Study on Soil Stabilization and Slope Protection Effects of Different Plants on Fully Weathered Granite Backfill Slopes
Abstract
1. Introduction
2. Overview of the Study Area
3. Materials and Methods
3.1. Test Materials
3.1.1. Basic Properties of Fully Weathered Granite Backfill Soil
3.1.2. Herbaceous Plants
3.2. Test Method
3.2.1. Artificial Simulated Rainfall Test
3.2.2. Shear Strength Test
4. Results and Analysis
4.1. Analysis of Rainfall Erosion Test Results
4.1.1. Runoff Characteristics of Different Plant Slopes
4.1.2. Sediment Yield Characteristics of Different Plant Slopes
4.1.3. Cumulative Runoff and Sediment Production
4.1.4. Slope Erosion Characteristic
4.2. Analysis of Shear Strength Test Results of Root-Soil Composite
4.2.1. Analysis of Shear Stress and Shear Displacement Curves
4.2.2. Analysis of Shear Strength of Plain Soil under Different Moisture Contents
4.2.3. Analysis of Shear Strength of Root-Soil Composite under Different Root Content Rates
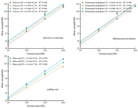
4.2.4. Analysis of Shear Strength Index
5. Conclusions
- (1)
- The runoff generation rate, sediment production rate, and cumulative runoff and sediment production of the three types of slopes under different gradients all show the trend of bare slope > Vetiver grass slope > Pennisetum hydridum slope. This indicates that both herbaceous plants have good soil and water conservation effects, and Pennisetum hydridum’s soil and water conservation effect is significantly better than that of Vetiver grass.
- (2)
- The root systems of both herbaceous plants can effectively improve the shear strength of the root-soil composite. With increasing root content, the shear strength of the Vetiver grass root-soil composite first increases. Then, it decreases, and an optimal root content of 1.44% maximizes the soil’s shear strength. The shear strength of the Pennisetum hydridum root-soil composite increases as the root content increases, reaching a maximum when the root content is at 1.41%. The root content primarily affects the cohesion of the soil, and its variation pattern is consistent with the variation pattern of shear strength; there is no significant effect on the internal friction angle. In general, Vetiver grass has a slightly better enhancement effect on soil shear strength than Pennisetum hydridum, and the reinforcement effect of roots on shallow soil is better than that of deep soil.
- (3)
- Both herbaceous plants have good soil stabilization and slope protection effects. The combined influence of hydrological and mechanical effects should be comprehensively considered in practical applications.
Author Contributions
Funding
Data Availability Statement
Acknowledgments
Conflicts of Interest
References
- Xu, H.; Li, T.B.; Zhou, X.H.; Zhang, R.B. Field tests on JYC ecological base material for slope protection in high-cold areas Chinese. J. Geotech. Eng. 2009, 31, 799–804. [Google Scholar]
- Zhou, P.D.; Zhang, J.Y. Vegetation Slope Protection Engineering Technology; China Communication Press: Beijing, China, 2003. [Google Scholar]
- Tosi, M. Root tensile strength relationships and their slope stability implications of three shrub species in the Northern Apennines (Italy). Geomorphology 2007, 87, 268–283. [Google Scholar] [CrossRef]
- Liu, W. Hydrological Effect of Plant Slope Protection and Its Influence on Slope Stability. Master’s Thesis, Central South University of Forestry and Technology, Changsha, China, 2017. [Google Scholar]
- Chen, J.; Lei, X.W.; Zhang, H.L.; Lin, Z.; Wang, H.; Hu, W. Laboratory model test study of the hydrological effect on granite residual soil slopes considering different vegetation types. Sci. Rep. 2021, 11, 14668. [Google Scholar] [CrossRef] [PubMed]
- Liang, Y.Z. Dissertation Submitted in Partial Fulfillment of the Requirements for the Master’s Degree of Hydraulic Engineering China. Master’s Thesis, Three Gorges University, Yichang, China, 2017. [Google Scholar]
- Li, J. The Evaluation of Plants Hydrological Effect and Slope Stability Contribution in the Loess Area of Xining Basin; Qinghai Institute of Salt Lakes, Chinese Academy of Sciences: Xining, China, 2022. [Google Scholar]
- He, W.P.; Hu, X.S.; Liu, C.Y.; Miu, X.X.; Wang, Y.X.; Fu, J.T.; Lu, H.J.; Xing, G.G.; Zhao, J.M.; Yang, F.C.; et al. Effect of Different Plants on Runoff and Sediment Yield and Shear Strength Loess Slope. Res. Soil Water Conserv. 2023, 30, 18–26. [Google Scholar]
- Jia, L.L.; Li, Z.B.; Li, P.; Yu, G.Q.; Chen, L. Study on Rainfall Runoff-Sediment Yield Under Modeling Rain Condition in the Loess Plateau. Res. Soil Water Conserv. 2010, 17, 1–5. [Google Scholar]
- Wang, L.R.; Yan, Y.; Shang, C.J.; Tan, J.; Yang, Y.Y. Soil Strengthening and Slope Protection Effect of Two Kinds of Herbaceous Plants on Red Clay Slope. Bull. Soil Water Conserv. 2024, 44, 146–154. [Google Scholar]
- Liu, Y.F.; Liu, Y.; Wu, G.L.; Shi, Z.H. Runoff maintenance and sediment reduction of different grasslands based on simulated rainfall experiments. J. Hydrol. 2019, 572, 329–335. [Google Scholar] [CrossRef]
- Xiao, T.; Li, P.; Hou, Y.F.; Liu, Y.M. Review on the vegetation slope protection technology. J. Eng. Geol. 2019, 27, 379–385. [Google Scholar]
- Huang, K.; Wan, J.W.; Chen, G.; Zeng, Y. Testing study of relationship between water content and shear strength of unsaturated soils. Rock Soil Mech. 2012, 33, 2600–2604. [Google Scholar]
- Chen, J.; Lei, X.W.; Huang, J.D.; Li, Y.; La, J.G.; Qiu, J.H. Experimental Research on Reinforcement Mechanism of HerbsRoot System on Granite Residual Soil Slope. J. Soil Water Conserv. 2018, 32, 104–108. [Google Scholar]
- Li, S.C.; Sun, H.L.; Yang, Z.R.; He, L.; Cui, B.S. Mechanical characteristics of interaction between root system of plants and rock for rock slope protection. Chin. J. Rock Mech. Eng. 2006, 25, 2051–2057. [Google Scholar]
- Li, Z.Y.; Ouyang, M.; Xiao, H.B.; Wang, J.S.; Li, T.; Liu, S.S. Improvement of slope soil consolidation capacity of plant root system based on regulation of root architecture. Rock Soil Mech. 2021, 42, 3271–3280+3290. [Google Scholar]
- Xu, H.; Yang, H.L.; Wang, X.Y.; Wang, D.; Chen, J.X.; Rong, C.Q. Influences of morphology and hierarchy of roots on mechanical characteristics of root-soil composites. Chin. J. Geotech. Eng. 2022, 44, 926–935. [Google Scholar]
- Meng, S.; Zhao, G.; Yang, Y. Impact of Plant Root Morphology on Rooted-Soil Shear Resistance Using Triaxial Testing. Adv. Civ. Eng. 2020, 2020, 8825828. [Google Scholar] [CrossRef]
- LI, Y.Z.; Fu, J.T.; Hu, X.S.; Yu, D.M.; Zhu, H.L.; Hu, X.T.; Li, G.Y. Experimental study of the influence of grain size on the shear strength of rooted soil. Chin. J. Rock Mech. Eng. 2016, 35, 403–412. [Google Scholar]
- Li, Z.Y.; Ouyang, M.; Xiao, H.B.; Lin, Y.L.; Yang, G.L. Influence of root growth configuration on shear strength of expansive soil slope. J. Cent. South Univ. (Sci. Technol.) 2022, 53, 181–189. [Google Scholar]
- Zhang, X.L.; Hu, X.S. Shear Characteristics of Reinforced Soil of Herb Roots in Loess Area of Northeast Qinghai-Tibetan Plateau. Bull. Soil Water Conserv. 2013, 33, 185–188. [Google Scholar]
- Yu, Y.; Liu, S.S.; Li, M.M.; Li, Z.X.; Yang, Q.Y. Strength Characteristics of Vetiver grass Root-Soil Complex on Red Clay Slope. Bull. Soil Water Conserv. 2021, 41, 97–102. [Google Scholar]
- Li, Y.Z.; Fu, J.T.; Yu, D.M.; Hu, X.S.; Zhu, H.L.; Li, G.G.; Hu, X.T. Mechanical effects of halophytes roots and optimal root content for slope protection in cold and arid environment. Chin. J. Rock Mech. Eng. 2015, 34, 1370–1383. [Google Scholar]
- Hai, L.; Tan, S.L.; Xu, B. Mechanical Properties of Medicago Sativa and Euphorbia Hypericifolia Root-Soil Complex. Bull. Soil Water Conserv. 2023, 43, 57–64. [Google Scholar]
- Liu, J.P.; Zhou, H.Y.; He, T.K.; Yu, J.N.; Zhang, K.; Pan, Y.C.; Liu, Q.S. Experimental study on the influence of root content on the shear strength of root-soil-rock composite—Taking Malus halliana koehne as an example. Chin. J. Rock Mech. Eng. 2023, 42, 3618–3628. [Google Scholar]
- Tian, H.J.; Kong, Z.G. Influence of Rainfall Intensity and Slope on the Slope Erosion of Longling Completely Weathered Granite. Appl. Sci. 2023, 13, 5295. [Google Scholar] [CrossRef]
- Zhang, H.M.; Li, Y.Q.; Yan, Y.F.; Kong, Z.G.; Ge, H.; Liu, Z.G.; Yang, Q.F. Ecological Protection Measures of Completely Weathered GraniteBackfill Slope Under Different Slope Conditions. J. Soil Water Conserv. 2022, 36, 156–162. [Google Scholar]
- Zhang, K.; Kong, Z.G.; Li, Y.Q.; Zou, J.; Jia, F.J.; Zhang, Y. Influence Factors and Interaction of Slope Erosion of CompletelyWeathered Granite Pipe Trench Backfill. J. Soil Water Conserv. 2023, 37, 52–58. [Google Scholar]
- Gao, K.; Kong, Z.; Li, Y. Experimental Study on Runoff and Sediment Production of the Fully Weathered Granite Backfill Slope under Heavy Rain in Longling, Yunnan Province. Sustainability 2024, 16, 1454. [Google Scholar] [CrossRef]
- GB/T 50123-2019; Standard for Geotechnical Testing Method. Ministry of Housing and Urban-Rural Development of the People’s Republic of China: Beijing, China, 2019.
- Chen, W.J. Study on the Influence of Vetiver Grass Grass on the Stability of Granite Residual Soil Slope. Master’s Thesis, Shantou University, Shantou, China, 2022. [Google Scholar]
- Zeng, Q.J.; Bi, S.M.; Hao, G.G.; Tang, X.J. Direct shearing test of rank vegetation roots solidifying the shallow layer of dredged soil. Port Waterw. Eng. 2023, 38–44. [Google Scholar] [CrossRef]
- Meng, J.; Li, X.A.; Zhao, X.K.; Liu, J.Y.; Wang, J.X. Uniformity of Remoulded Loess Samples Based on High Precision μCT Scanning. J. Chang. River Sci. Res. Inst. 2019, 36, 125–130. [Google Scholar]
- Wang, C.; Ma, J.; Wang, Y.; Li, Z.; Ma, B. The influence of wheat straw mulching and straw length on infiltration, runoff and soil loss. Hydrol. Process. 2022, 36, e14561. [Google Scholar] [CrossRef]
- Liang, Z.; Liu, H.; Zhao, Y.; Wang, Q.; Wu, Z.; Deng, L.; Gao, H. Effects of rainfall intensity, slope angle, and vegetation coverage on the erosion characteristics of Pisha sandstone slopes under simulated rainfall conditions. Environ. Sci. Pollut. Res. Int. 2020, 27, 17458–17467. [Google Scholar] [CrossRef]
- Li, J.Y.; Miu, X.X.; Wang, Y.X.; Yu, D.M.; Zhang, X.Y.; Li, J.Y. The Characteristics of Runoff and Sediment Yield on Slope Surface under Different Herbs and Slope Shapes in Loess Regions of Xining Basin. J. Salt Lake Res. 2022, 30, 33–45. [Google Scholar]
- Lei, X.J.; Ping, Y. The effect of bermuda grass root morphology on the displacement of slope. MATEC Web Conf. 2019, 275, 03004. [Google Scholar]
- Tang, H.; Yan, S.; Yang, X.H.; Wu, Z.J. Shear strength and microstructure of completely decomposed migmatitic granite under different water contents. Rock Soil Mech. 2022, 43, 55–66+76. [Google Scholar]
- Hu, N.; Liu, J.; Yao, X.J.; Yuan, S.J.; Zhou, D.D.; Zhang, G. Effect of Caragana micro phylla Roots on Geotechnical Properties of Three Soil Types Under Fast Shear Condition. J. Soil Water Conserv. 2014, 28, 106–111. [Google Scholar]
- Liao, B.; Liu, J.P.; Zhou, H.Y. Effects of the Influence of Root Content on the Shear Strength of Root-Soil Composite of Bischofia javanica. J. Soil Water Conserv. 2021, 35, 104–110+118. [Google Scholar]
- Wang, C.F.; Zhang, S.H.; Wang, B.; Wang, Y.J.; Wang, Y.Q.; Hu, B.; Wang, K. Study on Critical Hydraulic Characteristic of Soil Detachment and Soil Shear Strength Under Different Antecedent Soil Moisture Contents. J. Soil Water Conserv. 2017, 31, 91–96+102. [Google Scholar]













| Soil Name | Natural Density/g·cm−3 | Dry Density /g·cm−3 | Natural Moisture Content/% | Volumetric Weight /KN·m−3 | Plastic Limit /% | Liquid Limit /% | Natural Void Ratio | 
|---|---|---|---|---|---|---|---|
| Completely weathered granite backfill soil | 1.78 | 1.52 | 14.9 | 17.8 | 21.3 | 30.9 | 0.733 | 
| Sample Shape | Moisture Content /% | Root Ratio /% | Root Diameter /mm | 
|---|---|---|---|
| Plain soil | 15% | - | - | 
| 19% | - | - | |
| 23% | - | - | |
| Vetiver grass | 15% | 0.48 | 0∼2.5 | 
| 0.96 | 0∼2.5 | ||
| 1.44 | 0∼2.5 | ||
| 1.92 | 0∼2.5 | ||
| Pennisetum hydridum | 15% | 0.72 | 0∼3.0 | 
| 0.95 | 0∼3.0 | ||
| 1.18 | 0∼3.0 | ||
| 1.41 | 0∼3.0 | 
| Sample Shape | Moisture Content /% | Root Ratio /% | Shear Strength/kPa | |||
|---|---|---|---|---|---|---|
| 50 kPa | 100 kPa | 150 kPa | 200 kPa | |||
| Plain soil without root | 15% | - | 43.09 | 80.17 | 114.99 | 147.35 | 
| 19% | - | 38.91 | 77.27 | 108.41 | 138.08 | |
| 23% | - | 38.91 | 69.90 | 104.87 | 126.35 | |
| Vetiver grass | 15% | 0.48 | 43.27 | 80.72 | 114.90 | 146.35 | 
| 0.96 | 45.91 | 83.72 | 125.44 | 148.02 | ||
| 1.44 | 52.09 | 90.99 | 129.99 | 152.44 | ||
| 1.92 | 51.18 | 88.63 | 126.62 | 150.71 | ||
| Pennisetum hydridum | 15% | 0.72 | 43.53 | 82.54 | 115.33 | 149.08 | 
| 0.95 | 44.44 | 83.17 | 127.94 | 148.99 | ||
| 1.18 | 49.25 | 87.45 | 130.50 | 149.71 | ||
| 1.41 | 51.46 | 86.36 | 130.60 | 150.92 | ||
| Slope | Slope Type | Cumulative Runoff Volume/L | Cumulative Sediment Yield/g | Reduction Range of Sediment Yield/% | 
|---|---|---|---|---|
| 15° | bare slope | 40.85 | 1084.10 | - | 
| Vetiver grass slope | 39.80 | 469.13 | 56.73 | |
| Pennisetum hydridum slope | 28.45 | 233.59 | 78.45 | |
| 30° | Bare slope | 30.95 | 2258.20 | - | 
| Vetiver grass slope | 28.70 | 901.34 | 60.09 | |
| Pennisetum hydridum slope | 20.60 | 542.71 | 75.97 | 
| Sample Shape | Moisture Content/% | Root Ratio/% | Cohesion/kPa | Increment of Cohesion/kPa | Cohesion Growth Rate/% | Internal Friction Angle/° | 
|---|---|---|---|---|---|---|
| Plain soil | 15% | - | 9.50 | 1.54 | 18.1 | 30.7 | 
| 19% | - | 8.51 | 0.55 | 6.9 | 33.3 | |
| 23% | - | 7.96 | 0.00 | 0.0 | 34.8 | |
| Vetiver grass | 15% | 0.48 | 10.45 | 0.95 | 10.0 | 32.4 | 
| 0.96 | 13.75 | 4.25 | 44.8 | 32.8 | ||
| 1.44 | 21.36 | 11.86 | 124.9 | 33.5 | ||
| 1.92 | 20.14 | 10.64 | 112.0 | 32.9 | ||
| Pennisetum hydridum | 15% | 0.72 | 10.26 | 0.76 | 8.0 | 32.4 | 
| 0.95 | 11.53 | 2.03 | 21.4 | 33.2 | ||
| 1.18 | 18.11 | 8.61 | 90.7 | 33.9 | ||
| 1.41 | 19.17 | 9.67 | 101.8 | 34.1 | 
| Disclaimer/Publisher’s Note: The statements, opinions and data contained in all publications are solely those of the individual author(s) and contributor(s) and not of MDPI and/or the editor(s). MDPI and/or the editor(s) disclaim responsibility for any injury to people or property resulting from any ideas, methods, instructions or products referred to in the content. | 
© 2024 by the authors. Licensee MDPI, Basel, Switzerland. This article is an open access article distributed under the terms and conditions of the Creative Commons Attribution (CC BY) license (https://creativecommons.org/licenses/by/4.0/).
Share and Cite
Liao, Y.; Li, H.; Gao, K.; Ni, S.; Li, Y.; Chen, G.; Kong, Z. Study on Soil Stabilization and Slope Protection Effects of Different Plants on Fully Weathered Granite Backfill Slopes. Water 2024, 16, 2548. https://doi.org/10.3390/w16172548
Liao Y, Li H, Gao K, Ni S, Li Y, Chen G, Kong Z. Study on Soil Stabilization and Slope Protection Effects of Different Plants on Fully Weathered Granite Backfill Slopes. Water. 2024; 16(17):2548. https://doi.org/10.3390/w16172548
Chicago/Turabian StyleLiao, Yongyan, Hua Li, Kai Gao, Songyan Ni, Yanqing Li, Gang Chen, and Zhigang Kong. 2024. "Study on Soil Stabilization and Slope Protection Effects of Different Plants on Fully Weathered Granite Backfill Slopes" Water 16, no. 17: 2548. https://doi.org/10.3390/w16172548
APA StyleLiao, Y., Li, H., Gao, K., Ni, S., Li, Y., Chen, G., & Kong, Z. (2024). Study on Soil Stabilization and Slope Protection Effects of Different Plants on Fully Weathered Granite Backfill Slopes. Water, 16(17), 2548. https://doi.org/10.3390/w16172548
 
        




 
       