Next Article in Journal
Application of Hydrogeophysical Techniques in Delineating Aquifers to Enhancing Recharge Potential Areas in Groundwater-Dependent Systems, Northern Cape, South Africa
Next Article in Special Issue
Delineation of the Hydrogeological Functioning of a Karst Aquifer System Using a Combination of Environmental Isotopes and Artificial Tracers: The Case of the Sierra Seca Range (Andalucía, Spain)
Previous Article in Journal
A Comprehensive Evaluation of Water Resource Carrying Capacity Based on the Optimized Projection Pursuit Regression Model: A Case Study from China
 
 
Font Type:
Arial Georgia Verdana
Font Size:
Aa Aa Aa
Line Spacing:
Column Width:
Background:
Article

An Evaluation of the Brine Flow in the Upper Part of the Halite Nucleus of the Salar de Atacama (Chile) through an Isotopic Study of δ18O and δ2H

1
Departamento de Ciencias Geológicas, Universidad Católica del Norte, Antofagasta 1270709, Chile
2
Centro de Investigación y Desarrollo de Ecosistemas Hídricos, Universidad Bernardo O’Higgins, Santiago 8370993, Chile
3
Earth and Planetary Sciences, Rutgers University, Piscataway, NJ 08854, USA
4
Centro Nacional Instituto Geológico y Minero de España, Consejo Superior de Investigaciones Científicas IGME-CSIC, 28003 Madrid, Spain
5
Chemical Engineering Department, Universidad Católica del Norte, Antofagasta 1270709, Chile
6
Montgomery & Associates Consultores Limitada, Santiago 7550134, Chile
*
Author to whom correspondence should be addressed.
Water 2024, 16(18), 2651; https://doi.org/10.3390/w16182651
Submission received: 12 August 2024 / Revised: 7 September 2024 / Accepted: 12 September 2024 / Published: 18 September 2024
(This article belongs to the Special Issue Stable Isotopes as Groundwater Discharge Tracers: Recent Developments)

Abstract

A hydrogeological study of the shallowest part of the halite nucleus of the Salar de Atacama is presented, focusing on the isotopic variability in δ18O and δ2H (SMOW) in the brine. It is observed that intensive brine extraction has induced upward vertical flows from the lower aquifer, which presents with a lighter isotopic composition (δ18O: −0.87‰ to −2.49‰; δ2H: −26.04‰ to −33.25‰), toward the upper aquifer, which has more variable and enriched isotopic values. Among the possible explanations for the lighter isotopic composition of the lower aquifer waters is the influence of paleolakes formed during the wetter periods of the Late Pleistocene and Holocene that recharged the underlying aquifers. The geological structure of the Salar, including faults and the distribution of low-permeability layers, has played a determining role in the system’s hydrodynamics. This study emphasizes the need for continuous and detailed monitoring of the isotopic composition to assess the sustainability of the water resource in response to brine extraction and future climate changes. Additionally, it suggests applying this methodology to other salt flats in the region for a better understanding of hydrogeological processes in arid zones. The research provides an integrative view of the relationship between resource extraction, water management, and ecosystem conservation in one of the most important salars in the world.

1. Introduction

The Salar de Atacama, located in the Antofagasta Region in northern Chile, is an extensive evaporitic basin covering approximately 2900 km2, making it the second-largest salt flat in the world after the Uyuni salt flat in Bolivia. This salt flat lies between the Domeyko Range to the west and the Andean Altiplano to the east, forming what has been geographically termed one of the pre-Andean basins. This area is characterized by an extremely arid climate, with the annual precipitation typically barely reaching 16 mm in the flattest part of the salt flat [1]. The geological and hydrogeological structure of the salt flat is complex, featuring a central nucleus primarily composed of halite containing interstitial brine (halite nucleus), surrounded by various evaporitic units that include gypsum and carbonates, as well as fine detrital units (Figure 1).
The Salar de Atacama has been extensively studied, including aspects such as its isotopic composition [2,3,4,5,6], stratigraphy of evaporite deposits [7,8,9], and underground flow dynamics [1,10,11,12,13,14]. However, uncertainties persist regarding some important hydrogeological and hydrogeochemical processes that control its hydrodynamics, such as the recharge mechanisms in the nucleus and surrounding areas, the relationship between the upper and lower aquifers, the impact of brine extraction on the salt wedge, and the ecosystems on the edge of the salt flat, among others.
Figure 1. Geography of the study area in Chile: (A) location of the Salar de Atacama and (B) geological map of the study area (modified from [9]). The maps are georeferenced in UTM coordinates.
Figure 1. Geography of the study area in Chile: (A) location of the Salar de Atacama and (B) geological map of the study area (modified from [9]). The maps are georeferenced in UTM coordinates.
Water 16 02651 g001
The brine from the halite nucleus of the Salar de Atacama is a hypersaline solution resulting from the concentration of surface and groundwater subjected to intense evaporation in a closed basin environment [2]. These brines can have conductivity values exceeding 200,000 µS/cm, indicating extreme salinity. Their chemical composition is dominated by high concentrations of sodium and chloride, with significant amounts of lithium, potassium, magnesium, sulfate, and calcium [6]. The chloride concentrations can exceed 240,000 mg/L, and the sodium concentrations can surpass 120,000 mg/L. The unique chemical composition reflects the interaction of complex hydrogeological and geochemical processes that have occurred over long periods of time [15]. Additionally, the 87Sr/86Sr ratios in the waters of the nucleus also indicate complex processes of the dissolution, mixing and evaporation of evaporites [6]. A detailed analysis of the chemistry of the nucleus brine can be reviewed in Munk [6].
In this regard, the hydrogeology of the salar is determined by the interaction between the surface and groundwater. The main current source of recharge has been identified as lateral groundwater flows from the peripheral sub-basins, mainly from the north and southeast [12,15,16,17,18]. This aligns with other interpretations that have also determined that the recharge of the salar’s aquifer occurs primarily at the edge of the salar, although they have also mentioned a mechanism of infiltration from lagoons fed by groundwater that discharges into the springs in the Soncor area [3].
Furthermore, a gap between the brine extraction and estimated recharge has been recognized [5]. Between 2000 and 2010, an average brine level decrease of 0.3 m was recorded in the southern sector of the salt flat. However, considering the amount of brine extracted and the estimated recharge from local precipitation, evaporation, and shallow groundwater flow, various calculations have suggested that the level should have decreased by about 2.0 m [5]. This difference between the expected and observed decline indicates that there are additional water sources that have not been fully accounted for in the water balance of the salt flat nucleus and require further analysis [19]. In this respect, it has been proposed that these sources may include deep groundwater flows or the migration of the freshwater–brine interface [5,17].
The isotopic determination of δ2H and δ18O in the brine of the halite nucleus shows significant variations that are difficult to explain in a steady state. In the central part of the nucleus, slightly depleted isotopic values have been identified compared to the brines from the margins. These isotopic values allow for the identification of various recharge sources, distinguishing between meteoric waters, surface waters affected by extreme evaporation, and deep groundwater recharge.
The extraction of brine in the Salar de Atacama has previously been studied, but it is still unknown how this activity impacts the isotopic composition of groundwater and the mixing zone between freshwater and brine that occurs at the edge of the salt flat. The rapid recharge of fresh water into the brine aquifer after significant precipitation events has also been documented [5]. However, this recharge is limited, due to the low frequency of significant rainfall events in the basin. Furthermore, recent research has suggested that the recharge of the upper aquifer might be decoupled from modern inputs and dominated by fossil water, although they did not evaluate the waters of the saline nucleus [17]. The study of the evaporites of the nucleus of the Salar de Atacama has revealed the presence of lacustrine deposits indicating periods of greater humidity in the past [8,9,20], suggesting significant changes in the recharge over time.
The environmental impact assessment of brine extraction on the various ecosystems of the Salar de Atacama is a critical aspect that requires further research. Moreover, most of the previous studies have focused on the current state of the system, limiting the evaluation of the long-term sustainability of the water resources and the prediction of the future impacts of lithium extraction and climate change on the salt flat [17]. The growing concern among the communities in the Salar de Atacama basin about the high extraction of lithium-rich brine in the central part of the Salar de Atacama motivated the conducting of various hydrogeological investigations and monitoring, both public and private, to evaluate the natural environment and, especially, the marginal lagoons of the salt flat. Since the 1990s, these investigations have generated a large amount of data, now available from various public agencies responsible for managing water resources and the environment. From these more than two-decades-long monitoring activities, the changes in groundwater levels, as well as the chemical and isotopic composition of the surface and groundwater, have been recorded. The study of δ18O and δ2H isotopes in this research is possible thanks to the more than 12 years of systematic sampling of various water points, conducted by the Sociedad Química y Minera de Chile (SQM) throughout the Salar de Atacama basin [21,22]. The data stored in this extensive database include water samples from rivers, lagoons, shallow wells, and deep wells from across the basin. The isotopic data from various studies conducted by the company Albemarle and published in various scientific articles and technical reports have also been used in this research. This study specifically focuses on the isotopic variation in δ18O and δ2H in the waters of the halite nucleus.
The objective of this research is to characterize the water flow in the halite nucleus of the Salar de Atacama through a study of the spatial and temporal variations in the isotopic composition of δ18O and δ2H, in order to determine possible recharge sources. In this sense, the application of δ18O and δ2H isotopes to trace groundwater flow is essential, considering that the paleoclimate of the Salar de Atacama basin has been variable from the Late Pleistocene to the present, as evidenced by the alternation of arid periods dominated by the formation of evaporites, and more humid periods where lakes were formed.

2. Climate

The Salar de Atacama is located in an arid–hyperarid climatic zone, characterized by very low precipitation and a high potential evaporation rate [7]. This hyperarid climate is influenced by several climatic factors, including the cold Humboldt Current and the Andes Mountains. The Humboldt Current, which flows parallel to the coast of Chile [18], lowers the air temperature and limits evaporation, thereby reducing the atmospheric humidity available for precipitation formation. Additionally, the Andes Mountains act as a significant orographic barrier, preventing the passage of moist air masses from the east and further intensifying the region’s aridity [1,23].
Precipitation in the Salar de Atacama is scarce and shows marked spatial and temporal variability. Most of the precipitation occurs during the austral summer, mainly between January and March, due to the influence of moisture from the Amazon Basin [24]. Lesser amounts of precipitation are recorded between April and August due to the passage of cold fronts from the Pacific Ocean [1]. The average annual precipitation on the surface of the salt flat is approximately 16 mm [25]. Additionally, the precipitation in the basin exhibits a decreasing gradient, from approximately 300 mm/year in the Andes Mountains to about 5 mm/year in the Domeyko Range [1].
The evaporation rate in the Salar de Atacama is extremely high, with an annual potential value of approximately 2130 mm [13,26]. This high evaporation rate is attributed to a combination of factors, such as the high temperatures, the intense solar radiation reaching the surface, the wind speed, and the low relative humidity in the region [25,27]. During the summer, when temperatures are higher, evaporation reaches its peak [1,3]. The average annual temperature in the Salar de Atacama is approximately 14.1 °C. The average maximum temperatures reach around 24 °C, while the minimum temperatures average around 4 °C. These temperatures can vary significantly between day and night due to the nature of the desert climate [1,28].

3. Geology of the Salar de Atacama

The general structure of the Salar de Atacama can be divided into three main zones: the saline nucleus, the marginal zone, and the alluvial fan zone [9]. The halite nucleus constitutes the central part of the salt flat and is characterized mainly by halite, with some intercalations of sulfates and carbonates (Figure 1).
The halite nucleus, which covers nearly 50% of the surface area of the Salar de Atacama, is characterized by very homogeneous crusts composed almost exclusively of sodium chloride, with a smaller proportion of fine detrital material [29]. This evaporitic unit represents the most superficial manifestation of growth associated with the ascent of groundwater near the surface, which increases in salinity due to evaporation and halite precipitation
The marginal zone of the Salar de Atacama is composed mainly of evaporitic deposits of carbonates and sulfates, intercalated with fine-grained detrital deposits, such as clays and silts [5,6].
The alluvial system, located on the eastern edge of the salt flat, consists of fans formed by the accumulation of sediments transported by ephemeral streams descending from the surrounding Andes. These cone-shaped fans extend over the flat surface of the salt flat. The alluvial fans in this region are composed mainly of unconsolidated sediments, such as gravels, sands, and silts [3]. These materials are transported by water during infrequent precipitation events, resulting in episodic sedimentation. The fans exhibit a variety of slopes that decrease from the apex near the mountains to the distal edges, where they merge with the surface of the salt flat [30].

4. Hydrogeology of the Nucleus of the Salar de Atacama

The nucleus of the Salar de Atacama, with a surface area of approximately 2900 km2, presents a geological composition that is key to understanding groundwater flow. This hydrogeological unit is mainly composed of halite, although it shows some variability in its evaporitic and detrital facies vertically, leading to significant heterogeneity [2]. The entire halite nucleus is also intersected by the salar fault system, which plays an important role in its hydrogeological structure. This fault, which traverses the halite nucleus, has caused significant vertical displacements, creating an uplifted block on the western side and a subsided block on the eastern side [20]. These differences in thickness and associated fault structures have influenced hydraulic connectivity within the halite nucleus [14]. Thus, for the hydrogeological description and interpretation of the halite nucleus in this study, the nucleus is subdivided based on this fault, defining a Western Domain and an Eastern Domain of the nucleus (Figure 1).
From a hydrostratigraphic perspective, the shallowest part of the halite nucleus can be divided into three main units. The upper part of the aquifer system is predominantly composed of halite, forming an upper aquifer with variable thickness across the nucleus. In the Western Domain, this aquifer has a thickness of approximately 15 to 20 m, while in the Eastern Domain, it reaches up to 30 m. The thickness variation in the upper aquifer is likely controlled by the active tectonics of the main north–south fault that crosses the salar nucleus (Salar Fault). This fault, with active tectonics, has played a fundamental role in the formation of ancient paleo-lakes in different periods [20]. This upper halite aquifer is characterized by a high hydraulic conductivity, with values ranging from 101 to 103 m/day [11]. The high heterogeneity of its hydraulic properties is largely controlled by structures of preferential connectivity, such as karst conduits and fault zones [14].
Immediately below this upper aquifer, a thin layer of sulfate and organic matter has been identified, with a thickness varying from 0.2 to 4 m [29]. Due to the hydraulic characteristics of this unit, it is considered to act as an aquitard in the halite nucleus [12]. Figure 2 presents an isopach map of the aquitard, clearly showing that in the Western Domain, the thickness of this unit varies between 0.20 m and 1 m, while in the Eastern Domain, the thicknesses are greater, varying between 0.2 and 2 m [29]. In general, the greatest thickness of the aquitard occurs in the northern part of the halite nucleus, where it can reach up to 4 m in thickness.
Immediately below the aquitard, another halite aquifer is recognized which, although similar in composition to the upper aquifer, exhibits lower permeabilities, with values ranging from 1 to 40 m/day, thereby limiting water circulation compared to the upper aquifer [11]. The top of this lower aquifer is defined by the base of the aquitard. The base of the aquifer is not clearly defined due to the variability in the detrital and evaporitic facies existing in different parts of the Salar de Atacama. In the Western Domain, the base of the lower halite aquifer consists of gypsum levels identified at a depth of 50 m. In this case, the thickness of the lower aquifer is 20 to 30 m. In the Eastern Domain, the base of the lower aquifer is not clearly defined, due to the greater thickness of the evaporitic facies, mainly composed of halite. In the northern part of the nucleus, the gypsiferous facies are more abundant and thicker than in the southern part [29]. Various hydraulic studies conducted in the lower aquifer have classified it as semi-confined [11,12].

5. Paleoclimate in the Salar de Atacama Basin

Various paleoclimatic studies conducted in the Atacama Desert in northern Chile have provided valuable information on climate variability from the Late Pleistocene to the present [31]. Specifically, paleoenvironmental studies have identified significant fluctuations in the climatic conditions in the Atacama Desert, resulting in periods of increased or decreased precipitation, which are reflected in the formation and expansion of paleolakes and paleowetlands during the Late Pleistocene and, to a lesser extent, during the Holocene [32]. For the Altiplano, most of these studies have agreed that during the Last Glacial Maximum (approximately 16,000 years ago), arid conditions prevailed [32,33,34,35]. These studies have also indicated a wetter period at the end of the Last Glacial Maximum (LGM), between 14,000 and 9000 years BP. It was during this period that many of the current salt flats in the Altiplano constituted various permanent Andean lakes and reached their maximum extent. Radiocarbon dating has established that the expansion of most of the ancient Altiplanic lakes began approximately 14,000 to 12,000 years BP, reaching their maximum levels between 10,800 and 9200 years BP [32,33,36,37]. From their maximum extent, reached 9200 years ago, there was a decline in lake levels, until many of these water bodies disappeared or had a significant reduction in their surface area between 8400 and 8000 years BP [33]. However, studies of the age of the aquifer recharge in the coastal range of northern Chile have identified a third, less intense wet period [38,39]. This period of increased recharge associated with moisture from the Pacific Ocean has also been recognized in the Domeyko Range, south of the study area [40].
In the Salar de Atacama, the wetter periods that occurred from the end of the Pleistocene to the Holocene are also recorded in the stratigraphy of the halite nucleus. In a study of three cores in the evaporitic deposits, pristine chevron halite facies were identified [9]. This type of evaporitic halite facies is associated with saline lakes, according to the classification by Lowenstein and Hardie [41]. Several paleolake periods with these types of evaporitic facies were identified in the upper 200 m of the eastern sector of the salt flat, which were dated using the 230Th/234U disequilibrium method in halite formed during the lake stages, particularly trapped clay minerals rich in U [8,9]. The thickest layer identified in the halite nucleus reaches 23 m in thickness and terminates at a 42 m depth. In the western block of the halite nucleus, this layer is thinner, with a thickness of 17 m, terminating at a 14 m depth [9]. This primary halite layer shows some dissolution features in its base, indicating increasingly wetter conditions and the existence of a permanent paleolake that existed in the Salar de Atacama [2,8,9,20]. Dating has determined that the formation of this paleolake started around 60 to 30 ka, and terminated 16.5 ± 3.6 ka [8,9]. The lake was at its deepest during the LGM and its termination, an age that approximately coincides with the period of expansion of the Andean lakes during the wetter period at the end of the LGM, although the 230Th/234U dates obtained have a high standard deviation.
In the halite nucleus, two other levels of pristine chevron halite evaporites have also been identified at 10 and 5 m depths, but are much thinner, indicating the shorter duration of these paleolakes [2]. For these last two wetter periods, only the upper layer has been dated, giving an approximate age of 5.4 ± 2.7 ka. Both evaporitic layers have been interpreted as the result of the formation of ephemeral lakes that existed approximately 10? ka and 5.4 ka, respectively [2,9]. These ages of wetter periods coincide with the results of paleowetland studies conducted in the Salar de Atacama basin and nearby areas, which have defined two significant wet periods since the end of the Pleistocene [42]. The first period ranged from 12,800 to 8100 years BP, recorded only in the eastern part of the Salar de Atacama (in Tilomonte), and a second, more active period from 7400 to 3000 years BP, recorded in the Tilomonte area, Loa River, Salado River, and Puripica Ravine. The stable isotope data of the paleolake water trapped in the chevron halite fluid inclusions indicate that the weather patterns and moisture sources were similar to those of today [2].

6. Methodology

The communities of the Salar de Atacama basin, particularly those located near the salar, are interested in preserving the lagoons and wetlands on the eastern edge of the salar, which host ecosystems rich in flora and fauna. Since the 1990s, various hydrogeological research and monitoring efforts, both public and private, have been carried out to assess the impact of brine extraction on the nucleus of the Salar de Atacama. These efforts have generated a significant amount of data, which have been made partially available through public and private organizations responsible for water resource management and environmental protection.
This analysis of δ18O and δ2H isotopes was conducted using an extensive database that includes water samples collected by SQM at various points across the Salar de Atacama basin [21,22]. The samples encompass water from rivers, lagoons, shallow wells, and deep wells, collected between 2008 and 2020. Although some of the data series are incomplete and, in certain cases, only three data points are available, in general, the isotopic records offer data at an annual or biennial frequency.
The samples utilized in this study were analyzed for their isotopic composition at the University of Waterloo (Ontario, Canada) [21,22]. The δ18O values were determined through CO₂ equilibration following the method of Epstein and Mayeda (1953), employing a Gilson Autosampler, GVI MultiFlow system, and an Iso-Prime CF-IRMS, with a precision of ±0.2‰ [21]. For the δ2H analysis, water reduction to hydrogen gas on hot chromium was conducted using a CTC AS200 Autosampler, Eurovector Euro 3000 Elemental Analyzer, and a Micromass IsoPrime mass spectrometer, achieving a precision of ±0.8‰. The saline samples with conductivities greater than 10,000 μS/cm were pre-treated by distillation. The results were standardized using the international reference materials VSMOW (Vienna Standard Mean Ocean Water) and VSLAP (Vienna Standard Light Antarctic Precipitation) from the International Atomic Energy Agency (IAEA) [21,22].
Our research focused on analyzing the spatial and temporal variations in the isotopic composition of δ18O and δ2H in the water from wells located in the upper aquifer of the halite nucleus. For this analysis, three transects (W-E) in the halite nucleus, located in the northern, central, and southern parts, were examined (Figure 1). A total of 82 δ18O and δ2H isotopic data points were used (Table S1, Supplementary Material). Some of the wells had up to eleven measurements of δ18O and δ2H taken over different time periods, while other wells had only two data points. To characterize the isotopic composition of the lower aquifer, four wells were selected, with a single sample from each (Table S2, Supplementary Material). In this case, a smaller number of wells were selected (only four) to ensure that the waters from these wells were representative of the lower aquifer [22].
The collected data underwent a rigorous analysis process to identify patterns in the isotopic variation in δ18O and δ2H. Specialized software was used for the data processing, allowing for comparison between the different sampling points and the identification of the potential influences of brine extraction on the marginal areas of the halite nucleus. The expectation was that in these zones, farther from the areas of intensive extraction, the mixing of waters from different sources induced by pumping would be less significant, providing a clear baseline for impact assessment.
Additionally, the research was complemented with isotopic data provided by the company Albemarle, which also conducts brine extraction in the southern part of the halite nucleus [43].

7. Results

7.1. Isotopic Composition of δ18O and δ2H in the Salar de Atacama Basin

To provide an overview of the isotopic composition of the waters in the Salar de Atacama, a general characterization of the isotopic composition of δ18O and δ2H in the waters from the main hydrogeological units of the Salar de Atacama basin is presented. Figure 3 shows a δ18O vs. δ2H plot summarizing the isotopic compositions of the precipitation, water from deep wells within the alluvial aquifer, and water from wells located in the marginal and central parts of the Salar de Atacama.
The data used for the isotopic characterization of the precipitation in this research were obtained from the southern part of the Salar de Atacama. However, there is extensive work on the isotopic characterization of δ18O and δ2H in the precipitation of the Salar de Atacama basin [24]. Samples corresponding to the accumulated rainfall were collected at three monitoring stations located at different altitudes in the southern part of the Salar de Atacama basin. The samples obtained correspond to the accumulated rainfall during the months of January, February, and March 2017. Snow samples were also collected in June 2017. The location of the snow sampling points was the same as that of the rainwater collectors. These analyses also include some specific data collected by the authors during other sampling campaigns in the Altiplano (near Laguna Tuyajto) [44,45].
In contrast, the isotopic composition of the groundwater in the eastern alluvial aquifer of the Salar de Atacama was obtained from [46]. The recharge of the peripheral aquifers of the Salar de Atacama mainly comes from local precipitation and the infiltration of surface waters generated within the hydrographic basin of the salar itself [24]. The isotopic values of δ18O vs. δ2H in the alluvial aquifer fall within a narrow range, varying between −7‰ and −9‰ for δ18O and between −50‰ and −68‰ for δ2H (Figure 3). This narrow range of isotopic composition in an extensive alluvial aquifer may result from good water mixing within the aquifer. Based on this consideration, it has also been assumed that these waters have had a long residence time in the aquifer [2]. These isotopic values also coincide with those obtained for the volcanic aquifer in the southern part of the Salar de Atacama basin, in the Monturaqui sub-basin [15] (Figure 3).
The isotopic composition of the waters in the Salar de Atacama is more complex to characterize due to the different sources contributing to it. To provide an initial characterization of the isotopic composition of δ18O and δ2H in the waters of the halite nucleus and the marginal zone of the Salar de Atacama, the isotopic values obtained from various previous investigations were used. In the northern and eastern marginal zones of the Salar de Atacama, the waters emerging from various springs are channeled into surface flows that circulate within the salar, forming different lagoons (Figure 3). The isotopic signature of these spring waters originates from the waters of the alluvial aquifer, which discharge at the edge of the salar. One of the most notable lagoon systems is Soncor [3,4,47]. Most of the waters near the spring emergence points (Laguna Puilar) have an isotopic composition of δ18O and δ2H similar to that of the wells in the alluvial aquifer. However, as the waters flow through small streams into the interior of the salar, they progressively show greater fractionation due to evaporation, as observed in the waters of Laguna Chaxa and Laguna Barros Negros. In Figure 3, only some of these waters, which show some degree of evaporation fractionation, are plotted [47].
In the southern marginal zone, the isotopic compositions of the waters are strongly influenced by the groundwater input from the Monturaqui sub-basin [15]. The transect used to evaluate the isotopic composition of the waters from the alluvial aquifer to the nucleus of the salar showed progressive isotopic enrichment due to evaporation [5]. This transect revealed that the greatest evaporation fractionation occurred in the waters of the various lagoons located in the marginal zone. It was also observed, for the first time, that the isotopic composition of the groundwater located further inside the halite nucleus had a less enriched isotopic composition than the waters of the lagoons in the marginal zone, explained by the direct groundwater input from the Cordón de Lila, which mixes with the brine of the halite nucleus [5].
Figure 3. Isotopic composition of δ18O and δ2H of rain water, lagoons, and groundwater of Salar de Atacama basin. GMWL = global meteoric water line; δ2H = 8δ18O + 10‰ [2,5,15,46,47,48].
Figure 3. Isotopic composition of δ18O and δ2H of rain water, lagoons, and groundwater of Salar de Atacama basin. GMWL = global meteoric water line; δ2H = 8δ18O + 10‰ [2,5,15,46,47,48].
Water 16 02651 g003

7.2. Isotopic Composition of δ18O and δ2H in the Halite Nucleus

As discussed in the section on the hydrogeology of the halite nucleus, the aquifer system can be divided into a Western Domain and an Eastern Domain, separated by a regional fault oriented approximately north–south [20]. The majority of the brine extraction wells (pumping wells) operated by various companies are located in the Western Domain, with extraction primarily from the upper aquifer. Conversely, in the Eastern Domain there are no pumping wells for brine extraction, but there are a large number of monitoring wells. This distinction is relevant when interpreting the isotopic values of the groundwater, as the flow induced by the numerous brine extraction wells in the Western Domain is slower, thereby reducing the possibility of mixing water from different aquifers, which is associated with more chaotic groundwater flow lines near brine extraction sites.
The isotopic composition of the upper aquifer was characterized using monitoring wells located mainly in the eastern edge of the halite nucleus (Table S1). In most cases, shallow wells not exceeding 30 m in depth were used. Generally, in the Eastern Domain, the upper aquifer can reach depths of up to 30 m [11]. Since the wells in this area are farthest from the brine pumping area, their isotopic composition was assumed to be less affected by the flow induced by pumping, thus avoiding the potential mixing effects associated with these flows. Additionally, since 1996, brine reinjection into the upper aquifer has been practiced, and the isotopic composition of the reinjected brine is unknown, potentially altering the isotopic interpretation of the waters closer to the extraction field.
Special attention is given to the initial isotopic data obtained at the start of monitoring around 2008, when the brine extraction rates were still lower than the current ones, and the drawdowns were not as significant. The isotopic data used in this characterization are from determinations made between 2008 and 2020, although many of the data series are incomplete.
To characterize the isotopic composition of δ18O and δ2H in the lower aquifer, data were selected from the SQM database from wells for which the well construction details and the location of the screened intervals are clearly indicated [21]. Several wells labeled as “deep nucleus” in the database show screen openings throughout their depth or do not specify their location, potentially resulting in mixed water and a distinct isotopic composition, which could mischaracterize the lower aquifer. Therefore, the isotopic data from these monitoring wells were excluded from this analysis. The only samples likely to have a representative composition of the lower aquifer were obtained from four wells: KINT-04, KINT-08, KINT-33, and KINT-35 (Table S2). Although these wells are located in the Western Domain of the nucleus, their screen positions between 23 and 40 m depths suggest the absence of mixing with water from the upper aquifer. The isotopic values of δ18O and δ2H in the waters of the lower aquifer fall within a narrow range, varying from −0.87‰ to −2.49‰ for δ18O and from −26.04‰ to −33.25‰ for δ2H. These isotopic values are considerably depleted compared to the isotopic composition of the upper aquifer waters.
To achieve a spatial and temporal characterization of the isotopic variation in δ18O in the waters of each analyzed sector, three transects were delineated, including wells located near the marginal zone and extending toward the interior of the halite nucleus (Figure 4). A northern, central, and southern transect were analyzed to evaluate whether the changes in the isotopic composition of δ18O over time were local or associated with a general change within the halite nucleus. Figure 1 and Figure 2 show the location of the various wells used in these transects. To assess the relationship between the isotopic variation in δ18O in the brine and in the drawdowns caused by brine pumping in the extraction field, drawdown measurements, obtained from the same wells that were sampled for the isotopic analysis, were also plotted alongside the δ18O values.
An initial interpretation of the isotopic values of δ18O and δ2H for the eastern edge of the halite nucleus allows us to recognize that there was an isotopic evolution of these values, from highly enriched isotopic values to lighter values, in a short period of time. The most enriched δ18O and δ2H isotopic values occurred between the years 2008 and 2012, and the lightest isotopic values occurred between the years 2013 and 2020, identified in the initial interpretations of [22]. The explanation for the progressive isotopic lightening of the waters is associated with the recharge due to more the frequent rainfall that has occurred since 2013. This hypothesis is only plausible if the changes in the isotopic composition of the groundwater begin from the eastern edge of the halite nucleus, where the waters enter from various springs and, through small streams, reach the lagoon systems in the nucleus and infiltrate them. On the other hand, to produce such significant changes in the isotopic composition of the upper aquifer water, the recharge from precipitation would have to be very high, which does not seem to be the case. In this research, an analysis is attempted using the different transects, starting from the eastern edge of the halite nucleus toward the center of the salar, to evaluate the spatial and temporal isotopic changes shown by the waters of the upper aquifer.

7.3. Northern Transect

In the northern transect, the wells considered ranged from those located very close to the marginal zone to those toward the interior of the nucleus. These wells included SOPM-14 (located 3 km from Laguna Barros Negros), L2-14 (located 6 km from the marginal zone), SOPM-4 (located 9 km from the marginal zone), and MSW-268 (located 15 km from the marginal zone and 3 km from the pumping well field) (Figure 1 and Figure 2).
As shown in Figure 4, the waters from well SOPM-14, situated very close to the marginal zone, exhibit the most enriched isotopic values, with δ18O values ranging from +9.6‰ to +9.9‰. These more enriched values correspond to the samples obtained at the beginning of isotopic monitoring, in 2008 and 2012. Subsequently, from 2016 to 2020, more depleted isotopic values are observed, reaching +2.92‰ for δ18O in 2020. Unfortunately, there are no data available for between 2013 and 2015 to infer when the most significant isotopic change occurred. In 2019, there is a slight rise in water levels, possibly related to reduced pumping. Coincidentally, the δ18O value of the water shows a slight increase in isotopic enrichment, with values of +3.9 and +4.2‰.
In the case of well L2-14, located slightly further inside the nucleus in the northern transect, the initial isotopic value of δ18O measured in 2008 is +3.47‰. In subsequent years, the general trend shows a progressive depletion in isotopic composition until 2016, when the value reaches +0.46‰.
Finally, wells SOPM-4 and MSW-268, situated further inside the halite nucleus, generally show little variation in their isotopic composition from 2008 to 2020. The isotopic composition of both wells is more depleted, generally corresponding to the isotopic composition of the lower aquifer.

7.4. Central Transect

In the central transect of the halite nucleus, there are few wells with extensive δ18O data series that allow for a comprehensive analysis of the isotopic trends. In this analysis, wells L4-16 (located 0.5 km from the marginal zone) and L4-6 (located 3.6 km from the marginal zone) are considered. Both wells have extensive isotopic data series from 2008 to 2020. The data from some wells closer to the pumping well field are also used, but these wells generally have very few data points to establish clear trends in the isotopic evolution. Additionally, these latter data should be considered cautiously due to the potential for mixing and other previously described considerations. This group includes wells MSW-275 (located 7.3 km from the marginal zone) and MSW-246 (located 12.6 km from the marginal zone).
In this transect, similar to the northern transect, the wells closest to the marginal zone show a trend towards less enriched δ18O isotopic values, synchronized with greater drawdowns. The changes in the δ18O isotopic composition are first observed in well L4-6, located further inside the halite nucleus compared to well L4-16, which is situated closer to the marginal zone. Additionally, well L4-6 shows some stability in its isotopic composition value around +7.5‰ until 2012, after which there is a general trend towards lighter δ18O isotopic values, reaching −5.81‰. This isotopic value is the lightest recorded and falls outside the defined range for the lower aquifer. In the case of well L4-16, located farther from the pumping well field, changes in the δ18O isotopic composition begin in 2015 and are less pronounced than in well L4-6. Generally, the latest δ18O isotopic determinations from 2018 to 2019 tend to stabilize around a value of 4.61‰. It is interesting to note that in well L4-16, the change in composition to lighter values begins in 2012, while in the well closer to the marginal zone, where most of the recharge is assumed to occur, the change only begins in 2015.
Unlike the general trend in the northern transect, where the isotopic values of the wells closer to the pumping well field generally showed a trend towards lighter δ18O values, this trend is not present in the central transect, and the observed values tend towards enriched δ18O values. It is difficult to explain the observed isotopic values in wells MSW-275 and MSW-246. The data on the thickness of the aquitard in this sector indicate that it reaches its greatest thickness here [29]. One possible way to explain the more enriched δ18O isotopic values relates to the increased thickness of the aquitard in this sector. The increase in aquitard thickness could hinder the upward vertical flow from the lower aquifer to the upper aquifer. However, since this sector is closer to the pumping well field, this scenario should be viewed with caution.

7.5. Southern Transect

The southern transect of the nucleus of the salar was characterized using wells 1028 (located 0.6 km from the marginal zone), TPB-5 (located 1.7 km from the marginal zone), L10-11 (located 2.5 km from the marginal zone), and L10-12 (located 4.5 km from the marginal zone). The isotopic composition data from well MSW-253 (located 11 km from the marginal zone) were also used in this characterization, although with the caution of the previously mentioned considerations. Figure 4 presents a graph of the time series of the drawdowns and the δ18O isotopic values of the analyzed well waters.
In the case of well L10-11, located 3 km from the marginal zone, there is a marked lightening of the δ18O isotopic composition observed between 2018 and 2020, ranging from 4.17‰ to −2.4‰. This change coincides well with a significant piezometric level drop of nearly 1 m recorded in the same well. Unfortunately, there are no isotopic data available for the years 2019 and 2020 for well L10-12.
Finally, in the case of well MSW-253, it is observed that the δ18O value is around −2.9‰, and varies very little over the course of 10 years. This value is quite close to the lightest value found in the lower aquifer. This well is located near the SQM well field and also the Albemarle well field, so high contributions from the water from the lower aquifer are expected. Additionally, in this sector, the thickness of the aquitard is thinner, reaching approximately between 20 and 40 cm in thickness (Figure 2).
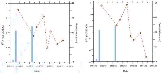
Some wells in the southern part of the nucleus of the Salar de Atacama were sampled almost monthly during 2013 [43]. This was the case for well TPB-5, which was monitored eight times during 2013, allowing for an analysis of the general trend in the isotopic evolution of δ18O and δ2H during this period, which also coincided with a year of significant precipitation in the salar [5]. Figure 5 shows the evolution of the δ18O and δ2H isotopic values over time, with the major precipitation events of 2013, obtained from the Paine meteorological station, added to the graphs [49]. This figure clearly shows the general trend toward lighter δ18O and δ2H isotopic values, as observed in the different transects analyzed. However, slightly enriched δ18O and δ2H isotopic values can also be seen shortly after precipitation events. This observation may be due to the direct recharge of rainwater over the nucleus of the salar, as suggested by previous studies [5]. It is highly likely that this precipitation infiltrated through cracks in the salt crusts of the salt flat and underwent isotopic fractionation due to evaporation as it descended. However, due to the limited amount of precipitation and its infrequent occurrence, the recharge is expected to be not very significant.
Figure 5. Isotopic composition of δ18O y δ2H from well PTPB-05 monitored during the year 2013 (red rhombus) and precipitation (mm) events recorded at the Paine station [49].
Figure 5. Isotopic composition of δ18O y δ2H from well PTPB-05 monitored during the year 2013 (red rhombus) and precipitation (mm) events recorded at the Paine station [49].
Water 16 02651 g005
Figure 6 presents the δ18O and δ2H graph of the samples used in the previously presented transects. This graph also includes the isotopic composition of the waters from the lower aquifer. Additionally, samples from the alluvial aquifer are included to analyze their relationship with the waters of the upper and lower aquifers. As observed in Figure 6, the waters from the various transects show more enriched isotopic compositions of δ18O and δ2H when monitoring began in 2008, and progressively, over the course of a decade, their composition tends toward the isotopic composition of the waters from the lower aquifer. Although almost all the water samples from the upper aquifer have an isotopic composition that tends toward the composition of the lower aquifer, there are two samples that exhibit a lighter isotopic composition of δ18O and δ2H. These correspond to the water from wells L4-6 and 1028p, located in the central and southern parts of the eastern edge of the halite nucleus. In the case of the sample from well 1028p, the isotopic value of δ18O and δ2H falls within the isotopic composition range of the waters from the alluvial aquifer and the Vilama River, while the sample from well L4-6 is slightly more enriched. The composition of these waters with lighter isotopic values may have several explanations that will be addressed in the Discussion.

8. Discussion

8.1. Understanding the Current Recharge Mechanism of the Upper Aquifer in the Soncor Area as a Basis for Understanding the Recharge Mechanism of the Nucleus of the Salar de Atacama in the Past

The isotopic studies of δ18O and δ2H conducted on the eastern edge of the Salar de Atacama, specifically in the current lagoon systems of the Soncor area, allow for the formulation of hypotheses about the current recharge mechanisms in the Salar de Atacama [3]. The enriched isotopic values of δ18O and δ2H in the shallow well waters near the Barros Negros Lagoon indicate that these waters were likely recharged by the infiltration of the lagoon water [3].
In the northeastern part of the halite nucleus, which is in contact with the marginal zone, there are a series of streams and lagoons known as the Soncor system (Figure 7). This system has been extensively studied using environmental isotopes and flow rates to understand the fate of the waters originating from a series of springs in the marginal zone, which are channeled towards the boundary with the halite nucleus, where these waters eventually stagnate in small lagoons subject to intense evaporation [3,4,47]. The largest identified lagoons in this sector are Puilar Lagoon, Chaxa Lagoon, and Barros Negros Lagoon. The surface water flow originates from the groundwater discharge zone near Puilar Lagoon and continues to Chaxa, finally ending in Barros Negros. The waters of Barros Negros Lagoon show the most significant effects of enrichment due to evaporation, with the measured δ18O values reaching up to +20‰ [3], but the extreme values also indicate that the through flow from the lagoon, at least at the surface, is minimal at these times [50]. The wells located around Barros Negros show δ18O isotopic values ranging from +9 to +12.5‰ [47]. The isotopic values of the wells around Barros Negros Lagoon can be interpreted as the result of the recharge of water from this lagoon infiltrating into the subsurface when there is a greater amount of water and a hydraulic head capable of producing infiltration. When the lagoon levels are lower and there is no hydraulic head sufficient to promote infiltration, the water continues its evaporation process, and the highest values exceeding +20‰ are reached. Figure 3 shows some of the isotopic values from the Puilar, Chaxa, and Barros Negros Lagoons, illustrating this evolution in the isotopic composition of these waters. The lighter isotopic values obtained in the same lagoon correspond to the samples taken in winter, while the more enriched values correspond to the samples taken in summer when evaporation is greater [47]. The recharge mechanism, from the lagoons to the aquifer, has also been demonstrated hydrodynamically, based on the increases in piezometric levels recorded when flooding occurred in the lagoons as a consequence of important precipitation events in the southern part of the Salar de Atacama [51].
At the end of the Pleistocene and during the Holocene, there were periods of wetter climatic conditions than at present [52], and it is likely that during these periods there was a greater discharge of groundwater from springs located in the marginal areas [2]. During these pluvial times, a long-lived lake at the end of the Pleistocene and two lakes of shorter duration during the Pleistocene–Holocene and the mid-Holocene existed. The late-Pleistocene lake covered much of the nucleus of the Salar de Atacama, while the Holocene lakes appear to have been smaller [2,9]. Similar to the phenomenon currently observed in the Barros Negros Lagoon, but on a scale that would have encompassed much of the halite nucleus, water could have infiltrated the base of this paleolake due to the greater hydraulic head of the surface water. This surface water’s hydraulic head, surpassing the hydraulic head of the underlying aquifers, would have generated a significant downward vertical flow. The higher salinity of these waters would have also resulted primarily from the dissolution of halite previously deposited, due to the rise in saline efflorescences, currently manifested as karstification observed in the upper aquifer. Additionally, these waters would have undergone evaporation processes, possibly less than those of today, increasing their salinity and density progressively. This would explain the less enriched δ18O and δ2H isotopic values in the lower aquifer with respect to the isotopic composition of the upper aquifer. This increase in density, driven by increased salinity caused by dissolution and evaporation concentration processes, also would have favored the downward vertical flow in the halite nucleus. It is interesting to consider that above the pristine chevron halite layer lies the sulfate and organic matter layer that forms the aquitard. Therefore, if the proposed recharge model is correct, it is possible to make some interpretations about the age of the waters in the halite nucleus, which will be discussed later. Thus, the less enriched isotopic composition of δ18O and δ2H of the waters of the lower aquifer can be explained, in part, by the recharge of the water from these ancient ephemeral lakes, which formed around the 10 ka and 5.4 ± 2.7 ka period, generating a sufficient hydraulic head to produce a vertical downward flow of the lake waters into the lower aquifer through the aquitard.
If an increase in the groundwater contributions formed a lake over the salar, completely covering its surface, it is possible to assume that the recharge from even short-lived paleolakes to the underlying aquifer was also very significant.

8.2. Origin of the Isotopic Composition of δ18O and δ2H in the Waters of the Lower Aquifer

In an environment of extreme aridity like the salar, where isotopic fractionation processes by evaporation dominate, it is difficult to explain the lighter isotopic composition of δ18O and δ2H in the waters of the lower aquifer. The possible explanations for this origin include (a) an older recharge, when the climate was more humid during the Holocene and the paleolakes in the salar recharged the upper and lower aquifers; (b) groundwater flows from the alluvial aquifers that border the Salar de Atacama that, through deep confined groundwater recharge, reached the halite nucleus; and (c) a combination of the mechanisms proposed in (a) and (b).
In the case of the recharge originating from the infiltration of waters from the paleolakes formed during the Holocene, it is possible to assume that the downward vertical water flow traversed the aquitard and stored the waters without significant isotopic fractionation by evaporation, given the conditions of greater recharge and the more humid climate. As indicated in Section 8.1, the recharge from the ancient paleolakes formed during the Holocene may have produced an imbalance in the general discharge mechanism of water from the salar through evaporation from the water table near the surface of the salar, and generated the infiltration of waters from the lake formed by the greater recharge in the basin [53]. Thus, it is possible to explain the entry of water with a lighter isotopic composition of δ18O and δ2H into the lower aquifer and not subjected to extreme evaporation, as when the salar operates in a near-steady condition of evaporation discharge from the groundwater close to the surface of the salar.
The second hypothesis that would explain the lighter isotopic composition of the water in the lower aquifer may be more difficult to demonstrate, mainly due to the lack of knowledge about the subsurface geology in the marginal areas of the salar, and how the identified alluvial units in the alluvial aquifers integrate with the evaporitic units of the halite nucleus. In the northern part of the Salar de Atacama, near the town of San Pedro de Atacama, an unconfined aquifer and a confined aquifer reaching a thickness of more than 300 m have been identified. On the other hand, in the southern part of the Salar de Atacama basin, the existence of a large detrital aquifer confined by Pliocene volcanic units and extending from the Tilopozo area to the Monturaqui area is known [15].
In the northern area of the Salar de Atacama, around the locality of San Pedro de Atacama, several deep boreholes up to 500 m have been drilled, revealing the presence of a thin unconfined aquifer and an artesian aquifer [54]. Subsequent studies conducted in this sector have also report the existence of the unconfined and confined aquifers [55,56]. These investigations have suggested that the recharge of the unconfined aquifer occurs as a result of the upward vertical flow from the confined aquifer to the unconfined aquifer through infiltration [55,56]. It has also been reported that groundwater recharge to the center of the salar occurs through the unconfined aquifer; although there is insufficient evidence regarding how the confined aquifer extends southward towards the nucleus [56]. This coincides with the main recharge source determined from the piezometry of the upper part of the Salar de Atacama aquifer [12]. There are not many boreholes north of the halite nucleus that allow for the clear determination of how the aquifers described in the northern part connect with the halite nucleus. However, detailed geological knowledge exists for the northern part of the same halite nucleus [29]. As shown in Figure 2, the thickness of the aquitard composed of gypsum and organic matter increases towards the northern part. Additionally, up to five extensive layers of gypsum have been described in the northern part of the halite nucleus, which could have played an important role in confining water from the northern part of the Salar de Atacama [29].
The chemical composition of the artesian aquifer waters obtained in the deep boreholes around the town of San Pedro indicates that these waters generally have up to 2500 ppm of total dissolved solids and are suitable for agricultural use [54,55]. In the case of the sample obtained from well 5, the chloride contents reach 1180 mg/L, suggesting that these waters have not been affected by isotopic fractionation by evaporation and possibly retain the isotopic signatures of the recharge sources, such as the infiltration of waters from the San Pedro and Vilama Rivers. If the hypothesis that the recharge of the lower aquifer comes from the confined waters in the northern part of the salar is correct, the higher salinity of the lower aquifer waters could not be explained by the evaporation concentration, but by the dissolution of the evaporites as they enter the halite nucleus. This situation would also explain the significant dissolution structures identified in the halite located in the deeper parts, in boreholes 2031, 2005, and 2002 [9]. Thus, the existence of deep brine with a lighter isotopic composition of δ18O and δ2H could be explained.
Finally, a third option could explain the isotopic composition of the waters in the lower aquifer, related to a mix of waters recharged from the ephemeral lakes existing during the Holocene, whose waters infiltrated into the lower aquifer, with waters from the confined aquifers from both the northern and southern parts of the Salar de Atacama. This third option would explain the lighter isotopic values of δ18O and δ2H obtained in some of the wells along the transects examined in the upper aquifer (Figure 6).

8.3. Geological and Hydrogeological Evolution of the Halite Nucleus

The extensive knowledge of the various evaporitic and detrital facies that make up the upper part of the halite nucleus in the Salar de Atacama provides a valuable proxy for making some initial interpretations about the evolution of the brine contained within them. In the various studies of evaporites based on cores obtained from different sectors of the salar, detailed characterizations and interpretations of the different paleoenvironments that have existed in the nucleus area from the Late Pleistocene to the Holocene have been carried out [2,7,8,9,20,29,57]. Specifically, for the purposes of this research, the shallowest part of the halite nucleus is of particular interest, as it reflects the climatic events that occurred from the end of the Pleistocene to the Holocene. Insights into the various paleoenvironments that existed in this area, along with the dating of specific cores, particularly core 2005, have facilitated a partial reconstruction of the interaction between the surface and groundwater.
Figure 8 presents three schematic W-E hydrogeological profiles, showing the geological and hydrogeological situation from the Late Pleistocene to the present for the shallowest part of the halite nucleus aquifer and the alluvial aquifer. This figure also presents the main interpreted groundwater flows during these periods. The waters that constitute the current lower aquifer, located immediately below the aquitard, must have been recharged after the formation of the deepest and longest-lived lake, which has an upper age limit dated at 16.5 ± 3.6 ka [8]. Therefore, the age limit of the waters identified in the upper part of the halite nucleus is less than 16.5 ± 3.6 ka. Moreover, for the recharge that fed the lower aquifer to have occurred, the most significant wet events, recorded approximately 10 ka and 5.4 ± 2.7 ka [8], would have had to produce the extensive ephemeral lakes that were the main recharge pulses that subsequently fed the lower aquifer, displacing the waters that were previously present in its interstices. Therefore, it is possible to assume that a part of the waters that constitute the lower aquifer were largely recharged during the Holocene from the waters that infiltrated from the Holocene ephemeral lakes, approximately 10? ka and 5.4 ± 2.7 ka. Figure 8a shows the last ephemeral lake that formed during the Holocene approximately 5.4 ± 2.7 ka. In this context, it is possible to consider that the waters recharged from the two ephemeral lakes that existed during the Holocene mixed with the water that was already present in the lower aquifer, which would have come from deep confined flows from the northern part of the Salar de Atacama. It is also possible that a similar situation occurred in the southern part of the salar, where waters from the extensive Monturaqui sub-basin entered the confined levels of the Salar de Atacama [15]. This hypothesis also coincides with the one proposed by Boutt [5], who interpreted the lighter isotopic values found in the southern part of the halite nucleus as a mixture of groundwater flows from the Cordon de Lila and evaporated water from the Salar.
While the permanent lagoons that currently exist on the eastern edge are very small, the identification of different paleocoastlines determined from aerial photographs and satellite images shows that these were much more extensive in more recent periods (Figure 7). Indeed, in this area, numerous halite crusts have very smooth surfaces, as a result of halite dissolution, and transition to the tall and much older halite spires further toward the center of the nucleus [9]. Obviously, the greater the extent of these lagoons, the greater recharge to the aquifer they can generate (Figure 8b). There are no precise data to establish the age of these more significant water contributions, but based on the hydrostratigraphic descriptions of the Salar de Atacama, it can be assumed that these are relatively recent. Paleowetland studies conducted in the Puripica Ravine, located northeast of the Salar de Atacama, have indicated that the last events of greater humidity and greater groundwater discharge likely occurred between 2.6 and 0.5 ka [42].
In non-steady-state conditions with the existence of a permanent saline lake over the halite nucleus, it is possible to assume that the greater hydraulic head of the surface water body over the lake bed allowed for a downward vertical flow of water into the underlying aquifers. This greater hydraulic head in the upper aquifer could have also permitted a downward vertical flow through the aquitard into the lower aquifer. In a later stage, with the disappearance of the lakes due to a reduction in the recharge that fed them during the wetter periods, the hydrogeological system of the upper and lower aquifers would have tended to reach equilibrium, with both aquifers tending towards a similar hydraulic gradient in a steady state (Figure 8c). This process likely occurred at least three times from the end of the Pleistocene to the present. Thus, the lake waters, which reached a certain isotopic equilibrium of δ18O and δ2H depending on the temperature and humidity conditions during these wetter periods, could have produced less enriched isotopic markers that recharged the underlying aquifers. These isotopic markers would be a combination of the evaporation affecting the lake waters and the mixing with water entering the lake from various surface watercourses. Therefore, during periods when water inflow to the lake was significant compared to the evaporation rate, less enriched δ18O and δ2H isotopic markers could be expected, compared to periods when evaporation might have exceeded the inflow of surface and lateral groundwater recharging the lake. This latter scenario may have occurred during the periods when ephemeral lakes formed twice during the Holocene [3].
Additionally, the dynamics of halite deposition and growth, which do not form from a free halite-saturated water body, occur due to the capillary rise of water from the saturated zone near the soil surface, resulting in an increased salinity concentration by evaporation and the formation of halite efflorescences. These halite efflorescences, which initially grow from desiccation polygon fractures, continue the process of height and width increase until they merge, and the capillary rise process continues. The sedimentation rate of halite due to the growth of efflorescences has varied between 0.8 and 1 m since the Late Pleistocene–Holocene in the Salar de Atacama [57]. This growth mechanism of the halite nucleus would have predominated for most of the Holocene, except for the two wet events that formed the ephemeral paleolakes, approximately 10? ka and 5.4 ± 2.7 ka. This continuous evaporation process of the waters recharging the upper aquifer as its thickness increased would have caused the remaining brine waters to become more enriched in δ18O and δ2H in the upper aquifer. Moreover, the superposition of the ephemeral lakes over the evaporites originating from capillary rise and evaporation during the Holocene must have caused significant changes in the hydrogeochemical equilibrium, due to the inflow of presumably more diluted water. This condition likely favored the halite dissolution processes. This coincides with the observation of karst development in the halite nucleus, which is probably widespread throughout the halite nucleus [14].

8.4. Conceptual Model of the Current Flow in the Halite Nucleus

The higher permeability of the upper aquifer initially led to most of the brine extraction being conducted from this unit, creating a hydraulic imbalance between the upper and lower aquifers (Figure 9). For a better understanding of the current conceptual flow model, this figure also includes indicators of the relative permeabilities between the different hydrogeological units of the system. Since the upper aquifer has a lower hydraulic head than the lower aquifer, an upward vertical flow of water from the lower aquifer through the aquitard is illustrated. In this sector, the recorded drawdowns reached up to 10 m between 1986 and 2020. The increased brine extraction has generated greater hydraulic head differences between the upper and lower aquifers, inducing greater upward vertical flows. Conversely, in areas further from the well field, the hydraulic head difference between the two aquifers is expected to be smaller, resulting in smaller upward vertical flows in the short term, but which could become significant in the long term (Figure 9). Since 2012, there has been a significant increase in the extraction rates from the nucleus wells, reaching 1.6 m3/s in 2018 [13]. This increase has led to a significant expansion of the drawdown cone, which has extended to nearly the entire halite nucleus, causing substantial drawdowns.
These drawdowns were so significant that even in areas distant from the well field, specifically in the eastern zone of the halite nucleus, where increases in drawdowns ranged between 40 and 60 cm, they produced a sufficient increase in the hydraulic gradient to mobilize water from the lower confined aquifer to the upper aquifer in these areas. This led to the movement of waters with a more depleted isotopic composition of δ18O and δ2H from the lower aquifer to the upper aquifer. The simultaneous analysis of the time series of drawdowns in the monitoring wells and the isotopic composition of δ18O clearly shows this correlation. In some cases, it is even possible to observe that as the groundwater levels recover due to reduced pumping, the δ18O values tend to become more enriched again. The lower permeability identified in the marginal zone located to the east of the halite nucleus [12] suggests that groundwater contributions from this sector to the halite nucleus would be insignificant, although they cannot be ruled out.

9. Conclusions

The isotopic composition of δ18O and δ2H in the waters at the upper part of the halite nucleus are not homogeneous and show some isotopic stratification, with less enriched isotopic values at depth. The preliminary results of this research suggest that the waters less enriched in δ18O and δ2H are located in the lower aquifer immediately below the aquitard.
This analysis of the isotopic composition of δ18O and δ2H in the halite nucleus of the Salar de Atacama shows significant spatial and temporal variations between 2008 and 2020, which can be attributed to the flows induced by intensive brine extraction and the mixing of waters from aquifers with very different isotopic compositions. Brine extraction has created a hydraulic imbalance, causing upward vertical flows from the confined lower aquifer to the unconfined upper aquifer, as evidenced by the isotopic changes observed in the monitoring wells. This also coincides with recent research conducted using SAR interferometry (InSAR) based on SAOCOM-1, ALOS-2, and Sentinel-1 data, which concluded that a 2.5 cm subsidence is occurring in the halite nucleus associated with brine extraction [58].
The more depleted δ18O and δ2H isotopic values in the lower aquifer suggest significant historical recharge from ephemeral paleolakes formed during the wet periods of the Holocene. This implies that a significant portion of the water stored in the lower aquifer may have been trapped for thousands of years. The wetter climatic conditions of the past would have played a crucial role in the recharge of the aquifers, and the identification of three periods of paleolake formation supports the hypothesis of significant historical recharges, favored by higher hydraulic gradients and infiltration processes. The waters recharged from the ancient paleolakes would have mixed with waters coming mainly from the northern and southern parts of the Salar de Atacama, through contributions from the confined aquifers.
The results of our research also highlight the role that thin layers of low permeability, interlayered between permeable units, can play in potentially modifying vertical flow and causing changes in brine flow.
For the sustainable management of the water resources in the Salar de Atacama, it is essential to continue the isotopic monitoring of δ18O and δ2H, assessing the future evolution of the flow and the impact of brine extraction. The application of this methodology in future projects for extracting the lithium-rich brines in the other salt flats of the central Andes will allow for a better understanding of the flow and recharge dynamics in these complex hydrogeological systems, contributing to the sustainability of water resources in arid and hyperarid regions.

Supplementary Materials

The following supporting information can be downloaded at: https://www.mdpi.com/article/10.3390/w16182651/s1. Table S1. Groundwater monitoring data, including altitude, well depth, sampling date and isotopic composition. Table S2. Groundwater monitoring data from the lower aquifer, including altitude, well depth, sampling date and isotopic composition.

Author Contributions

Conceptualization, C.H.; Formal analysis, C.H. and L.G. (Linda Godfrey); Investigation, C.H.; Methodology, C.H., L.G. (Linda Godfrey) and J.U.; Writing—original draft, C.H., L.G. (Linda Godfrey), J.J. and J.U.; Writing—review and editing, C.H., L.G. (Linda Godfrey), J.U., J.J., C.V., C.D., M.P., I.S., L.G. (Luis Gómez) and E.J.L.; Supervision, C.H.; Funding acquisition, C.H. All authors have read and agreed to the published version of the manuscript.

Funding

This research was supported by the Anillo Project ACT1203 of the ANID of Chile and Water Technology Consortium (COTH2O), CORFO Project Code 20CTECGH-145896.

Data Availability Statement

The data presented in this study are available from the corresponding author upon reasonable request.

Acknowledgments

The authors thank the anonymous reviewers for their work, which helped improve this article.

Conflicts of Interest

Author Luis Gómez was employed by the company Montgomery & Associates Consultores Limitada. The remaining authors declare that the research was conducted in the absence of any commercial or financial relationships that could be construed as a potential conflict of interest.

References

  1. Tejeda, I.; Cienfuegos, R.; Muñoz, J.F.; Durán, M. Numerical modeling of saline intrusion in Salar de Atacama. J. Hydrol. Eng. 2003, 8, 25–34. [Google Scholar] [CrossRef]
  2. Godfrey, L.V.; Jordan, T.E.; Lowenstein, T.K.; Alonso, R.L. Stable isotope constraints on the transport of water to the Andes between 22 and 26 S during the last glacial cycle. Palaeogeogr. Palaeoclimatol. Palaeoecol. 2003, 194, 299–317. [Google Scholar] [CrossRef]
  3. Salas, J.; Guimerà, J.; Cornellà, O.; Aravena, R.; Guzmàn, E.; Tore, C. Hidrogeologi′a del sistema lagunar del margen este del salar de atacama (Chile). Boletín Geológico Min. 2010, 4, 357–372. [Google Scholar]
  4. Ortiz, C.; Aravena, R.; Briones, E.; Suárez, F.; Tore, C.; Muñoz, J.F. Sources of surface water for the Soncor ecosystem, Salar de Atacama basin, northern Chile. Hydrol. Sci. J. 2014, 59, 336–350. [Google Scholar] [CrossRef]
  5. Boutt, D.F.; Hynek, S.A.; Munk, L.A.; Moran, J.; Glassley, W. Rapid recharge of fresh water to the halite-hosted brine aquifer of Salar de Atacama, Chile. Hydrol. Process. 2016, 30, 4723–4740. [Google Scholar] [CrossRef]
  6. Munk, L.A.; Boutt, D.F.; Moran, B.J.; McKnight, S.V.; Jenckes, J. Hydrogeologic and geochemical distinctions in freshwater-brine systems of an Andean Salar. Geochem. Geophys. Geosyst. 2021, 22, e2020GC009345. [Google Scholar] [CrossRef]
  7. Carmona, V.; Pueyo, J.J.; Taberner, C.; Chong, G.; Thirlwall, M. Solute inputs in the Salar de Atacama (N. Chile). J. Geochem. Explor. 2000, 69, 449–452. [Google Scholar] [CrossRef]
  8. Bobst, A.L.; Lowenstein, T.K.; Jordan, T.E.; Godfrey, L.V.; Ku, T.L.; Luo, S. A 106 ka paleoclimate record from drill core of the Salar de Atacama, northern Chile. Palaeogeogr. Palaeoclim. Palaeoecol. 2001, 173, 21–42. [Google Scholar] [CrossRef]
  9. Lowenstein, T.K.; Hein, M.C.; Bobst, A.L.; Jordan, T.E.; Ku, T.-L.; Luo, S. An assessment of stratigraphic completeness in climate-sensitive closed-basin lake sediments: Salar de Atacama, Chile. J. Sediment. Res. 2003, 73, 91–104. [Google Scholar] [CrossRef]
  10. Muñoz-Pardo, J.F.; Ortiz-Astete, C.A.; Mardones-Pérez, L.; de Vidts-Sabelle, P. Funcionamiento hidrogeológico del acuífero del núcleo del salar de Atacama, Chile. Tecnol. Cienc. Agua 2004, 19, 69–81. [Google Scholar]
  11. Marazuela, M.; Vázquez-Suñé, E.; Custodio, E.; Palma, T.; García-Gil, A.; Ayora, C. 3d mapping, hydrodynamics and modelling of the freshwater-brine mixing zone in salt flats similar to the salar de atacama (Chile). J. Hydrol. 2018, 561, 223–235. [Google Scholar] [CrossRef]
  12. Marazuela, M.; Vázquez-Suñé, E.; Ayora, C.; García-Gil, A.; Palma, T. Hydrodynamics of salt flat basins: The Salar de Atacama example. Sci. Total Environ. 2019, 651, 668–683. [Google Scholar] [CrossRef]
  13. Marazuela, M.A.; Vázquez-Suñé, E.; Ayora, C.; García-Gil, A. Towards more sustainable brine extraction in salt flats: Learning from the Salar de Atacama. Sci. Total Environ. 2020, 703, 135605. [Google Scholar] [CrossRef] [PubMed]
  14. Trabucchi, M.; Fernàndez-Garcia, D.; Carrera, J. The Worth of Stochastic Inversion for Identifying Connectivity by Means of a Long-Lasting Large-Scale Hydraulic Test: The Salar de Atacama Case Study. Water Resour. Res. 2022, 58, e2021WR030676. [Google Scholar] [CrossRef]
  15. Rissmann, C.; Leybourne, M.; Benn, C.; Christenson, B. The origin of solutes within the groundwaters of a high Andean aquifer. Chem. Geol. 2015, 396, 164–181. [Google Scholar] [CrossRef]
  16. Munk, L.A.; Boutt, D.F.; Hynek, S.A.; Moran, B.J. Hydrogeochemical fluxes and processes contributing to the formation of lithium-enriched brines in a hyper-arid continental basin. Chem. Geol. 2018, 493, 37–57. [Google Scholar] [CrossRef]
  17. Moran, B.J.; Boutt, D.F.; Munk, L.A. Stable and radioisotope systematics reveal fossil water as fundamental characteristic of arid orogenic-scale groundwater systems. Water Resour. Res. 2019, 55, 11295–11315. [Google Scholar] [CrossRef]
  18. Valdivielso, S.; Hassanzadeh, A.; Vázquez-Suñé, E.; Custodio, E.; Criollo, R. Spatial distribution of meteorological factors controlling stable isotopes in precipitation in Northern Chile. J. Hydrol. 2022, 605, 127380. [Google Scholar] [CrossRef]
  19. Corenthal, L.G.; Boutt, D.F.; Hynek, S.A.; Munk, L.A. Regional groundwater flow and accumulation of a massive evaporite deposit at the margin of the Chilean Altiplano. Geophys. Res. Lett. 2016, 43, 8017–8025. [Google Scholar] [CrossRef]
  20. Jordan, T.; Muñoz, N.; Hein, M.; Lowenstein, T.; Godfrey, L.; Yu, J. Active faulting and folding without topographic expression in an evaporite basin, Chile. GSA Bull. 2002, 114, 1406–1421. [Google Scholar] [CrossRef]
  21. Sociedad Química y Minera de Chile (SQM). Estudio de Impacto Ambiental: Plan de Reducción de Extracciones en el Salar de Atacama. 2022. Available online: https://seia.sea.gob.cl/archivos/2022/01/22/af2_GEOB.SQMSL689.CAP00_Resumen_Ejecutivo.pdf (accessed on 6 July 2024).
  22. Sociedad Química y Minera de Chile (SQM). EIA Proyecto Plan de Reducción de Extracciones en el Salar De Atacama: Actualización Modelo Conceptual del Salar de Atacama. Anexo 3-7: Actualización Modelo Hidrogeológico. 2023. Available online: https://seia.sea.gob.cl/archivos/2022/01/22/Capitulo_5._EvIA_rev.0.pdf (accessed on 5 July 2024).
  23. Rech, J.A.; Currie, B.S.; Jordan, T.E.; Riquelme, R.; Lehmann, S.B.; Kirk-Lawlor, N.E.; Li, S.; Gooley, J.T. Massive middle Miocene gypsic paleosols in the Atacama Desert and the formation of the Central Andean rain-shadow. Earth Planet. Sci. Lett. 2019, 506, 184–194. [Google Scholar] [CrossRef]
  24. Valdivielso, S.; Vázquez-Suñé, E.; Herrera, C.; Custodio, E. Characterization of precipitation and recharge in the peripheral aquifer of the Salar de Atacama. Sci. Total Environ. 2022, 806, 150271. [Google Scholar] [CrossRef]
  25. Kampf, S.K.; Tyler, S.W. Spatial characterization of land surface energy fluxes and uncertainty estimation at the Salar de Atacama, Northern Chile. Adv. Water Resour. 2006, 29, 336–354. [Google Scholar] [CrossRef]
  26. Risacher, F.; Alonso, H.; Salazar, C. Geoquímica de Aguas en Cuencas Cerradas, I, II, III Regiones, Chile; Technical Report S.I.T. No. 51; Ministerio de Obras Públicas, Dirección General de Aguas: Santiago, Chile, 1999.
  27. Kampf, S.K.; Tyler, S.W.; Ortiz, C.A.; Muñoz, J.F.; Adkins, P.L. Evaporation and land surface energy budget at the Salar de Atacama, Northern Chile. J. Hydrol. 2005, 310, 236–252. [Google Scholar] [CrossRef]
  28. Houston, J. Evaporation in the Atacama Desert: An empirical study of spatio-temporal variations and their causes. J. Hydrol. 2006, 330, 402–412. [Google Scholar] [CrossRef]
  29. Bevacqua, P. Geomorfología del Salar de Atacama y Estratigrafía de su Núcleo y Delta, Segunda Región de Antofagasta, Chile. Bachelor’s Thesis, Universidad Católica del Norte, Antofagasta, Chile, 1992; p. 284. [Google Scholar]
  30. Godfrey, L.; Álvarez-Amado, F. Volcanic and saline lithium inputs to the Salar de Atacama. Minerals 2020, 10, 201. [Google Scholar] [CrossRef]
  31. Mather, A.E.; Hartley, A. Flow events on a hyper-arid alluvial fan: Quebrada Tambores, Salar de Atacama, northern Chile. Geol. Soc.-Spec. Publ. 2005, 251, 9–24. [Google Scholar] [CrossRef]
  32. Rech, J.A.; Betancourt, J.L.; Quade, J. Late Quaternary paleohydrology of the central Atacama Desert (lat 22–24 S), Chile. Geol. Soc. Am. Bull. 2002, 114, 334–348. [Google Scholar] [CrossRef]
  33. Geyh, M.; Grosjean, M.; Núñez, L.; Schotterer, U. Radiocarbon reservoir effect and the timing of the Late-Glacial/early Holocene humid phase in the Atacama desert (Northern Chile). Quat. Res. 1999, 52, 143–153. [Google Scholar] [CrossRef]
  34. Latorre, C.; Betancourt, J.L.; Rylander, K.; Quade, J. Vegetation invasions into absolute desert: A 45,000 yr rodent midden record from the Calama Salar de Atacama basins, northern Chile (lat. 22° 24° S). Geol. Soc. Am. Bull. 2002, 114, 349–366. [Google Scholar] [CrossRef]
  35. Núñez, L.; Grosjean, M.; Cartajena, I. Human occupations and climate change in the Puna de Atacama, Chile. Science 2002, 298, 821–824. [Google Scholar] [CrossRef] [PubMed]
  36. Grosjean, M.; van Leeuwen, J.; van der Knaap, W.; Geyh, M.; Ammann, B.; Tanner, W.; Messerli, B.; Núñez, L.; Garce, B.; Veit, H. A 22,000 14C year B.P. sediment and pollen record of climate change from Laguna Miscanti (231S), northern Chile. Glob. Planet. Change 2001, 28, 35–51. [Google Scholar] [CrossRef]
  37. Maldonado, A.; Rozas, E. Clima y paleoambientes durante el Cuaternario Tardío en la Región de Atacama. In Libro Rojo de la Flora Nativa y de los Sitios Prioritarios Para su Conservación; Editorial de la Universidad de la Serena: Coquimbo, Chile, 2008; Volume 16, pp. 293–304. [Google Scholar]
  38. Herrera, C.; Custodio, E. Origin of waters from small springs located at the northern coast of Chile, in the vicinity of Antofagasta. Andean Geol. 2014, 41, 314–341. [Google Scholar] [CrossRef]
  39. Herrera, C.; Gamboa, C.; Custodio, E.; Jordan, T.; Godfrey, L.; Jódar, J.; Luque, J.; Vargas, J.; Sáez, A. Groundwater origin and recharge in the hyperarid Cordillera de la Costa, Atacama Desert, northern Chile. Sci. Total Environ. 2018, 624, 114–132. [Google Scholar] [CrossRef]
  40. Sáez, A.; Godfrey, L.V.; Herrera, C.; Chong, G.; Pueyo, J.J. Timing of wet episodes in Atacama Desert over the last 15ka: The groundwater discharge deposits (GWD) from Domeyko range at 25° S. Quat. Sci Rev 2016, 145, 82–93. [Google Scholar] [CrossRef]
  41. Lowenstein, T.K.; Hardie, L.A. Criteria for the recognition of salt-pan evaporites. Sedimentology 1985, 32, 627–644. [Google Scholar] [CrossRef]
  42. Rech, J.A.; Pigati, J.S.; Quade, J.; Betancourt, J.L. Re-evaluation of mid-Holocene deposits at Quebrada Puripica, northern Chile. Palaeogeogr. Palaeoclimatol. Palaeoecol. 2003, 194, 207–222. [Google Scholar] [CrossRef]
  43. S.G.A. 2015 Estudio Hidrogeológico y Modelo Numérico Sector Sur del Salar de Atacama. Technical Report. Anexo F. Available online: https://www.mesamultiactor.cl/repositorio/2015_sga_est_ane_1/ (accessed on 6 July 2024).
  44. Herrera, C.; Custodio, E.; Chong, G.; Lambán, L.J.; Wilke, H.; Riquelme, R.; Jódar, J.; Urrutia, J.; Urqueta, H.; Gamboa, C.; et al. Groundwater flowing a closed basin with a saline shallow lake in a volcanic area: Laguna Tuyajto, northern Chilean Altiplano of the Andes. Sci. Total Environ. 2016, 541, 303–318. [Google Scholar] [CrossRef]
  45. Urrutia, J.; Herrera, C.; Custodio, E.; Jódar, J.; Medina, A. Groundwater recharge and hydrodynamics of complex volcanic aquifers with a shallow saline lake: Laguna Tuyajto, Andean Cordillera of northern Chile. Sci Total Environ. 2019, 697, 134116. [Google Scholar] [CrossRef]
  46. Fritz, P.; Silva Hennings, C.; Suzuki, O.; Salati, E. Isotope hydrology in northern Chile. In Isotope Hydrology 1978; International Atomic Energy Agency: Neuherberg, Germany, 1979. [Google Scholar]
  47. Aravena, R.; Salas, J.; Cornellà, O.; Guimerà, J.; von Igel, W.; Guzman, E.Y.; Tore, C. Application of isotopic and geochemical tracers on the evaluation of sources of water to lagoons in the Salar de Atacama Basin. In Proceedings of the WIM 2010, Water in Mining, II International Congress on Water Management in the Mining Industry, Santiago, Chile, 9–11 June 2010; pp. 47–54. [Google Scholar]
  48. Craig, H. Isotopic variations in meteoric waters. Science 1961, 133, 1833–1834. [Google Scholar] [CrossRef]
  49. Alvarez-Garreton, C.; Mendoza, P.A.; Boisier, J.P.; Addor, N.; Galleguillos, M.; Zambrano-Bigiarini, M.; Lara, A.; Puelma, C.; Cortes, G.; Garreaud, R.; et al. The CAMELS-CL dataset: Catchment attributes and meteorology for large sample studies—Chile dataset. Hydrol. Earth Syst. Sci. 2018, 22, 5817–5846. [Google Scholar] [CrossRef]
  50. Gat, J.R.; Bowser, C. The heavy isotope enrichment of water in coupled evaporative systems. In Stable Isotope Geochemistry: A Tribute to Samuel Epstein; Taylor, H.P., Jr., O’Neil, J.R., Kaplan, I.R., Eds.; Geochemical Society Special Publication: San Antonio, TX, USA, 1991; pp. 159–168. [Google Scholar]
  51. McKnight, S.V.; Boutt, D.F.; Munk, L.A.; Moran, B. Distinct hydrologic pathways regulate perennial surface water dynamics in a hyperarid basin. Water Resour. Res. 2023, 59, e2022WR034046. [Google Scholar] [CrossRef]
  52. Latorre, C.; Rech, J.; Quade, J.; Holmgren, C.; Placzek, C.; Maldonado, A.; Vuille, M.; Rylander, K. Late Quaternary History of the Atacama Desert; National Museum of Australia Press: Canberra, Australia, 2005. [Google Scholar]
  53. Krabbenhoft, D.P.; Bowser, C.J.; Anderson, M.P.; Valley, J.W. Estimating groundwater exchange with lakes: 1. The stable isotope mass balance method. Water Resour. Res. 1990, 26, 2445–2453. [Google Scholar] [CrossRef]
  54. Dingman, R.J. Geology and ground-water resources of the northern part of the salar de Atacama, Antofagasta Province, Chile. In U.S. Geological Survey, Bulletin; U.S. Government Publishing Office: Washington, DC, USA, 1967; p. 49. [Google Scholar]
  55. Díaz del Río, G.; Bonilla, R.; Peralta, F. Geología de Superficie, Sub-Superficie y Geoquímica del Salar de Atacama; Departamento de Recursos Hidráulicos, CORFO: Santiago, Chile, 1972; p. 162. [Google Scholar]
  56. Moraga, A.; Chong, G.; Fortt, M.A.; Henríquez, H. Estudio geológico del Salar de Atacama, provincia de Antofagasta. Inst. Invest. Geol. 1974, 29, 59. [Google Scholar]
  57. Bobst, A.L. A 106 ka Paleoclimate Record from the Salar de Atacama, Northern Chile. Master’s Thesis, Binghamton University, Binghamton, NY, USA, 1999; p. 110. [Google Scholar]
  58. Delgado, F.; Shreve, T.; Borgstrom, S.; León-Ibanez, P.; Poland, M. A global assessment of SAOCOM-1 L-band stripmap data for InSAR characterization of volcanic, tectonic, cryospheric, and anthropogenic deformation. IEEE Trans. Geosci. Remote Sens. 2024, 62, 1–21. [Google Scholar] [CrossRef]
Figure 2. Isopach map of the halite nucleus aquitard (Datum: UTM) (modified from Bevacqua [29]) and cross sections A–A’.
Figure 2. Isopach map of the halite nucleus aquitard (Datum: UTM) (modified from Bevacqua [29]) and cross sections A–A’.
Water 16 02651 g002
Figure 4. The evolution of the isotopic composition of δ18O and the piezometric drawdowns in the wells in the northern, central, and southern transects of the halite nucleus.
Figure 4. The evolution of the isotopic composition of δ18O and the piezometric drawdowns in the wells in the northern, central, and southern transects of the halite nucleus.
Water 16 02651 g004
Figure 6. The isotopic composition of δ18O and δ2H in the waters from the transects of the upper aquifer and the lower aquifer. GMWL = global meteoric water line [46,48].
Figure 6. The isotopic composition of δ18O and δ2H in the waters from the transects of the upper aquifer and the lower aquifer. GMWL = global meteoric water line [46,48].
Water 16 02651 g006
Figure 7. The northeastern part of the Salar de Atacama where the Soncor system of streams and lagoons is shown (Datum: UTM). The segmented black lines show the ancient paleocoastlines of the lagoons associated with the last wetter events of the Holocene, possibly occurring between 2.6 and 0.5 ka?
Figure 7. The northeastern part of the Salar de Atacama where the Soncor system of streams and lagoons is shown (Datum: UTM). The segmented black lines show the ancient paleocoastlines of the lagoons associated with the last wetter events of the Holocene, possibly occurring between 2.6 and 0.5 ka?
Water 16 02651 g007
Figure 8. The evolution of the brine stored in the halite nucleus. Note the increase in the thickness of the upper aquifer from the Holocene to the present. (a) Period of the last ephemeral lake (5.4 ± 2.7 ka); (b) Last wet period (2.6 to 0.5 ka?); (c) “Modern System” before brine extraction. More detail is found in the text. Exaggerated vertical scale.
Figure 8. The evolution of the brine stored in the halite nucleus. Note the increase in the thickness of the upper aquifer from the Holocene to the present. (a) Period of the last ephemeral lake (5.4 ± 2.7 ka); (b) Last wet period (2.6 to 0.5 ka?); (c) “Modern System” before brine extraction. More detail is found in the text. Exaggerated vertical scale.
Water 16 02651 g008
Figure 9. Current conceptual hydrogeological model of brine flow at upper part of halite nucleus. Exaggerated vertical scale.
Figure 9. Current conceptual hydrogeological model of brine flow at upper part of halite nucleus. Exaggerated vertical scale.
Water 16 02651 g009
Disclaimer/Publisher’s Note: The statements, opinions and data contained in all publications are solely those of the individual author(s) and contributor(s) and not of MDPI and/or the editor(s). MDPI and/or the editor(s) disclaim responsibility for any injury to people or property resulting from any ideas, methods, instructions or products referred to in the content.

Share and Cite

MDPI and ACS Style

Herrera, C.; Urrutia, J.; Godfrey, L.; Jódar, J.; Pereira, M.; Villarroel, C.; Durán, C.; Soto, I.; Lam, E.J.; Gómez, L. An Evaluation of the Brine Flow in the Upper Part of the Halite Nucleus of the Salar de Atacama (Chile) through an Isotopic Study of δ18O and δ2H. Water 2024, 16, 2651. https://doi.org/10.3390/w16182651

AMA Style

Herrera C, Urrutia J, Godfrey L, Jódar J, Pereira M, Villarroel C, Durán C, Soto I, Lam EJ, Gómez L. An Evaluation of the Brine Flow in the Upper Part of the Halite Nucleus of the Salar de Atacama (Chile) through an Isotopic Study of δ18O and δ2H. Water. 2024; 16(18):2651. https://doi.org/10.3390/w16182651

Chicago/Turabian Style

Herrera, Christian, Javier Urrutia, Linda Godfrey, Jorge Jódar, Mario Pereira, Constanza Villarroel, Camila Durán, Ivan Soto, Elizabeth J. Lam, and Luis Gómez. 2024. "An Evaluation of the Brine Flow in the Upper Part of the Halite Nucleus of the Salar de Atacama (Chile) through an Isotopic Study of δ18O and δ2H" Water 16, no. 18: 2651. https://doi.org/10.3390/w16182651

APA Style

Herrera, C., Urrutia, J., Godfrey, L., Jódar, J., Pereira, M., Villarroel, C., Durán, C., Soto, I., Lam, E. J., & Gómez, L. (2024). An Evaluation of the Brine Flow in the Upper Part of the Halite Nucleus of the Salar de Atacama (Chile) through an Isotopic Study of δ18O and δ2H. Water, 16(18), 2651. https://doi.org/10.3390/w16182651

Note that from the first issue of 2016, this journal uses article numbers instead of page numbers. See further details here.

Article Metrics

Back to TopTop