Next Article in Journal
Research on Constant-Flow Water-Saving Device Based on Dynamic Mesh Transient Flow Field Analysis
Previous Article in Journal
The Impact of Low Temperatures on the Hatching Success of Eurytemora pacifica (Copepoda, Calanoida) Resting Eggs
 
 
Font Type:
Arial Georgia Verdana
Font Size:
Aa Aa Aa
Line Spacing:
Column Width:
Background:
Article

Numerical Simulation of Non-Matching Rough Fracture Seepage

College of Environment and Civil Engineering, Chengdu University of Technology, Chengdu 610059, China
*
Author to whom correspondence should be addressed.
Water 2024, 16(17), 2426; https://doi.org/10.3390/w16172426
Submission received: 30 June 2024 / Revised: 22 August 2024 / Accepted: 24 August 2024 / Published: 28 August 2024
(This article belongs to the Section Hydraulics and Hydrodynamics)

Abstract

Natural rock fractures often exhibit non-matching characteristics at certain scales, leading to uneven aperture distributions that significantly affect fluid flow. This study investigates the impact of the mismatch between the upper and lower surfaces on the flow through three-dimensional rough fractures. By applying fractal theory, a rough upper surface of the fracture is generated, and different degrees of mismatch are introduced by adding random noise to this surface. This approach enables the construction of a variety of three-dimensional rough fracture flow models. Numerical simulations, which involve directly solving the Navier-Stokes equations, are used to simulate flow through a rough single fracture, assessing the effects of various degrees of mismatch between the surfaces. The study also examines how the inclusion of the matrix alters flow characteristics. The results demonstrate that the Forchheimer equation accurately describes the nonlinear flow behavior in fractures with different degrees of mismatch. The increased mismatch intensifies the uneven distribution of fracture apertures, causing the flow velocity to shift from uniform to discrete and the streamlines to become increasingly curved. The overall tortuosity of the flow path increases and the formation of ‘concave’ and ‘convex’ areas leads to vortex zones, promoting nonlinear seepage. The correlation between both viscous and inertial permeability with the degree of mismatch is negative, whereas the impact of matrix permeability on the flow capacity of the fracture shows a positive correlation with a mismatch.

1. Introduction

Fractures, as a ubiquitous structural feature within geological formations, are prevalent in a variety of rock and soil types. The morphology, distribution, and surface characteristics of these fractures are pivotal in determining the behavior of fluid flow within the rock matrix, which in turn influences the stability of related geological structures and the efficient exploitation of natural resources. Accurately characterizing the flow dynamics of fluids within fractures is particularly critical for addressing hydrogeological and environmental geological issues, such as the development of oil and gas fields [1], the prevention of tunnel water inrush [2], geothermal exploitation [3], and the management of groundwater contamination [4].
The size and distribution of fracture aperture widths reflect the interaction between the roughness of the fracture surfaces and their degree of matching [5]. Over the years, researchers have acknowledged the critical impact of the intricate microgeometry of fractures on seepage. It has been demonstrated that the rough surfaces of a fracture often do not align perfectly; instead, they tend to match beyond a critical scale while operating independently beneath it [6,7]. This non-matching behavior results in uneven fracture apertures, which significantly influence fluid flow within these fractures [8,9].
Recent studies have delved deeper into the complexities of fracture apertures and their variability. For instance, Huang et al. [10] highlighted how contact area, aperture variation, and fracture connectivity affect fluid flow in three-dimensional fracture networks, influencing flow tortuosity and channelization. Gao et al. [11] emphasized that aperture variability is crucial for predicting flow behavior in fractured geothermal reservoirs. Furthermore, Hyman et al. [12] demonstrated that variations in micro-scale fracture apertures can significantly alter the macro-scale flow properties within fracture networks. They introduced the concept of scale-bridging, showing how local changes in aperture fields can drastically increase flow channelization across an entire network. Additionally, Kun et al. [13] explored the influence of anisotropic aperture fields on immiscible fluid displacement in rough fractures, finding that anisotropy plays a crucial role in controlling transitions between capillary fingering and viscous fingering during displacement processes.
In related work, Lenci et al. [14] used Monte Carlo simulations to examine shear-thinning flow in geological fractures, revealing that non-Newtonian behavior enhances flow localization and increases fracture transmissivity, especially under high-pressure gradients. Their findings underscore the importance of incorporating fluid rheology with fracture heterogeneity in flow predictions. In a complementary study, Lenci et al. [15] developed a lubrication-based solver for shear-thinning fluids in rough fractures, enabling efficient simulations and providing key insights into fluid behavior in complex fracture geometries, emphasizing the need to integrate rheology in subsurface flow analysis.
Other studies have further examined the role of fracture characteristics on permeability. Rong et al. [16] found that the nonlinear coefficient is highly sensitive to shear deformation in faulting joints. Méheust et al. [17] attributed fluid flow heterogeneity to the geometric heterogeneity of fractures. Ren et al. [18] have explored the impact of rough fracture distribution and the anisotropy of fracture morphology on permeability characteristics through numerical simulations, finding that the size and distribution of fractures significantly influence the anisotropy of permeability in rough fractures. As computing technology advances and materials science evolves, Ranjbar et al. [19] have utilized 3D printed models to investigate how variations in mismatched lengths and surface roughness impact flow dynamics. Their findings indicate that these parameters significantly modify flow velocity and influence the development of confined flow paths. Dong et al. [20] employed CT scanning and numerical simulation techniques to investigate the variations in fluid flow behavior resulting from fracture misalignments and cavity erosion. Expanding on this foundation, Wang et al. [21] investigated the impact of fracture displacements ranging from 0 to 10 mm on seepage behavior. They discovered that increasing misalignment distances lead to more complex flow behaviors and enhanced permeability. Luo et al. [22] employed high-resolution 3D scanning to investigate the direct correlation between the initial roughness of coal fracture surfaces and the fluid flow capacity under various stress conditions, highlighting the critical importance of precise fracture characterization. Shi et al. [23] conducted a numerical analysis on the radial seepage patterns in fractured media, emphasizing that under certain conditions, seepage deviates from Darcy’s Law, highlighting the complexity introduced by fracture characteristics.
The roughness of fracture surfaces [24], the spatial distribution of fracture apertures [25], and the connectivity within the region all impact the dynamic behavior of fluids within fractures. These studies indicate that the relative positional state of the two walls of a fracture is a key factor affecting fluid flow. The size and distribution of the fracture apertures reflect the interaction between the surface roughness of the fractures and their degree of matching. Additionally, Wibowo et al. [26] have noted that the composition of the rock and the origins of its fractures dictate the roughness of the fracture surfaces, their matching levels, and their geometric relationships. Studies have additionally discovered that within certain scale ranges, natural rock fractures generally display matching features. However, it is under the influences of geological stress, structural formations, and erosive processes that the upper and lower surfaces of rough fractures exhibit pronounced mismatching characteristics. These surface traits are closely associated with the fractures’ geometric forms [27]. This also highlights the widespread presence of matching and non-matching differences in rough fractures across various types and scales of rock bodies, and there are significant differences in their macroscopic seepage capabilities under the same hydraulic conditions [28]. Numerous experimental studies have explained the significant role of activities such as shearing, creep, and closure on the fracture surfaces in influencing fluid flow within fractures [29,30].
The irregularities on fracture surfaces enhance the contact area and friction during fluid flow, causing the flow paths to become more tortuous and the streamlines to lengthen. These factors exacerbate the inertial losses in the fluids within rough fractures, a phenomenon that is particularly pronounced under high flow velocity conditions [31]. The findings indicate that the pressure gradient-to-flow rate relationship in fractures displays distinct quadratic non-linear characteristics, with the slope of the curve escalating as the flow rate increases. This is primarily attributed to the fact that as flow velocity increases, the growth rate of the fluid’s inertial forces surpasses that of the viscous forces [32]. Furthermore, the mismatching features of fracture surfaces can also significantly enhance the nonlinear characteristics of fluid flow within fractures, further confirming the profound impact of surface characteristics on flow behavior [33].
Previous studies have directly or indirectly shown the impact of mismatched features between upper and lower fracture surfaces on seepage, but most are based on experiments and have certain limitations. Specifically, experimental approaches often face challenges when dealing with complex geometric shapes and inconvenient boundary conditions. These limitations can result in difficulties in accurately capturing the fine changes in fluid dynamics, such as detailed streamlines, precise flow field distribution, and the formation of vortices. For instance, many experimental setups cannot replicate the exact roughness and mismatch conditions of natural fractures, leading to potential discrepancies between observed and actual fluid behaviors. Additionally, previous research has largely focused on qualitative descriptions and understanding of mismatched characteristics, with significant gaps remaining in quantitative characterization and comprehensive analysis. This qualitative focus has limited the ability to predict fracture flow behavior under varying conditions, especially in complex scenarios involving heterogeneous media and anisotropic properties. For example, studies by Méheust et al. [11] and Ren et al. [12] highlighted the heterogeneity and anisotropy effects on permeability but did not provide detailed quantitative models to predict these effects under different stress conditions or geometric configurations.
Our study addresses these limitations by employing advanced numerical simulations that allow for precise control over geometric and boundary conditions, enabling detailed investigation of fluid dynamics in mismatched fractures. By using high-resolution mesh generation and performing grid dependency analyses, we ensure the accuracy and reliability of our simulations. Furthermore, we introduce a novel approach to quantify the extent of fracture mismatches and their impact on flow behavior, integrating local velocity fields and tortuosity calculations to provide a comprehensive understanding of the fluid flow mechanisms. This approach not only offers a more detailed quantitative analysis but also enhances the predictive capability for managing complex fluid dynamics problems in groundwater resources and environmental engineering projects.
By addressing these gaps, our study provides a more complete and accurate representation of fluid flow in rough mismatched fractures, offering valuable insights for theoretical advancements and practical applications in geological and environmental sciences.

2. Numerical Model and Methods

2.1. Rough Fracture Upper Surface

Considering the challenges associated with accurately measuring and controlling the geometric morphology of three-dimensional rough fracture surfaces derived from split rocks, Ogilvie et al. [27] have applied fractal theory to develop an open-source software called Synfrac. The software allows users to precisely control the roughness of the generated three-dimensional single fractures by adjusting the fractal dimension D. This method not only enhances the accuracy of fracture simulations but also provides an effective tool for studying fracture fluid dynamics, enabling researchers to make progress in controlling and reproducing complex fracture structures.
The three-dimensional point cloud data generated by the Synfrac program is processed through interpolation and then imported into the COMSOL Multiphysics 6.1 coupling analysis software. The software’s built-in parametric surface function is used to construct the rough upper surface of the fracture [34]. To investigate the impact of fracture non-matching on seepage characteristics, an upper fracture surface with a fractal dimension D of 2.2 and a Joint Roughness Coefficient (JRC) of 19.26 was created. The fracture surface measures 100 mm by 100 mm and is isotropic, as depicted in Figure 1.

2.2. Rough Fracture Lower Surface

Random noise can realistically simulate the non-ideal contact and surface irregularities between fracture faces, thereby improving the prediction of fluid flow characteristics between fractures. In fracture analysis, the three-dimensional point cloud data for the rough upper surface of the fracture is acquired through Synfrac software, which effectively describes the geometric shape of one side of the fracture. By programming in MATLAB 2022b, random noise is added to the upper surface to generate a lower surface with different degrees of matching σ and the same average aperture ( e m = 1   m m ) .
Random noise is typically added to the existing data points in the form of random variables. The initial data point is P ( x , y , z ) , and with the addition of noise, it changes to P (x , y , z ).
x = x + σ x
y = y + σ y
z = z + σ z
In this description, σ x , σ y , σ z denote the random noise added along the x , y and z axes, respectively, with each noise component adhering to a normal distribution. This means that σ x ~ N ( μ x , σ x 2 ) , σ y ~ N ( μ y , σ y 2 ) , σ z ~ N ( μ z , σ z 2 ) , where N ( μ , σ 2 ) denotes the normal distribution. μ represents the mean and σ 2 represents the variance. Comparative cloud map of the rough fracture’s upper and lower surfaces, as illustrated in Figure 2.

2.3. Fracture Geometric Characteristics

The uneven distribution of aperture sizes can significantly affect the transport properties of fluid flow in fractures. In efforts to precisely delineate the internal geometric structures of fractured rock bodies, many researchers have extensively analyzed the spatial distribution of openings in rough fractures. They have predominantly found that normal distribution models are widely utilized to represent the characteristics of aperture distributions in both natural and man-made fractures [35,36,37].
This paper calculates the aperture distribution of three-dimensional fractures with different matching characteristics and plots the corresponding frequency distribution histograms of fracture apertures, as shown in Figure 3. Analysis of Figure 3 indicates that, apart from completely matched fractures ( σ = 0.0 ), the aperture data for other fractures follow a normal distribution, with a mean of 1 mm, reflecting an average aperture width of 1 mm. However, as the degree of matching in the fractures increases, the variance of the normal distribution decreases, suggesting a reduction in the variability of the fracture apertures.
To determine the mean and variance of the normal distribution of fracture apertures, the following methodology was employed:
Data Collection: Use Synfrac software to generate three-dimensional point cloud data of the fracture’s upper surface. Synfrac software applies fractal theory, which allows precise control over the roughness of the generated three-dimensional fracture surface.
Aperture Value Calculation: Compare the point cloud data of the upper surface with the point cloud data of the lower surface, and calculate the aperture values at different points by taking the difference.
Data Alignment: Ensure that the point cloud data of the upper and lower surfaces are aligned in the same coordinate system.
Aperture Calculation: For each point, calculate the vertical distance between the upper surface and the lower surface. This distance is the aperture value at that point.
The variance was calculated as:
σ 2 = 1 N i = 1 N ( x i μ ) 2
These steps provided a robust basis for determining the mean and variance of the normal distribution of fracture apertures, thereby allowing for a detailed understanding of how the degree of matching influences the variability of aperture sizes. As the values converge towards the mean aperture width, the probability of encountering extremely “narrow” and “wide” gaps along the flow path significantly decreases, which has an important impact on fluid flow within the fracture.

2.4. Theoretical Background

Darcy’s Law is traditionally applied to describe fluid flow in porous media and rock fractures under conditions of low hydraulic head. Yet, under high hydraulic pressures, while the flow rate remains positively correlated with the hydraulic gradient, its rate of increase exhibits a progressively diminishing non-linear trend. In rough fractures, the flow rates predicted by Darcy’s Law under high permeation pressures frequently show substantial deviations from experimental or observational data. These findings have prompted further studies into the non-linear flow behaviors of fluids to more precisely characterize these complex flow dynamics.
To accurately depict the nonlinear flow characteristics in rock fractures and porous media, the Forchheimer equation and the Izbash equation are often introduced to model this complex phenomenon. These two equations effectively elucidate the complex relationship between the hydraulic gradient and fluid flow rate. Specifically, the Forchheimer equation is extensively applied to delineate the augmented inertial effects in fluid flow, offering a more holistic view for understanding the nonlinear behaviors of fluid dynamics under conditions of high flow rates [38,39,40].
Ρ = A Q × + Β × Q 2
A = μ Κ 0 × A 0
B = β × ρ A 0 2
In the equation, Q   is the volumetric flow rate, m3/s. −∇P is the pressure drop gradient across the fracture, Pa/m. A and B are the coefficients of the linear and nonlinear terms of the Forchheimer equation, respectively, describing the energy losses due to viscous and inertial dissipation. A 0   is the cross-sectional area of the fracture. β is the nonlinear coefficient, associated with the B term, used to quantify the additional pressure loss caused by fluid inertia.
The Reynolds number (Re) is defined as the ratio of inertial forces to viscous forces [41], and is expressed by the following equation:
R e = ρ × Q μ × W
In the formula, W represents the fracture aperture. A higher Reynolds number R e indicates a greater inertial effect acting on the fluid, making it more likely for the fluid flow to transition from a linear to a nonlinear state.
While the Forchheimer and Izbash equations are useful for characterizing non-linear flow behavior, the fundamental principles governing fluid flow in fractures are still based on the Navier-Stokes equations. The Navier-Stokes equations describe the motion of viscous fluid substances and are essential for accurately simulating fluid dynamics within fractures. Under steady-state conditions, the flow of an incompressible Newtonian fluid within a single rough fracture is described by the Navier-Stokes equations and the continuity equation, ensuring accurate simulations of fluid dynamics under various flow conditions.
The Navier-Stokes equation and continuity equation are used to directly simulate fluid flow within rough fractures, providing detailed insights into the flow patterns, velocity fields, and pressure distributions. By combining the empirical Forchheimer and Izbash equations with the Navier-Stokes equations, we can comprehensively understand and predict the behavior of fluid flow in rough fractures under various conditions.

2.5. Numercial Simulation Model and Boundary Conditions

Since the free tetrahedral mesh can effectively divide three-dimensional space, this paper selects the free tetrahedral mesh to discretize the constructed model. The mesh size of the rough single fracture model ranges between 0.016 and 0.76 mm, the generated mesh is shown in Figure 4.
To ensure the uniformity and adaptability of the mesh, we considered the geometric complexity of the model during the mesh generation process, particularly the morphology of the fractures and the distribution of the pore sizes. This ensured a sufficiently high mesh density in critical areas to capture fine flow characteristics. Therefore, it is necessary to conduct a mesh sensitivity analysis for the model to reduce the dependency of solution accuracy on the number of grids.
For this purpose, we selected a rough single fracture model with σ = 0.2 as study subjects. We compared and analyzed the relationship between the normalized flow rate Q at the fracture outlet and the number of grids under 10 different grid quantities, as shown in Figure 5. Through mesh sensitivity analysis, considering both the accuracy of the calculation results and the time cost, the rough single fracture model selects between 4.798 × 106 and 6.325 × 106.
In this research, the rough fracture has a side length of L = 100 mm and an average aperture of e m = 1   m m . The upper surface of the fracture is characterized by a fractal dimension of D = 2.2, whereas the lower surface is generated by adding random noise, resulting in surfaces with varying degrees of matching, encompassing a broad range of matches.
Fluid flow in rough fractures adheres to the fundamental principles of fluid dynamics, specifically, it satisfies the Navier-Stokes equations [42].
u t + u u = F 1 ρ P + μ ρ 2 u
In the equation, u is the velocity vector, m/s; P is the pressure, Pa; μ is the kinematic viscosity, Pa·s; ρ is the fluid density, kg/m3.
Under steady-state conditions, the flow of an incompressible Newtonian fluid within a single rough fracture is described by the Navier-Stokes equations and the continuity equation. Together, these equations ensure accurate simulations of fluid dynamics under various flow conditions [43].
ρ u u = μ 2 u P
u = 0
In the numerical simulations, several critical assumptions are set to ensure the model’s accuracy and reliability. Initially, the rock matrix is assumed to be a homogeneous and isotropic elastic medium that remains undeformed throughout the simulation. Secondly, the model assumes perfect alignment between the matrix and the fracture without any displacement. A model of a single rough fracture and an integrated matrix-fracture dual-porosity medium is illustrated in Figure 6.
In the model, the study employs the finite element method (FEM) to solve the Navier-Stokes equations. The relative tolerance for the solvers is set to 10−6, ensuring accurate and stable solutions. The top and bottom sides are set as the inflow and outflow boundaries, respectively. A constant injection pressure of P = 100~1000 Pa and a flow rate of Q = 1.0 × 10−6~1.0 × 10−5 are applied at the inflow boundary, while the pressure at the fluid outflow boundary is set to 0 Pa. Setting no-slip boundaries, applied to all fracture walls to ensure that the fluid velocity at the boundaries is zero.

3. Results and Discussion

3.1. Flow Velocity Distribution

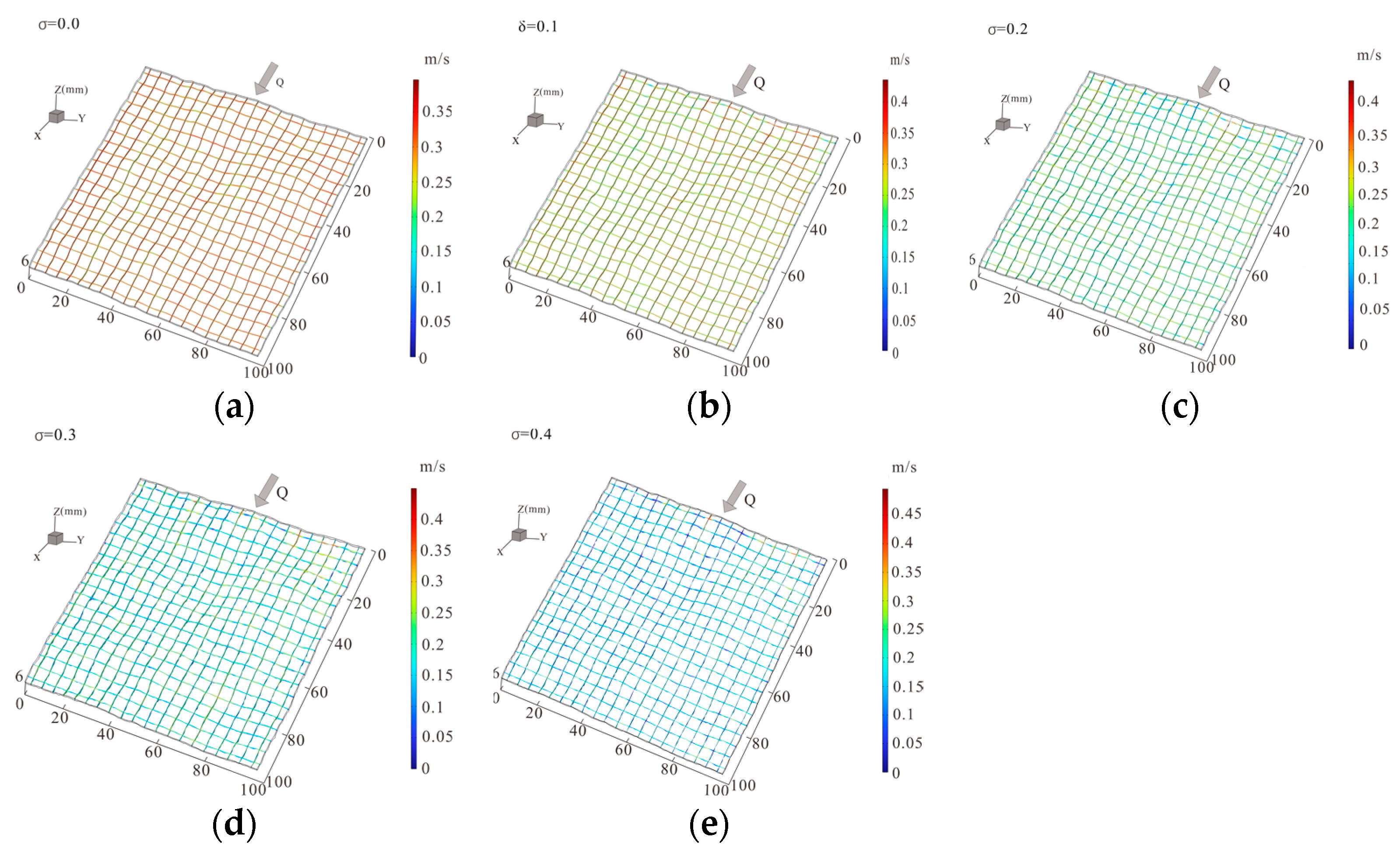
The results of the simulated velocity field are shown in Figure 7, with a constant pressure gradient of −∇P = 5 × 103 Pa/m. For the five fractures with different matching characteristics, the fluid flow states were observed, and through the use of a slicing function, 20 cross-sectional and 20 longitudinal sections were obtained.
With the average aperture held constant, in fractures with perfect matching, the flow velocity is uniformly distributed across the fracture, except at the walls where it is zero. In the channels between the upper and lower surfaces, the flow velocity is 0.32 m/s. As the mismatch increases, the distribution of the flow velocity becomes more dispersed and irregular and the maximum flow velocity gradually increases. At a mismatch of σ = 0.4 , the maximum flow velocity reaches 0.47 m/s. The enhancement of mismatch in the fracture leads to the formation of more “protrusions” and “depressions” on the upper and lower surfaces. This topographical variability results in localized velocity anomalies, where the velocity decreases at the protrusions and increases at the depressions.
The observed phenomena can be attributed to several microscopic mechanisms such as increased surface roughness due to mismatched fractures creating a more tortuous flow path. This tortuosity forces the fluid to navigate around protrusions and into depressions, leading to localized variations in velocity. The increase in flow velocity in certain regions is due to the fluid being funneled through narrower apertures, which accelerates the flow, while wider regions slow down the fluid due to decreased pressure gradients. As the mismatch increases, the pressure distribution within the fracture becomes more uneven. High-pressure zones form near the depressions, pushing the fluid faster through these regions, while low-pressure zones around protrusions slow down the fluid. Additionally, the inertial effects become more pronounced as the flow velocity increases in the depressions, contributing to the overall increase in velocity variability.

3.2. Streamline Distribution

Figure 8 displays the streamline distribution in a single rough fracture at perfect matching (σ = 0.0) and under mismatched conditions of σ = 0.2 and σ = 0.4, with the model subjected to a pressure gradient of P = 5000 Pa/m. The figure illustrates that as the mismatch increases, the unevenness of the streamline distribution intensifies. This occurs because the increasing mismatch leads to a more uneven distribution of apertures within the fracture. Consequently, more “protrusions” and “depressions” arise, similar to wave-like undulations, creating localized regions of high and low velocity. Additionally, as the pressure gradient increases, vortices may form.
To delve deeper into the variations in streamline distribution within fractures due to differences in matching characteristics, vertical mid-sections along the positive x-axis were captured under the conditions of σ = 0.0 and σ = 0.40. The streamline diagrams in these sections are presented in Figure 8.
Figure 9a shows the streamline distribution and a localized magnified view in the middle section at y = 50 mm of the fracture under the completely matched condition of σ = 0.0. The color legend represents the flow velocity. The figure clearly shows that the velocity within the fracture is uniformly distributed along its length, conforming to Poiseuille flow patterns, and the streamlines are evenly distributed without any vortex zones. In Figure 9b, corresponding to σ = 0.4 with a substantial mismatch, the flow velocity within the fracture is unevenly distributed along its course, and the streamline distribution is irregular, with several distinct vortex areas emerging along the length.
The streamline distribution can be explained by the following microscopic mechanisms: the presence of mismatches increases the tortuosity of the flow paths, forcing the fluid to take more convoluted routes through the fracture. This diversion results in a more complex streamline pattern and the formation of eddies and vortices. The increased roughness and mismatch lead to higher energy dissipation due to friction and inertial effects. This energy dissipation manifests as vorticity in the flow, creating vortices and recirculating zones that alter the streamline distribution.
The tortuosity of three-dimensional fracture flow paths effectively reflects the complexity of the velocity fields caused by the non-matching characteristics of rough fractures. This paper has adopted a volume-averaged approach to calculate tortuosity. This involves integrating local velocity properties over the entire domain, ensuring a more accurate representation of the flow path tortuosity [44]. The detailed steps and formulas are as follows:
The average velocity over the entire domain is given by:
u = 1 V v u d V
At each point, calculate the magnitude of the velocity vector.
u i = u i x 2 + u i y 2 + u i z 2
Integrate over the entire domain to calculate the total sum of the velocity magnitudes:
v u d V = i = 1 N u i Δ V
Divide the integral result by the total volume V to obtain the average velocity:
u = 1 V i = 1 N u i Δ V
Tortuosity is defined as the ratio of the path length to the straight-line distance, represented by the volume-averaged value of the velocity field. The formula is as follows:
τ = u 2 u 2
Using the above method, the tortuosity values under different degrees of matching were obtained, as shown in Figure 10. As shown in the figure, tortuosity gradually increases with the degree of mismatch. For relatively simple and well-matched fractures, the fluid flow path is close to straight, resulting in lower tortuosity. In these cases, fluid flow is relatively uniform, and the velocity field is also relatively simple. In these cases, the fluid flow path winds around various obstacles, leading to an increase in the length of the fluid path. In poorly matched fractures, the fluid flow path becomes more tortuous and complex, resulting in higher tortuosity. The velocity field will exhibit more complex patterns, with potential occurrences of vortices and localized high-velocity regions.

3.3. Nonlinear Seepage Characteristics

Seepage simulations were performed on five rough fractures with varying matching characteristics but identical average apertures, under different specified inlet flow conditions. The relationship between flow rate Q and the pressure gradient −∇P is depicted in Figure 11. Based on the Forchheimer formula, the relationship between the flow rate Q and the pressure gradient (−∇P) was fitted, resulting in the Forchheimer coefficients A and B.
In each fracture, significant nonlinear seepage was observed and the seepage behavior conformed to the Forchheimer formula, where the flow rate (Q) and the pressure gradient (−∇P) exhibit a quadratic relationship. However, under average aperture conditions, the degree of nonlinearity varies significantly and systematically with different mismatch characteristics, showing the following: results show that a greater mismatch in fractures leads to more pronounced flow nonlinearity. Additionally, a larger nonlinear coefficient β results in more pronounced curvature of the curves on the graph. Furthermore, a smaller hydraulic aperture e h indicates weaker permeability of the fractures under the same conditions.
Figure 12 illustrates the relationship between σ and β. The data indicate that as σ increases, β significantly rises, showing a distinct nonlinear growth trend. The data have been fitted to an expression that reflects the impact of fracture surface mismatch on flow characteristics, particularly under conditions of higher mismatch, where the complexity of fluid dynamics markedly increases.
The nonlinear seepage characteristics can be attributed to the following: as flow rates increase, the inertial forces become more significant compared to viscous forces. In mismatched fractures, the increased roughness enhances inertial effects, leading to nonlinear flow behavior as described by the Forchheimer equation. Mismatched fractures create constrictions and expansions along the flow path, causing variations in velocity and pressure. These changes enhance the nonlinearity of the flow, as the fluid accelerates through narrow regions and decelerates in wider areas.
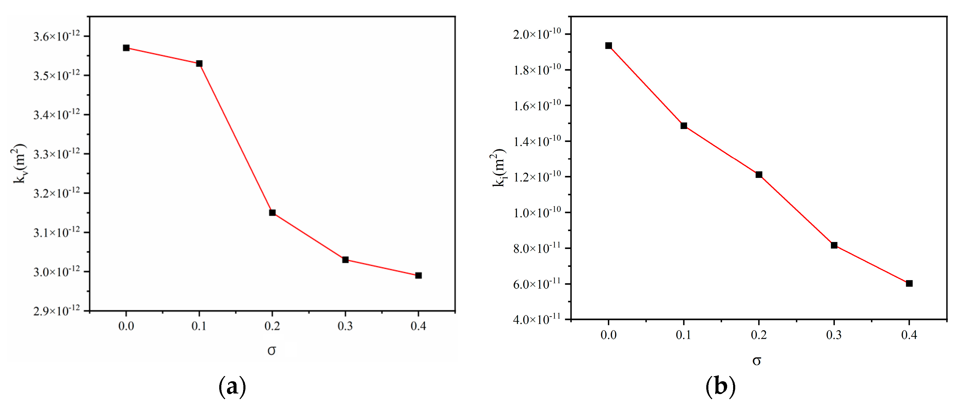
In fractured media, the viscous permeability ( K v ) and inertial permeability ( K i ) can be determined by solving a modified Forchheimer equation. As shown in Figure 13a,b K v decreases with an increase in σ, suggesting that greater mismatch reduces the fracture aperture, potentially decreasing the effective flow cross-sectional area, thus reducing the space available for fluid flow, increasing flow resistance, and enhancing frictional losses. K i also shows a notable decrease as σ increases, indicating that the increasing mismatch and the resultant changes in the fracture’s geometric shape progressively weaken the fluid’s inertial effects. Fractures with a higher degree of mismatch may promote turbulence or uneven flow velocity distributions in localized areas, further enhancing the flow’s nonlinear characteristics while relatively diminishing the inertial effects.
Figure 14 illustrates that in three-dimensional rough fracture models with differing matching characteristics, a larger σ results in lower congruence between the upper and lower surfaces, necessitating a greater −∇P to maintain the same flow rate, Q. Increasing mismatch escalates flow resistance, whereas increased permeability mitigates it. With rising σ values, the slope of the relationship curve between flow rate and pressure gradient diminishes. This effect is primarily due to enhanced inertial effects as fluid velocity increases, leading to the prominent non-Darcy flow behaviors in fractures [45,46,47].

3.4. The Impact of Matrix Permeability on Fluid Flow

The study also explored the impact of matrix addition on fracture seepage, specifically considering scenarios where the matrix permeability is less than that of the fractures, with permeability magnitudes within five orders of magnitude, each simulated separately.
Figure 15 displays the relationship between the exchange flow rate (Q) and the pressure gradient (−∇P) for different matrix permeabilities ( k m ) conditions at σ values of 0.0, 0.1, 0.2, 0.3, and 0.4. The exchange flow rate’s growth is substantial in the initial stages but levels off after a certain pressure difference is reached. When the fracture matching characteristics are the same, an increase in matrix permeability leads to more intense flow exchanges. An increase in matrix permeability suggests that fluids can more readily flow through the matrix’s pores or fractures. At the same pressure gradient, a matrix with higher permeability presents lower resistance to fluids, supports higher flow velocities, and increases the volume of water that flows through a particular area in a given time, thereby increasing the chances for interaction between the water and the matrix.
To delve deeper into the effects of matching characteristics on flow exchange, a graph illustrating the relationship between the pressure gradient and flow exchange under various σ values was constructed, as shown in Figure 16. Within a certain range of pressure gradients, flow exchange exhibits an increase as the pressure gradient rises. Under the same pressure gradient, an increase in mismatch intensity leads to a more pronounced flow exchange. This is due to the increased mismatch between the upper and lower surfaces of a fracture, resulting in a more complex and uneven internal geometry. This unevenness creates additional micro-obstacles and dead zones, which intensify the turbulence in the fluid flow. Increased turbulence enhances the contact area between the fluid and the fracture surfaces, thus strengthening the fluid-rock interaction.

4. Conclusions

This paper constructs mismatched lower surfaces of rough fractures by adding random noise to the upper surfaces and combines these to form three-dimensional rough fracture models with the same dimensions and average apertures, but different matching characteristics. A numerical simulation of seepage was conducted to study the effect of matching on the seepage through these fractures, yielding the following main conclusions:
(1)
When the average aperture remains constant, the aperture distribution in the fractures is controlled by the matching characteristics of the upper and lower surfaces. A weaker match results in greater variance and more dispersed aperture distributions, increasing the likelihood of forming areas significantly smaller or larger than the average aperture.
(2)
Increased mismatch leads to more dispersed flow speeds and directions, uneven flow, and more tortuous streamlines. In fractures with weaker matching, fluid inertia causes localized vortex zones, severely hindering fluid flow and reducing the seepage capacity of the fractures.
(3)
The Forchheimer equation effectively describes the nonlinear flow in rough single-fracture media with different matching characteristics. The nonlinear coefficient (β) shows a distinct increase with higher degrees of mismatch, indicating stronger nonlinearity in flow behavior.
(4)
The study reveals a negative correlation between the degree of mismatch (σ) and both viscous permeability ( K v ) and inertial permeability ( K i ). As σ increases, the fracture aperture reduces, leading to higher flow resistance and enhanced frictional losses. Fractures with a higher degree of mismatch exhibit more pronounced turbulence and uneven flow velocity distributions, contributing to diminished inertial effects and increased flow nonlinearity.
(5)
The addition of a matrix with varying permeability magnitudes influences the flow exchange between the fracture and the surrounding matrix. Higher matrix permeability leads to more intense flow exchanges, as fluids can more readily traverse through the matrix’s pores or fractures. This results in lower flow resistance and higher interaction between the fluid and the matrix.
(6)
The microscopic mechanisms behind the observed phenomena include increased surface roughness and flow path complexity, local pressure variations, and the formation of vortices. These factors collectively contribute to the non-uniform velocity distribution, enhanced energy dissipation, and the nonlinear relationship between flow rate and pressure gradient.
This comprehensive analysis provides a deeper understanding of the fluid dynamics in rough, mismatched fractures, highlighting the significant impact of fracture surface characteristics on flow behavior. The insights gained from this study have important implications for various applications, including hydrogeology, environmental engineering, and resource extraction, where accurate predictions of fluid flow in fractured media are crucial.

Author Contributions

Methodology, P.L.; Project administration and Supervision, Y.D., Writing—original draft, P.L. and Y.D.; Visualization and Writing-review, H.Y. All authors have read and agreed to the published version of the manuscript.

Funding

This research work was financially supported by the Sichuan Science and Technology Program (No. 2023YFS0408).

Data Availability Statement

Data will be made available on request.

Acknowledgments

The authors thank Xu Tian and Lin Chen for their valuable comments and suggestions. We also wish to thank the editor and reviewers for their constructive and insightful comments on the manuscript.

Conflicts of Interest

The authors declare no conflict of interest.

References

  1. Lei, Q.; Yang, L.; Duan, Y.; Weng, D.; Wang, X.; Guan, B.; Wang, Z.; Guo, Y. The “fracture-controlled reserves” based stimulation technology for unconventional oil and gas reservoirs. Pet. Explor. Dev. 2018, 45, 770–778. [Google Scholar] [CrossRef]
  2. Yang, W.; Fang, Z.; Wang, H.; Li, L.; Shi, S.; Ding, R.; Bu, L.; Wang, M. Analysis on Water Inrush Process of Tunnel with Large Buried Depth and High Water Pressure. Processes 2019, 7, 134. [Google Scholar] [CrossRef]
  3. Guo, T.; Zhang, Y.; Zhang, W.; Niu, B.; He, J.; Chen, M.; Yu, Y.; Xiao, B.; Xu, R. Numerical simulation of geothermal energy productivity considering the evolution of permeability in various fractures. Appl. Therm. Eng. 2022, 201, 117756. [Google Scholar] [CrossRef]
  4. Liu, H.B.; Zhou, J.Q.; Li, C.D.; Tan, J.; Hou, D. Semi-empirical models for predicting stable water inflow and influence radius of a tunnel considering non-Darcian effect. J. Hydrol. 2023, 621, 129574. [Google Scholar] [CrossRef]
  5. Shamsi, M.M.M.; Nia, S.F.; Jessen, K. Dynamic conductivity of proppant-filled fracturesz. J. Pet. Sci. Eng. 2017, 151, 183–193. [Google Scholar] [CrossRef]
  6. Brown, S.R. Fundamental Study of the Closure Property of Joints (Rock Mechanics, Geophysics, Fractures). Ph.D. Thesis, Columbia University, New York, NY, USA, 1984. [Google Scholar]
  7. Brown, S.R.; Kranz, R.L.; Bonner, B.P. Correlation between the surfaces of natural rock joints. Geophys. Res. Lett. 1986, 13, 1430–1433. [Google Scholar] [CrossRef]
  8. Talon, L.; Auradou, H.; Hansen, A. Permeability estimates of self-affine fracture faults based on generalization of the bottleneck concept. Water Resour. Res. 2010, 46, W07601. [Google Scholar] [CrossRef]
  9. Zheng, J.; Jin, Y.; Liu, X.; Wang, C.; Liu, X. Validity of triple-effect model for fluid flow in mismatched, self-affine fractures. Adv. Water Resour. 2020, 140, 103585. [Google Scholar] [CrossRef]
  10. Huang, N.; Zhang, Y.; Yin, Q.; Jiang, Y.; Liu, R. Combined Effect of Contact Area, Aperture Variation, and Fracture Connectivity on Fluid Flow through Three-Dimensional Rock Fracture Networks. Lithosphere 2022, 2022, 2097990. [Google Scholar] [CrossRef]
  11. Gao, X.; Zhang, Y.; Cheng, Y.; Yu, Z.; Hu, Z.; Huang, Y. Heat extraction performance of fractured geothermal reservoirs considering aperture variability. Energy 2023, 269, 126806. [Google Scholar] [CrossRef]
  12. Hyman, J.D.; Sweeney, M.R.; Frash, L.P.; Carey, J.W.; Viswanathan, H.S. Scale-Bridging in Three-Dimensional Fracture Networks: Characterizing the Effects of Variable Fracture Apertures on Network-Scale Flow Channelization. Geophys. Res. Lett. 2021, 48, e2021GL094400. [Google Scholar] [CrossRef]
  13. Xing, K.; Shi, X.; Kang, X.; Qian, J.; Wu, J. Influence of aperture field anisotropy on the immiscible displacement regime transition in rough fractures. J. Hydrol. 2024, 632, 130908. [Google Scholar] [CrossRef]
  14. Lenci, A.; Méheust, Y.; Putti, M.; Di Federico, V. Monte Carlo Simulations of Shear-Thinning Flow in Geological Fractures. Water Resour. Res. 2022, 58, e2022WR032024. [Google Scholar] [CrossRef]
  15. Lenci, A.; Putti, M.; Di Federico, V.; Méheust, Y. A Lubrication-Based Solver for Shear-Thinning Flow in Rough Fractures. Water Resour. Res. 2022, 58, e2021WR031760. [Google Scholar] [CrossRef]
  16. Rong, G.; Yang, J.; Cheng, L.; Zhou, C. Laboratory investigation of nonlinear flow characteristics in rough fractures during shear process. J. Hydrol. 2016, 541, 1385–1394. [Google Scholar] [CrossRef]
  17. Méheust, Y.; Schmittbuhl, J. Geometrical heterogeneities and permeability anisotropy of rough fractures. J. Geophys. Res. Solid Earth 2001, 106, 2089–2102. [Google Scholar] [CrossRef]
  18. Ren, F.; Ma, G.; Fu, G.; Zhang, K. Investigation of the permeability anisotropy of 2D fractured rock masses. Eng. Geol. 2015, 196, 171–182. [Google Scholar] [CrossRef]
  19. Ranjbar, A.; Cherubini, C.; Pastore, N. Experimental Investigation on Water Seepage through Transparent Synthetic Rough-Walled Fractures. Water 2022, 14, 3199. [Google Scholar] [CrossRef]
  20. Dong, T.; Zhou, J.; Yan, Z.; Wu, Y.; Mao, T. Study on Voids and Seepage Characteristics within Rock Fracture after Shear Dislocation Viewing from CT Test and Numerical Modeling. Appl. Sci. 2024, 14, 1013. [Google Scholar] [CrossRef]
  21. Wang, S.; Zhang, Q.; Zhao, L.; Jin, Y.; Qian, J. Seepage Characteristics Study of Single Rough Fracture Based on Numerical Simulation. Appl. Sci. 2022, 12, 7328. [Google Scholar] [CrossRef]
  22. Luo, Y.; Zhu, Y.; Huang, F. An Experimental Study on the Seepage Characteristics of Rough Fractures in Coal under Stress Loading. Processes 2024, 12, 757. [Google Scholar] [CrossRef]
  23. Shi, L.; Guan, G.; Zhang, J.; Zhang, B.; Song, D. Numerical analysis of seepage law for radial fluid flow in a single fracture: Comparison between smooth and rough fractures. Phys. Fluids 2024, 36, 013602. [Google Scholar] [CrossRef]
  24. Xue, K.; Zhang, Z.; Hao, S.; Luo, P.; Wang, Y. On the onset of nonlinear fluid flow transition in rock fracture network: Theoretical and computational fluid dynamic investigation. Phys. Fluids 2022, 34, 125114. [Google Scholar] [CrossRef]
  25. Petrovitch, C.L.; Nolte, D.D.; Pyrak-Nolte, L.J. Scaling of fluid flow versus fracture stiffness. Geophys. Res. Lett. 2013, 40, 2076–2080. [Google Scholar] [CrossRef]
  26. Wibowo, J.L. Effect of Boundary Conditions and Surface Damage on the Shear Behavior of Rock Joints: Tests and Analytical Predictions. Ph.D. Thesis, University of Colorado at Boulder, Boulder, CO, USA, 1994. [Google Scholar]
  27. Ogilvie, S.R.; Isakov, E.; Glover, P.W.J. Fluid flow through rough fractures in rocks. II: A new matching model for rough rock fractures. Earth Planet. Sci. Lett. 2006, 241, 454–465. [Google Scholar] [CrossRef]
  28. Yin, P.; Zhao, C.; Ma, J.; Yan, C.; Huang, L. Experimental study of non-linear fluid flow though rough fracture based on fractal theory and 3D printing technique. Int. J. Rock Mech. Min. Sci. 2020, 129, 104293. [Google Scholar] [CrossRef]
  29. Cao, C.; Xu, Z.; Chai, J.; Li, Y. Radial fluid flow regime in a single fracture under high hydraulic pressure during shear process. J. Hydrol. 2019, 579, 124142. [Google Scholar] [CrossRef]
  30. Chen, Y.; Lian, H.; Liang, W.; Yang, J.; Nguyen, V.P.; Bordas, S.P.A. The influence of fracture geometry variation on non-Darcy flow in fractures under confining stresses. Int. J. Rock Mech. Min. Sci. 2019, 113, 59–71. [Google Scholar] [CrossRef]
  31. Raven, K.G.; Gale, J.E.; Sciences, M.; Abstracts, G. Water flow in a natural rock fracture as a function of stress and sample size. Int. J. Rock Mech. Min. Sci. Geomech. Abstr. 1985, 22, 251–261. [Google Scholar] [CrossRef]
  32. Chen, Y.-F.; Zhou, J.-Q.; Hu, S.-H.; Hu, R.; Zhou, C.-B. Evaluation of Forchheimer equation coefficients for non-Darcy flow in deformable rough-walled fractures. J. Hydrol. 2015, 529, 993–1006. [Google Scholar] [CrossRef]
  33. Zhou, J.-Q.; Hu, S.-H.; Fang, S.; Chen, Y.-F.; Zhou, C.-B. Nonlinear flow behavior at low Reynolds numbers through rough-walled fractures subjected to normal compressive loading. Int. J. Rock Mech. Min. Sci. 2015, 80, 202–218. [Google Scholar] [CrossRef]
  34. Chen, Y.; Selvadurai, A.P.S.; Zhao, Z. Modeling of flow characteristics in 3D rough rock fracture with geometry changes under confining stresses. Comput. Geotech. 2021, 130, 103910. [Google Scholar] [CrossRef]
  35. Matsuki, K.; Chida, Y.; Sakaguchi, K.; Glover, P.W.J. Size effect on aperture and permeability of a fracture as estimated in large synthetic fractures. Int. J. Rock Mech. Min. Sci. 2006, 43, 726–755. [Google Scholar] [CrossRef]
  36. Walsh, R.; McDermott, C.; Kolditz, O. Numerical modeling of stress-permeability coupling in rough fractures. Hydrogeol. J. 2008, 16, 613–627. [Google Scholar] [CrossRef]
  37. Wang, M.; Chen, Y.-F.; Ma, G.-W.; Zhou, J.-Q.; Zhou, C.-B. Influence of surface roughness on nonlinear flow behaviors in 3D self-affine rough fractures: Lattice Boltzmann simulations. Adv. Water Resour. 2016, 96, 373–388. [Google Scholar] [CrossRef]
  38. Liu, R.; Li, B.; Jiang, Y. Critical hydraulic gradient for nonlinear flow through rock fracture networks: The roles of aperture, surface roughness, and number of intersections. Adv. Water Resour. 2016, 88, 53–65. [Google Scholar] [CrossRef]
  39. Qian, X.; Xia, C.; Gui, Y.; Zhuang, X.; Yu, Q. Study on flow regimes and seepage models through open rough-walled rock joints under high hydraulic gradient. Hydrogeol. J. 2019, 27, 1329–1343. [Google Scholar] [CrossRef]
  40. Xiong, Q.; Yang, D.; Chen, W. Multi-scale modelling of gas flow in nanoscale pore space with fractures. J. Rock Mech. Geotech. Eng. 2020, 12, 32–40. [Google Scholar] [CrossRef]
  41. Zou, L.; Jing, L.; Cvetkovic, V. Shear-enhanced nonlinear flow in rough-walled rock fractures. Int. J. Rock Mech. Min. Sci. 2017, 97, 33–45. [Google Scholar] [CrossRef]
  42. Zimmerman, R.W.; Bodvarsson, G.S. Hydraulic conductivity of rock fractures. Transp. Porous Media 1996, 23, 1–30. [Google Scholar] [CrossRef]
  43. Liu, R.; Jiang, Y.; Li, B.; Wang, X. A fractal model for characterizing fluid flow in fractured rock masses based on randomly distributed rock fracture networks. Comput. Geotech. 2015, 65, 45–55. [Google Scholar] [CrossRef]
  44. Holzer, L.; Marmet, P.; Fingerle, M.; Wiegmann, A.; Neumann, M.; Schmidt, V. Review of Theories and a New Classification of Tortuosity Types. In Tortuosity and Microstructure Effects in Porous Media: Classical Theories, Empirical Data and Modern Methods; Springer International Publishing: Cham, Switzerland, 2023; pp. 7–50. [Google Scholar]
  45. Cardenas, M.B.; Slottke, D.T.; Ketcham, R.A.; Sharp, J.M., Jr. Navier-Stokes flow and transport simulations using real fractures shows heavy tailing due to eddies. Geophys. Res. Lett. 2007, 34, L14404. [Google Scholar] [CrossRef]
  46. Qian, J.; Zhan, H.; Luo, S.; Zhao, W. Experimental evidence of scale-dependent hydraulic conductivity for fully developed turbulent flow in a single fracture. J. Hydrol. 2007, 339, 206–215. [Google Scholar] [CrossRef]
  47. Zhou, J.-Q.; Wang, L.; Li, C.; Tang, H.; Wang, L. Effect of fluid slippage on eddy growth and non-Darcian flow in rock fractures. J. Hydrol. 2020, 581, 124440. [Google Scholar] [CrossRef]
Figure 1. Roughness feature cloud map of the upper surface.
Figure 1. Roughness feature cloud map of the upper surface.
Water 16 02426 g001
Figure 2. Comparative cloud map of the upper and lower surfaces of the rough fracture, the following are among them: (a) upper surface; (b) lower surface σ = 0.0; (c) lower surface σ = 0.1; (d) lower surface σ = 0.2; (e) lower surface σ = 0.3; (f) lower surface σ = 0.4.
Figure 2. Comparative cloud map of the upper and lower surfaces of the rough fracture, the following are among them: (a) upper surface; (b) lower surface σ = 0.0; (c) lower surface σ = 0.1; (d) lower surface σ = 0.2; (e) lower surface σ = 0.3; (f) lower surface σ = 0.4.
Water 16 02426 g002
Figure 3. Histogram of fracture aperture frequency distribution under different matching characteristics, the following are among them: (a) σ = 0.0 ; (b) σ = 0.1 ; (c) σ = 0.2 ; (d) σ = 0.3 ; (e) σ = 0.4 .
Figure 3. Histogram of fracture aperture frequency distribution under different matching characteristics, the following are among them: (a) σ = 0.0 ; (b) σ = 0.1 ; (c) σ = 0.2 ; (d) σ = 0.3 ; (e) σ = 0.4 .
Water 16 02426 g003
Figure 4. Fracture mesh division diagram.
Figure 4. Fracture mesh division diagram.
Water 16 02426 g004
Figure 5. Mesh Quantity Sensitivity Analysis.
Figure 5. Mesh Quantity Sensitivity Analysis.
Water 16 02426 g005
Figure 6. Illustration of the numerical model for three-dimensional rough single fracture (a) and porous-fracture dual medium (b) seepage.
Figure 6. Illustration of the numerical model for three-dimensional rough single fracture (a) and porous-fracture dual medium (b) seepage.
Water 16 02426 g006
Figure 7. Three-dimensional fracture velocity field (unit: m/s) at −∇P = 5000 Pa/m in the model (a) σ = 0.0, (b) σ = 0.1, (c) σ = 0.2, (d) σ = 0.3, (e) σ = 0.4.
Figure 7. Three-dimensional fracture velocity field (unit: m/s) at −∇P = 5000 Pa/m in the model (a) σ = 0.0, (b) σ = 0.1, (c) σ = 0.2, (d) σ = 0.3, (e) σ = 0.4.
Water 16 02426 g007
Figure 8. Streamline distribution for different matching characteristics with (a) σ = 0.0, (b) σ = 0.2, and (c) σ = 0.4.
Figure 8. Streamline distribution for different matching characteristics with (a) σ = 0.0, (b) σ = 0.2, and (c) σ = 0.4.
Water 16 02426 g008
Figure 9. Streamline diagrams on the fracture cross-sections under conditions (a) σ = 0.0 and (b) σ = 0.4.
Figure 9. Streamline diagrams on the fracture cross-sections under conditions (a) σ = 0.0 and (b) σ = 0.4.
Water 16 02426 g009
Figure 10. The relationship between τ and σ values.
Figure 10. The relationship between τ and σ values.
Water 16 02426 g010
Figure 11. The relationship curve between Q and −∇P under different σ values.
Figure 11. The relationship curve between Q and −∇P under different σ values.
Water 16 02426 g011
Figure 12. Fitting curve between σ and β.
Figure 12. Fitting curve between σ and β.
Water 16 02426 g012
Figure 13. Fitting curve: (a) fitting curve between σ and viscous permeability K v ; (b) fitting curve between σ and inertial permeability K i .
Figure 13. Fitting curve: (a) fitting curve between σ and viscous permeability K v ; (b) fitting curve between σ and inertial permeability K i .
Water 16 02426 g013
Figure 14. Graph of the relationship between Q and −∇P at different permeabilities ( k m ) when (a) σ = 0.0; (b) σ = 0.2; (c) σ = 0.4.
Figure 14. Graph of the relationship between Q and −∇P at different permeabilities ( k m ) when (a) σ = 0.0; (b) σ = 0.2; (c) σ = 0.4.
Water 16 02426 g014
Figure 15. Relationship between flow rate Q and pressure gradient −∇P for different matrix permeabilities K when (a) σ = 0.0; (b) σ = 0.1; (c) σ = 0.2; (d) σ = 0.3; (e) σ = 0.4.
Figure 15. Relationship between flow rate Q and pressure gradient −∇P for different matrix permeabilities K when (a) σ = 0.0; (b) σ = 0.1; (c) σ = 0.2; (d) σ = 0.3; (e) σ = 0.4.
Water 16 02426 g015
Figure 16. Relationship between exchange flow rate Q and Pressure Gradient −∇P under different σ values.
Figure 16. Relationship between exchange flow rate Q and Pressure Gradient −∇P under different σ values.
Water 16 02426 g016
Disclaimer/Publisher’s Note: The statements, opinions and data contained in all publications are solely those of the individual author(s) and contributor(s) and not of MDPI and/or the editor(s). MDPI and/or the editor(s) disclaim responsibility for any injury to people or property resulting from any ideas, methods, instructions or products referred to in the content.

Share and Cite

MDPI and ACS Style

Li, P.; Deng, Y.; Yang, H. Numerical Simulation of Non-Matching Rough Fracture Seepage. Water 2024, 16, 2426. https://doi.org/10.3390/w16172426

AMA Style

Li P, Deng Y, Yang H. Numerical Simulation of Non-Matching Rough Fracture Seepage. Water. 2024; 16(17):2426. https://doi.org/10.3390/w16172426

Chicago/Turabian Style

Li, Pengjie, Yinger Deng, and Hongkun Yang. 2024. "Numerical Simulation of Non-Matching Rough Fracture Seepage" Water 16, no. 17: 2426. https://doi.org/10.3390/w16172426

APA Style

Li, P., Deng, Y., & Yang, H. (2024). Numerical Simulation of Non-Matching Rough Fracture Seepage. Water, 16(17), 2426. https://doi.org/10.3390/w16172426

Note that from the first issue of 2016, this journal uses article numbers instead of page numbers. See further details here.

Article Metrics

Back to TopTop