 3–22. [Google Scholar]
- Zulkafli, Z.; Buytaert, W.; Onof, C.; Manz, B.; Tarnavsky, E.; Lavado, W.; Guyot, J.L. A comparative performance analysis of TRMM 3B42 (TMPA) versions 6 and 7 for hydrological applications over Andean–Amazon River basins. J. Hydrometeorol. 2014, 15, 581–592. [Google Scholar] [CrossRef]
- Kim, D.; Kang, G.; Kim, D.; Kim, J. Characteristics of LDAPS-predicted surface wind speed and temperature at automated weather stations with different surrounding land cover and topography in Korea. Atmosphere 2020, 11, 1224. [Google Scholar] [CrossRef]
- Werner, M. Shuttle radar topography mission (SRTM) mission overview. Frequenz 2001, 55, 75–79. [Google Scholar] [CrossRef]
- Sulla-Menashe, D.; Friedl, M.A. User Guide to Collection 6 MODIS Land Cover (MCD12Q1 and MCD12C1) Product. Available online: https://lpdaac.usgs.gov/documents/101/MCD12_User_Guide_V6.pdf (accessed on 7 July 2023).
- Breiman, L. Random forests. Mach. Learn. 2001, 45, 5–32. [Google Scholar] [CrossRef]
- Yao, Q.; Wang, M.; Chen, Y.; Dai, W.; Yi-Qi, H.; Yu-Feng, L.; Wei-Wei, T.; Qiang, Y.; Yang, Y. Taking human out of learning applications: A survey on automated machine learning. arXiv 2018, arXiv:1810.13306. [Google Scholar]
- Zoller, M.; Huber, M.F. Benchmark and survey of automated machine learning frameworks. J. Artif. Intell. Res. 2019, 70, 409–472. [Google Scholar] [CrossRef]
- Belgiu, M.; Drăgu¸t, L. Random Forest in remote sensing: A review of applications and future directions. ISPRS J. Photogramm. Remote Sens. 2016, 114, 24–31. [Google Scholar] [CrossRef]
- Pasik, A.; Scanlon, T.; Dorigo, W.; de Jeu, R.A.M.; Hahn, S.; van der Schalie, R.; Wagner, W.; Kidd, R.; Gruber, A.; Moesinger, L.; et al. ESA Climate Change Initiative Plus—Soil Moisture: Algorithm Theoretical Baseline Document (ATBD) Supporting Product Version v05.2; Earth Observation Data Centre for Water Resources Monitoring (EODC) GmbH: Vienna, Austria, 2020. [Google Scholar]
- Koster, R.D.; Suarez, M.J. Energy and Water Balance Calculations in the Mosaic LSM; National Aeronautics and Space Administration, Goddard Space Flight Center, Laboratory for Atmospheres, Data Assimilation Office: Washington, DC, USA, 1996. [Google Scholar]
- Liang, X.; Lettenmaier, D.P.; Wood, E.F.; Burges, S.J. A simple hydrologically based model of land surface water and energy fluxes for general circulation models. J. Geophys. Res. Atmos. 1994, 99, 14415–14428. [Google Scholar] [CrossRef]
- Ek, M.B.; Mitchell, K.E.; Lin, Y.; Rogers, E.; Grunmann, P.; Koren, V.; Gayno, G.; Tarpley, J.D. Implementation of Noah land surface model advances in the National Centers for Environmental Prediction operational mesoscale Eta model. J. Geophys. Res. Atmos. 2003, 108, 8851. [Google Scholar] [CrossRef]
- Dai, Y.; Zeng, X.; Dickinson, R.E.; Baker, I.; Bonan, G.B.; Bosilovich, M.G.; Denning, A.S.; Dirmeyer, P.A.; Houser, P.R.; Oleson, G.N.K.W.; et al. The Common Land Model. Bull. Am. Meteorol. Soc. 2003, 84, 1013–1024. [Google Scholar] [CrossRef]
- Rodell, M.; Houser, P.R.; Jambor, U.; Gottschalck, J.; Mitchell, K.; Meng, C.-J.; Arsenault, K.; Cosgrove, B.; Radakovich, J.; Bosilovich, M.; et al. The global land data assimilation system. Bull. Am. Meteorol. Soc. 2004, 85, 381–394. [Google Scholar] [CrossRef]
- de Jeu, R.; Holmes, T.; Dorigo, W.; Wagner, W.; Hahn, S.; Parinussa, R. Evaluation of SMOS soil moisture with other existing satellite products. In Proceedings of the Remote Sensing and Hydrology 2010 Symposium, Jackson Hole, WY, USA, 27–30 September 2010; pp. 27–30. [Google Scholar]
- Hersbach, H.; Bell, B.; Berrisford, P.; Hirahara, S.; Horányi, A.; Muñoz Sabater, J.; Nicolas, J.; Peubey, C.; Radu, R.; Schepers, D.; et al. The ERA5 global reanalysis. Q. J. R. Meteorol. Soc. 2020, 146, 1999–2049. [Google Scholar] [CrossRef]


















| Data Source | Variable | Original Spatial Resolution | Original Temporal Resolution |
|---|---|---|---|
| RDA | Soil moisture content | Point | Hourly |
| MODIS | Normalized difference vegetation index (NDVI) | 0.05° | Monthly |
| Fraction of photosynthetically active radiation (FPAR) | 500 m | 8 days | |
| GPM | Standardized precipitation index (SPI3) | 0.25° | Daily |
| 1-day precipitation | |||
| 2-day precipitation | |||
| 3-day precipitation | |||
| LDAPS | Soil temperature (Tsoil10) | 1.5 km | 3 h |
| SRTM | Elevation | 90 m | - |
| Slope | |||
| HWSD | Soil type | 1 km | Yearly |
| Model | N | MBE (%) | MAE (%) | RMSE (%) | CC |
|---|---|---|---|---|---|
| RF | 12,664 | −0.015 | 2.351 | 3.339 | 0.913 |
| AutoML | 12,664 | 0.031 | 1.855 | 2.713 | 0.940 |
| No. | Variable | PFI (%) 1 |
|---|---|---|
| 1 | SPI3 | 17.44 |
| 2 | Slope | 15.58 |
| 3 | NDVI | 14.38 |
| 4 | Elevation | 13.78 |
| 5 | Soil temperature | 11.78 |
| 6 | FPAR | 10.01 |
| 7 | 3-day precipitation | 7.89 |
| 8 | Soil type | 3.80 |
| 9 | 2-day precipitation | 3.27 |
| 10 | 1-day precipitation | 2.07 |
| Sum | 100.00 |
| Year | RF | AutoML | ||||||
|---|---|---|---|---|---|---|---|---|
| MBE (%) | MAE (%) | RMSE (%) | CC | MBE (%) | MAE (%) | RMSE (%) | CC | |
| 2013 | 1.221 | 2.958 | 4.109 | 0.881 | 0.658 | 2.148 | 3.191 | 0.924 |
| 2014 | −0.841 | 2.188 | 3.021 | 0.904 | −0.269 | 1.796 | 2.542 | 0.928 |
| 2015 | −0.570 | 2.176 | 2.961 | 0.927 | −0.167 | 1.771 | 2.453 | 0.945 |
| 2016 | 0.560 | 2.702 | 3.906 | 0.917 | 0.366 | 2.060 | 3.097 | 0.942 |
| 2017 | 0.228 | 2.099 | 3.051 | 0.925 | 0.063 | 1.688 | 2.539 | 0.946 |
| 2018 | −0.003 | 2.271 | 3.284 | 0.919 | 0.049 | 1.742 | 2.606 | 0.946 |
| 2019 | −0.350 | 2.208 | 3.051 | 0.905 | −0.327 | 1.851 | 2.596 | 0.930 |
| Min | −0.841 | 2.099 | 2.961 | 0.881 | −0.327 | 1.688 | 2.453 | 0.924 |
| Max | 1.221 | 2.958 | 4.109 | 0.927 | 0.658 | 2.148 | 3.191 | 0.946 |
| Mean | 0.035 | 2.372 | 3.340 | 0.911 | 0.053 | 1.865 | 2.718 | 0.937 |
| StdDev | 0.707 | 0.326 | 0.470 | 0.016 | 0.356 | 0.172 | 0.297 | 0.010 |
| Month | RF | AutoML | ||||||
|---|---|---|---|---|---|---|---|---|
| MBE (%) | MAE (%) | RMSE (%) | CC | MBE (%) | MAE (%) | RMSE (%) | CC | |
| March | −0.198 | 1.533 | 2.321 | 0.957 | −0.023 | 1.315 | 1.964 | 0.967 |
| April | −0.187 | 2.161 | 3.010 | 0.916 | −0.050 | 1.720 | 2.411 | 0.943 |
| May | −0.174 | 2.283 | 3.157 | 0.916 | −0.103 | 1.816 | 2.538 | 0.943 |
| June | 0.768 | 2.751 | 3.728 | 0.875 | 0.294 | 2.228 | 3.199 | 0.905 |
| July | −0.889 | 3.248 | 4.248 | 0.868 | −0.565 | 2.553 | 3.530 | 0.904 |
| August | 0.354 | 3.230 | 4.372 | 0.904 | 0.219 | 2.524 | 3.489 | 0.934 |
| September | 0.532 | 2.594 | 3.649 | 0.883 | 0.336 | 2.013 | 2.867 | 0.924 |
| October | −0.259 | 1.830 | 2.604 | 0.919 | 0.019 | 1.404 | 2.062 | 0.948 |
| November | −0.070 | 1.567 | 2.241 | 0.953 | 0.157 | 1.155 | 1.725 | 0.969 |
| Min | −0.889 | 1.533 | 2.241 | 0.868 | −0.565 | 1.155 | 1.725 | 0.904 |
| Max | 0.768 | 3.248 | 4.372 | 0.957 | 0.336 | 2.553 | 3.530 | 0.969 |
| Mean | −0.014 | 2.355 | 3.259 | 0.910 | 0.032 | 1.859 | 2.643 | 0.937 |
| StdDev | 0.495 | 0.651 | 0.791 | 0.032 | 0.273 | 0.513 | 0.668 | 0.023 |
| Data Source | Spatial Resolution | Temporal Resolution |
|---|---|---|
| ESA CCI | 0.25° | Daily |
| GLDAS | 0.25° | 3-hourly |
| LDAPS | 1.5 km | 3-hourly |
| ERA5 | 0.25° | Hourly |
| Soil Moisture Data | MBE (%) | MAE (%) | RMSE (%) | CC |
|---|---|---|---|---|
| Ours (AutoML) | 0.031 | 1.855 | 2.713 | 0.940 |
| ESA CCI | −1.300 | 6.250 | 7.826 | 0.280 |
| GLDAS | −2.477 | 6.559 | 8.156 | 0.257 |
| LDAPS | 1.410 | 6.732 | 8.703 | 0.284 |
| ERA5 | 0.385 | 7.621 | 9.900 | 0.306 |
Disclaimer/Publisher’s Note: The statements, opinions and data contained in all publications are solely those of the individual author(s) and contributor(s) and not of MDPI and/or the editor(s). MDPI and/or the editor(s) disclaim responsibility for any injury to people or property resulting from any ideas, methods, instructions or products referred to in the content. |
© 2024 by the authors. Licensee MDPI, Basel, Switzerland. This article is an open access article distributed under the terms and conditions of the Creative Commons Attribution (CC BY) license (https://creativecommons.org/licenses/by/4.0/).
Share and Cite
Kim, N.; Lee, S.-J.; Sohn, E.; Kim, M.; Seong, S.; Kim, S.H.; Lee, Y. An Automated Machine Learning Approach to the Retrieval of Daily Soil Moisture in South Korea Using Satellite Images, Meteorological Data, and Digital Elevation Model. Water 2024, 16, 2661. https://doi.org/10.3390/w16182661
Kim N, Lee S-J, Sohn E, Kim M, Seong S, Kim SH, Lee Y. An Automated Machine Learning Approach to the Retrieval of Daily Soil Moisture in South Korea Using Satellite Images, Meteorological Data, and Digital Elevation Model. Water. 2024; 16(18):2661. https://doi.org/10.3390/w16182661
Chicago/Turabian StyleKim, Nari, Soo-Jin Lee, Eunha Sohn, Mija Kim, Seonkyeong Seong, Seung Hee Kim, and Yangwon Lee. 2024. "An Automated Machine Learning Approach to the Retrieval of Daily Soil Moisture in South Korea Using Satellite Images, Meteorological Data, and Digital Elevation Model" Water 16, no. 18: 2661. https://doi.org/10.3390/w16182661
APA StyleKim, N., Lee, S.-J., Sohn, E., Kim, M., Seong, S., Kim, S. H., & Lee, Y. (2024). An Automated Machine Learning Approach to the Retrieval of Daily Soil Moisture in South Korea Using Satellite Images, Meteorological Data, and Digital Elevation Model. Water, 16(18), 2661. https://doi.org/10.3390/w16182661

