Detection of Copper Ions in Seawater Using a Graphitised Multi-Walled Carbon Nanotubes-Copper Ion Carrier Modified Electrode
Abstract
1. Introduction
2. Experimental Procedures and Materials
2.1. Relevant Instruments and Reagents
2.2. Preparation of Modification Solution
2.3. Preparation of Modified Electrode
2.4. Experimental Measurement
3. Results and Discussion
3.1. Morphological and Electrochemical Characterisation of the Modified Materials
3.2. Comparative Analysis of Detection Performance Exhibited by Diversely Modified Electrodes
3.3. Optimisation of Experimental Conditions
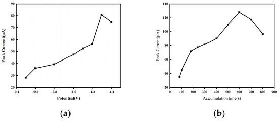
3.3.1. Effect of Deposition Potential and Time
3.3.2. Effect of Hac-NaAc Electrolyte PH
3.3.3. Effect of Film Thickness
3.4. Standard Curve
3.5. Stability and Reproducibility Analysis of Modified Electrode
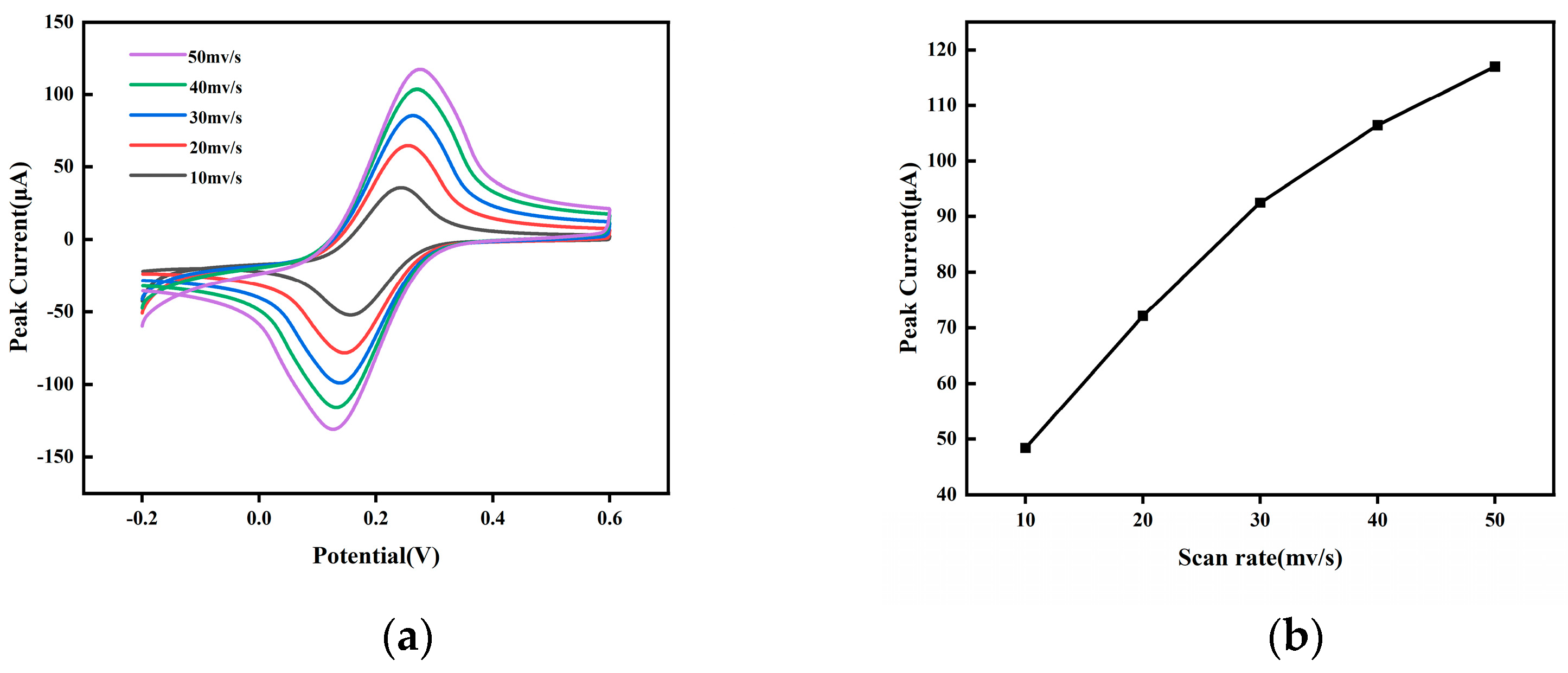
3.6. Electrochemical Characterisation of Modified Electrodes
3.7. Anti-Interference Ability
3.8. Copper Content Analysis of Actual Samples
4. Conclusions
Author Contributions
Funding
Data Availability Statement
Conflicts of Interest
References
- Uauy, R.; Olivares, M.; Gonzalez, M. Essentiality of copper in humans. Nutr. Rev. 2010, 45, 176–180. [Google Scholar] [CrossRef] [PubMed]
- Fu, P.; Han, H.; Ye, B.; Ji, R.; Li, J.; Liu, A.; Li, S.; Yang, L.; Zhang, S. Trace element copper effects on human health. J. Prev. Med. Henan J. 2021, 32, 888–892. [Google Scholar]
- Xiang, S.; Liu, Y. Trace element copper and human physiological function and disease. Univ. Chem. 2022, 37, 2107128. (In Chinese) [Google Scholar]
- Grandis, D.J.; Nah, G.; Whitman, I.R.; Vittinghoff, E.; Dewland, T.A.; Olgin, J.E.; Marcus, G.M. Wilson’s disease and cardiac myopathy. Am. J. Cardiol. 2017, 120, 2056–2060. [Google Scholar] [CrossRef] [PubMed]
- Wang, W.X.; Yang, Y.; Guo, X.; He, M.; Guo, F.; Ke, C. Copper and zinc contamination in oysters: Subcellular distribution and detoxification. Environ. Toxicol. Chem. 2011, 30, 1767–1774. [Google Scholar] [CrossRef]
- Fung, C.N.; Lam, J.C.; Zheng, G.J.; Connell, D.W.; Monirith, I.; Tanabe, S.; Richardson, B.J.; Lam, P.K. Mussel-based monitoring of trace metal and organic contaminants along the east coast of China using Perna viridis and Mytilus edulis. Environ. Pollut. 2004, 127, 203–216. [Google Scholar] [CrossRef] [PubMed]
- Yin, S.; Wu, Y.; Xu, W.; Li, Y.; Shen, Z.; Feng, C. Contribution of the upper river, the estuarine region, and the adjacent sea to the heavy metal pollution in the Yangtze Estuary. Chemosphere 2016, 155, 564–572. [Google Scholar] [CrossRef] [PubMed]
- Christophoridis, C.; Bourliva, A.; Evgenakis, E.; Papadopoulou, L.; Fytianos, K. Effects of anthropogenic activities on the levels of heavy metals in marine surface sediments of the Thessaloniki Bay, Northern Greece: Spatial distribution, sources and contamination assessment. Microchem. J. 2019, 149, 104001. [Google Scholar] [CrossRef]
- Fernandez-Luqueno, F.; Lopez-Valdez, F.; Gamero-Melo, P.; Luna-Suarez, S.; Aguilera-Gonzalez, E.N.; Martínez, A.I.; García-Guillermo, M.D.; Hernandez-Martinez, G.; Herrera-Mendoza, R.; Álvarez-Garza, M.A.; et al. Heavy metal pollution in drinking water-a global risk for human health: A review. Afr. J. Environ. Sci. Technol. 2013, 7, 567–584. [Google Scholar]
- Qi, C.; Song, Y.; Liu, X.; Liao, Y.; Liu, T.; Wang, Z. Comparative study on the contents of Manganese and copper in source water and tap water in Yongzhou City. J. Hunan Univ. Sci. Technol. 2014, 35, 87–91. (In Chinese) [Google Scholar]
- Porento, M.; Sutinen, V.; Julku, T.; Oikari, R. Detection of copper in water using on-line plasma-excited atomic absorption spectroscopy (AAS). Appl. Spectrosc. 2011, 65, 678–683. [Google Scholar] [CrossRef] [PubMed]
- Xu, W.; Hao, X.; Li, T.; Dai, S.; Fang, Z. Dual-Mode Fluorescence and Visual Fluorescent Test Paper Detection of Copper Ions and EDTA. ACS Omega 2021, 6, 29157–29165. [Google Scholar] [CrossRef] [PubMed]
- Hu, Q.; Yang, G.; Zhao, Y.; Yin, J. Determination of copper, nickel, cobalt, silver, lead, cadmium, and mercury ions in water by solid-phase extraction and the RP-HPLC with UV-Vis detection. Anal. Bioanal. Chem. 2003, 375, 831–835. [Google Scholar] [CrossRef] [PubMed]
- Zhang, L.; Nie, X.Y.; Le, T. Rapid determination of 15 metallic elements in 2 kinds of coix seeds by inductively coupled plasma-mass spectrometry after closed-vessel microwave digestion. J. Food Process Eng. 2017, 40, e12528. [Google Scholar] [CrossRef]
- Zhou, F.; Li, C.; Yang, C.; Zhu, H.; Li, Y. A spectrophotometric method for simultaneous determination of trace ions of copper, cobalt, and nickel in the zinc sulfate solution by ultraviolet-visible spectrometry. Spectrochim. Acta Part A Mol. Biomol. Spectrosc. 2019, 223, 117370. [Google Scholar] [CrossRef] [PubMed]
- Zhu, X.; Qin, H.; Liu, J.; Zhang, Z.; Lu, Y.; Yuan, X.; Wu, D. A novel electrochemical method to evaluate the cytotoxicity of heavy metals. J. Hazard. Mater. 2014, 271, 210–219. [Google Scholar] [CrossRef]
- Li, Z.; Zhu, M. Detection of pollutants in water bodies: Electrochemical detection or photo-electrochemical detection? Chem. Commun. 2020, 56, 14541–14552. [Google Scholar] [CrossRef] [PubMed]
- Ding, Q.; Li, C.; Wang, H.; Xu, C.; Kuang, H. Electrochemical detection of heavy metal ions in water. Chem. Commun. 2021, 57, 7215–7231. [Google Scholar] [CrossRef]
- Maddipatla, D.; Saeed, T.S.; Narakathu, B.B.; Obare, S.O.; Atashbar, M.Z. Incorporating a novel hexaazatriphenylene derivative to a flexible screen-printed electrochemical sensor for copper ion detection in water samples. IEEE Sens. J. 2020, 20, 12582–12591. [Google Scholar] [CrossRef]
- Alhashmi Alamer, F.; Almalki, G.A. Fabrication of Conductive Fabrics Based on SWCNTs, MWCNTs and Graphene and Their Applications: A Review. Polymers 2022, 14, 5376. [Google Scholar] [CrossRef] [PubMed]
- Hou, L. Effect of Outer Diameter and Length of Graphitized Multi-Wall Carbon Nanotubes on Electrochemical Performance of Aluminum Ion Batteries. Master’s Thesis, Shandong University of Science and Technology, Qingdao, China, 2020. [Google Scholar]
- Ni, M.; Chen, J.; Wang, C.; Wang, Y.; Huang, L.; Xiong, W.; Zhao, P.; Xie, Y.; Fei, J. A high-sensitive dopamine electrochemical sensor based on multilayer Ti3C2 MXene, graphitized multi-walled carbon nanotubes and ZnO nanospheres. Microchem. J. 2022, 178, 107410. [Google Scholar] [CrossRef]
- Pesado-Gómez, C.; Serrano-García, J.S.; Amaya-Flórez, A.; Pesado-Gómez, G.; Soto-Contreras, A.; Morales-Morales, D.; Colorado-Peralta, R. Fullerenes; Report Summarizes Fullerenes Study Findings from People’s Hospital (Simultaneous Electrochemical Determination of Lead and Copper Based on Graphenated Multi-walled Carbon Nanotubes). Nanotechnology Weekly, 15 February 2024; 215550. [Google Scholar]
- Enyu, G. Simultaneous Electrochemical Determination of Lead and Copper Based on Graphenated Multi-walled Carbon Nanotubes. Int. J. Electrochem. Sci. 2015, 10, 7341–7348. [Google Scholar]
- Vareda, J.P.; Valente AJ, M.; Durães, L. Ligands as copper and nickel ionophores: Applications and implications on wastewater treatment. Adv. Colloid Interface Sci. 2021, 289, 102364. [Google Scholar] [CrossRef] [PubMed]
















| Specimen Number | Measurements/(μg·L−1) | Scalar/(μg·L−1) | Measurement/(μg·L−1) | Average Recovery Rate/% |
|---|---|---|---|---|
| 1 | 7.24 | 20 | 26.96 | 98.6 |
| 2 | 8.04 | 20 | 28.34 | 101.5 |
| 3 | 15.56 | 25 | 41.26 | 102.8 |
Disclaimer/Publisher’s Note: The statements, opinions and data contained in all publications are solely those of the individual author(s) and contributor(s) and not of MDPI and/or the editor(s). MDPI and/or the editor(s) disclaim responsibility for any injury to people or property resulting from any ideas, methods, instructions or products referred to in the content. |
© 2024 by the authors. Licensee MDPI, Basel, Switzerland. This article is an open access article distributed under the terms and conditions of the Creative Commons Attribution (CC BY) license (https://creativecommons.org/licenses/by/4.0/).
Share and Cite
Zhang, C.; Tao, W.; Qiu, C.; Qu, W.; Zhuang, Y.; Gu, Y.; Hao, H.; Zhao, Z. Detection of Copper Ions in Seawater Using a Graphitised Multi-Walled Carbon Nanotubes-Copper Ion Carrier Modified Electrode. Water 2024, 16, 2128. https://doi.org/10.3390/w16152128
Zhang C, Tao W, Qiu C, Qu W, Zhuang Y, Gu Y, Hao H, Zhao Z. Detection of Copper Ions in Seawater Using a Graphitised Multi-Walled Carbon Nanotubes-Copper Ion Carrier Modified Electrode. Water. 2024; 16(15):2128. https://doi.org/10.3390/w16152128
Chicago/Turabian StyleZhang, Chao, Wei Tao, Chengjun Qiu, Wei Qu, Yuan Zhuang, Yang Gu, Huili Hao, and Zizi Zhao. 2024. "Detection of Copper Ions in Seawater Using a Graphitised Multi-Walled Carbon Nanotubes-Copper Ion Carrier Modified Electrode" Water 16, no. 15: 2128. https://doi.org/10.3390/w16152128
APA StyleZhang, C., Tao, W., Qiu, C., Qu, W., Zhuang, Y., Gu, Y., Hao, H., & Zhao, Z. (2024). Detection of Copper Ions in Seawater Using a Graphitised Multi-Walled Carbon Nanotubes-Copper Ion Carrier Modified Electrode. Water, 16(15), 2128. https://doi.org/10.3390/w16152128

