Developing Macroinvertebrate Biotic Indices in Nigerian Urban-Agricultural River Catchments: Is the Continuous Scoring System More Effective than Discrete Scoring System?
Abstract
1. Introduction
2. Materials and Methods
2.1. Study Area
2.2. Station Selection/Sampling Design
2.3. Physico-Chemical Variables Sampling
2.4. Macroinvertebrates Sampling
2.5. Station Classification/Categorisation Using Physico-Chemical Variables
2.6. Macroinvertebrate-Based Metrics
2.7. Selection of Metrics and Index Development
2.7.1. Sensitivity
2.7.2. Seasonality
2.7.3. Redundancy
2.7.4. Signal/Noise (Repeatability)
2.7.5. Metric Scoring/Integration: Continuous Scoring System versus Discrete Scoring System
2.7.6. Metric Validation
2.8. Relationship between Physico-Chemical Variables and Integrated Metrics
2.9. Data Analyses
3. Results
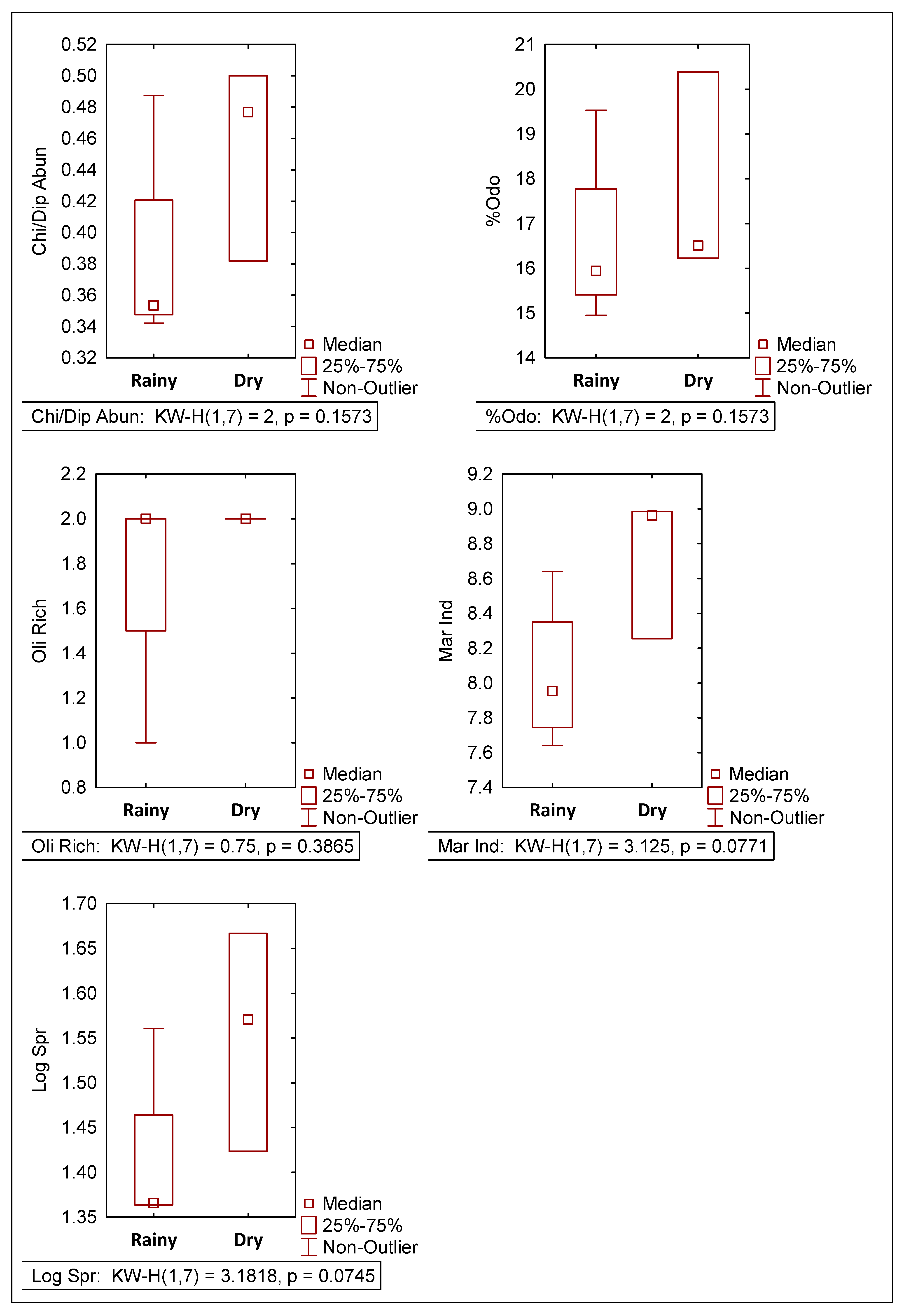
3.1. Metric Sensitivity and Seasonality Tests
3.2. Metric Redundancy and Signal/Noise (Repeatability) Tests
3.3. Scoring/Integration of Metric and Index Development
3.3.1. Continuous Scoring System
3.3.2. Discrete Scoring System
3.4. Metric Validation
3.4.1. Continuous Versus Discrete Scoring Systems
3.4.2. Relationship between Physico-Chemical Variables and the Metrics Integrated into the MMI in This Study
4. Discussion
4.1. Metric Validation: Applicability and Effectiveness of Continuous Versus Discrete Scoring Systems
4.2. Correlating Physico-Chemical Variables with Integrated Metrics
5. Conclusions
Author Contributions
Funding
Data Availability Statement
Acknowledgments
Conflicts of Interest
Appendix A
| Metrics | Definition of Metrics | Metric Measures | Metric Selection Tests | Retained Metrics for Final MMI | |||
|---|---|---|---|---|---|---|---|
| Sensitivity | Seasonality | Redundancy | Signal/Noise | ||||
| EPT Abun | Absolute abundance of Ephemeroptera Plecoptera and Trichoptera | A | X | ||||
| Eph Abun | Absolute abundance of Ephemeroptera | A | X | ||||
| Tri Abun | Absolute abundance of Trichoptera | A | X | ||||
| ETOC Abun | Absolute abundance of Ephemeroptera Trichoptera Odonata and Coleoptera | A | X | ||||
| Chi Abun | Absolute abundance of Chironomidae | A | X | ||||
| Chi+Oli Abun | Absolute abundance of Chironomidae+Oligochaeta | A | X | ||||
| Oli Abun | Absolute abundance of Oligochaeta | A | X | ||||
| Dip Abun | Absolute abundance of Diptera | A | X | ||||
| Mol+Dip Abun | Absolute abundance of Mollusca+Diptera | A | X | ||||
| Dec Abun | Absolute abundance of Decapoda | A | X | ||||
| Mol Abun | Absolute abundance of Mollusca | A | X | ||||
| Mol+Dec Abun | Absolute abundance of Mollusca+Decapoda | A | X | ||||
| Col Abun | Absolute abundance of Coleoptera | A | X | ||||
| Odo Abun | Absolute abundance of Odonata | A | X | ||||
| Hem Abun | Absolute abundance of Hemiptera | A | X | ||||
| Col+Hem Abun | Absolute abundance of Coleoptera+Hemiptera | A | X | ||||
| EPT/Chi Abun | Absolute abundance of Ephemeroptera Plecoptera and Trichoptera/Chironomidae | A | X | ||||
| ETOC/Chi Abun | Absolute abundance of Ephemeroptera Trichoptera Odonata and Coleoptera/Chironomidae | A | X | ||||
| ETOC/Dip Abun | Absolute abundance of Ephemeroptera Trichoptera Odonata and Coleoptera/Diptera | A | X | ||||
| Chi/Dip Abun | Absolute abundance of Chironomidae/Diptera absolute | A | √ | ||||
| %EPT | Ephemeroptera, Plecoptera and Trichoptera relative abundance | B | X | ||||
| %Eph | Ephemeroptera relative abundance | B | X | ||||
| %ETOC | Ephemeroptera, Trichoptera, Odonata and Coleoptera relative abundance | B | X | ||||
| %Tri | Trichoptera relative abundance | B | X | ||||
| %Chi | Chironomidae relative abundance | B | X | X | |||
| %Chi+Oli | Chironomidae+Oligochaeta relative abundance | B | X | ||||
| %Oli | Oligochaeta relative abundance | B | X | ||||
| %Dip | Diptera relative abundance | B | X | ||||
| %Dec | Decapoda relative abundance | B | X | ||||
| %Mol | Mollusca relative abundance | B | X | ||||
| %Mol+Dec | Mollusca+Decapoda relative abundance | B | X | ||||
| %Odo | Odonata relative abundance | B | √ | ||||
| %Hem | Hemiptera relative abundance | B | X | ||||
| %Col | Coleoptera relative abundance | B | X | ||||
| %Col+Hem | Coleoptera+Hemiptera relative abundance | B | X | ||||
| %Mol+Dip | Mollusca+Diptera relative abundance | B | X | ||||
| EPT Rich | Ephemeroptera, Plecoptera and Trichoptera richness | C | X | ||||
| Eph Rich | Ephemeroptera richness | C | X | ||||
| Tri Rich | Trichoptera richness | C | X | ||||
| Dip Rich | Diptera richness | C | X | ||||
| ETOC Rich | Ephemeroptera, Trichoptera, Odonata and Coleoptera richness | C | X | ||||
| Chi Rich | Chironomidae richness | C | X | ||||
| Chi+Oli Rich | Chironomidae+Oligochaeta richness | C | X | ||||
| Mol Rich | Mollusca richness | C | X | ||||
| Col+Hem Rich | Coleoptera+Hemiptera richness | C | X | ||||
| Col Rich | Coleoptera richness | C | X | ||||
| Hem Rich | Hemiptera richness | C | X | ||||
| Odo Rich | Odonata richness | C | X | ||||
| Oli Rich | Oligochaeta richness | C | √ | ||||
| Dec Rich | Decapoda richness | C | X | ||||
| Eve Ind | Evenness index | D | X | ||||
| Sha Div | Shannon-Weiner index diversity | D | X | ||||
| Mar Ind | Margalef index | D | √ | ||||
| Sim Div | Simpson diversity | D | X | ||||
| Log Aer | Logarithm of relative abundance of aerial: spiracle | E | X | ||||
| Log SoE | Logarithm of relative abundance of soft and exposed | E | X | ||||
| Log CaT | Logarithm of relative abundance of cased/tubed | E | X | ||||
| Log Opa | Logarithm of relative abundance of preference for opaque water | E | X | ||||
| Log FrL | Logarithm of relative abundance of free-living | E | X | ||||
| Log Spr | Logarithm of relative abundance of sprawler | E | √ | ||||
| Log Swi | Logarithm of relative abundance of swimmer | E | X | ||||
| Log DeF | Logarithm of relative abundance of detritus (FPOM) | E | X | ||||
| Log DeC | Logarithm of relative abundance of detritus (CPOM) | E | X | ||||
| Log VeS | Logarithm of relative abundance of very small (<5mm) | E | X | ||||
| Log Sma | Logarithm of relative abundance of small, >5–10mm | E | X | ||||
| Log Lav | Logarithm of relative abundance of larva | E | X | ||||
| Log Shr | Logarithm of relative abundance of shredder | E | X | ||||
References
- Schuyt, K.D. Economic consequences of wetland degradation for local populations in Africa. Ecol. Econ. 2005, 53, 177–190. [Google Scholar] [CrossRef]
- Kangalawe, R.Y.; Liwenga, E.T. Livelihoods in the wetlands of Kilombero Valley in Tanzania: Opportunities and challenges to integrated water resource management. Phys. Chem. Earth Parts A/B/C 2005, 30, 968–975. [Google Scholar] [CrossRef]
- Mereta, S.T.; Boets, P.; De Meester, L.; Goethals, P.L.M.C. Development of multimetric index based on benthic macroinvertebrates for the assessment of natural wetlands in southwest Ethiopia. Ecol. Indicat. 2013, 29, 510–521. [Google Scholar] [CrossRef]
- Hughes, R.M.; Noss, R.F. Biological diversity and biological integrity: Current concerns for lakes and streams. Fisheries 1992, 17, 11–19. [Google Scholar] [CrossRef]
- Karr, J.R.; Chu, E.W. Biological Monitoring and Assessment: Using Multimetric Indices Effectively; EPA 235- R97-001; University of Washington: Seattle, WA, USA, 1997; 45p. [Google Scholar]
- Karr, J.R. Defining and measuring river health. Freshw. Biol. 1999, 41, 221–234. [Google Scholar] [CrossRef]
- Davies, S.P.; Jackson, S.K. The biological condition gradient: A descriptive model for interpreting change in aquatic ecosystems. Ecol. Appl. 2006, 16, 1251–1266. [Google Scholar] [CrossRef] [PubMed]
- Macedo, D.R.; Hughes, R.M.; Ferreira, W.R.; Firmiano, K.R.; Silva, D.R.; Ligeiro, R.; Kaufmann, P.R.; Callisto, M. Development of a benthic macroinvertebrate multimetric index (MMI) for Neotropical Savanna headwater streams. Ecol. Indicat. 2016, 64, 132–141. [Google Scholar] [CrossRef]
- Wang, L.; Kanehl, P. Influences of watershed urbanization and instream habitat on macroinvertebrates in cold water streams. J. Am. Water Resour. Assoc. 2003, 39, 1181–1196. [Google Scholar] [CrossRef]
- Allan, J.D. Influence of land use and landscape setting on the ecological status of rivers. Limnetica 2004, 23, 187–197. [Google Scholar] [CrossRef]
- Hughes, R.M.; Herlihy, A.T.; Gerth, W.J.; Pan, Y. Estimating vertebrate, benthic macroinvertebrate, and diatom taxa richness in raftable Pacific Northwest rivers for bioassessment purposes. Environ. Monit. Assess. 2012, 184, 3185–3198. [Google Scholar] [CrossRef]
- Malmqvist, B.; Rundle, S. Threats to the running water ecosystems of the world. Environ. Conserv. 2002, 29, 134–153. [Google Scholar] [CrossRef]
- Barlow, J.; França, F.; Gardner, T.A.; Hicks, C.C.; Lennox, G.D.; Berenguer, E.; Castello, L.; Economo, E.P.; Ferreira, J.; Guénard, B.; et al. The future of hyperdiverse tropical ecosystems. Nature 2018, 559, 517–526. [Google Scholar] [CrossRef]
- Sayer, C.A.; Máiz-Tomé, L.; Darwall, W.R.T. (Eds.) Freshwater Biodiversity in the Lake Victoria Basin: Guidance for Species Conservation, Site Protection, Climate Resilience and Sustainable Livelihoods; International Union for Conservation of Nature: Cambridge, UK, 2018. [Google Scholar]
- Millennium Ecosystem Assessment (MEA). Millennium Ecosystem Assessment. Ecosystems and Human Well-Being: Synthesis; Island Press: Washington, DC, USA, 2005. [Google Scholar]
- Parienté, W. Urbanisation in Sub-Saharan Africa and challenges of access to basic services. J. Demogr. Econ. 2017, 83, 31–39. [Google Scholar] [CrossRef]
- Edegbene, A.O.; Arimoro, F.O.; Odume, O.N. Developing and applying a macroinvertebrate-based multimetric index for urban rivers in the Niger Delta, Nigeria. Ecol. Evol. 2019, 9, 12869–12885. [Google Scholar] [CrossRef]
- Marzin, A.; Archaimbault, V.; Belliard, J.; Chauvin, C.; Delmas, F.; Pont, D. Ecological assessment of running waters: Do macrophytes, macroinvertebrates, diatoms and fish show similar responses to human pressures? Ecol. Indicat. 2012, 23, 56–65. [Google Scholar] [CrossRef]
- Arimoro, F.O.; Odume, O.N.; Uhunoma, S.I.; Edegbene, A.O. Anthropogenic impact on water chemistry and benthic macroinvertebrate associated changes in a southern Nigeria stream. Environ. Monit. Assess. 2015, 187, 1–14. [Google Scholar] [CrossRef]
- Aazami, J.; Esmaili Sari, A.; Abdoli, A.; Sohrabi, H.; Van den Brink, P.J. Assessment of ecological quality of the Tajan River in Iran using a multimetric macroinvertebrate index and species traits. Environ. Manag. 2015, 56, 260–269. [Google Scholar] [CrossRef]
- Bonada, N.; Prat, N.; Resh, V.H.; Statzner, B. Development in aquatic insect biomonitoring: A comparative analysis of recent approaches. Annu. Rev. Entomol. 2006, 51, 495–523. [Google Scholar] [CrossRef]
- Katsiapi, M.; Moustaka-Gouni, M.; Sommer, U. Assessing ecological water quality of freshwaters: Phycol-a new phytoplankton community index. Ecol. Inform. 2016, 31, 22–29. [Google Scholar] [CrossRef]
- Ntislidou, C.; Lazaridou, M.; Tsiaoussi, V.; Bobori, D.C. A new multimetric index for the ecological assessment of Mediterranean lakes. Ecol. Indicat. 2018, 93, 1020–1033. [Google Scholar] [CrossRef]
- Edegbene, A.O.; Elakhame, L.A.; Arimoro, F.O.; Osimen, E.C.; Odume, O.N. Development of Macroinvertebrates Multimetric Index for Ecological Evaluation of a River in North Central Nigeria. Environ. Monit. Assess. 2019, 191, 274. [Google Scholar] [CrossRef]
- Gieswein, A.; Hering, D.; Lorenz, A.W. Development and validation of a macroinvertebrate-based biomonitoring tool to assess fine sediment impact in small mountain streams. Sci. Total Environ. 2019, 652, 1290–1301. [Google Scholar] [CrossRef] [PubMed]
- Petriki, O.; Lazaridou, M.; Bobori, D.C. A fish-based index for the assessment of the ecological quality of temperate lakes. Ecol. Indicat. 2017, 78, 556–565. [Google Scholar] [CrossRef]
- Odume, O.N.; Muller, W.J.; Arimoro, F.O.; Palmer, C.G. The impact of water quality deterioration on macroinvertebrate communities in the Swartkops River, South Africa: A multimetric approach. Afr. J. Aquat. Sci. 2012, 37, 191–200. [Google Scholar] [CrossRef]
- Chirwa, E.R.; Chilima, L. Use of benthic macroinvertebrate indices as bioindication of ecosystem health for the detection of degraded landscape in Malawi. Int. J. Agric. For. Fish. 2017, 5, 128–134. Available online: http://www.openscienceonline.com/journal/ijaff (accessed on 4 June 2024).
- Lakew, A.; Moog, O. A multimetric index based on benthic macroinvertebrates for assessing the ecological status of streams and rivers in central and southeast highlands of Ethiopia. Hydrobiologia 2015, 751, 229–242. [Google Scholar] [CrossRef]
- Aura, C.M.; Kimani, E.; Musa, S.; Kundu, R.; Njiru, J.M. Spatio-temporal macroinvertebrate multi-index of biotic integrity (MMiBI) for a coastal river basin: A case study of River Tana, Kenya. Ecohydrol. Hydrobiol. 2017, 17, 113–124. [Google Scholar] [CrossRef]
- Edegbene, A.O.; Akamagwuna, F.C.; Arimoro, F.O.; Akumabor, E.C.; Kaine, E.A. Effects of urban-agricultural land-use on Afrotropical macroinvertebrate functional feeding groups in selected rivers in the Niger Delta Region, Nigeria. Hydrobiologia 2022, 849, 4857–4869. [Google Scholar] [CrossRef]
- Monaghan, K.; Soares, A.M.V.M. Bringing new knowledge to an old problem: Building a biotic index from lotic macroinvertebrates traits. Ecol. Indicat. 2012, 20, 213–220. [Google Scholar] [CrossRef]
- Melo, S.; Stenert, C.; Dalzochio, M.S.; Maltchik, L. Development of a multimetric based on aquatic macroinvertebrate communities to assess water quality of rice fields in southern Brazil. Hydrobiologia 2015, 742, 1–14. [Google Scholar] [CrossRef]
- Ruaro, R.; Gubiani, E.A.; Thomaz, S.M.; Mormul, R.P. Nonnative invasive species are overlooked in biological integrity assessments. Biol. Invasions 2021, 23, 83–94. [Google Scholar] [CrossRef]
- McCormick, F.H.; Hughes, R.M.; Kaufmann, P.R.; Peck, D.V.; Stoddard, J.L.; Herlihy, A.T. Development of an index of biotic integrity for the Mid-Atlantic Highlands Region. Trans. Am. Fish. Soc. 2001, 130, 857–877. [Google Scholar] [CrossRef]
- Wurtzebach, Z.; Schultz, C. Measuring ecological integrity: History, practical applications, and research opportunities. Bioscience 2016, 66, 446–457. [Google Scholar] [CrossRef]
- Moyo, S.; Richoux, N.B. Macroinvertebrate functional organisation along the longitudinal gradient of an austral temperate river. Afr. Zool. 2017, 52, 125–136. [Google Scholar] [CrossRef]
- White, J.C.; Hannah, D.M.; House, A.; Beatson, S.J.; Martin, A.; Wood, P.J. Macroinvertebrate responses to flow and stream temperature variability across regulated and non-regulated rivers. Ecohydrology 2017, 10, e1773. [Google Scholar] [CrossRef]
- Feio, M.J.; Hughes, R.M.; Serra, S.R.; Nichols, S.J.; Kefford, B.J.; Lintermans, M.; Robinson, W.; Odume, O.N.; Callisto, M.; Macedo, D.R.; et al. Fish and macroinvertebrate assemblages reveal extensive degradation of the world’s rivers. Glob. Change Biol. 2023, 29, 355–374. [Google Scholar] [CrossRef]
- Vannote, R.L.; Minshall, G.W.; Cummins, K.W.; Sedell, J.R.; Cushing, C.E. The river continuum concept. Can. J. Fish. Aquat. Sci. 1980, 37, 130–137. [Google Scholar] [CrossRef]
- Tonkin, J.D.; Stoll, S.; Jähnig, S.C.; Haase, P. Elements of metacommunity structure of river and riparian assemblages: Communities, taxonomic groups and deconstructed trait groups. Ecol. Complex. 2016, 25, 35–43. [Google Scholar] [CrossRef]
- Adekola, O.; Mitchell, G. The Niger Delta wetlands: Threats to ecosystem services, their importance to dependent communities and possible management measures. Int. J. Biodivers. Sci. Ecosyst. Serv. Manag. 2011, 7, 50–68. [Google Scholar] [CrossRef]
- Edegbene, A.O.; Arimoro, F.O. Ecological Status of Owan River, Southern Nigeria Using Aquatic Insects as Bioindicators. J. Aquat. Sci. 2012, 27, 99–111. [Google Scholar]
- Edegbene, A.O.; Odume, O.N.; Arimoro, F.O.; Keke, U.N. Identifying and classifying macroinvertebrate indicator signature traits and ecological preferences along urban pollution gradient in the Niger Delta. Environ. Pollut. 2021, 281, 117076. [Google Scholar] [CrossRef]
- Edegbene, A.O. Developing Macroinvertebrate Trait-and Taxonomically-Based Approaches for Biomonitoring Wadeable Riverine Systems in the Niger Delta, Nigeria. Ph.D. Thesis, Rhodes University, Grahamstown, South Africa, 2020; p. 281. [Google Scholar] [CrossRef]
- Edegbene, A.O. Assessing the health of forested riverine systems in the Niger Delta area of Nigeria: A macroinvertebrate-based multimetric index approach. Environ. Sci. Poll. Res. 2022, 29, 15068–15080. [Google Scholar] [CrossRef]
- Edegbene, A.O.; Arimoro, F.O.; Odume, O.N. Exploring the distribution patterns of macroinvertebrate signature traits and ecological preferences and their responses to urban and agricultural pollution in selected rivers in the Niger Delta ecoregion, Nigeria. Aqua. Ecol. 2020, 54, 553–573. [Google Scholar] [CrossRef]
- Dickens, C.W.S.; Graham, P.M. The South African Scoring System (SASS) version 5 rapid bioassessment method for rivers. Afr. J. Aquat. Sci. 2002, 27, 1–10. [Google Scholar] [CrossRef]
- Merritt, R.W.; Cummins, K.W. (Eds.) An Introduction to the Aquatic Insects of North America; Kendall Hunt: Dubuque, IA, USA, 1996. [Google Scholar]
- Day, J.A.; Harrison, A.D.; de Moor, I.J. Guides to the Freshwater Invertebrates of Southern Africa; Diptera. Report No. TT 201/02; Water Research Commission: Pretoria, South Africa, 2003; Volume 9. [Google Scholar]
- de Moor, I.J.; Day, J.A.; de Moor, F.C. Guides to the Freshwater Invertebrates of Southern Africa. Vol. 7: Insecta I (Ephemeroptera, Odonata & Plecoptera); WRC Report No. TT 207/03; Water Research Commission: Pretoria, South Africa, 2003. [Google Scholar]
- Amelework, Z.; Getachew, B.; Minwyelet, M.; Amare, M. Development of a multimetric index for assessing the ecological integrity of some selected rivers and streams in the north-eastern part of Lake Tana sub-basin, Ethiopia. Afr. J. Aquat. Sci. 2021, 47, 1–10. [Google Scholar] [CrossRef]
- Chevenet, F.; Dolédec, S.; Chessel, D. A fuzzy coding approach for analysis of long-term ecological data. Freshw. Biol. 1994, 31, 295–309. [Google Scholar] [CrossRef]
- Stoddard, J.L.; Herlihy, A.T.; Peck, D.V.; Hughes, R.M.; Whittier, T.R.; Tarquinio, E. A process for creating multimetric indices for large-scale aquatic surveys. J. N. Am. Benthol. Soc. 2008, 27, 878–891. [Google Scholar] [CrossRef]
- Terra, B.D.F.; Hughes, R.M.; Francelino, M.R.; Araújo, F.G. Assessment of biotic condition of Atlantic Rain Forest streams: A fish-based multimetric approach. Ecol. Indicat. 2013, 34, 136–148. [Google Scholar] [CrossRef]
- Huang, Q.; Gao, J.; Yin, H.; Gao, Y.; Zhao, J.; Liu, L.; Huang, J. Development and application of benthic macroinvertebrate-based multimetric indices for the assessment of streams and rivers in the Taihu Basin, China. Ecol. Indicat. 2015, 48, 649–659. [Google Scholar] [CrossRef]
- Barbour, M.T.; Gerritsen, J.; Griffith, G.E.; Frydenbourg, R.; McCarron, E.; White, J.S.; Bastian, M.L. A framework for biological criteria for Florida streams using benthic macroinvertebrates. J. North Am. Benthol. Soc. 1996, 15, 185–211. [Google Scholar] [CrossRef]
- Baptista, D.F.; Buss, D.F.; Egler, M.; Giovanelli, A.; Silveira, M.P.; Nessimian, J.L. A multimetric index based on benthic macroinvertebrates for evaluation of Atlantic Forest streams at Rio de Janeiro State, Brazil. Hydrobiologia 2007, 575, 83–94. [Google Scholar] [CrossRef]
- Whittier, T.R.; Hughes, R.M.; Lomnicky, G.A.; Peck, D.V. Fish and amphibian tolerance values and an assemblage tolerance index for streams and rivers in the western USA. Trans. Ame. Fish. Soc. 2007, 136, 254–271. [Google Scholar] [CrossRef]
- ter Braak, C.J.F. Ordination. In Data Analysis in Community and Landscape Ecology; Jongman, R.H.J., terBraak, C.J.F., van Tongeren, O.F.R., Eds.; Cambridge University Press: Cambridge, UK, 1995; pp. 91–173. [Google Scholar]
- Legendre, P.; Legendre, L. Numerical Ecology. Development in Environmental Modelling, 3rd ed.; Elsevier: Amsterdam, The Netherlands, 2012; Volume 24, 1006p. [Google Scholar]
- Oksanen, J.; Blanchet, D.; Minchin, P.R.; O’Hara, R.B.; Simpson, G.L.; Solymos, P.; Steven, M.H.M.; Szoecs, E.; Wagner, H. R-Core-Team 2019. Vegan: Community Ecology Package, 2019.
- R Core Team. R: A Language and Environment for Statistical Computing; R Foundation for Statistical Computing: Vienna, Austria, 2019; Available online: https://www.R-project.org/ (accessed on 4 February 2019).
- Hammer, Ø.; Harper, D.A.T.; Ryan, P.D. PAST: Paleontological statistics software package for education and data analysis. Palaeontol. Electron. 2001, 4, 9. Available online: http://palaeo-electronica.org/2001_1/past/issue1_01.htm (accessed on 1 July 2015).
- Edegbene, A.O.; Arimoro, F.O.; Odoh, O.; Ogidiaka, E. Effect of anthropogenicity on the composition and diversity of aquatic insects of a municipal river in North Central Nigeria. Biosci. Res. Today’s World 2015, 1, 55–66. [Google Scholar]
- Kleine, P.A.N.D.; Trivinho-Strixino, S. Chironomidae and other aquatic macroinvertebrates of a first order stream: Community response after habitat fragmentation. Acta Limnol. Bras. 2005, 17, 81–90. [Google Scholar]
- Macedo, D.R.; Hughes, R.M.; Ligeiro, R.; Ferreira, W.R.; Castro, M.A.; Junqueira, N.T.; Oliveira, D.R.; Firmiano, K.R.; Kaufmann, P.R.; Pompeu, P.S.; et al. The relative influence of catchment and site variables on fish and macroinvertebrate richness in cerrado biome streams. Landsc. Ecol. 2014, 29, 1001–1016. [Google Scholar] [CrossRef]
- Ndaruga, A.M.; Ndiritu, G.G.; Gichuki, N.N.; Wamicha, W.N. Impact of water quality on macroinvertebrate assemblages along a tropical stream in Kenya. Afr. J. Aquat. Sci. 2004, 42, 208–216. [Google Scholar] [CrossRef]
- Li, R.; Zhu, G.; Lu, S.; Sang, L.; Meng, G.; Chen, L.; Jiao, Y.; Wang, Q. Effects of urbanization on the water cycle in the Shiyang River basin: Based on a stable isotope method. Hydrol. Earth Sys. Sci. 2023, 27, 4437–4452. [Google Scholar] [CrossRef]
- Paul, M.J.; Meyer, J.L. Streams in the urban landscape. Annu. Rev. Ecol. Syst. 2001, 32, 333–365. [Google Scholar] [CrossRef]
- Meyer, C.K.; Whiles, M.R. Macroinvertebrate communities in restored and natural Platte River slough wetlands. J. North Am. Benthol. Soc. 2008, 27, 626–639. [Google Scholar] [CrossRef]
- Walsh, C.J.; Waller, K.A.; Gehling, J.; Nally, R.M. Riverine invertebrate assemblages are degraded more by catchment urbanisation than by riparian deforestation. Freshw. Biol. 2007, 52, 574–587. [Google Scholar] [CrossRef]
- Liu, J.; Wang, Y.; Li, Y.; Peñuelas, J.; Zhao, Y.; Sardans, J.; Tetzlaff, D.; Liu, J.; Liu, X.; Yuan, H.; et al. Soil ecological stoichiometry synchronously regulates stream nitrogen and phosphorus concentrations and ratios. Catena 2023, 231, 107357. [Google Scholar] [CrossRef]
- Buss, D.F.; Vitorino, A.S. Rapid bioassessment protocols using benthic macroinvertebrates in Brazil: Evaluation of taxonomic sufficiency. J. North Am. Benthol. Soc. 2010, 29, 562–571. [Google Scholar] [CrossRef]
- Chen, K.; Hughes, R.M.; Wang, B. Effects of fixed-count size on macroinvertebrate richness, site separation, and bioassessment of Chinese monsoonal streams. Ecol. Indicat. 2015, 53, 162–170. [Google Scholar] [CrossRef]
- Cao, Y.; Wang, B.; Zhang, J.; Wang, L.; Pan, Y.; Wang, Q.; Jian, D.; Deng, G. Lake macroinvertebrate assemblages and relationship with natural environment and tourism stress in Jiuzhaigou Natural Reserve, China. Ecol. Indicat. 2016, 62, 182–190. [Google Scholar] [CrossRef]
- Feio, M.J.; Ferreira, W.R.; Macedo, D.R.; Eller, A.P.; Alves, C.B.M.; França, J.S.; Callisto, M. Defining and testing targets for the recovery of tropical streams based on macroinvertebrate communities and abiotic conditions. River Res. Appl. 2015, 31, 70–84. [Google Scholar] [CrossRef]
- Šporka, F.; Vlek, H.E.; Bulankova, E.; Krno, I.J. Influence of seasonal variation on bioassessment of streams using macroinvertebrates. Hydrobiologia 2006, 566, 543–555. [Google Scholar] [CrossRef]
- Blocksom, K.A. A performance comparison of metric scoring methods for a multimetric index for Mid-Atlantic Highlands streams. Environ. Manag. 2003, 31, 0670–0682. [Google Scholar] [CrossRef]
- Couceiro, S.R.; Hamada, N.; Forsberg, B.R.; Pimentel, T.P.; Luz, S.L.B. A macroinvertebrate multimetric index to evaluate the biological condition of streams in the Central Amazon region of Brazil. Ecol. Indicat. 2012, 18, 118–125. [Google Scholar] [CrossRef]
- Verdonschot, P.F.; Spears, B.M.; Feld, C.K.; Brucet, S.; Keizer-Vlek, H.; Borja, A.; Elliott, M.; Kernan, M. A comparative review of recovery processes in rivers, lakes, estuarine and coastal waters. Hydrobiologia 2013, 704, 453–474. [Google Scholar] [CrossRef]
- Kashian, D.R.; Burton, T.M. A comparison of macroinvertebrates of two Great Lakes coastal wetlands: Testing potential metrics for an index of ecological integrity. J. Great Lakes Res. 2000, 26, 460–481. [Google Scholar] [CrossRef]
- Ofenböck, T.; Moog, O.; Gerritsen, J.; Barbour, M. A stressor specific multimetric approach for monitoring running waters in Austria using benthic macro-invertebrates. In Integrated Assessment of Running Waters in Europe; Springer: Dordrecht, The Netherlands, 2004; pp. 251–268. [Google Scholar]
- Ofenböck, T.; Moog, O.; Sharma, S.; Korte, T. Development of the HKHbios: A new biotic score to assess the river quality in the Hindu Kush-Himalaya. Hydrobiologia 2010, 651, 39–58. [Google Scholar] [CrossRef]
- Fore, L.S.; Frydenborg, R.B.; Miller, D.; Frick, T.; Whiting, D.; Espy, J.; Wolfe, L. Development and Testing of Biomonitoring Tools for Macroinvertebrates in Florida Streams; Prepared for the FDEP. 2004. Available online: https://www.researchgate.net/profile/Leska-Fore/publication/239920741_Development_and_Testing_of_Biomonitoring_Tools_for_Macroinvertebrates_in_Florida_Streams/links/0a85e52e6717aaaacb000000/Development-and-Testing-of-Biomonitoring-Tools-for-Macroinvertebrates-in-Florida-Streams.pdf (accessed on 23 July 2024).
- Chowdhury, G.W.; Gallardo, B.; Aldridge, D.C. Development and testing of a biotic index to assess the ecological quality of lakes in Bangladesh. Hydrobiologia 2016, 765, 55–69. [Google Scholar] [CrossRef]
- Thorne, R.; Williams, P. The response of benthic macroinvertebrates to pollution in developing countries: A multimetric system of bioassessment. Freshw. Biol. 2003, 37, 671–686. [Google Scholar] [CrossRef]
- Hering, D.; Johnson, R.K.; Kramm, S.; Schmutz, S.; Szoszkiewicz, K.; Verdonschot, P.F. Assessment of European streams with diatoms, macrophytes, macroinvertebrates and fish: A comparative metric-based analysis of organism response to stress. Freshw. Biol. 2006, 51, 1757–1785. [Google Scholar] [CrossRef]
- Zhang, K.; Li, Y.; Yu, Z.; Yang, T.; Xu, J.; Chao, L.; Ni, J.; Wang, L.; Gao, Y.; Lin, Z.; et al. Xin’anjiang Nested Experimental Watershed (XAJ-NEW) for Understanding Multiscale Water Cycle: Scientific Objectives and Experimental Design. Engineering 2022, 18, 207–217. [Google Scholar] [CrossRef]




| Rivers | Station Codes | Latitude | Longitude |
|---|---|---|---|
| Owan | R1 | 7.10205452755 | 5.84794547245 |
| Ossiomo | R2 | 6.32945277800 | 5.76458055600 |
| Ossiomo | R3 | 6.33000000000 | 5.72100000000 |
| Ogba | R4 | 6.30872876199 | 5.58750000000 |
| Ogba | R5 | 6.29583333333 | 5.57916666667 |
| Eriora | R6 | 5.50200000000 | 6.18500000000 |
| Orogodo | R7 | 6.27054166700 | 6.19773333300 |
| Obosh | R8 | 6.22200000000 | 6.62000000000 |
| Obosh | R9 | 6.21300000000 | 6.62900000000 |
| Anwai | R10 | 6.24246388900 | 6.70266388900 |
| Edor | R11 | 5.61900000000 | 6.14400000000 |
| Edor | R12 | 5.53500000000 | 6.06000000000 |
| Umaluku | R13 | 5.51200000000 | 5.99600000000 |
| Umaluku | R14 | 5.50400000000 | 5.97100000000 |
| Umu | R15 | 5.99300000000 | 6.30700000000 |
| Ethiope | R16 | 5.85318333300 | 6.14970277800 |
| Ethiope | R17 | 5.80300000000 | 6.09400000000 |
| Chironomidae Abundance | Chironomidae/Diptera Abundance | %Odonata | Diptera Richness | Chironomidae Rich | Chironomidae+Oligochaete Richness | Oligochaete Richness | Shanon Diversity | Margalef Index | Evenness Index | Logarithm Relative Abundance of Sprawler | |
|---|---|---|---|---|---|---|---|---|---|---|---|
| Chironomidae Abundance | 0.00 | 1.1 × 10−14 | 0.005 | 5.1 × 10−10 | 4.6 × 10−10 | 1.2 × 10−9 | 0.0180 | 8.6 × 10−8 | 0.00056 | 0.20 | 0.82 |
| Chironomidae/Diptera Abundance | 0.77 | 0.00 | 0.060 | 0.0023 | 0.00050 | 3.6 × 10−5 | 0.0056 | 0.00028 | 0.030 | 0.051 | 0.053 |
| %Odonata | 0.34 | 0.21 | 0.00 | 0.07 | 0.20 | 0.25 | 0.27 | 1.2 × 10−6 | 0.00049 | 0.098 | 0.031 |
| Diptera Richness | 0.68 | 0.35 | 0.22 | 0.00 | 1.3 × 10−30 | 2.2 × 10−19 | 0.090 | 3.3 × 10−9 | 1.7 × 10−10 | 0.020 | 0.42 |
| Chironomidae Rich | 0.64 | 0.42 | 0.16 | 0.93 | 0.00 | 3.0 × 10−18 | 0.54 | 3.4 × 10−8 | 3.5 × 10−8 | 0.062 | 0.23 |
| Chironomidae+Oligochaete Richness Rich | 0.63 | 0.48 | 0.13 | 0.84 | 0.83 | 0.00 | 3.3 × 10−7 | 2.0 × 10−10 | 1.6 × 10−10 | 0.21 | 0.31 |
| Oligochaete Richness | 0.29 | 0.32 | 0.13 | 0.21 | 0.077 | 0.57 | 0.00 | 0.00054 | 0.00035 | 0.63 | 0.099 |
| Shanon Diversity | 0.50 | 0.47 | 0.50 | 0.53 | 0.53 | 0.60 | 0.40 | 6.3 × 10−32 | 1.8 × 10−13 | 0.012 | 0.022 |
| Margalef Index | −0.20 | 0.22 | 0.20 | −0.29 | −0.23 | −0.16 | 0.058 | 0.025 | 0.00 | 0.044 | 0.00083 |
| Evenness Index | 0.40 | 0.28 | 0.42 | 0.68 | 0.60 | 0.68 | 0.40 | 0.8 | −0.23 | 0.00 | 0.10 |
| Logarithm relative abundance of Sprawler | 0.04 | 0.24 | 0.28 | 0.10 | 0.14 | 0.13 | 0.20 | 0.13 | 0.22 | 0.40 | 0.00 |
| Metrics Retained | LIS Percentiles | HIS Percentiles | ||
|---|---|---|---|---|
| 95th | 5th | 95th | 5th | |
| Chironomidae/Diptera Abundance | 0.50 | 0.35 | 0.46 | 0.00 |
| %Odonata | 20.13 | 15.22 | 18.06 | 0.68 |
| Oligochaete Richness | 2.00 | 1.30 | 0.05 | 0.00 |
| Margalef Index | 8.98 | 7.70 | 5.41 | 3.47 |
| Logarithm relative abundance of Sprawler | 1.64 | 1.36 | 0.97 | 0.19 |
| Retained Metrics | Predicted Response to Urban–Agricultural Pollution | Metric Formula | Simplified Metric Formula |
|---|---|---|---|
| Chironomidae/Diptera Abundance (MVa) | Increase | (0.46-MVa)/(0.46–0.35) → (0.46-MVa)/0.11 | (0.46-MVa)/0.11) |
| %Odonata (MVb) | Decrease | (MVb-0.68)/(20.13–0.68) → (MVb-0.68)/19.45 | (MVb-0.68)/19.45 |
| Oligochaete Richness (MVc) | Increase | (0.05-MVc)/(0.05–1.30) → (0.05-MVc)/−1.25 | (0.05-MVc)/−1.25 |
| Margalef Index (MVd) | Decrease | (MVd-3.47)/(8.98–3.47) → (MVd-3.47)/5.51 | (MVd-3.47)/5.51 |
| Logarithm relative abundance of Sprawler (MVe) | Increase | (0.97-MVe)/(0.97–1.36) → | (0.97-MVe)/−0.39 |
| Retained Metrics | Statistical Calculations | Score | ||||||
|---|---|---|---|---|---|---|---|---|
| Max. Value | 75% | 50% | 25% | Min. Value | 1 | 3 | 5 | |
| Chironomidae/Diptera Abundance | 0.50 | 0.48 | 0.38 | 0.35 | 0.34 | >0.50 | ≥0.48–<0.50 | <0.48 |
| %Odonata | 20.40 | 18.02 | 16.22 | 16.00 | 15.00 | <15.00 | 15.00–<16.007 | ≥15.94 |
| Oligochaete Richness | 2.00 | 2.00 | 2.00 | 2.00 | 1.00 | >2.00 | 2.00 | <2.00 |
| Margalef Index | 9.00 | 8.80 | 8.26 | 7.95 | 7.64 | <7.64 | 7.64–<7.95 | ≥7.95 |
| Log Spr | 1.67 | 1.57 | 1.42 | 1.37 | 1.36 | >1.67 | ≥1.57–<1.67 | <1.57 |
Disclaimer/Publisher’s Note: The statements, opinions and data contained in all publications are solely those of the individual author(s) and contributor(s) and not of MDPI and/or the editor(s). MDPI and/or the editor(s) disclaim responsibility for any injury to people or property resulting from any ideas, methods, instructions or products referred to in the content. |
© 2024 by the authors. Licensee MDPI, Basel, Switzerland. This article is an open access article distributed under the terms and conditions of the Creative Commons Attribution (CC BY) license (https://creativecommons.org/licenses/by/4.0/).
Share and Cite
Edegbene, A.O.; Arimoro, F.O.; Odume, O.N. Developing Macroinvertebrate Biotic Indices in Nigerian Urban-Agricultural River Catchments: Is the Continuous Scoring System More Effective than Discrete Scoring System? Water 2024, 16, 2182. https://doi.org/10.3390/w16152182
Edegbene AO, Arimoro FO, Odume ON. Developing Macroinvertebrate Biotic Indices in Nigerian Urban-Agricultural River Catchments: Is the Continuous Scoring System More Effective than Discrete Scoring System? Water. 2024; 16(15):2182. https://doi.org/10.3390/w16152182
Chicago/Turabian StyleEdegbene, Augustine Ovie, Francis Ofurum Arimoro, and Oghenekaro Nelson Odume. 2024. "Developing Macroinvertebrate Biotic Indices in Nigerian Urban-Agricultural River Catchments: Is the Continuous Scoring System More Effective than Discrete Scoring System?" Water 16, no. 15: 2182. https://doi.org/10.3390/w16152182
APA StyleEdegbene, A. O., Arimoro, F. O., & Odume, O. N. (2024). Developing Macroinvertebrate Biotic Indices in Nigerian Urban-Agricultural River Catchments: Is the Continuous Scoring System More Effective than Discrete Scoring System? Water, 16(15), 2182. https://doi.org/10.3390/w16152182

