Quantifying Land Degradation in Upper Catchment of Narmada River in Central India: Evaluation Study Utilizing Landsat Imagery
Abstract
1. Introduction
2. Materials and Methods
2.1. Study Location
2.2. Data Collection
2.3. Methodologies Adopted
2.3.1. LULC Classification
2.3.2. Change Detection Analysis
2.3.3. Conversion of a Digital Number to Visibility LST Using Landsat 5 Thematic Mapper
2.3.4. Radiance to Satellite Temperature Conversion
2.3.5. Obtaining the Ground Surface’s Emissivity
2.3.6. Normalized Difference Vegetation Index (NDVI)
2.3.7. NDVI Estimate for Measuring Land Degradation
2.3.8. Drivers of Land Degradation and Land Degradation Vulnerability
3. Results and Discussion
3.1. Evaluation of the LULC Classification’s Accuracy
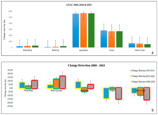
3.2. The LULC’s Spatial and Temporal Pattern
3.3. Land Surface Temperature Variation between 2000 and 2022
3.4. Evaluation of the LST Estimate
3.5. Spatial Trend between LST, NDVI, and LULC Relationship
3.6. Land Degradation Vulnerability Index (LDVI) Analysis
3.7. Future Perspective: An Integrated Narmada River Basin Restoration Approach for Degraded Land Reclamation
4. Conclusions
Supplementary Materials
Author Contributions
Funding
Data Availability Statement
Conflicts of Interest
References
- UNCCD. Towards a Land Degradation Neutral World: A Sustainable Development Priority. Available online: https://www.unccd.int/land-and-life/land-degradation-neutrality/overview (accessed on 26 August 2024).
- Sims, N.C.; Barger, N.N.; Metternicht, G.I.; England, J.R. A land degradation interpretation matrix for reporting on UN SDG indicator 15.3. 1 and land degradation neutrality. Environ. Sci. Policy 2020, 114, 1–6. [Google Scholar] [CrossRef]
- Stavi, I.; Lal, R. Achieving zero net land degradation: Challenges and opportunities. J. Arid. Environ. 2014, 112, 44–51. [Google Scholar] [CrossRef]
- Mythili, G.; Goedecke, J. Economics of land degradation in India. In Economics of Land Degradation and Improvement—A Global Assessment for Sustainable Development; Springer: Cham, Switzerland, 2016; pp. 431–469. [Google Scholar] [CrossRef]
- Adoni, A.D.; Yadav, M. Chemical and productional characteristics of Potamogelon pectinutus (Linn.) and Hydrilla verticillata (Royle) in a eutrophic lake. In Proceedings of the National Symposium on Pure and Applied Limnology; Journal of the Botanical Society, University of Saugar: Sagar, India, 1985; pp. 96–105. [Google Scholar]
- Akpor, O.B.; Ohiobor, G.O.; Olaolu, D.T. Heavy metal pollutants in wastewater effluents: Sources, effects and remediation. Adv. Biosci. Bioeng. 2014, 2, 37–43. Available online: https://eprints.lmu.edu.ng/id/eprint/1012 (accessed on 12 October 2023). [CrossRef]
- Ridding, L.E.; Watson, S.C.; Newton, A.C.; Rowland, C.S.; Bullock, J.M. Ongoing, but slowing, habitat loss in a rural landscape over 85 years. Landsc. Ecol. 2020, 35, 257–273. [Google Scholar] [CrossRef]
- Tittensor, D.P.; Walpole, M.; Hill, S.L.; Boyce, D.G.; Britten, G.L.; Burgess, N.D.; Butchart, S.H.; Leadley, P.W.; Regan, E.C.; Alkemade, R.; et al. A midterm analysis of progress toward international biodiversity targets. Science 2014, 346, 241–244. [Google Scholar] [CrossRef] [PubMed]
- Hooftman, D.A.; Bullock, J.M. Mapping to inform conservation: A case study of changes in semi-natural habitats and their connectivity over 70 years. Biol. Conserv. 2012, 145, 30–38. [Google Scholar] [CrossRef]
- Thakur, T.; Swamy, S.L.; Thakur, A.; Mishra, A.; Bakshi, S.; Kumar, A.; Kumar, R. Land cover changes and carbon dynamics in Central India’s dry tropical forests: A 25-year assessment and nature-based eco-restoration approaches. J. Environ. Manag. 2024, 351, 119809. [Google Scholar] [CrossRef]
- Jamal, S.; Ahmad, W.S. Assessing land use land cover dynamics of wetland ecosystems using Landsat satellite data. SN Appl. Sci. 2020, 2, 1891. [Google Scholar] [CrossRef]
- Tariq, A.; Mushtaq, A. Untreated wastewater reasons and causes: A review of most affected areas and cities. Int. J. Chem. Biochem. Sci. 2023, 23, 121–143. [Google Scholar]
- Thakur, T.K.; Dutta, J.; Bijalwan, A.; Swamy, S.L. Evaluation of decadal land degradation dynamics in old coal- mines of Central India. Land Degrad. Dev. 2022, 33, 3209–3230. [Google Scholar] [CrossRef]
- Lin, X.; Xu, M.; Cao, C.; Singh, R.P.; Chen, W.; Ju, H. Land-use/land-cover changes and their influence on the ecosystem in Chengdu City, China during the period of 1992–2018. Sustainability 2018, 10, 3580. [Google Scholar] [CrossRef]
- Swamy, S.L.; Darro, H.; Mishra, A.; Lal, R.; Kumar, A.; Thakur, T.K. Carbon stock dynamics in a disturbed tropical forest ecosystem of Central India: Strategies for achieving carbon neutrality. Ecol. Indic. 2023, 154, 110775. [Google Scholar] [CrossRef]
- Barros, J. Exploring Urban Dynamics in Latin American Cities Using an Agent-Based Simulation Approach. In Agent-Based Models of Geographical Systems; Springer: Dordrecht, The Netherlands, 2011. [Google Scholar] [CrossRef]
- Zhang, Z.; Guo, R.; Zhou, T. Suitability evaluation method and application for land reclamation to grassland in Xinjiang coal mines. Trans. Chin. Soc. Agric. Eng. 2015, 31, 278–286. [Google Scholar]
- Coops, N.; Hilker, T.; Bater, C. Linking ground-based to satellite-derived phenological metrics in support of habitat assessment. Remote Sens. Lett. 2015, 3, 191–200. [Google Scholar] [CrossRef]
- Yang, W.Z.; Xu, L.; Li, C.; Beauchemin, K.A. Short communication: Effects of supplemental canola meal and various types of distillers’ grains on growth performance of backgrounded steers. Can. J. Anim. Sci. 2013, 93, 281–286. [Google Scholar] [CrossRef]
- Piao, S.; Yin, G.; Tan, J.; Cheng, L.; Huang, M.; Li, Y.; Liu, R.; Mao, J.; Myneni, R.B.; Peng, S.; et al. Detection and attribution of vegetation greening trend in China over the last 30 years. Glob. Chang. Biol. 2015, 21, 1601–1609. [Google Scholar] [CrossRef]
- Qian, J.; Zhou, Q.; Hou, Q. Comparison of pixel-based and object-oriented classification methods for extracting built-up areas in arid zone. In Proceedings of the ISPRS Workshop on Updating Geo-Spatial Databases with Imagery & the 5th ISPRS Workshop on DMGISs, Urumqi, China, 28–29 August 2007; pp. 163–171. [Google Scholar]
- Chamyal, L.S.; Maurya, D.M.; Bhandari, S.; Raj, R. Late Quaternary geomorphic evolution of the lower Narmada valley, Western India: Implications for neotectonic activity along the Narmada–Son Fault. Geomorphology 2002, 46, 177–202. [Google Scholar] [CrossRef]
- Patel, D.K.; Karuppannan, S.; Sao, A.; Thakur, T.K. Prioritization of sub-watersheds based on quantitative morphometric analysis of the Narmada River, India, using SRTM-DEM and GIS techniques. Biodivers. Int. J. 2024, 7, 22–33. [Google Scholar] [CrossRef]
- Thakur, T.K.; Patel, D.K.; Dutta, J.; Kumar, A.; Kaushik, S.; Bijalwan, A.; Ansari, M.J. Assessment of decadal land use dynamics of upper catchment area of Narmada River, the lifeline of Central India. J. King Saud Univ.-Sci. 2021, 33, 101322. [Google Scholar] [CrossRef]
- Thakur, T.K.; Patel, D.K.; Bijalwan, A.; Dobriyal, M.J.; Kumar, A.; Thakur, A.; Bohra, A.; Bhat, J.A. Land use land cover change detection through geospatial analysis in an Indian Biosphere Reserve. Trees For. People 2020, 2, 100018. [Google Scholar] [CrossRef]
- Barya, M.; Kumar, A.; Thakur, T. Utilization of constructed wetland for the removal of heavy metal through fly ash bricks manufactured using harvested plant biomass. Ecohydrology 2022, 15, e2424. [Google Scholar] [CrossRef]
- Oke, T.R. The Energetic Basis of the Urban Heat Island. Q. J. R. Meteorol. Soc. 1982, 108, 1–24. [Google Scholar] [CrossRef]
- Owen, T.W.; Carlson, T.N.; Gilles, R.R. An Assessment of Satellite Remotely Sensed Land Cover Parameters in Quantitatively Describing the Climatic Effect of Urbanization. Int. J. Remote Sens. 1998, 19, 1663–1681. [Google Scholar] [CrossRef]
- Mishra, S.; Kumar, A. Estimation of physicochemical characteristics and associated metal contamination risk in the Narmada River, India. Environ. Eng. Res. 2021, 26, 190521. [Google Scholar] [CrossRef]
- Badapalli, P.K.; Kottala, R.; Madiga, B.R.; Mesa, R. Land suitability analysis and water resources for agriculture in semi-arid regions of Andhra Pradesh, South India using remote sensing and GIS techniques. Int. J. Energy Water Resour. 2021, 7, 205–220. [Google Scholar] [CrossRef]
- Guha, A.; Grewal, D.; Kopalle, P.K.; Haenlein, M.; Schneider, M.J.; Jung, H.; Moustafa, R.; Hegde, D.R.; Hawkins, G. How artificial intelligence will affect the future of retailing. J. Retail. 2021, 97, 28–41. [Google Scholar] [CrossRef]
- Singh, H.; Pandey, R.; Singh, S.K.; Shukla, D.N. Assessment of heavy metal contamination in the sediment of the River Ghaghara, a major tributary of the River Ganga in Northern India. Appl. Water Sci. 2017, 7, 4133–4149. [Google Scholar] [CrossRef]
- Congalton, R.G. A review of assessing the accuracy of classifications of remotely sensed data. Remote Sens. Environ. 1991, 37, 35–46. [Google Scholar] [CrossRef]
- Story, M.; Congalton, R.G. Accuracy Assessment: A User’s Perspective. Photogramm. Eng. Remote Sens. 1986, 52, 397–399. [Google Scholar]
- Foody, G.M. Status of land cover classification accuracy assessment. Remote Sens. Environ. 2002, 80, 185–201. [Google Scholar] [CrossRef]
- Munsi, M.; Malaviya, S.; Oinam, G.; Joshi, P.K. A landscape approach for quantifying land-use and land-cover change (1976–2006) in middle Himalaya. Reg. Environ. Chang. 2009, 10, 145–155. [Google Scholar] [CrossRef]
- Ajjur, S.B.; Al-Ghamdi, S.G. Evapotranspiration and water availability response to climate change in the Middle East and North Africa. Clim. Chang. 2021, 166, 28. [Google Scholar] [CrossRef]
- Badreldin, N.; Goossens, R. A satellite-based disturbance index algorithm for monitoring mitigation strategies effects on desertification change in an arid environment. Mitig. Adapt. Strat. Glob. Chang. 2013, 20, 263–276. [Google Scholar] [CrossRef]
- Guptha, G.C.; Swain, S.; Al-Ansari, N.; Taloor, A.K.; Dayal, D. Assessing the role of Suds in resilience enhancement of urban drainage system: A case study of Gurugram City, India. Urban Clim. 2022, 41, 101075. [Google Scholar] [CrossRef]
- García, D.H.; Riza, M.; Díaz, J.A. Land Surface Temperature Relationship with the Land Use/Land Cover Indices Leading to Thermal Field Variation in the Turkish Republic of Northern Cyprus. Earth Syst Environ. 2023, 7, 561–580. [Google Scholar] [CrossRef]
- Butt, A.; Shabbir, R.; Ahmad, S.S.; Aziz, N.; Nawaz, M. Land cover classification and change detection analysis of Rawal watershed using remote sensing data. J. Biodivers. Environ. Sci. 2015, 6, 236–248. [Google Scholar]
- Adegun, A.A.; Viriri, S.; Tapamo, J.R. Review of deep learning methods for remote sensing satellite images classification: Experimental survey and comparative analysis. J. Big Data 2023, 10, 93. [Google Scholar] [CrossRef]
- Chander, G.; Markham, B. Landsat-5 TM Radiometric Calibration Procedures and Post Calibration Dynamic Ranges. IEEE Trans. Geosci. Remote Sens. 2003, 41, 2674–2677. [Google Scholar] [CrossRef]
- Zhibin, R.; Haifeng, Z.; Xingyuan, H.; Dan, Z.; Xingyang, Y. Estimation of the relationship between urban vegetation configuration and land surface temperature with remote sensing. J. Indian Soc. Remote Sens. 2015, 43, 89–100. [Google Scholar] [CrossRef]
- Lea, C.; Curtis, A.C. Thematic Accuracy Assessment Procedures: National Park Service Vegetation Inventory, Version 2.0.; Natural Resource Report NPS/NRPC/NRR––2010/204; National Park Service: Fort Collins, CO, USA, 2010. [Google Scholar]
- Rwanga, S.; Ndambuki, J. Accuracy Assessment of Land Use/Land Cover Classification Using Remote Sensing and GIS. Int. J. Geosci. 2017, 8, 611–622. [Google Scholar] [CrossRef]
- Beckers, V.; Poelmans, L.; Van Rompaey, A.; Dendoncker, N. The impact of urbanization on agricultural dynamics: A case study in Belgium. J. Land Use Sci. 2020, 15, 626–643. [Google Scholar] [CrossRef]
- Pandey, M.; Mishra, A.; Swamy, S.L.; Thakur, T.K.; Pandey, V.C. Impact of coal mining on land use dynamics and soil quality: Assessment of land degradation vulnerability through conjunctive use of analytical hierarchy process and geospatial techniques. Land Degrad. Dev. 2022, 33, 3310–3324. [Google Scholar] [CrossRef]
- Garai, D.; Narayana, A.C. Land use/land cover changes in the mining area of Godavari coal fields of southern India. Egypt. J. Remote Sens. Space Sci. 2018, 21, 375–381. [Google Scholar] [CrossRef]
- Kumar, M.; Kumar, A.; Thakur, T.K.; Sahoo, U.K.; Kumar, R.; Konsam, B.; Pandey, R. Soil organic carbon estimation along an altitudinal gradient of Chir pine forests of Gadhwal Himalaya, India: A field inventory to remote sensing approach. Land Degrad. Dev. 2022, 33, 3387–3400. [Google Scholar] [CrossRef]
- Chen, X.I.; Zhao, H.M.; Li, P.X.; Yin, Z.Y. Remote Sensing Image-Based Analysis of Relationship between Urban Heat Island and Land Use/Cover Changes. Remote Sens. Environ. 2006, 104, 133–146. [Google Scholar] [CrossRef]
- Ramaiah, M.; Avtar, R.; Rahman, M. Land Cover Influences on LST in Two Proposed Smart Cities of India: Comparative Analysis Using Spectral Indices. Land 2020, 9, 292. [Google Scholar] [CrossRef]
- Oguro, S.; Mugikura, S.; Ota, H.; Bito, S.; Asami, Y.; Sotome, W.; Ito, Y.; Kaneko, H.; Suzuki, K.; Higuchi, N.; et al. Usefulness of maximum intensity projection images of non-enhanced CT for detection of hyperdense middle cerebral artery sign in acute thromboembolic ischemic stroke. Jpn. J. Radiol. 2022, 40, 1046–1052. [Google Scholar] [CrossRef]
- Dallimer, M.; Stringer, L.C. Informing investments in land degradation neutrality efforts: A triage approach to decision making. Environ. Sci. Policy 2018, 89, 198–205. [Google Scholar] [CrossRef]
- Wohl, E.; Lane, S.N.; Wilcox, A.C. The science and practice of river restoration. Water Resour. Res. 2015, 51, 5974–5997. [Google Scholar] [CrossRef]
- Hong, W.; Jiang, R.; Yang, C.; Zhang, F.; Su, M.; Liao, Q. Establishing an ecological vulnerability assessment indicator system for spatial recognition and management of ecologically vulnerable areas in highly urbanized regions: A case study of Shenzhen, China. Ecol. Indic. 2016, 69, 540–547. [Google Scholar] [CrossRef]
- Xiao, S.; Wu, W.; Guo, J.; Ou, M.; Pueppke, S.G.; Ou, W.; Tao, Y. An evaluation framework for designing ecological security patterns and prioritizing ecological corridors: Application in Jiangsu Province, China. Landsc. Ecol. 2020, 35, 2517–2534. [Google Scholar] [CrossRef]
- Rahman, M.R.; Shi, Z.H.; Chongfa, C. Soil erosion hazard evaluation—an integrated use of remote sensing, GIS and statistical approaches with biophysical parameters towards management strategies. Ecol. Model. 2009, 220, 1724–1734. [Google Scholar] [CrossRef]
- Sandeep, P.; Reddy, G.O.; Jegankumar, R.; Arun Kumar, K.C. Modeling and assessment of land degradation vulnerability in semi-arid ecosystem of Southern India using temporal satellite data, AHP and GIS. Environ. Model. Assess. 2021, 26, 143–154. [Google Scholar] [CrossRef]
- Abuzaid, A.S.; AbdelRahman, M.A.; Fadl, M.E.; Scopa, A. Land degradation vulnerability mapping in a newly-reclaimed desert oasis in a hyper-arid agro-ecosystem using AHP and geospatial techniques. Agronomy 2021, 11, 1426. [Google Scholar] [CrossRef]
- Sharma, P.; Singh, M.K.; Tiwari, P. Agroforestry: A land degradation control and mitigation approach. Bull. Environ. Pharmacol. Life Sci. 2017, 6, 312–317. [Google Scholar]
- Mukherjee, S.; Mukherjee, S.; Garg, R.D.; Bhardwaj, A.; Raju, P.L.N. Evaluation of topographic index in relation to terrain roughness and DEM grid spacing. J. Earth Syst. Sci. 2013, 122, 869–886. [Google Scholar] [CrossRef]








| Satellite | Source | Date Acquired | Band | Spectral Range (Wavelength µm) | Spatial Resolution (m) |
|---|---|---|---|---|---|
| Landsat 8 | USGS | 15 August 2022 | 1 | 0.43–0.45 | 30 |
| 2 | 0.45–0.51 | 30 | |||
| 3 | 0.64–0.67 | 30 | |||
| 4 | 0.53–0.59 | 30 | |||
| 5 | 0.85–0.88 | 30 | |||
| 6 | 1.57–1.65 | 30 | |||
| 7 | 2.11–2.29 | 30 | |||
| 8 | 1.36–1.38 | 30 | |||
| 9 | 0.50–0.68 | 30 | |||
| 10 (TRIS 1) | 10.60–11.19 | 100 Resampled to 30 | |||
| 11 (TRIS 1) | 11.50–12.51 | 100 resampled to 30 | |||
| Landsat 7 | USGS | 15 November 2010 | 1 | 0.45–0.52 | 30 |
| 2 | 0.52–0.60 | 30 | |||
| 3 | 0.63–0.69 | 30 | |||
| 4 | 0.77–0.90 | 30 | |||
| 5 | 1.55–1.75 | 30 | |||
| 6 | 10.40–12.50 | 60 | |||
| 7 | 2.08–2.35 | 30 | |||
| 8 | 0.52–0.90 | 15 | |||
| Landsat 5 | USGS | 15 December 2000 | 1 | 0.45–0.52 | 30 |
| 2 | 0.52–0.60 | 30 | |||
| 3 | 0.63–0.69 | 30 | |||
| 4 | 0.76–0.90 | 30 | |||
| 5 | 1.55–1.75 | 30 |
| User Accuracy (%) | Producer Accuracy (%) | Classification Accuracy | Kappa Statistics | |||||||||
|---|---|---|---|---|---|---|---|---|---|---|---|---|
| Year | Water Body | Built-Up Land | Agriculture | Forest | Fallow Land | Water Body | Built-Up Land | Agriculture | Forest | Fallow Land | ||
| 2000 | 100 | 85 | 85 | 85 | 80 | 100 | 100 | 73.44 | 71.44 | 100 | 90.00% | 0.81 |
| 2010 | 100 | 75 | 100 | 100 | 85 | 100 | 100 | 100 | 100 | 66.68 | 87.67% | 0.75 |
| 2022 | 100 | 85 | 100 | 100 | 80 | 100 | 100 | 87.34 | 83.34 | 100 | 91% | 0.82 |
| S. No. | Classes | 2000 | 2010 | 2022 | Change Detection 2000–2022 (km)2 Increase (+) or Decrease (−) | |||
|---|---|---|---|---|---|---|---|---|
| Area (km)2 | Area (%) | Area (km)2 | Area (%) | Area (km)2 | Area (%) | |||
| 1 | Water Body | 213.71 | 2.3 | 289.71 | 3.06 | 313.13 | 3.31 | +99.37 |
| 2 | Built-Up Land | 81.85 | 0.9 | 124.53 | 1.31 | 242.69 | 2.57 | +160.79 |
| 3 | Agriculture | 5607.62 | 59.3 | 5693.87 | 60.18 | 5651.20 | 59.73 | +43.62 |
| 4 | Forest | 2838.45 | 30.0 | 2698.54 | 28.52 | 2690.09 | 28.43 | −147.55 |
| 5 | Fallow Land | 719.47 | 7.6 | 654.43 | 6.91 | 563.98 | 5.96 | −155.68 |
| 9461.09 | 100.0 | 9461.09 | 100 | 9461.09 | 100.00 | |||
| 2022 | |||||||||||
|---|---|---|---|---|---|---|---|---|---|---|---|
| LULC Change | Water Body | Built-Up Land | Agriculture | Forest | Fallow Land | ||||||
| Area in | Area in | Area in | Area in | Area in | Area in | Area in | Area in | Area in | Area in | ||
| 2000 | (sq. km) | (%) | (sq. km) | (%) | (sq. km) | (%) | (sq. km) | (%) | (sq. km) | (%) | |
| Water Body | 0 | 0 | 18.32 | 11.39 | 9.28 | 21.27 | 19.97 | 13.72 | 14.78 | 9.49 | |
| Built-Up Land | 15.45 | 15.55 | 0 | 0 | 12.1 | 27.74 | 46.89 | 32.22 | 39.08 | 25.10 | |
| Agriculture | 34.21 | 34.43 | 47.85 | 29.76 | 0 | 0 | 37.3 | 25.63 | 41.83 | 26.87 | |
| Forest | 20.41 | 20.54 | 55.7 | 34.64 | 15.04 | 34.48 | 0 | 0 | 59.99 | 38.53 | |
| Fallow Land | 29.3 | 29.49 | 38.92 | 24.21 | 7.2 | 16.51 | 41.39 | 28.44 | 0 | 0 | |
| Total Area | 99.37 | 100 | 160.79 | 100 | 43.62 | 100 | 145.55 | 100 | 155.68 | 100 | |
| Year | 2000 | 2010 | 2022 | |||
|---|---|---|---|---|---|---|
| Source of estimated/recorded LST | Maximum | Minimum | Maximum | Minimum | Maximum | Minimum |
| Remotely sensed estimated LST (°C) | 25.32 | 17.42 | 33 | 18.50 | 38.13 | 26.12 |
| IMD-recorded LST (°C) | 28.2 | 21.01 | 29.61 | 22.22 | 34.01 | 24.91 |
| Deviation (°C) | 2.97 | 3.08 | −3.88 | 3.7 | −4.75 | −1.76 |
| Deviation (%) | 10.30 | 16.92 | −13.15 | 16.67 | −14.08 | −7.02 |
| LDVI Classes | Area (km2) 2022 | Percentage |
|---|---|---|
| Very Low Vulnerability | 2289.25 | 24.20 |
| Low Vulnerability | 1319.65 | 13.95 |
| Moderate Vulnerability | 1213.22 | 12.82 |
| High Vulnerability | 1134.1 | 11.99 |
| Very High Vulnerability | 2949.05 | 31.17 |
| Built up | 242.69 | 2.57 |
| Water Bodies/Drainage | 313.13 | 3.31 |
| Total | 9461.09 | 100.00 |
Disclaimer/Publisher’s Note: The statements, opinions and data contained in all publications are solely those of the individual author(s) and contributor(s) and not of MDPI and/or the editor(s). MDPI and/or the editor(s) disclaim responsibility for any injury to people or property resulting from any ideas, methods, instructions or products referred to in the content. |
© 2024 by the authors. Licensee MDPI, Basel, Switzerland. This article is an open access article distributed under the terms and conditions of the Creative Commons Attribution (CC BY) license (https://creativecommons.org/licenses/by/4.0/).
Share and Cite
Patel, D.K.; Thakur, T.K.; Thakur, A.; Pandey, A.; Kumar, A.; Kumar, R.; Husain, F.M. Quantifying Land Degradation in Upper Catchment of Narmada River in Central India: Evaluation Study Utilizing Landsat Imagery. Water 2024, 16, 2440. https://doi.org/10.3390/w16172440
Patel DK, Thakur TK, Thakur A, Pandey A, Kumar A, Kumar R, Husain FM. Quantifying Land Degradation in Upper Catchment of Narmada River in Central India: Evaluation Study Utilizing Landsat Imagery. Water. 2024; 16(17):2440. https://doi.org/10.3390/w16172440
Chicago/Turabian StylePatel, Digvesh Kumar, Tarun Kumar Thakur, Anita Thakur, Amrisha Pandey, Amit Kumar, Rupesh Kumar, and Fohad Mabood Husain. 2024. "Quantifying Land Degradation in Upper Catchment of Narmada River in Central India: Evaluation Study Utilizing Landsat Imagery" Water 16, no. 17: 2440. https://doi.org/10.3390/w16172440
APA StylePatel, D. K., Thakur, T. K., Thakur, A., Pandey, A., Kumar, A., Kumar, R., & Husain, F. M. (2024). Quantifying Land Degradation in Upper Catchment of Narmada River in Central India: Evaluation Study Utilizing Landsat Imagery. Water, 16(17), 2440. https://doi.org/10.3390/w16172440

