Scale Effects of Landscape Patterns on Nitrogen and Phosphorus Pollution in Yanshan River Basin, Guilin, China
Abstract
1. Introduction
2. Materials and Methods
2.1. Study Area
2.2. Water Sampling and Water Quality Analysis
2.3. Characterization of Landscape Patterns
2.3.1. Classification of Land Use in the YRB
2.3.2. Selection and Calculation of Landscape Indices
2.4. Statistical Analysis
3. Results
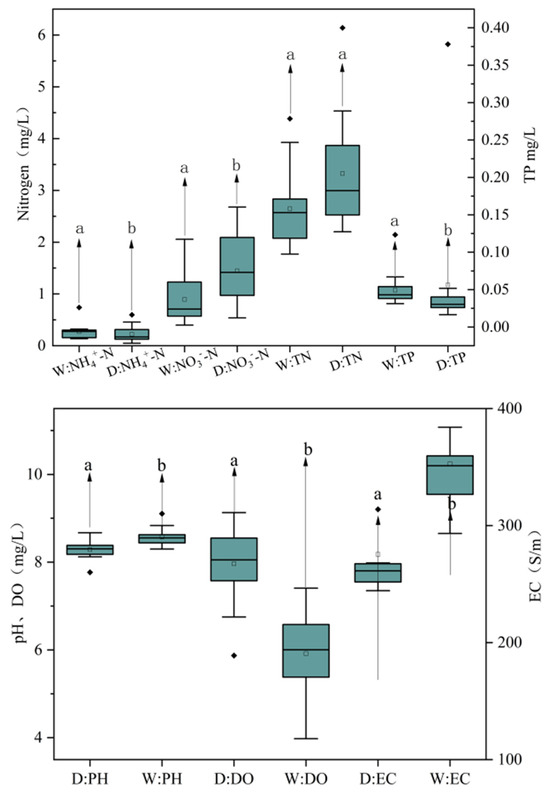
3.1. Nitrogen and Phosphorus Pollution of Water Bodies in the YRB
3.2. Landscape Types of Different Sub-Watersheds in the YRB
3.3. Landscape Indices in Sub-Watersheds of the YRB
3.4. Relationships between Water Quality and Landscape Patterns
3.4.1. Correlations between Water Quality and Landscape Composition Indices
3.4.2. Relationships between Water Quality and Landscape Configuration Indices
3.4.3. Contributions of Landscape Pattern Features to Water Quality in the YRB
4. Discussion
4.1. Influencing Factors of Seasonal Variations in Water Quality
4.2. Relationship between Landscape Composition and Water Quality Indicators
4.3. Relationship between Landscape Configuration Indices and Water Quality
5. Conclusions
Author Contributions
Funding
Data Availability Statement
Conflicts of Interest
Abbreviations
| YRB | Yanshan River Basin |
| NPS | Non-point source |
| W | Wet season |
| D | Dry season |
References
- De Oliveira, L.M.; Maillard, P.; de Andrade Pinto, E.J. Application of a land cover pollution index to model non-point pollution sources in a Brazilian watershed. Catena 2017, 150, 124–132. [Google Scholar] [CrossRef]
- Sun, X.; Zhang, H.; Zhong, M.; Wang, Z.; Liang, X.; Huang, T.; Huang, H. Analyses on the Temporal and Spatial Characteristics of Water Quality in a Seagoing River Using Multivariate Statistical Techniques: A Case Study in the Duliujian River, China. Int. J. Environ. Res. Public Health 2019, 16, 1020. [Google Scholar] [CrossRef] [PubMed]
- Yue, Y.; Cheng, H.; Yang, S.T.; Hao, F. Estimation and evaluation of non-point source pollution load in Songhua River Basin. Sci. Geogr. Sin. 2007, 27, 231–236. (In Chinese) [Google Scholar]
- Ouyang, W.; Skidmore, A.K.; Toxopeus, A.G.; Hao, F. Long-term vegetation landscape pattern with non-point source nutrient pollution in upper stream of Yellow River basin. J. Hydrol. 2010, 389, 373–380. [Google Scholar] [CrossRef]
- Wu, J.; Lu, J. Landscape patterns regulate non-point source nutrient pollution in an agricultural watershed. Sci. Total Environ. 2019, 669, 377–388. [Google Scholar] [CrossRef] [PubMed]
- Hassan, Z.U.; Shah, J.A.; Kanth, T.A.; Pandit, A.K. Influence of land use/land cover on the water chemistry of Wular Lake in Kashmir Himalaya (India). Ecol. Process. 2015, 4, 9. [Google Scholar] [CrossRef]
- Dai, X.; Zhou, Y.; Ma, W.; Zhou, L. Influence of spatial variation in land-use patterns and topography on water quality of the rivers inflowing to Fuxian Lake, a large deep lake in the plateau of southwestern China. Ecol. Eng. 2017, 99, 417–428. [Google Scholar] [CrossRef]
- Zhang, F.; Chen, Y.; Wang, W.; Jim, C.; Zhang, Z.; Tan, M.L.; Liu, C.; Chan, N.; Wang, D.; Wang, Z.; et al. Impact of land-use/land-cover and landscape pattern on seasonal in-stream water quality in small watersheds. J. Clean. Prod. 2022, 357, 131907. [Google Scholar] [CrossRef]
- Wang, R.; Xu, T.; Yu, L.; Zhu, J.; Li, X. Effects of land use types on surface water quality across an anthropogenic disturbance gradient in the upper reach of the Hun River, Northeast China. Environ. Monit. Assess. 2013, 185, 4141–4151. [Google Scholar] [CrossRef]
- Li, H.; Huang, Y.; Guo, W.; Hou, H.; Fan, M.; Qi, X.; Jia, P.; Guo, Q. Effects of land use and spatial pattern on water quality in Hehuang Valley at different spatial and temporal scales. Environ. Sci. 2022, 43, 4042–4053. (In Chinese) [Google Scholar]
- Townsend, C.R.; Dolédec, S.; Norris, R.; Peacock, K.; Arbuckle, C. The influence of scale and geography on relationships between stream community composition and landscape variables: Description and prediction. Freshw. Biol. 2010, 48, 768–785. [Google Scholar] [CrossRef]
- Turner Goigel, M. Landscape Ecology: The Effect of Pattern on Process. Annu. Rev. Ecol. Syst. 1989, 20, 171–197. [Google Scholar] [CrossRef]
- Beckert, K.A.; Fisher, T.R.; O’Neil, J.M.; Jesien, R.V. Characterization and Comparison of Stream Nutrients, Land Use, and Loading Patterns in Maryland Coastal Bay Watersheds. Water Air Soil Pollut. 2011, 221, 255–273. [Google Scholar] [CrossRef]
- Uriarte, M.; Yackulic, C.B.; Lim, Y.; Arce-Nazario, J.A. Influence of land use on water quality in a tropical landscape: A multi-scale analysis. Landsc. Ecol. 2011, 26, 1151–1164. [Google Scholar] [CrossRef] [PubMed]
- Stryjecki, R.; Zawal, A.; Stępień, E.; Buczyńska, E.; Buczyński, P.; Czachorowski, S.; Szenejko, M.; Śmietana, P. Water mites (Acari, Hydrachnidia) of water bodies of the Krąpiel River valley: Interactions in the spatial arrangement of a river valley. Limnology 2016, 17, 247–261. [Google Scholar] [CrossRef]
- Teixeira, Z.; Marques, J.C. Relating landscape to stream nitrate-N levels in a coastal eastern-Atlantic watershed (Portugal). Ecol. Indic. 2016, 61, 693–706. [Google Scholar] [CrossRef]
- Rajaei, F.; Sari, A.E.; Salmanmahiny, A.; Delavar, M.; Bavani, A.; Srinivasan, R. Surface drainage nitrate loading estimate from agriculture fields and its relationship with landscape metrics in Tajan watershed. Paddy Water Environ. 2017, 15, 541–552. [Google Scholar] [CrossRef]
- Valjarević, A. GIS-Based Methods for Identifying River Networks Types and Changing River Basins. Water Resour. Manag. 2024, 221, 255–273. [Google Scholar] [CrossRef]
- Griffith, J.A. Geographic Techniques and Recent Applications of Remote Sensing to Landscape-Water Quality Studies. Water Air Soil Pollut. 2002, 138, 181–197. [Google Scholar] [CrossRef]
- Fan, Z.; Liu, J.; Yue, Z.; Feng, K.; Wang, Q.; Li, F.; Tu, Z. Spatial heterogeneity of water quality and its response to land use in Puhe River Basin. Chin. J. Ecol. 2018, 37, 1144–1151. (In Chinese) [Google Scholar]
- Goldstein, R.M.; Carlisle, D.M.; Meador, M.R.; Short, T.M. Can basin land use effects on physical characteristics of streams be determined at broad geographic scales? Environ. Monit. Assess. 2007, 130, 495–510. [Google Scholar] [CrossRef]
- Zhang, J.J.; Gurkan, Z.; Rgensen, S.E. Application of eco-exergy for assessment of ecosystem health and development of structurally dynamic models. Ecol. Model. 2010, 221, 693–702. [Google Scholar] [CrossRef]
- Meneses, B.M.; Reis, R.; Vale, M.J.; Saraiva, R. Land use and land cover changes in Zêzere watershed (Portugal)—Water quality implications. Sci. Total Environ. 2015, 527–528, 439–447. [Google Scholar] [CrossRef] [PubMed]
- Ding, J.; Jiang, Y.; Liu, Q.; Hou, Z.; Liao, J.; Fu, L.; Peng, Q. Influences of the land use pattern on water quality in low-order streams of the Dongjiang River basin, China: A multi-scale analysis. Sci. Total Environ. 2016, 551–552, 205–216. [Google Scholar] [CrossRef]
- Shehab, Z.N.; Jamil, N.R.; Aris, A.Z.; Shafie, N.S. Spatial variation impact of landscape patterns and land use on water quality across an urbanized watershed in Bentong, Malaysia. Ecol. Indic. 2021, 122, 107254. [Google Scholar] [CrossRef]
- Guo, Y.; Li, S.; Liu, R.; Zhang, J. Relationship between landscape pattern and water quality of the multi-scale effects in the Yellow River Basin. J. Lake Sci. 2021, 33, 737–748. (In Chinese) [Google Scholar]
- Zhu, Y.; Wang, Y. Spatial scale effects of landscape pattern on water quality change in Yangcheng Lake Watershed. Bull. Soil Water Conserv. 2021, 41, 105–113. (In Chinese) [Google Scholar]
- Wei, P.; Lei, Q.; Ying, Z.; Xu, Q.; Du, X.; Luo, J.; An, M. Effect of landscape pattern on river water quality under different regional delineation methods: A case study of Northwest Section of the Yellow River in China. J. Hydrol. Reg. Stud. 2023, 50, 101536. [Google Scholar] [CrossRef]
- Khan, H.H.; Khan, A.; Ahmed, S.; Perrin, J. GIS-based impact assessment of land-use changes on groundwater quality: Study from a rapidly urbanizing region of South India. Environ. Earth Sci. 2011, 63, 1289–1302. [Google Scholar] [CrossRef]
- Li, K.; Chi, G.G.; Wang, L.; Xie, Y.; Wang, X.; Fan, Z. Identifying the critical riparian buffer zone with the strongest linkage between landscape characteristics and surface water quality. Ecol. Indic. 2018, 93, 741–752. [Google Scholar] [CrossRef]
- Guilin, Y.; District Local Chronicles Compilation Committee. Yanshan Yearbook (2019); Thing-Bound Book Bureau: Beijing, China, 2019; Volume 11, pp. 1–2. [Google Scholar]
- Liu, S.; Lou, S.; Kuang, C.; Huang, W.; Chen, W.; Zhang, J.; Zhong, G. Water quality assessment by pollution-index method in the coastal waters of Hebei Province in western Bohai Sea, China. Mar. Pollut. Bull. 2011, 62, 2220–2229. [Google Scholar] [CrossRef] [PubMed]
- Qiao, G.; Zhou, Y.; Gu, Z.; He, J. Correlation between landscape pattern characteristics and water quality in pits and ponds in southern Jiangsu. Trans. Chin. Soc. Agric. Eng. 2021, 37, 224–234. (In Chinese) [Google Scholar]
- GB3838-2002; Environmental Quality Standards for Surface Water in China. Ministry of Ecology and Environment of People’s Republic of China: Beijing, China, 2002.
- Liu, S.H.; Wu, C.J.; Shen, H.Q. A GIS based Model of Urban Land Use Growth in Beijing. Acta Geogr. Sin. 2000, 55, 407–416. (In Chinese) [Google Scholar]
- Worese, A.T. Urban Layout Planning for African Cities by GIS Based Cellular Automata: Case of Ouagadougou, Burkina Faso; Wageningen University: Wageningen, The Netherlands, 2004. [Google Scholar]
- Zhu, G.W. Spatio-temporal distribution pattern of water quality in Lake Taihu and its relation with cyanobacterial blooms. Resour. Environ. Yangtze Basin 2009, 18, 439–445. (In Chinese) [Google Scholar]
- Liu, Z.; Wang, X.; Jia, S.; Mao, B. Multi-methods to investigate spatiotemporal variations of nitrogen-nitrate and its risks to human health in China’s largest fresh water lake (Poyang Lake). Sci. Total Environ. 2023, 863, 160975. [Google Scholar] [CrossRef]
- Yi, J.; Xu, F.; Gao, Y.; Xiang, L.; Mao, X. Variations of water quality of the major 22 inflow rivers since 2007 and impacts on Lake Taihu. J. Lake Sci. 2016, 28, 1167–1174. (In Chinese) [Google Scholar]
- Tian, L.; Zhu, X.; Wang, L.; Du, P.; Peng, F.; Pang, Q. Long-term trends in water quality and influence of water recharge and climate on the water quality of brackish-water lakes: A case study of Shahu Lake. J. Environ. Manag. 2020, 276, 111290. [Google Scholar] [CrossRef] [PubMed]
- Ye, Y.; He, X.; Chen, W.; Yao, J.; Yu, S.; Jia, L. Seasonal water quality upstream of Dahuofang reservoir, China—The effects of land use type at various spatial scales. Clean–Soil Air Water 2014, 42, 1423–1432. [Google Scholar] [CrossRef]
- Bu, H.M.; Meng, W.; Zhang, Y.; Wan, J. Relationships between land use patterns and water quality in the Taizi River basin, China. Ecol. Indic. 2014, 41, 187–197. [Google Scholar] [CrossRef]
- Cheng, X.; Song, J.; Yan, J. Influences of landscape pattern on water quality at multiple scales in an agricultural basin of western China. Environ. Pollut. 2023, 319, 120986. [Google Scholar] [CrossRef]
- Jia, Z.L.; Chang, X.; Duan, T.T.; Wang, X.; Wei, T.; Li, Y. Water quality responses to rainfall and surrounding land uses in urban lakes. J. Environ. Manag. 2021, 298, 113514. [Google Scholar] [CrossRef] [PubMed]
- Zhang, H.M.; Xu, Q.T.; Zhang, M.K. Application of different management measures to reduce runoff losses of nitrogen, phosphorus and copper from orchard in dense river network plain. Trans. Chin. Soc. Agric. Eng. 2014, 30, 132–138. (In Chinese) [Google Scholar]
- Evans, D.M.; Schoenholtz, S.H.; Wigington, P.J.; Griffith, S.M.; Floyd, W.C. Spatial and temporal patterns of dissolved nitrogen and phosphorus in surface waters of a multi-land use basin. Environ. Monit. Assess. 2014, 186, 873–887. [Google Scholar] [CrossRef] [PubMed]
- Dambeniece-Migliniece, L.; Veinbergs, A.; Lagzdins, A. The impacts of agricultural land use on nitrogen and phosphorus loads in the Mellupite catchment. Energy Procedia 2018, 147, 189–194. [Google Scholar] [CrossRef]
- Pärn, J.; Henine, H.; Kasak, K.; Kauer, K.; Sohar, K.; Tournebize, J.; Uuemaa, E.; Välik, K.; Mander, Ü. Nitrogen and phosphorus discharge from small agricultural catchments predicted from land use and hydroclimate. Land Use Policy 2018, 75, 260–268. [Google Scholar] [CrossRef]
- Doody, D.G.; Withers, P.J.; Dils, R.M.; McDowell, R.W.; Smith, V.; McElarney, Y.R.; Dunbar, M.; Daly, D. Optimizing land use for the delivery of catchment ecosystem services. Front. Ecol. Environ. 2016, 14, 325–332. [Google Scholar] [CrossRef]
- Lü, L.; Zhang, J.; Sun, C.; Wang, X.; Zheng, D. Landscape ecological risk assessment of Xi river Basin based on land-use change. Acta Ecol. Sin. 2018, 38, 5952–5960. (In Chinese) [Google Scholar]
- Wang, L.; Shang, S.; Liu, W.; Liu, W.; She, D.; Hu, W.; Liu, Y. Hydrodynamic controls on nitrogen distribution and removal in aquatic ecosystems. Water Res. 2023, 242, 120257. [Google Scholar] [CrossRef]











| Grade | Comprehensive Pollution Index | Pollution Degree |
|---|---|---|
| 1 | Pm ≤ 0.7 | Clean |
| 2 | 0.7 < Pm ≤ 1.0 | Generally clean |
| 3 | 1.0 < Pm ≤ 2.0 | Slightly polluted |
| 4 | 2.0 < Pm ≤ 3.0 | Moderately polluted |
| 5 | Pm > 3.0 | Strongly polluted |
| Landscape Pattern Scale | Name | Description |
|---|---|---|
| Landscape composition indices | Water body | Water body area ratio |
| Cultivated land | Cultivated land area ratio | |
| Building | Building area ratio | |
| Orchard | Orchard area ratio | |
| Forest | Forest area ratio | |
| Landscape configuration indices | PD | Number of patches per unit area (100 hm2) |
| LPI | Percentage of the largest patch area of the total landscape area | |
| PLAND | Patch-area to total-area ratio | |
| ED | Direct reflection of the degree of landscape fragmentation | |
| PAFRAC | Complexity of traits at different spatial scales | |
| AI | Connectivity between patches of each landscape type |
| Wet Seasons | |||||||||||
| Sub-Watershed No. | Single-Factor Pollution Index | Comprehensive Pollution Index | Sub-Watershed No. | Single-Factor Pollution Index | Comprehensive Pollution Index | ||||||
| TN | NH4+-N | TP | DO | TN | NH4+-N | TP | DO | ||||
| 1 | 4.38 | 0.74 | 0.62 | 0.73 | 3.30 | 10, 11, 12 | 2.39 | 0.27 | 0.19 | 0.79 | 1.81 |
| 2 | 3.93 | 0.29 | 0.21 | 0.72 | 2.92 | 13 | 2.77 | 0.30 | 0.19 | 0.67 | 2.08 |
| 4 | 2.83 | 0.30 | 0.27 | 0.79 | 2.13 | 14 | 3.05 | 0.16 | 0.16 | 0.93 | 2.29 |
| 5 | 2.75 | 0.28 | 0.22 | 0.88 | 2.08 | 15 | 3.52 | 0.19 | 0.18 | 0.76 | 2.62 |
| 6 | 1.82 | 0.23 | 0.20 | 1.26 | 1.43 | 17, 18 | 2.27 | 0.32 | 0.23 | 1.04 | 1.74 |
| 7 | 2.83 | 0.31 | 0.34 | 0.80 | 2.14 | 19 | 1.77 | 0.16 | 0.29 | 0.87 | 1.36 |
| 8 | 2.27 | 0.21 | 0.16 | 0.92 | 1.73 | 20 | 2.08 | 0.14 | 0.16 | 0.96 | 1.58 |
| 9 | 3.31 | 0.19 | 0.15 | 0.88 | 2.48 | 21 | 1.92 | 0.15 | 0.22 | 0.76 | 1.46 |
| Dry Seasons | |||||||||||
| 1 | 6.13 | 0.60 | 1.89 | 0.60 | 4.64 | 10, 11, 12 | 2.65 | 0.35 | 0.17 | 0.58 | 1.99 |
| 2 | 3.71 | 0.16 | 0.26 | 0.55 | 2.75 | 13 | 2.78 | 0.17 | 0.18 | 0.59 | 2.07 |
| 4 | 4.03 | 0.09 | 0.19 | 0.55 | 2.97 | 14 | 3.87 | 0.18 | 0.12 | 0.64 | 2.86 |
| 5 | 2.20 | 0.31 | 0.13 | 0.66 | 1.66 | 15 | 1.59 | 0.21 | 0.25 | 0.58 | 1.22 |
| 6 | 2.41 | 0.21 | 0.14 | 0.85 | 1.82 | 17, 18 | 2.99 | 0.46 | 0.21 | 0.74 | 2.25 |
| 7 | 3.00 | 0.15 | 0.20 | 0.66 | 2.24 | 19 | 4.53 | 0.05 | 0.08 | 0.58 | 3.34 |
| 8 | 2.47 | 0.17 | 0.14 | 0.65 | 1.85 | 20 | 2.52 | 0.13 | 0.14 | 0.61 | 1.88 |
| 9 | 1.07 | 0.09 | 0.18 | 0.66 | 0.83 | 21 | 3.26 | 0.10 | 0.12 | 0.63 | 2.41 |
| Seasons | Explained Variation (%) | Explanatory Variables (Contribution %) | |||
|---|---|---|---|---|---|
| Axis 1 | Axis 2 | Axis 3 | Axis 4 | ||
| Dry seasons | 52.5 | 81.5 | 91.5 | 96.9 | LPI_building-land (30.8%), AI_building-land (23.2%), PD_building-land (8.9%), and dry field (4.4%) |
| Wet seasons | 61.7 | 79.8 | 87.6 | 94.4 | LPI_building-land (34.3%), AI_building-land (23.8%), ED_forest (12.1%), ED_cultivated land (7.6%), and PLAND_arid (7%) |
Disclaimer/Publisher’s Note: The statements, opinions and data contained in all publications are solely those of the individual author(s) and contributor(s) and not of MDPI and/or the editor(s). MDPI and/or the editor(s) disclaim responsibility for any injury to people or property resulting from any ideas, methods, instructions or products referred to in the content. |
© 2024 by the authors. Licensee MDPI, Basel, Switzerland. This article is an open access article distributed under the terms and conditions of the Creative Commons Attribution (CC BY) license (https://creativecommons.org/licenses/by/4.0/).
Share and Cite
Fang, Z.; Fang, R.; Xu, B.; Xue, P.; Zou, C.; Huang, J.; Xu, Q.; Dai, J. Scale Effects of Landscape Patterns on Nitrogen and Phosphorus Pollution in Yanshan River Basin, Guilin, China. Water 2024, 16, 2472. https://doi.org/10.3390/w16172472
Fang Z, Fang R, Xu B, Xue P, Zou C, Huang J, Xu Q, Dai J. Scale Effects of Landscape Patterns on Nitrogen and Phosphorus Pollution in Yanshan River Basin, Guilin, China. Water. 2024; 16(17):2472. https://doi.org/10.3390/w16172472
Chicago/Turabian StyleFang, Zhongjie, Rongjie Fang, Baoli Xu, Pengwei Xue, Chuanlin Zou, Jianhua Huang, Qinxue Xu, and Junfeng Dai. 2024. "Scale Effects of Landscape Patterns on Nitrogen and Phosphorus Pollution in Yanshan River Basin, Guilin, China" Water 16, no. 17: 2472. https://doi.org/10.3390/w16172472
APA StyleFang, Z., Fang, R., Xu, B., Xue, P., Zou, C., Huang, J., Xu, Q., & Dai, J. (2024). Scale Effects of Landscape Patterns on Nitrogen and Phosphorus Pollution in Yanshan River Basin, Guilin, China. Water, 16(17), 2472. https://doi.org/10.3390/w16172472

